Effective Management Changes to Reduce Halogens, Sulfate, and TDS in the Monongahela River Basin, 2009–2019
Abstract
1. Introduction
2. Materials and Methods
2.1. Study Area
2.2. Data Collection
2.2.1. Water Quality Data
2.2.2. Hydrologic Data
2.3. Statistical Analyses
2.3.1. Water Quality Characteristics
2.3.2. Locally Weighted Polynomial Regression (LWPR)
2.3.3. Segmented Regression (SegReg)
2.3.4. Linear Mixed Effect Model
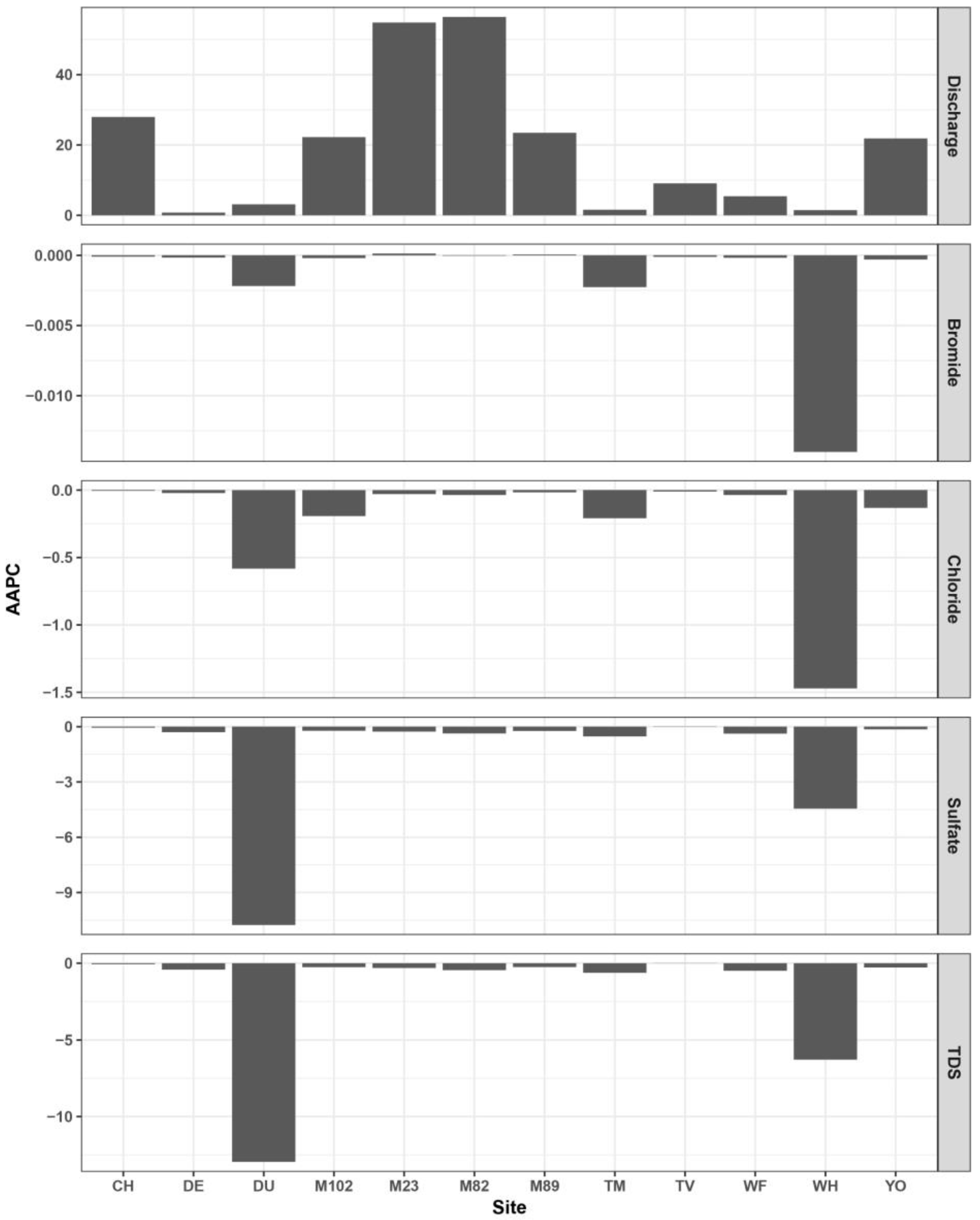
3. Results
3.1. Water Quality Characteristics
3.2. LWPR-SegReg Concentration Results
3.3. Linear Mixed Effects Model Results
4. Discussion
5. Conclusions
Author Contributions
Funding
Data Availability Statement
Acknowledgments
Conflicts of Interest
Appendix A






| Site | Model | Parameter | Estimate | Std. err | p-Value | Site | Model | Parameter | Estimate | Std. err | p-Value | Site | Model | Parameter | Estimate | Std. err | p-Value |
|---|---|---|---|---|---|---|---|---|---|---|---|---|---|---|---|---|---|
| WF | Discharge | α1 | 16.406 | 0.319 | <0.001 | TV | Discharge | α1 | 18.876 | 0.404 | <0.001 | M102 | Discharge | α1 | 48.522 | 1.274 | <0.001 |
| α2 | −4.999 | 0.222 | α2 | −8.267 | 0.223 | α2 | −29.214 | 0.828 | |||||||||
| α3 | 13.08 | 0.222 | α3 | 16.540 | 0.010 | α3 | 40.486 | 0.352 | |||||||||
| α4 | −2.554 | 0.355 | AAPC | 9.093 | 0.054 | AAPC | 22.234 | 0.0185 | |||||||||
| AAPC | 5.411 | 0.058 | CP1 | 2011-02 | 0.488 | CP1 | 2013-06 | 0.279 | |||||||||
| CP1 | 2011-04 | 0.505 | CP2 | 2013-06 | 0.377 | CP2 | 2017-01 | 0.942 | |||||||||
| CP2 | 2013-08 | 0.562 | Adjusted R2 | 0.996 | Adjusted R2 | 0.999 | |||||||||||
| CP3 | 2016-07 | 0.708 | Bromide | α1 | −0.0002 | 1.35 × 10−6 | <0.001 | Bromide | α1 | −0.0006 | 6.57 × 10−6 | <0.001 | |||||
| Adjusted R2 | 0.992 | α2 | 0.0002 | 7.00 × 10−6 | α2 | 0.0007 | 4.01 × 10−5 | ||||||||||
| Bromide | α1 | −0.0002 | 3.56 × 10−6 | <0.001 | α3 | −0.0001 | 9.30 × 10−7 | α3 | −0.0002 | 5.37 × 10−6 | |||||||
| α2 | −0.0008 | 2.33 × 10−5 | AAPC | −0.0001 | 3.96 × 10−7 | AAPC | −0.0002 | 2.00 × 10−6 | |||||||||
| α3 | 0.0004 | 1.39 × 10−5 | CP1 | 2012-07 | 0.287 | CP1 | 2012-08 | 0.416 | |||||||||
| α4 | −0.0003 | 4.38 × 10−6 | CP2 | 2013-07 | 0.350 | CP2 | 2014-01 | 0.594 | |||||||||
| AAPC | −0.0002 | 1.17 × 10−6 | Adjusted R2 | 0.998 | Adjusted R2 | 0.984 | |||||||||||
| CP1 | 2012-08 | 0.531 | Chloride | α1 | −0.009 | 0.0005 | <0.001 | Chloride | α1 | −0.041 | 0.002 | <0.001 | |||||
| CP2 | 2013-07 | 0.332 | α2 | 0.034 | 0.0011 | α2 | 0.069 | 0.002 | |||||||||
| CP3 | 2014-10 | 0.473 | α3 | −0.041 | 0.0006 | α3 | −0.083 | 0.002 | |||||||||
| Adjusted R2 | 0.995 | AAPC | −0.010 | 0.0002 | AAPC | −0.192 | 0.0004 | ||||||||||
| Chloride | α1 | −0.069 | 0.002 | <0.001 | CP1 | 2012-07 | 0.880 | CP1 | 2012-03 | 0.761 | |||||||
| α2 | 0.126 | 0.003 | CP2 | 2014-07 | 0.500 | CP2 | 2014-11 | 0.551 | |||||||||
| α3 | −0.099 | 0.001 | Adjusted R2 | 0.977 | Adjusted R2 | 0.968 | |||||||||||
| AAPC | −0.036 | 0.001 | Sulfate | α1 | 0.008 | 0.001 | <0.001 | Sulfate | α1 | −0.422 | 0.002 | <0.001 | |||||
| CP1 | 2012-05 | 0.601 | α2 | −0.057 | 0.001 | α2 | −0.012 | 0.002 | |||||||||
| CP2 | 2014-03 | 0.504 | α3 | 0.020 | 0.001 | AAPC | −0.221 | 0.001 | |||||||||
| Adjusted R2 | 0.976 | AAPC | −0.012 | 0.0003 | CP1 | 2013-08 | 0.472 | ||||||||||
| Sulfate | α1 | −1.227 | 0.015 | <0.001 | CP1 | 2011-11 | 0.771 | Adjusted R2 | 0.998 | ||||||||
| α2 | −0.0663 | 0.004 | CP2 | 2014-10 | 0.629 | TDS | α1 | −0.460 | 0.001 | <0.001 | |||||||
| α3 | 0.355 | 0.005 | Adjusted R2 | 0.991 | α2 | 0.004 | 0.003 | ||||||||||
| AAPC | −0.376 | 0.002 | TDS | α1 | 0.042 | 0.002 | <0.001 | α3 | −0.177 | 0.007 | |||||||
| CP1 | 2010-12 | 0.633 | α2 | −0.071 | 0.001 | AAPC | −0.254 | 0.001 | |||||||||
| CP2 | 2014-07 | 0.274 | α3 | 0.006 | 0.001 | CP1 | 2013-06 | 0.279 | |||||||||
| Adjusted R2 | 0.999 | AAPC | −0.012 | 0.0002 | CP2 | 2017-01 | 0.942 | ||||||||||
| TDS | α1 | −1.509 | 0.013 | <0.001 | CP1 | 2011-03 | 0.421 | Adjusted R2 | 0.999 | ||||||||
| α2 | −0.602 | 0.004 | CP2 | 2013-11 | 0.511 | ||||||||||||
| α3 | 0.141 | 0.004 | Adjusted R2 | 0.995 | |||||||||||||
| AAPC | −0.488 | 0.002 | |||||||||||||||
| CP1 | 2011-02 | 0.381 | |||||||||||||||
| CP2 | 2014-06 | 0.379 | |||||||||||||||
| Adjusted R2 | 0.999 | ||||||||||||||||
| M89 | Discharge | α1 | 53.235 | 1.124 | <0.001 | M82 | Discharge | α1 | 122.150 | 3.009 | <0.001 | M23 | Discharge | α1 | 106.760 | 2.365 | <0.001 |
| α2 | −25.968 | 0.627 | α2 | −52.374 | 1.369 | α2 | −31.677 | 1.200 | |||||||||
| α3 | 43.066 | 0.341 | α3 | 116.030 | 1.045 | α3 | 94.725 | 0.754 | |||||||||
| AAPC | 23.462 | 0.165 | AAPC | 56.401 | 0.446 | AAPC | 54.798 | 0.347 | |||||||||
| CP1 | 2011-03 | 0.446 | CP1 | 2011-03 | 0.527 | CP1 | 2011-03 | 0.529 | |||||||||
| CP2 | 2013-09 | 0.419 | CP2 | 2014-02 | 0.452 | CP2 | 2013-12 | 0.477 | |||||||||
| Adjusted R2 | 0.994 | Adjusted R2 | 0.992 | Adjusted R2 | 0.995 | ||||||||||||
| Bromide | α1 | 0.0008 | 1.55 × 10−5 | <0.001 | Bromide | α1 | 0.0004 | 1.33 × 10−5 | <0.001 | Bromide | α1 | 5.05 × 10−4 | 1.30 × 10−5 | <0.001 | |||
| α2 | 0.0001 | 1.30 × 10−5 | α2 | 0.0008 | 3.73 × 10−6 | α2 | −1.82 × 10−4 | 7.90 × 10−5 | |||||||||
| α3 | −0.0007 | 1.55 × 10−5 | α3 | −0.0003 | 4.16 × 10−6 | α3 | −6.48 × 10−4 | 9.07 × 10−6 | |||||||||
| α4 | 0.0001 | 1.35 × 10−6 | AAPC | −2.70 × 10−5 | 1.66 × 10−6 | α4 | −2.74 × 10−5 | 1.02 × 10−5 | |||||||||
| AAPC | 0.0001 | 1.17 × 10−6 | CP1 | 2010-12 | 1.095 | AAPC | 0.0001 | 2.08 × 10−6 | |||||||||
| CP1 | 2010-07 | 0.410 | CP2 | 2014-05 | 0.650 | CP1 | 2011-03 | 0.584 | |||||||||
| CP2 | 2011-07 | 0.354 | Adjusted R2 | 0.970 | CP2 | 2013-07 | 0.807 | ||||||||||
| CP3 | 2012-07 | 0.300 | Chloride | α1 | −0.103 | 0.003 | <0.001 | CP3 | 2015-12 | 0.634 | |||||||
| Adjusted R2 | 0.990 | α2 | 0.052 | 0.001 | Adjusted R2 | 0.997 | |||||||||||
| Chloride | α1 | −0.028 | 0.0010 | <0.001 | α3 | −0.094 | 0.001 | Chloride | α1 | −0.111 | 0.001 | <0.001 | |||||
| α2 | 0.079 | 0.0016 | AAPC | −0.036 | 0.001 | α2 | 0.082 | 0.002 | |||||||||
| α3 | −0.068 | 0.0009 | CP1 | 2011-09 | 0.687 | α3 | −0.042 | 0.001 | |||||||||
| AAPC | −0.016 | 0.0003 | CP2 | 2015-04 | 0.712 | AAPC | −0.029 | 0.0003 | |||||||||
| CP1 | 2012-04 | 0.590 | Adjusted R2 | 0.964 | CP1 | 2012-05 | 0.397 | ||||||||||
| CP2 | 2014-06 | 0.419 | Sulfate | α1 | −1.018 | 0.066 | <0.001 | CP2 | 2014-10 | 0.620 | |||||||
| Adjusted R2 | 0.981 | α2 | −0.165 | 0.005 | Adjusted R2 | 0.985 | |||||||||||
| Sulfate | α1 | −0.459 | 0.002 | <0.001 | AAPC | −0.366 | 0.003 | Sulfate | α1 | −0.543 | 0.001 | <0.001 | |||||
| α2 | 0.061 | 0.003 | CP1 | 2011-05 | 0.651 | α2 | −0.091 | 0.001 | |||||||||
| AAPC | −0.231 | 0.001 | Adjusted R2 | 0.992 | AAPC | −0.267 | 0.0003 | ||||||||||
| CP1 | 2014-01 | 0.497 | TDS | α1 | −1.227 | 0.016 | <0.001 | CP1 | 2012-08 | 0.146 | |||||||
| Adjusted R2 | 0.998 | α2 | −0.135 | 0.004 | Adjusted R2 | 0.999 | |||||||||||
| TDS | α1 | −0.486 | 0.002 | <0.001 | α3 | −0.476 | 0.033 | TDS | α1 | −0.784 | 0.005 | <0.001 | |||||
| α2 | 0.011 | 0.002 | AAPC | −0.449 | 0.004 | α2 | −0.034 | 0.002 | |||||||||
| AAPC | −0.253 | 0.001 | CP1 | 2011-06 | 0.495 | AAPC | −0.313 | 0.001 | |||||||||
| CP1 | 2013-10 | 0.298 | CP2 | 2017-06 | 1.898 | CP1 | 2012-06 | 0.339 | |||||||||
| Adjusted R2 | 0.999 | Adjusted R2 | 0.994 | Adjusted R2 | 0.998 |
Appendix B






| Site | Model | Parameter | Estimate | Std. err | p-Value | Site | Model | Parameter | Estimate | Std. err | p-Value | Site | Model | Parameter | Estimate | Std. err | p-Value |
|---|---|---|---|---|---|---|---|---|---|---|---|---|---|---|---|---|---|
| CH | Discharge | α1 | 59.917 | 1.350 | <0.001 | DE | Discharge | α1 | 1.613 | 0.040 | <0.001 | DU | Discharge | α1 | 7.002 | 0.156 | <0.001 |
| α2 | −28.258 | 0.726 | α2 | −0.757 | 0.017 | α2 | −3.511 | 0.081 | |||||||||
| α3 | 53.644 | 0.446 | α3 | 1.773 | 0.017 | α3 | 6.806 | 0.067 | |||||||||
| AAPC | 27.974 | 0.204 | AAPC | 0.761 | 0.006 | AAPC | 3.120 | 0.026 | |||||||||
| CP1 | 2011-03 | 0.489 | CP1 | 2011-04 | 0.533 | CP1 | 2011-05 | 0.504 | |||||||||
| CP2 | 2013-11 | 0.436 | CP2 | 2014-05 | 0.426 | CP2 | 2014-04 | 0.442 | |||||||||
| Adjusted R2 | 0.993 | Adjusted R2 | 0.991 | Adjusted R2 | 0.991 | ||||||||||||
| Bromide | α1 | −2.00 × 10−4 | 4.12 × 10−6 | <0.001 | Bromide | α1 | −0.0004 | 5.58 × 10−6 | <0.001 | Bromide | α1 | 0.0034 | 8.10 × 10−5 | <0.001 | |||
| α2 | −4.00 × 10−5 | 1.72 × 10−6 | α2 | 0.0002 | 7.33 × 10−6 | α2 | −0.0003 | 8.44 × 10−5 | |||||||||
| AAPC | −0.0001 | 1.06 × 10−6 | α3 | −0.0002 | 4.42 × 10−6 | α3 | −0.0068 | 1.30 × 10−4 | |||||||||
| CP1 | 2012-05 | 1.578 | AAPC | −0.0002 | 1.45 × 10−6 | α4 | −0.0021 | 4.02 × 10−5 | |||||||||
| Adjusted R2 | 0.980 | CP1 | 2012-02 | 0.529 | α5 | −0.0062 | 7.49 × 10−5 | ||||||||||
| Chloride | α1 | −0.018 | 0.0007 | <0.001 | CP2 | 2014-06 | 0.653 | AAPC | −0.0022 | 1.20 × 10−5 | |||||||
| α2 | 0.027 | 0.0006 | Adjusted R2 | 0.985 | CP1 | 2011-01 | 0.671 | ||||||||||
| α3 | −0.022 | 0.0006 | Chloride | α1 | −0.029 | 0.002 | <0.001 | CP2 | 2012-06 | 0.410 | |||||||
| AAPC | −0.005 | 0.0002 | α2 | 0.101 | 0.002 | CP3 | 2013-07 | 0.512 | |||||||||
| CP1 | 2012-01 | 0.745 | α3 | −0.108 | 0.001 | CP4 | 2016-10 | 0.523 | |||||||||
| CP2 | 2014-09 | 0.662 | AAPC | −0.022 | 0.0004 | Adjusted R2 | 0.999 | ||||||||||
| Adjusted R2 | 0.961 | CP1 | 2012-02 | 0.687 | Chloride | α1 | −1.651 | 0.037 | <0.001 | ||||||||
| Sulfate | α1 | −0.144 | 0.002 | <0.001 | CP2 | 2014-06 | 0.409 | α2 | 0.085 | 0.010 | |||||||
| α2 | 0.039 | 0.001 | Adjusted R2 | 0.984 | α3 | −0.908 | 0.017 | ||||||||||
| α3 | −0.144 | 0.004 | Sulfate | α1 | −0.706 | 0.013 | <0.001 | AAPC | −0.582 | 0.005 | |||||||
| AAPC | −0.057 | 0.001 | α2 | −0.358 | 0.004 | CP1 | 2011-02 | 0.573 | |||||||||
| CP1 | 2012-01 | 0.583 | α3 | 0.102 | 0.008 | CP2 | 2014-11 | 0.847 | |||||||||
| CP2 | 2016-07 | 0.675 | AAPC | −0.299 | 0.002 | Adjusted R2 | 0.988 | ||||||||||
| Adjusted R2 | 0.981 | CP1 | 2011-03 | 1.078 | Sulfate | α1 | −39.463 | 0.772 | <0.001 | ||||||||
| TDS | α1 | −0.192 | 0.003 | <0.001 | CP2 | 2015-04 | 0.741 | α2 | −4.265 | 0.085 | |||||||
| α2 | 0.057 | 0.002 | Adjusted R2 | 0.997 | AAPC | −10.761 | 0.091 | ||||||||||
| α3 | −0.135 | 0.005 | TDS | α1 | −1.164 | 0.013 | <0.001 | CP1 | 2011-01 | 0.517 | |||||||
| AAPC | −0.062 | 0.001 | α2 | −0.377 | 0.002 | Adjusted R2 | 0.990 | ||||||||||
| CP1 | 2012-01 | 0.556 | α3 | 0.152 | 0.011 | TDS | α1 | −44.495 | 0.602 | <0.001 | |||||||
| CP2 | 2016-05 | 0.800 | AAPC | −0.415 | 0.002 | α2 | −3.184 | 0.142 | |||||||||
| Adjusted R2 | 0.978 | CP1 | 2011-01 | 0.412 | α3 | −8.984 | 0.341 | ||||||||||
| CP2 | 2016-08 | 0.586 | AAPC | −12.961 | 0.088 | ||||||||||||
| Adjusted R2 | 0.999 | CP1 | 2011-02 | 0.388 | |||||||||||||
| CP2 | 2015-04 | 2.408 | |||||||||||||||
| Adjusted R2 | 0.994 | ||||||||||||||||
| TM | Discharge | α1 | 3.500 | 0.078 | <0.001 | WH | Discharge | α1 | 3.018 | 0.078 | <0.001 | YO | Discharge | α1 | 22.987 | 0.737 | <0.001 |
| α2 | −1.757 | 0.041 | α2 | −1.735 | 0.037 | α2 | −10.487 | 0.237 | |||||||||
| α3 | 3.403 | 0.033 | α3 | 3.396 | 0.030 | α3 | 56.820 | 0.271 | |||||||||
| AAPC | 1.559 | 0.013 | AAPC | 1.447 | 0.012 | AAPC | 21.837 | 0.102 | |||||||||
| CP1 | 2011-05 | 0.504 | CP1 | 2011-06 | 0.515 | CP1 | 2011-02 | 0.599 | |||||||||
| CP2 | 2014-04 | 0.441 | CP2 | 2014-04 | 0.402 | CP2 | 2014-06 | 0.244 | |||||||||
| Adjusted R2 | 0.991 | Adjusted R2 | 0.992 | Adjusted R2 | 0.998 | ||||||||||||
| Bromide | α1 | 0.001 | 1.85 × 10−4 | <0.001 | Bromide | α1 | −0.031 | 0.0005 | <0.001 | Bromide | α1 | −0.0002 | 3.25 × 10−6 | <0.001 | |||
| α2 | −0.007 | 3.40 × 10−4 | α2 | 0.005 | 0.0003 | α2 | −0.0001 | 8.33 × 10−6 | |||||||||
| α3 | 0.002 | 3.48 × 10−5 | α3 | −0.026 | 0.0008 | α3 | −0.0007 | 5.34 × 10−6 | |||||||||
| AAPC | −0.002 | 2.59 × 10−5 | AAPC | −0.014 | 0.0001 | AAPC | −0.0003 | 1.29 × 10−6 | |||||||||
| CP1 | 2011-03 | 0.825 | CP1 | 2012-03 | 0.714 | CP1 | 2013-01 | 2.303 | |||||||||
| CP2 | 2012-05 | 1.218 | CP2 | 2015-12 | 0.883 | CP2 | 2014-12 | 0.505 | |||||||||
| Adjusted R2 | 0.992 | Adjusted R2 | 0.984 | Adjusted R2 | 0.998 | ||||||||||||
| Chloride | α1 | −0.316 | 0.009 | <0.001 | Chloride | α1 | −3.730 | 0.085 | <0.001 | Chloride | α1 | −0.319 | 0.015 | <0.001 | |||
| α2 | 0.592 | 0.017 | α2 | 1.028 | 0.038 | α2 | 0.457 | 0.011 | |||||||||
| α3 | −0.582 | 0.008 | α3 | −3.646 | 0.093 | α3 | −0.542 | 0.010 | |||||||||
| AAPC | −0.208 | 0.003 | AAPC | −1.471 | 0.019 | AAPC | −0.132 | 0.003 | |||||||||
| CP1 | 2012-06 | 0.647 | CP1 | 2011-10 | 0.689 | CP1 | 2011-09 | 0.847 | |||||||||
| CP2 | 2014-05 | 0.495 | CP2 | 2015-10 | 0.715 | CP2 | 2014-07 | 0.609 | |||||||||
| Adjusted R2 | 0.979 | Adjusted R2 | 0.973 | Adjusted R2 | 0.966 | ||||||||||||
| Sulfate | α1 | −1.037 | 0.023 | <0.001 | Sulfate | α1 | −12.888 | 0.218 | <0.001 | Sulfate | α1 | −0.284 | 0.014 | <0.001 | |||
| α2 | 1.077 | 0.031 | α2 | 0.851 | 0.060 | α2 | −0.017 | 0.015 | |||||||||
| α3 | −1.205 | 0.018 | α3 | −9.530 | 0.243 | α3 | −0.136 | 0.002 | |||||||||
| AAPC | −0.525 | 0.006 | AAPC | −4.447 | 0.041 | AAPC | −0.142 | 0.002 | |||||||||
| CP1 | 2012-03 | 0.625 | CP1 | 2011-06 | 0.479 | CP1 | 2010-12 | 1.569 | |||||||||
| CP2 | 2014-05 | 0.559 | CP2 | 2016-07 | 0.652 | CP2 | 2012-04 | 2.835 | |||||||||
| Adjusted R2 | 0.979 | Adjusted R2 | 0.988 | Adjusted R2 | 0.986 | ||||||||||||
| TDS | α1 | −0.943 | 0.032 | <0.001 | TDS | α1 | −17.748 | 0.339 | <0.001 | TDS | α1 | −0.700 | 0.028 | <0.001 | |||
| α2 | 2.060 | 0.055 | α2 | 2.199 | 0.100 | α2 | 0.399 | 0.011 | |||||||||
| α3 | −2.025 | 0.027 | α3 | −14.405 | 0.362 | α3 | −0.778 | 0.013 | |||||||||
| AAPC | −0.623 | 0.009 | AAPC | −6.281 | 0.066 | AAPC | −0.278 | 0.004 | |||||||||
| CP1 | 2012-05 | 0.675 | CP1 | 2011-06 | 0.543 | CP1 | 2011-04 | 0.796 | |||||||||
| CP2 | 2014-05 | 0.485 | CP2 | 2016-04 | 0.664 | CP2 | 2014-07 | 0.630 | |||||||||
| Adjusted R2 | 0.978 | Adjusted R2 | 0.983 | Adjusted R2 | 0.973 |
References
- Wilson, J.M.; Van Briesen, J.M. Source Water Changes and Energy Extraction Activities in the Monongahela River, 2009–2012. Environ. Sci. Technol. 2013, 47, 12575–12582. [Google Scholar] [CrossRef] [PubMed]
- Tetra Tech. Evaluation of High TDS Concentrations in the Monongahela River; Tetra Tech NUS, Inc.: Pittsburgh, PA, USA, 2019. [Google Scholar]
- Sams, J.I.; Beer, K.M.; US Department of Interior (DOI); US Geological Survey (USGS). Effects of Coal-Mine Drainage on Stream Water Quality in the Allegheny and Monongahela River Basin: Sulfate Transport and Trends; Water-Resources Investigations Report; United States Geological Survey, Branch of Information Services: Denver, CO, USA, 2000; pp. 99–4208.
- United States Army Corps of Engineers (USACE). Monongahela River Initial Watershed Assessment. US Army Corps of Engineers Pittsburgh District. Available online: https://www.lrp.usace.army.mil/Portals/72/docs/HotProjects/signed%20IWA_final_revised%20FEB12%20public%20comments%20incorporated.pdf (accessed on 7 July 2021).
- Ziemkiewicz, P. Wastewater from Coal and Gas Development: Chemical Signatures in the Monongahela Basin. West Virginia Surface Mine Drainage Task Force. Available online: https://wvmdtaskforce.files.wordpress.com/2016/01/11-ziek.doc (accessed on 20 February 2020).
- Merriam, E.R.; Petty, J.T.; O’Neal, M.; Ziemkiewicz, P.F. Flow-mediated vulnerability of source waters to elevated TDS in an Appalachian River Basin. Water 2020, 12, 384. [Google Scholar] [CrossRef]
- Ziemkiewicz, P. Discharge Management to Control TDS in the Upper Monongahela Basin. West Virginia Surface Mine Drainage Task Force. Available online: Wvmdtaskforce.files.wordpress.com/2016/01/10-ziemk-tds-water-quality-flow-monitoring-upper.doc (accessed on 20 February 2020).
- Ferrar, K.J.; Michanowicz, D.R.; Christen, C.L.; Mulcahy, N.; Malone, S.L.; Sharma, R.K. Assessment of Effluent Contaminants from Three Facilities Discharging Marcellus Shale Wastewater to Surface Waters in Pennsylvania. Environ. Sci. Technol. 2013, 47, 3472–3481. [Google Scholar] [CrossRef]
- He, C.; Zhang, T.; Zheng, X.; Li, Y.; Vidic, R.D. Management of Marcellus Shale Produced Water in Pennsylvania: A Review of Current Strategies and Perspectives. Energy Technol. 2014, 2, 968–976. [Google Scholar] [CrossRef]
- Warner, N.R.; Christie, C.A.; Jackson, R.B.; Vengosh, A. Impacts of Shale Gas Wastewater Disposal on Water Quality in Western Pennsylvania. Environ. Sci. Technol. 2013, 47, 11849–11857. [Google Scholar] [CrossRef]
- Symons, J.M.; Krasner, S.W.; Simms, L.A.; Sclimenti, M. Measurement of THM and Precursor Concentrations Revisited: The Effect of Bromide Ion. J. Am. Water Work. Assoc. 1993, 85, 51–62. [Google Scholar] [CrossRef]
- Hua, G.; Reckhow, D.A.; Kim, J. Effect of Bromide and Iodide Ions on the Formation and Speciation of Disinfection Byproducts during Chlorination. Environ. Sci. Technol. 2006, 40, 3050–3056. [Google Scholar] [CrossRef] [PubMed]
- Bird, J.C. The Effect of Bromide on Trihalomethane Formation. Master’s Thesis, University of Tennessee, Knoxville, TN, USA, 1979. [Google Scholar]
- DEP Calls on Natural Gas Drillers to Stop Giving Treatment Facilities Wastewater; Pennsylvania Department of Environmental Protection (PADEP): Harrisburg, PA, USA, 2011.
- United States Environmental Protection Agency (USEPA). Hydraulic Fracturing for Oil and Gas: Impacts from the Hydraulic Fracturing Water Cycle on Drinking Water Resources in the United States (Executive Summary); US Environmental Protection Agency: Washington, DC, USA, 2016.
- Wilson, J.M.; VanBriesen, J.M. Research Articles: Oil and Gas Produced Water Management and Surface Drinking Water Sources in Pennsylvania. Environ. Pract. 2012, 14, 288–300. [Google Scholar] [CrossRef]
- Jernejcic, F.; Wellman, D. Dunkard Creek Fish Kill Assessment September 2009. Available online: http://www.uppermon.org/Dunkard_Creek/WQF3Dec09/Frank%20Jernejcic%20_Dunkard%20Ck%20Fish%20kill%2012-3-09.pdf (accessed on 9 October 2009).
- Hartman, K.J.; Wellman, D.I.; Kingsbury, J.W.; Cincotta, D.A.; Clayton, J.L.; Eliason, K.M.; Jernejcic, F.A.; Owens, N.V.; Smith, D.M. A Case Study of a Prymnesium parvum Harmful Algae Bloom in the Ohio River Drainage: Impact, Recovery and Potential for Future Invasions/Range Expansion. Water 2021, 13, 3233. [Google Scholar] [CrossRef]
- Consent Decree, State of West Virginia through West Virginia Department of Environmental Protection vs CONSOL Energy, Inc.; CONSOLIDATION COAL COMPANY; and WINDSOR COAL COMPANY. Available online: www.epa.gov/sites/production/files/2013-09/documents/consol-cd.pdf (accessed on 30 June 2021).
- Owsiany, J. Chloride-TDS Reduction Strategy for Operating Mines in Northern West Virginia. West Virginia Mine Drainage Task Force 2013 Symposium. Available online: https://wvmdtaskforce.files.wordpress.com/2016/01/13-owsiany-final.pdf (accessed on 10 July 2021).
- Garud, R.M.; Kore, S.V.; Kore, V.S.; Kulkarni, G.S. A Short Review on Process and Applications of Reverse Osmosis. Univers. J. Environ. Res. Technol. 2011, 1, 233–238. [Google Scholar]
- Wenten, I.G. Reverse osmosis applications: Prospect and challenges. Desalination 2016, 391, 112–125. [Google Scholar] [CrossRef]
- Oyewo, O.A.; Agboola, O.; Onyango, M.S.; Popoola, P.; Bobape, M.F. Current Methods for the Remediation of Acid Mine Drainage Including Continuous Removal of Metals From Wastewater and Mine Dump. In Bio-Geotechnologies for Mine Site Rehabilitation; Elsevier: Amsterdam, The Netherlands, 2018; pp. 103–114. [Google Scholar] [CrossRef]
- United States Geological Survey (USGS). National Hydrography Dataset Medium-Resolution Data (Published 20180206). Available online: https://www.usgs.gov/core-science-systems/ngp/national-hydrography/access-national-hydrography-products (accessed on 6 April 2021).
- Bodo, B.A. Robust graphical methods for diagnosing trend in irregularly spaced water quality time series. Environ. Monit. Assess. 1989, 13, 407–428. [Google Scholar] [CrossRef] [PubMed]
- Cleveland, W.S.; Devlin, S.J. Locally-Weighted Regression: An Approach to Regression Analysis by Local Fitting. J. Am. Stat. Assoc. 1988, 83, 596–610. [Google Scholar] [CrossRef]
- Rajagopalan, B.; Lall, U. Locally weighted polynomial estimation of spatial precipitation. J. Geogr. Inf. Decis. Anal. 1998, 2, 44–51. [Google Scholar]
- Luati, A.; Proietti, T. On the equivalence of the weighted least squares and the generalised least squares estimators, with applications to kernel smoothing. Ann. Inst. Stat. Math. 2011, 63, 851–871. [Google Scholar] [CrossRef]
- R Core Team. R: A Language and Environment for Statistical Computing; R Foundation for Statistical Computing: Vienna, Austria, 2022; Available online: https://www.R-project.org/ (accessed on 12 April 2022).
- Huang, H.; Wang, Z.; Xia, F.; Shang, X.; Liu, Y.; Zhang, M.; Dahlgren, R.A.; Mei, K. Water quality trend and change-point analyses using integration of locally weighted polynomial regression and segmented regression. Environ. Sci. Pollut. Res. 2017, 24, 15827–15837. [Google Scholar] [CrossRef]
- Kazemnejad, A.; Arsang Jang, S.; Amani, F.; Omidi, A. Global epidemic trend of tuberculosis during 1990-2010: Using segmented regression model. J. Res. Health Sci. 2014, 14, 115–121. [Google Scholar]
- McDowall, D.; McCleary, R.; Bartos, B.J. Interrupted Time Series Analysis; Oxford University Press: Oxford, UK, 2019. [Google Scholar]
- Clegg, L.X.; Hankey, B.F.; Tiwari, R.; Feuer, E.J.; Edwards, B.K. Estimating average annual per cent change in trend analysis. Stat. Med. 2009, 28, 3670–3682. [Google Scholar] [CrossRef]
- Davies, R.B. Hypothesis testing when a nuisance parameter is present only under the alternative: Linear model case. Biometrika 2002, 89, 484–489. [Google Scholar] [CrossRef]
- Muggeo, V.M.R. Interval estimation for the breakpoint in segmented regression: A smoothed score-based approach. Aust. N. Z. J. Stat. 2017, 59, 311–322. [Google Scholar] [CrossRef]
- Mathews, T.J.; Hamilton, B.E. Trend analysis of the sex ratio at birth in the United States. National Vital Statistics Reports: From the Centers for Disease Control and Prevention, National Center for Health Statistics. Natl. Vital Stat. Syst. 2005, 53, 1–17. [Google Scholar]
- Wu, J.-L.; Chang, P.-C. A Trend-Based Segmentation Method and the Support Vector Regression for Financial Time Series Forecasting. Math. Probl. Eng. 2012, 2012, 615152. [Google Scholar] [CrossRef]
- Zuur, A.F.; Ieno, E.N.; Walker, N.J.; Saveliev, A.A.; Smith, G.M. Mixed Effects Models and Extensions in Ecology with R; Springer: New York, NY, USA, 2009; Volume 574. [Google Scholar]
- Arnold, T.W. Uninformative Parameters and Model Selection Using Akaike’s Information Criterion. J. Wildl. Manag. 2010, 74, 1175–1178. [Google Scholar] [CrossRef]
- Kuznetsova, A.; Brockhoff, P.B.; Christensen, R.H.B. lmerTest Package: Tests in Linear Mixed Effects Models. J. Stat. Softw. 2017, 82, 1–26. [Google Scholar] [CrossRef]
- Bates, D.; Maechler, M.; Bolker, B.; Walker, S. Fitting Linear Mixed-Effects Models Using lme4. J. Stat. Softw. 2015, 67, 1–48. [Google Scholar] [CrossRef]
- Bartoń, K. MuMIn: Multi-Model Inference. R Package Version 1.47.1. Available online: https://CRAN.R-project.org/package=MuMIn (accessed on 12 April 2022).
- Petty, J.T.; Barker, J. Water quality variability in tributaries of the Cheat River, a mined Appalachian watershed. In Proceedings of the Joint Conference of the 21st Annual Meeting of the American Society of Mining and Reclamation and 25th West Virginia Surface Mine Drainage Task Force Symposium, Morgantown, WV, USA, 18–22 April 2004. [Google Scholar]
- Nilsson, C.; Renöfält, B.M. Linking flow regime and water quality in rivers: A challenge to adaptive catchment management. Ecol. Soc. 2008, 13, 18. [Google Scholar] [CrossRef]
- Elshorbagy, A.; Teegavarapu, R.S.; Ormsbee, L. Total maximum daily load (TMDL) approach to surface water quality management: Concepts, issues, and applications. Can. J. Civ. Eng. 2005, 32, 442–448. [Google Scholar] [CrossRef]
- Copeland, C. Clean Water Act and Pollutant Total Maximum Daily Loads (TMDLs); Congressional Research Service: Washington, DC, USA, 2012.
- Linker, L.C.; Batiuk, R.A.; Shenk, G.W.; Cerco, C.F. Development of the Chesapeake Bay Watershed Total Maximum Daily Load Allocation. JAWRA J. Am. Water Resour. Assoc. 2013, 49, 986–1006. [Google Scholar] [CrossRef]
- United States Environmental Protection Agency (USEPA). Restoring the Legendary Lynnhaven Oysters in Virginia: Coordinated Actions Lower Bacteria Levels and Reopen Shellfish Areas in the Lynnhaven River Watershed; US Environmental Protection Agency: Washington, DC, USA, 2009. Available online: https://nepis.epa.gov/Exe/ZyPDF.cgi/P1007N7U.PDF?Dockey=P1007N7U.PDF (accessed on 2 June 2022).
- United States Environmental Protection Agency (USEPA). Letting the Middle Cuyahoga River Run: TMDL Implementation Restores Flow, Improves Water Quality, and Preserves a Community’s Sense of History; US Environmental Protection Agency: Washington, DC, USA, 2009. Available online: https://nepis.epa.gov/Exe/ZyPDF.cgi/P1007N80.PDF?Dockey=P1007N80.PDF (accessed on 2 June 2022).
- Bonacquisti, T.P. A drinking water utility’s perspective on bromide, bromate, and ozonation. Toxicology 2006, 221, 145–148. [Google Scholar] [CrossRef]
- Chen, S.S.; Sun, Y.; Tsang, D.C.; Graham, N.J.; Ok, Y.S.; Feng, Y.; Li, X.D. Potential impact of flowback water from hydraulic fracturing on agricultural soil quality: Metal/metalloid bioaccessibility, Microtox bioassay, and enzyme activities. Sci. Total Environ. 2017, 579, 1419–1426. [Google Scholar] [CrossRef]
- Blewett, T.A.; Weinrauch, A.M.; Delompré, P.L.; Goss, G.G. The effect of hydraulic flowback and produced water on gill morphology, oxidative stress and antioxidant response in rainbow trout (Oncorhynchus mykiss). Sci. Rep. 2017, 7, 46582. [Google Scholar] [CrossRef] [PubMed]
- Vaclav, P.; Eva, G. Desalting of Acid Mine Drainage by Reverse Osmosis Method–Field Tests. In Proceedings of the 9th International Mine Water Congress, Oviedo, Spain, 5–7 September 2005; pp. 369–373. Available online: https://www.imwa.info/docs/imwa_2005/IMWA2005_052_Pisa.pdf (accessed on 10 December 2021).
- Rook, J.J. Haloforms in Drinking Water. J. Am. Water Work. Assoc. 1976, 68, 168–172. [Google Scholar] [CrossRef]
- Trussell, R.R.; Umphres, M.D. The Formation of Trihalomethanes. J. Am. Water Work. Assoc. 1978, 70, 604–612. [Google Scholar] [CrossRef]
- Costet, N.; Villanueva, C.M.; Jaakkola, J.J.K.; Kogevinas, M.; Cantor, K.P.; King, W.D.; Lynch, C.F.; Nieuwenhuijsen, M.J.; Cordier, S. Water disinfection by-products and bladder cancer: Is there a European specificity? A pooled and meta-analysis of European case-control studies. Occup. Environ. Med. 2011, 68, 379–385. [Google Scholar] [CrossRef] [PubMed]
- Dodds, L.; King, W.; Woolcott, C.; Pole, J. Trihalomethanes in Public Water Supplies and Adverse Birth Outcomes. Epidemiology 1999, 10, 233–237. [Google Scholar] [CrossRef]
- King, W.D.; Marrett, L.D. Case-control study of bladder cancer and chlorination by-products in treated water (Ontario, Canada). Cancer Causes Control. 1996, 7, 596–604. [Google Scholar] [CrossRef]
- Li, X.-F.; Mitch, W.A. Drinking Water Disinfection Byproducts (DBPs) and Human Health Effects: Multidisciplinary Challenges and Opportunities. Environ. Sci. Technol. 2018, 52, 1681–1689. [Google Scholar] [CrossRef]
- Wright, J.M. Effect of trihalomethane exposure on fetal development. Occup. Environ. Med. 2003, 60, 173–180. [Google Scholar] [CrossRef]
- Wright, J.M.; Evans, A.; Kaufman, J.A.; Rivera-Núñez, Z.; Narotsky, M.G. Disinfection By-Product Exposures and the Risk of Specific Cardiac Birth Defects. Environ. Health Perspect. 2017, 125, 269–277. [Google Scholar] [CrossRef]
- Corsi, S.R.; Graczyk, D.J.; Geis, S.W.; Booth, N.L.; Richards, K.D. A Fresh Look at Road Salt: Aquatic Toxicity and Water-Quality Impacts on Local, Regional, and National Scales. Environ. Sci. Technol. 2010, 44, 7376–7382. [Google Scholar] [CrossRef]
- Baldwin, D.S.; Fraser, M. Rehabilitation options for inland waterways impacted by sulfidic sediments–A synthesis. J. Environ. Manag. 2009, 91, 311–319. [Google Scholar] [CrossRef]
- United States Environmental Protection Agency (USEPA). Health Effects from Exposure to Sulfate in Drinking Water Workshop; US Environmental Protection Agency: Washington, DC, USA, 1999. Available online: https://nepis.epa.gov/Exe/ZyPDF.cgi/200021JF.PDF?Dockey=200021JF.PDF (accessed on 1 December 2021).
- Pradhan, B. Corrosion behavior of steel reinforcement in concrete exposed to composite chloride–sulfate environment. Constr. Build. Mater. 2014, 72, 398–410. [Google Scholar] [CrossRef]
- Pennsylvania Department of Environmental Protection (PADEP). 2014 Pennsylvania Integrated Water Quality Monitoring and Assessment Report. Clean Water Act Section 305(b) Report and 303(d) List. Available online: www.pennfuture.org/Files/Admin/2014-Pennsylvania-Integrated-Water-Quality-MonitoringandAssessmentReport.pdf (accessed on 1 December 2021).
- Fleming, R.A. Statistical advantages in, and characteristics of, data from long-term research. For. Chron. 1999, 75, 487–489. [Google Scholar] [CrossRef]







| Site | CFS Formula |
|---|---|
| Youghiogheny River (YO) | USGS Gauge 03083500 |
| Monongahela River Mile 23 (M23) | USGS Gauge 03075071 |
| Tenmile Creek (TM) | USGS Gauge 03073000 |
| Monongahela River Mile 82 (M82) | USGS Gauge 03072655 |
| Whiteley Creek (WH) | DU/2 |
| Dunkard Creek (DU) | USGS Gauge 03072000 |
| Cheat River (CH) | M82/2 |
| Monongahela River Mile 89 (M89) | M82-WH-DU-CH |
| Deckers Creek (DE) | USGS Gauge 03062500 |
| Monongahela River Mile 102 (M102) | M89-DE |
| Tygart Valley River (TV) | USGS Gauge 03056250 + USGS Gauge 03056250 |
| West Fork River (WF) | USGS 03061000 |
| Discharge | Bromide | Chloride | SO4 | TDS | |
|---|---|---|---|---|---|
| TV | 2536 ± 406 | 0.01 ± 0.004 | 5.5 ± 0.37 | 26.5 ± 1.06 | 62.5 ± 2.13 |
| WF | 1061 ± 253 | 0.05 ± 0.017 | 14.9 ± 1.16 | 190.0 ± 11.57 | 334.0 ± 16.51 |
| M102 | 4003 ± 650 | 0.03 ± 0.009 | 9.6 ± 0.58 | 89.3 ± 6.27 | 161.1 ±8.84 |
| M89 | 4082 ± 649 | 0.04 ± 0.013 | 11.3 ± 0.67 | 95.4 ± 6.84 | 169.5 ± 9.53 |
| M82 | 8949 ± 1478 | 0.04 ± 0.011 | 11.0 ± 0.73 | 88.1 ± 6.63 | 152.3 ± 9.08 |
| M23 | 9192 ± 1486 | 0.07 ± 0.016 | 17.8 ± 1.20 | 90.6 ± 6.50 | 172.1 ± 9.58 |
| DE | 106 ± 22.4 | 0.02 ± 0.006 | 15.2 ± 1.27 | 102.6 ± 12.29 | 186.8 ± 16.93 |
| CH | 4541 ± 745 | 0.01 ± 0.003 | 3.5 ± 0.20 | 24.8 ± 1.03 | 51.0 ± 1.65 |
| DU | 338 ± 90.3 | 0.37 ± 0.082 | 56.2 ± 6.40 | 692.4 ± 117.5 | 922.5 ± 136.88 |
| WH | 172 ± 46.0 | 1.01 ± 0.208 | 132.9 ± 19.70 | 607.8 ± 73.17 | 966.8 ± 101.13 |
| TM | 169 ±45.2 | 0.35 ± 0.081 | 57.3 ± 6.93 | 157.0 ± 16.44 | 351.2 ± 25.98 |
| YO | 3485 ± 576 | 0.07 ± 0.020 | 59.5 ± 6.30 | 94.5 ± 5.24 | 242.6 ± 11.30 |
| Parameter | Estimate | SE | t-Value | p-Value |
|---|---|---|---|---|
| Fixed Effects | ||||
| Intercept | 153.14 | 15.08 | 10.15 | <0.001 |
| Log[cfs] | −19.95 | 2.17 | −9.21 | <0.001 |
| Year | −0.07 | 0.01 | −9.68 | <0.001 |
| VDMP | −0.12 | 0.04 | −3.10 | 0.002 |
| PA_Pro | 0.05 | 0.03 | 1.53 | 0.126 |
| VDMP_PA | −0.16 | 0.04 | −3.65 | <0.001 |
| VDMP_ROP | −0.19 | 0.05 | −4.12 | <0.001 |
| VDMP_PA_ROP | −0.37 | 0.05 | −7.93 | <0.001 |
| Log[cfs]:Year | 0.01 | 0.00 | 9.08 | <0.001 |
| Random effects | ||||
| σ1|Site | 1.36 | -- | -- | -- |
| σ1cfs|Site | 0.01 | -- | -- | -- |
| σResidual | 0.09 | -- | -- | -- |
Disclaimer/Publisher’s Note: The statements, opinions and data contained in all publications are solely those of the individual author(s) and contributor(s) and not of MDPI and/or the editor(s). MDPI and/or the editor(s) disclaim responsibility for any injury to people or property resulting from any ideas, methods, instructions or products referred to in the content. |
© 2023 by the authors. Licensee MDPI, Basel, Switzerland. This article is an open access article distributed under the terms and conditions of the Creative Commons Attribution (CC BY) license (https://creativecommons.org/licenses/by/4.0/).
Share and Cite
Kingsbury, J.W.; Spirnak, R.; O’Neal, M.; Ziemkiewicz, P. Effective Management Changes to Reduce Halogens, Sulfate, and TDS in the Monongahela River Basin, 2009–2019. Water 2023, 15, 631. https://doi.org/10.3390/w15040631
Kingsbury JW, Spirnak R, O’Neal M, Ziemkiewicz P. Effective Management Changes to Reduce Halogens, Sulfate, and TDS in the Monongahela River Basin, 2009–2019. Water. 2023; 15(4):631. https://doi.org/10.3390/w15040631
Chicago/Turabian StyleKingsbury, Joseph W., Rachel Spirnak, Melissa O’Neal, and Paul Ziemkiewicz. 2023. "Effective Management Changes to Reduce Halogens, Sulfate, and TDS in the Monongahela River Basin, 2009–2019" Water 15, no. 4: 631. https://doi.org/10.3390/w15040631
APA StyleKingsbury, J. W., Spirnak, R., O’Neal, M., & Ziemkiewicz, P. (2023). Effective Management Changes to Reduce Halogens, Sulfate, and TDS in the Monongahela River Basin, 2009–2019. Water, 15(4), 631. https://doi.org/10.3390/w15040631
