Photodegradation of Sulfamethoxazole and Enrofloxacin under UV and Simulated Solar Light Irradiation
Abstract
1. Introduction
2. Materials and Methods
2.1. Materials and Reagents
2.2. Photodegradation of SMX and ENR
2.3. Detection of SMX and ENR with HPLC
2.4. Photolysis Reaction Kinetic Curve
3. Results and Discussions
3.1. Photodegradation and Kinetic Curves under Different Light Irradiation
3.2. Effect of Several Factors on the Photodegradation
3.2.1. Photodegradation under Different Light Intensities
3.2.2. Effect of Initial Antibiotic Concentration
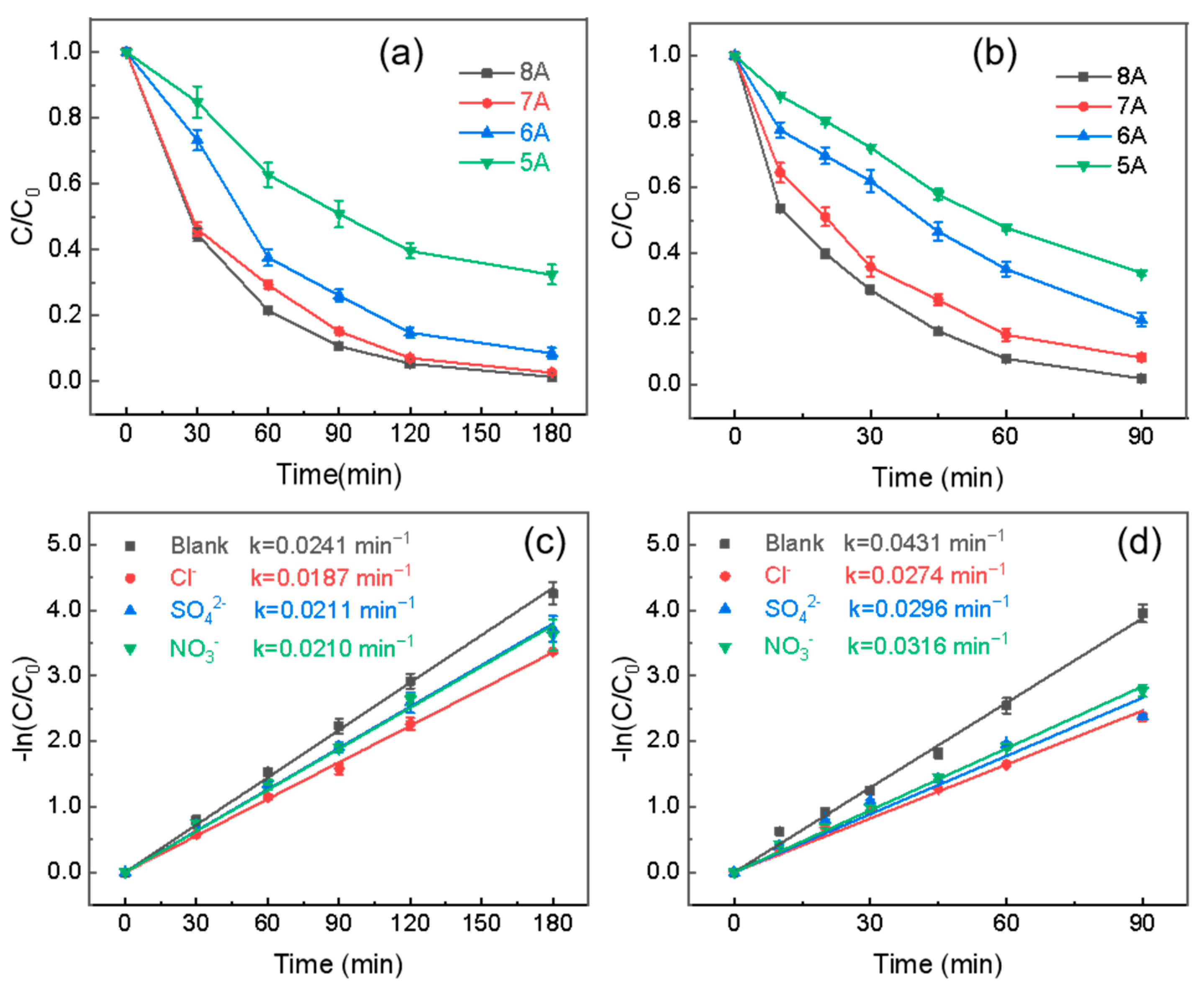
3.2.3. Effects of Common Inorganic Anions
3.2.4. Effects of Natural Organic Matter in Water
3.3. Quenching Experiments
3.4. Analysis of Photodegradation Products
4. Conclusions
Supplementary Materials
Author Contributions
Funding
Data Availability Statement
Conflicts of Interest
References
- Shao, Y.; Chen, Z.L.; Hollert, H.; Zhou, S.B.; Deutschmann, B.; Seiler, T.B. Toxicity of 10 organic micropollutants and their mixture: Implications for aquatic risk assessment. Sci. Total Env. 2019, 666, 1273–1282. [Google Scholar] [CrossRef] [PubMed]
- Lin, X.H.; Xu, J.C.; Keller, A.A.; He, L.; Gu, Y.H.; Zheng, W.W.; Sun, D.Y.; Lu, Z.B.; Huang, J.W.; Huang, X.F.; et al. Occurrence and risk assessment of emerging contaminants in a water reclamation and ecological reuse project. Sci. Total Env. 2020, 744, 140977. [Google Scholar] [CrossRef] [PubMed]
- Yang, Y.J.; Chen, Z.L.; Zhang, J.L.; Wu, S.Q.; Yang, L.; Chen, L.; Shao, Y. The challenge of micropollutants in surface water of the Yangtze River. Sci. Total Env. 2021, 780, 146537. [Google Scholar] [CrossRef] [PubMed]
- Tan, Q.W.; Li, W.Y.; Zhang, J.P.; Zhou, W.; Chen, J.P.; Li, Y.; Ma, J. Presence, dissemination and removal of antibiotic resistant bacteria and antibiotic resistance genes in urban drinking water system: A review. Front. Env. Sci. Eng. 2019, 13, 36. [Google Scholar] [CrossRef]
- Feng, L.; Cheng, Y.R.; Zhang, Y.Y.; Li, Z.W.; Yu, Y.C.; Feng, L.; Zhang, S.; Xu, L.J. Distribution and human health risk assessment of antibiotic residues in large-scale drinking water sources in Chongqing area of the Yangtze River. Environ. Res. 2020, 185, 109386. [Google Scholar] [CrossRef]
- Sabri, N.A.; Schmitt, H.; Van der Zaan, B.; Gerritsen, H.W.; Zuidema, T.; Rijnaarts, H.; Langenhoff, A. Prevalence of antibiotics and antibiotic resistance genes in a wastewater effluent-receiving river in the Netherlands. J. Environ. Chem. Eng. 2020, 8, 102245. [Google Scholar] [CrossRef]
- Lei, K.; Zhu, Y.; Chen, W.; Pan, H.Y.; Cao, Y.X.; Zhang, X.; Guo, B.B.; Sweetman, A.; Lin, C.Y.; Ouyang, W.; et al. Spatial and seasonal variations of antibiotics in river waters in the Haihe River Catchment in China and ecotoxicological risk assessment. Environ. Int. 2019, 130, 104919. [Google Scholar] [CrossRef]
- Liu, X.H.; Lu, S.Y.; Guo, W.; Xi, B.D.; Wang, W.L. Antibiotics in the aquatic environments: A review of lakes, China. Sci. Total Env. 2018, 627, 1195–1208. [Google Scholar] [CrossRef]
- Zou, S.C.; Xu, W.H.; Zhang, R.J.; Tang, J.H.; Chen, Y.J.; Zhang, G. Occurrence and distribution of antibiotics in coastal water of the Bohai Bay, China: Impacts of river discharge and aquaculture activities. Environ. Pollut. 2011, 159, 2913–2920. [Google Scholar] [CrossRef]
- Wang, J.L.; Zhou, A.X.; Zhang, Y.L.; Si, C.Q.; Chen, Z.Y.; Qian, H.; Zhao, Z.Y. Research on the adsorption and migration of sulfa antibiotics in underground environment. Environ. Earth Sci. 2016, 75, 1252. [Google Scholar] [CrossRef]
- Li, S.; Shi, W.; You, M.; Zhang, R.; Kuang, Y.; Dang, C.; Sun, W.; Zhou, Y.; Wang, W.; Ni, J. Antibiotics in water and sediments of Danjiangkou Reservoir, China: Spatiotemporal distribution and indicator screening. Environ. Pollut. 2019, 246, 435–442. [Google Scholar] [CrossRef] [PubMed]
- Yang, X.; Chen, Z.; Zhao, W.; Liu, C.; Qian, X.; Zhang, M.; Wei, G.; Khan, E.; Hau Ng, Y.; Sik Ok, Y. Recent advances in photodegradation of antibiotic residues in water. Chem. Eng. J. 2021, 405, 126806. [Google Scholar] [CrossRef]
- Dos Santos, A.J.; Fortunato, G.V.; Kronka, M.S.; Vernasqui, L.G.; Ferreira, N.G.; Lanza, M.R.V. Electrochemical oxidation of ciprofloxacin in different aqueous matrices using synthesized boron-doped micro and nano-diamond anodes. Environ. Res. 2022, 204, 112027. [Google Scholar] [CrossRef] [PubMed]
- Dos Santos, A.J.; Kronka, M.S.; Fortunato, G.V.; Lanza, M.R.V. Recent advances in electrochemical water technologies for the treatment of antibiotics: A short review. Curr. Opin. Electroche 2021, 26, 100674. [Google Scholar] [CrossRef]
- Boreen, A.L.; Arnold, W.A.; Mcneill, K. Photochemical Fate of Sulfa Drugs in the Aquatic Environment: Sulfa Drugs Containing Five-Membered Heterocyclic Groups. Environ. Sci. Technol. 2004, 38, 3933–3940. [Google Scholar] [CrossRef] [PubMed]
- Lyu, Y.; Huang, T.; Liu, W.; Sun, W. Unveil the quantum chemical descriptors determining direct photodegradation of antibiotics under simulated sunlight: Batch experiments and model development. J. Environ. Chem. Eng. 2022, 10, 108086. [Google Scholar] [CrossRef]
- Leal, J.F.; Esteves, V.I.; Santos, E.B.H. Use of sunlight to degrade oxytetracycline in marine aquaculture's waters. Environ. Pollut. 2016, 213, 932–939. [Google Scholar] [CrossRef]
- Yun, S.H.; Jho, E.H.; Jeong, S.; Choi, S.; Kal, Y.; Cha, S. Photodegradation of tetracycline and sulfathiazole individually and in mixtures. Food Chem. Toxicol. 2018, 116, 108–113. [Google Scholar] [CrossRef]
- Batchu, S.R.; Panditi, V.R.; O'Shea, K.E.; Gardinali, P.R. Photodegradation of antibiotics under simulated solar radiation: Implications for their environmental fate. Sci. Total Environ. 2014, 470–471, 299–310. [Google Scholar] [CrossRef]
- Oliveira, C.; Lima, D.; Silva, C.P.; Calisto, V.; Otero, M.; Esteves, V.I. Photodegradation of sulfamethoxazole in environmental samples: The role of pH, organic matter and salinity. Sci. Total Environ. 2019, 648, 1403–1410. [Google Scholar] [CrossRef]
- Tang, X.; Cui, Z.; Bai, Y.; Su, R. Indirect photodegradation of sulfathiazole and sulfamerazine: Influence of the CDOM components and seawater factors (salinity, pH, nitrate and bicarbonate). Sci. Total Environ. 2021, 750, 141762. [Google Scholar] [CrossRef] [PubMed]
- Niu, J.F.; Zhang, L.L.; Li, Y.; Zhao, J.B.; Lv, S.D.; Xiao, K.Q. Effects of environmental factors on sulfamethoxazole photodegradation under simulated sunlight irradiation: Kinetics and mechanism. J. Environ. Sci 2013, 25, 1098–1106. [Google Scholar] [CrossRef] [PubMed]
- EMEA. Guideline on the Environmental Risk Assessment of Medicinal Products for Human Use. 2006. Available online: http://www.emea.eu.int/pdfs/human/swp/444700en.pdf (accessed on 12 December 2020).
- Patrolecco, L.; Rauseo, J.; Ademollo, N.; Grenni, P.; Cardoni, M.; Levantesi, C.; Luprano, M.L.; Caracciolo, A.B. Persistence of the antibiotic sulfamethoxazole in river water alone or in the co-presence of ciprofloxacin. Sci. Total Env. 2018, 640–641, 1438–1446. [Google Scholar] [CrossRef] [PubMed]
- Hubicka, U.; Zuromska-Witek, B.; Knapczyk, D.; Krzek, J. Determination of danofloxacin and its photodegradation products by thin-layer chromatography: Kinetic evaluation of degradation process. J. Liq. Chromatogr. R. T. 2014, 37, 2915–2928. [Google Scholar] [CrossRef]
- Kim, H.Y.; Kim, T.H.; Yu, S. Photolytic degradation of sulfamethoxazole and trimethoprim using UV-A, UV-C and vacuum-UV (VUV). J. Environ. Sci. Health A 2015, 50, 292–300. [Google Scholar] [CrossRef]
- Sturini, M.; Speltini, A.; Maraschi, F.; Profumo, A.; Pretali, L.; Fasani, E.; Albini, A. Photochemical Degradation of Marbofloxacin and Enrofloxacin in Natural Waters. Environ. Sci. Technol. 2010, 44, 4564–4569. [Google Scholar] [CrossRef]
- Yang, C.C.; Huang, C.L.; Cheng, T.C.; Lai, H.T. Inhibitory effect of salinity on the photocatalytic degradation of three sulfonamide antibiotics. Int. Biodeter. Biodegr. 2015, 102, 116–125. [Google Scholar] [CrossRef]
- Singh, R. Chapter 2–Water and Membrane Treatment. In Membrane Technology and Engineering for Water Purification, 2nd ed.; Singh, R., Ed.; Butterworth-Heinemann: Oxford, UK, 2015; pp. 81–178. [Google Scholar]
- Li, Y.; Niu, J.F.; Wang, W.L. Photolysis of Enrofloxacin in aqueous systems under simulated sunlight irradiation: Kinetics, mechanism and toxicity of photolysis products. Chemosphere 2011, 85, 892–897. [Google Scholar] [CrossRef]
- Wenk, J.; von Gunten, U.; Canonica, S. Effect of Dissolved Organic Matter on the Transformation of Contaminants Induced by Excited Triplet States and the Hydroxyl Radical. Environ. Sci. Technol. 2011, 45, 1334–1340. [Google Scholar] [CrossRef]
- Zhao, F.; Wang, F.; Geng, H.; Han, X. Effects of pH and dissolved organic matter on sulfamethoxazole photodegradation. Chin. J. Environ. Eng. 2019, 13, 356–364. [Google Scholar]
- Palominos, R.; Freer, J.; Mondaca, M.A.; Mansilla, H.D. Evidence for hole participation during the photocatalytic oxidation of the antibiotic flumequine. J. Photoch. Photobio. A. 2008, 193, 139–145. [Google Scholar] [CrossRef]







Disclaimer/Publisher’s Note: The statements, opinions and data contained in all publications are solely those of the individual author(s) and contributor(s) and not of MDPI and/or the editor(s). MDPI and/or the editor(s) disclaim responsibility for any injury to people or property resulting from any ideas, methods, instructions or products referred to in the content. |
© 2023 by the authors. Licensee MDPI, Basel, Switzerland. This article is an open access article distributed under the terms and conditions of the Creative Commons Attribution (CC BY) license (https://creativecommons.org/licenses/by/4.0/).
Share and Cite
Lin, X.; Zhou, W.; Li, S.; Fang, H.; Fu, S.; Xu, J.; Huang, J. Photodegradation of Sulfamethoxazole and Enrofloxacin under UV and Simulated Solar Light Irradiation. Water 2023, 15, 517. https://doi.org/10.3390/w15030517
Lin X, Zhou W, Li S, Fang H, Fu S, Xu J, Huang J. Photodegradation of Sulfamethoxazole and Enrofloxacin under UV and Simulated Solar Light Irradiation. Water. 2023; 15(3):517. https://doi.org/10.3390/w15030517
Chicago/Turabian StyleLin, Xiaohu, Wenming Zhou, Shiyi Li, Haifeng Fang, Shengjie Fu, Jingcheng Xu, and Juwen Huang. 2023. "Photodegradation of Sulfamethoxazole and Enrofloxacin under UV and Simulated Solar Light Irradiation" Water 15, no. 3: 517. https://doi.org/10.3390/w15030517
APA StyleLin, X., Zhou, W., Li, S., Fang, H., Fu, S., Xu, J., & Huang, J. (2023). Photodegradation of Sulfamethoxazole and Enrofloxacin under UV and Simulated Solar Light Irradiation. Water, 15(3), 517. https://doi.org/10.3390/w15030517

