Precision Nitrogen Fertilizer and Irrigation Management for Apple Cultivation Based on a Multilevel Comprehensive Evaluation Method of Yield, Quality, and Profit Indices
Abstract
1. Introduction
2. Materials and Method
2.1. Experimental Site and Planting Details
2.2. Experimental Design
2.3. Data Measurement
2.3.1. Yield Data
2.3.2. Fruit Shape and Quality Data
2.3.3. Profit Index Data
2.4. Multilevel Fuzzy Comprehensive Evaluation Method
3. Results
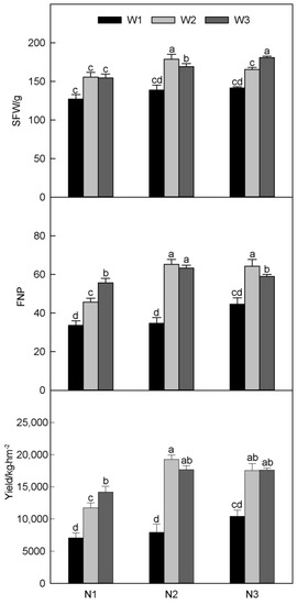
3.1. Effects of Nitrogen and Irrigation on Yield Indicators of Apple
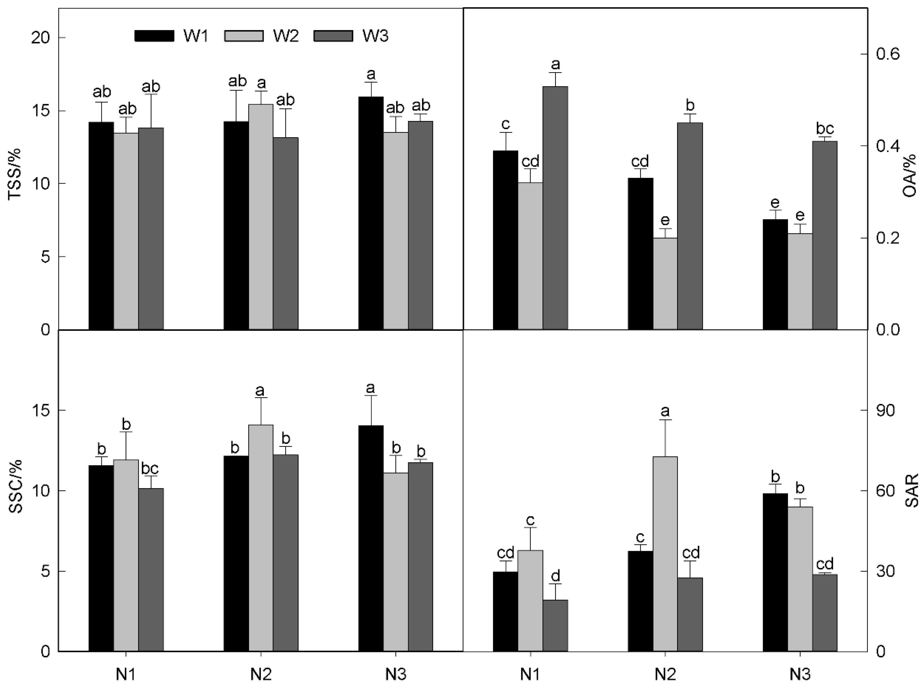
3.2. Effects of Nitrogen and Irrigation on Shape and Quality of Apple Fruit Indicators
3.3. Effects of Nitrogen and Irrigation on the Apple Profit Index
3.4. Comprehensive Evaluation of Apple Indicators Based on Multilevel Fuzzy Comprehensive Evaluation
3.5. Responses in the Comprehensive Growth of Apples to the Coupling of Nitrogen and Water Based on Multilevel Fuzzy Comprehensive Evaluation
4. Discussion
5. Conclusions
Author Contributions
Funding
Data Availability Statement
Acknowledgments
Conflicts of Interest
References
- Fu, B.J.; Liu, Y.; Lu, Y.H.; He, C.S.; Zeng, Y.; Wu, B.F. Assessing the soil erosion control service of ecosystems change in the Loess Plateau of China. Ecol. Complex. 2011, 8, 284–293. [Google Scholar] [CrossRef]
- Li, Y.Y.; Shao, M.A. Change of soil physical properties under long-term natural vegetation restoration in the Loess Plateau of China. J. Arid. Environ. 2006, 64, 77–96. [Google Scholar] [CrossRef]
- Chen, H.S.; Shao, M.G.; Li, Y.Y. Soil desiccation in the Loess Plateau of China. Geoderma 2008, 143, 91–100. [Google Scholar] [CrossRef]
- Shi, H.; Shao, M.G. Soil and water loss from the Loess Plateau in China. J. Arid. Environ. 2000, 45, 9–20. [Google Scholar] [CrossRef]
- Chen, L.D.; Wei, W.; Fu, B.J.; Lu, Y.H. Soil and water conservation on the Loess Plateau in China: Review and perspective. Prog. Phys. Geogr. Earth Environ. 2007, 31, 389–403. [Google Scholar] [CrossRef]
- Liu, J.G.; Li, S.X.; Ouyang, Z.Y.; Tam, C.; Chen, X.D. Ecological and socioeconomic effects of China’s policies for ecosystem services. Proc. Natl. Acad. Sci. USA 2008, 105, 9477–9482. [Google Scholar] [CrossRef]
- FAOSTAT. Food and Agriculture Organization of the United Nations (FAO). Available online: https://www.fao.org/faostat/zh/#data/QCL (accessed on 20 November 2022).
- Jian, S.Q.; Zhao, C.Y.; Fang, S.M.; Yu, K. Effects of different vegetation restoration on soil water storage and water balance in the Chinese Loess Plateau. Agric. For. Meteorol. 2015, 206, 85–96. [Google Scholar] [CrossRef]
- Zhong, Y.; Fei, L.J.; Li, Y.B.; Zeng, J.; Dai, Z.G. Response of fruit yield, fruit quality, and water use efficiency to water deficits for apple trees under surge-root irrigation in the Loess Plateau of China. Agric. Water Manag. 2019, 222, 221–230. [Google Scholar] [CrossRef]
- Fentabil, M.M.; Nichol, C.F.; Jones, M.D.; Neilsen, G.H.; Neilsen, D.; Hannam, K.D. Effect of drip irrigation frequency, nitrogen rate and mulching on nitrous oxide emissions in a semi-arid climate: An assessment across two years in an apple orchard. Agric. Ecosyst. Environ. 2016, 235, 242–252. [Google Scholar] [CrossRef]
- Tahir, I.I.; Johansson, E.; Olsson, M.E. Improvement of quality and storability of apple cv. Aroma by adjustment of some pre-harvest conditions. Sci. Hortic. 2007, 112, 164–171. [Google Scholar] [CrossRef]
- Kowalczyk, W.; Wrona, D.; Przybylko, S. Content of minerals in soil, apple tree leaves and fruits depending on nitrogen fertilization. J. Elem. 2017, 22, 67–77. [Google Scholar] [CrossRef]
- Li, Y.K.; Xue, X.Z.; Guo, W.Z.; Wang, L.C.; Duan, M.J.; Chen, H.; Chen, F. Soil moisture and nitrate-nitrogen dynamics and economic yield in the greenhouse cultivation of tomato and cucumber under negative pressure irrigation in the North China Plain. Sci. Rep. 2019, 9, 9. [Google Scholar] [CrossRef]
- Topcu, S.; Kirda, C.; Dasgan, Y.; Kaman, H.; Cetin, M.; Yazici, A.; Bacon, M.A. Yield response and N-fertiliser recovery of tomato grown under deficit irrigation. Eur. J. Agric. 2007, 26, 64–70. [Google Scholar] [CrossRef]
- Wang, H.; Li, J.; Cheng, M.; Zhang, F.; Wang, X.; Fan, J.; Wu, L.; Fang, D.; Zou, H.; Xiang, Y. Optimal drip fertigation management improves yield, quality, water and nitrogen use efficiency of greenhouse cucumber. Sci. Hortic. 2019, 243, 357–366. [Google Scholar] [CrossRef]
- Kumar, A.; Pramanick, B.; Mahapatra, B.S.; Singh, S.P.; Shukla, D.K. Growth, yield and quality improvement of flax (Linum usitattisimum L.) grown under tarai region of Uttarakhand, India through integrated nutrient management practices. Ind. Crops Prod. 2019, 140, 111710. [Google Scholar] [CrossRef]
- Ramananjatovo, T.; Chantoiseau, E.; Guillermin, P.; Guenon, R.; Delaire, M.; Buck-Sorlin, G.; Cannavo, P. Growth of Vegetables in an Agroecological Garden-Orchard System: The Role of Spatiotemporal Variations of Microclimatic Conditions and Soil Properties. Agron. Basel 2021, 11, 1888. [Google Scholar] [CrossRef]
- Raese, J.T. Response of apple and pear trees to nitrogen, phosphorus, and potassium fertilizers. J. Plant Nutr. 1998, 21, 2671–2696. [Google Scholar] [CrossRef]
- Raese, J.T.; Drake, S.R.; Curry, E.A. Nitrogen fertilizer influences fruit quality, soil nutrients and cover crops, leaf color and nitrogen content, biennial bearing and cold hardiness of ‘Golden Delicious’. J. Plant Nutr. 2007, 30, 1585–1604. [Google Scholar] [CrossRef]
- Kuhn, B.F.; Bertelsen, M.; Sorensen, L. Optimising quality-parameters of apple cv. ‘Pigeon’ by adjustment of nitrogen. Sci. Hortic. 2011, 129, 369–375. [Google Scholar] [CrossRef]
- Kucukyumuk, C.; Kacal, E.; Yildiz, H. Effects of Different Deficit Irrigation Strategies on Yield, Fruit Quality and Some Parameters: ‘Braeburn’ Apple Cultivar. Not. Bot. Horti Agrobot. Cluj-Napoca 2013, 41, 510–517. [Google Scholar] [CrossRef]
- Chenafi, A.; Monney, P.; Arrigoni, E.; Boudoukha, A.; Carlen, C. Influence of irrigation strategies on productivity, fruit quality and soil-plant water status of subsurface drip-irrigated apple trees. Fruits 2016, 71, 69–78. [Google Scholar] [CrossRef]
- Yu, N.; Zhang, Y.-l.; Zou, H.-t.; Huang, Y.; Zhang, Y.-l.; Dang, X.-l.; Yang, D. Fuzzy evaluation of different irrigation and fertilization on growth of greenhouse tomato. In Proceedings of the Fuzzy Information and Engineering; Springer: Berlin/Heidelberg, Germany, 2007; pp. 980–987. [Google Scholar]
- Wu, C.-K. A game theory approach for assessing risk value and deploying search-and-rescue resources after devastating tsunamis. Environ. Res. 2018, 162, 18–26. [Google Scholar] [CrossRef]
- Li, S.P.; Gong, Q.X.; Yang, S. A Sustainable, Regional Agricultural Development Measurement System Based on Dissipative Structure Theory and the Entropy Weight Method: A Case Study in Chengdu, China. Sustainability 2019, 11, 5313. [Google Scholar] [CrossRef]
- Tao, Y.; Li, Y.; Zhou, R.; Chu, D.-T.; Su, L.; Han, Y.; Zhou, J. Neuro-fuzzy modeling to predict physicochemical and microbiological parameters of partially dried cherry tomato during storage: Effects on water activity, temperature and storage time. J. Food Sci. Technol. 2016, 53, 3685–3694. [Google Scholar] [CrossRef]
- He, Z.H.; Hong, T.T.; Cai, Z.L.; Yang, Z.; Li, M.N.; Zhang, Z. Determination of amount of irrigation and nitrogen for comprehensive growth of greenhouse cucumber based on multi-level fuzzy evaluation. Int. J. Agric. Biol. Eng. 2021, 14, 35–42. [Google Scholar] [CrossRef]
- Yao, X.; Deng, H.; Zhang, T.; Qin, Y. Multistage fuzzy comprehensive evaluation of landslide hazards based on a cloud model. PLoS ONE 2019, 14, e0224312. [Google Scholar] [CrossRef] [PubMed]
- IUSS Working Group WRB. World Reference Base for Soil Resources. International Soil Classification System for Naming Soils and Creating Legends for Soil Maps, 4th ed.; International Union of Soil Sciences (IUSS): Vienna, Austria, 2022; p. 234. [Google Scholar]
- De Pascale, S.; Maggio, A.; Orsini, F.; Barbieri, G. Cultivar, soil type, nitrogen source and irrigation regime as quality determinants of organically grown tomatoes. Sci. Hortic. 2016, 199, 88–94. [Google Scholar] [CrossRef]
- Dordas, C.A.; Sioulas, C. Safflower yield, chlorophyll content, photosynthesis, and water use efficiency response to nitrogen fertilization under rainfed conditions. Ind. Crop. Prod. 2008, 27, 75–85. [Google Scholar] [CrossRef]
- Neilsen, G.H.; Neilsen, D.; Herbert, L.C.; Hogue, E.J. Response of apple to fertigation of N and K under conditions susceptible to the development of K deficiency. J. Am. Soc. Hortic. Sci. 2004, 129, 26–31. [Google Scholar] [CrossRef]
- Milosevic, T.; Milosevic, N. Apple fruit quality, yield and leaf macronutrients content as affected by fertilizer treatment. J. Soil Sci. Plant Nutr. 2015, 15, 76–83. [Google Scholar]
- Fallahi, E.; Neilsen, D.; Neilsen, G.H.; Fallahi, B.; Shafii, B. Efficient Irrigation for Optimum Fruit Quality and Yield in Apples. Hortscience 2010, 45, 1616–1619. [Google Scholar] [CrossRef]
- Ebel, R.C.; Proebsting, E.L.; Evans, R.G. Apple tree and fruit responses to early termination of irrigation in a semi-arid environment. Hortscience 2001, 36, 1197–1201. [Google Scholar] [CrossRef]
- Ucar, Y.; Kadayifci, A.; Askin, M.A.; Kankaya, A.; Senyigit, U.; Yildirim, F. Yield and Quality Response of Young ‘Gala, Galaxy’ Trees under Different Irrigation Regimes. Erwerbs-Obstbau 2016, 58, 159–167. [Google Scholar] [CrossRef]
- Fallahi, E.; Fallahi, B.; Kiester, M.J. Evapotranspiration-based Irrigation Systems and Nitrogen Effects on Yield and Fruit Quality at Harvest in Fully Mature ‘Fuji’ Apple Trees over Four Years. Hortscience 2018, 53, 38–43. [Google Scholar] [CrossRef]
- Hajnajari, H.; Akbari, H.; Abdossi, V. Genesis of ultra-specialized histology with stable traits in mesophyll of drought tolerant apple cultivars. Sci. Hortic. 2019, 249, 168–176. [Google Scholar] [CrossRef]
- Lopez, G.; Boini, A.; Manfrini, L.; Torres-Ruiz, J.M.; Pierpaoli, E.; Zibordi, M.; Losciale, P.; Morandi, B.; Corelli-Grappadelli, L. Effect of shading and water stress on light interception, physiology and yield of apple trees. Agric. Water Manag. 2018, 210, 140–148. [Google Scholar] [CrossRef]
- Kilili, A.W.; Behboudian, M.H.; Mills, T.M. Composition and quality of ‘Braeburn’ apples under reduced irrigation. Sci. Hortic. 1996, 67, 1–11. [Google Scholar] [CrossRef]
- Christmann, A.; Weiler, E.W.; Steudle, E.; Grill, E. A hydraulic signal in root-to-shoot signalling of water shortage. Plant J. 2007, 52, 167–174. [Google Scholar] [CrossRef]
- Coyago-Cruz, E.; Meléndez-Martínez, A.J.; Moriana, A.; Girón, I.F.; Martín-Palomo, M.J.; Galindo, A.; Pérez-López, D.; Torrecillas, A.; Beltrán-Sinchiguano, E.; Corell, M. Yield response to regulated deficit irrigation of greenhouse cherry tomatoes. Agric. Water Manag. 2019, 213, 212–221. [Google Scholar] [CrossRef]
- Sandhu, O.S.; Gupta, R.K.; Thind, H.S.; Jat, M.L.; Sidhu, H.S.; Yadvinder, S. Drip irrigation and nitrogen management for improving crop yields, nitrogen use efficiency and water productivity of maize-wheat system on permanent beds in North-West India. Agric. Water Manag. 2019, 219, 19–26. [Google Scholar] [CrossRef]
- Zhong, F.; Hou, M.; He, B.; Chen, I. Assessment on the coupling effects of drip irrigation and organic fertilization based on entropy weight coefficient model. PeerJ 2017, 5, e3855. [Google Scholar] [CrossRef] [PubMed]
- Wang, F.; Ge, S.F.; Lyu, M.X.; Liu, J.Q.; Li, M.; Jiang, Y.; Xu, X.X.; Xing, Y.; Cao, H.; Zhu, Z.L.; et al. DMPP reduces nitrogen fertilizer application rate, improves fruit quality, and reduces environmental cost of intensive apple production in China. Sci. Total Environ. 2022, 802, 149813. [Google Scholar] [CrossRef] [PubMed]
- Drake, S.R.; Eisele, T.A. Quality of ‘Gala’ apples as influenced by harvest maturity, storage atmosphere and concomitant storage with ‘Bartlett’ pears. J. Food Qual. 1997, 20, 41–51. [Google Scholar] [CrossRef]
- Thewes, F.R.; Both, V.; Brackmann, A.; Weber, A.; Anese, R.D. Dynamic controlled atmosphere and ultralow oxygen storage on ‘Gala’ mutants quality maintenance. Food Chem. 2015, 188, 62–70. [Google Scholar] [CrossRef]
- He, Z.H.; Su, C.J.; Cai, Z.L.; Wang, Z.; Li, R.; Liu, J.C.; He, J.Q.; Zhang, Z. Multi-factor coupling regulation of greenhouse environment based on comprehensive growth of cherry tomato seedlings. Sci. Hortic. 2022, 297, 110960. [Google Scholar] [CrossRef]
- Hou, M.M.; Lin, Z.Y.; Chen, J.N.; Zhai, Y.M.; Jin, Q.; Zhong, F.L. Optimization on theBuried Depth of Subsurface Drainage under Greenhouse Condition Based on Entropy Evaluation Method. Entropy 2018, 20, 859. [Google Scholar] [CrossRef]
- Wang, Q.S.; Yuan, X.L.; Zhang, J.; Gao, Y.; Hong, J.L.; Zuo, J.; Liu, W. Assessment of the Sustainable Development Capacity with the Entropy Weight Coefficient Method. Sustainability 2015, 7, 13542–13563. [Google Scholar] [CrossRef]
- Kundu, S.; Khare, D.; Mondal, A. Landuse change impact on sub-watersheds prioritization by analytical hierarchy process (AHP). Ecol. Inform. 2017, 42, 100–113. [Google Scholar] [CrossRef]
- Miranda, J.M.D.; Cavalcante, I.H.L.; Oliveira, I.V.D.; Lopes, P.R.C. Advances on apple production under semiarid climate: N fertigation. Emir. J. Food Agric. 2015, 27, 744–748. [Google Scholar] [CrossRef]
- Tian, G.; Li, H.-F.; Tian, M.; Liu, X.-X.; Chen, Q.; Zhu, Z.-L.; Jiang, Y.-M.; Ge, S.-F. Effects of different integration of water and fertilizer modes on the absorption and utilization of nitrogen fertilizer and fruit yield and quality of apple trees. Ying Yong Sheng Tai Xue Bao J. Appl. Ecol. 2020, 31, 1867–1874. [Google Scholar] [CrossRef]
- Dai, Z.G.; Fei, L.J.; Zeng, J.; Huang, D.L.; Liu, T. Optimization of water and nitrogen management for surge-root irrigated apple trees in the Loess Plateau of China. J. Integr. Agric. 2021, 20, 260–273. [Google Scholar] [CrossRef]








| Layer | pH | SOM | Nitrate−N | Ammonia−N | Pa | Ka | SBD | PWP | FC |
|---|---|---|---|---|---|---|---|---|---|
| 0−20 cm | 8.22 | 14.40 | 41.74 | 1.59 | 12.00 | 410.68 | 1.44 | 10.4 | 22.39 |
| 20−40 cm | 8.29 | 11.95 | 27.46 | 1.28 | 4.66 | 502.03 | 1.55 | 10.4 | 24.76 |
| 40−60 cm | 8.03 | 11.3 | 25.24 | 0.91 | 4.10 | 480.20 | 1.34 | 11.5 | 25.24 |
| 60−80 cm | 8.14 | 12.1 | 20.4 | 0.86 | 3.85 | 402.35 | 1.50 | 12.8 | 26.30 |
| 80−100 cm | 8.28 | 11.8 | 18.2 | 0.85 | 3.24 | 380.21 | 1.56 | 14.3 | 26.10 |
| Treatment | Nitrogen Level | Amount of Nitrogen/kg·hm−2 | Irrigation Level | Amount of Irrigation/mm |
|---|---|---|---|---|
| T1 | N1 | 160 | W1 (50% Δf) | 18.4 |
| T2 | N2 | 180 | 18.4 | |
| T3 | N3 | 200 | 18.4 | |
| T4 | N1 | 160 | W2(70% Δf) | 36.8 |
| T5 | N2 | 180 | 36.8 | |
| T6 | N3 | 200 | 36.8 | |
| T7 | N1 | 160 | W3(90% Δf) | 64.8 |
| T8 | N2 | 180 | 64.8 | |
| T9 | N3 | 200 | 64.8 |
| Factors | SFW | FNP | Y | FSI | FF | TSS | OA | SSC | SAR | IWUE | PFPN |
|---|---|---|---|---|---|---|---|---|---|---|---|
| N1 | 145.73 b | 45.00 c | 11,004.57 c | 0.87 | 10.86 a | 13.82 b | 0.41 a | 11.21 b | 28.87 b | 307.54 b | 68.78 c |
| N2 | 162.24 a | 54.44 ab | 14,964.26 ab | 0.86 | 10.36 a | 14.26 a | 0.32 b | 12.83 a | 45.82 a | 409.43 ab | 83.13 a |
| N3 | 162.60 a | 56.00 a | 15,202.94 a | 0.88 | 9.87 b | 14.57 a | 0.29 c | 12.30 a | 47.21 a | 438.80 a | 76.01 b |
| W1 | 135.81 b | 37.67 b | 8488.28 b | 0.87 | 10.68 | 14.79 a | 0.32 b | 12.59 a | 42.02 b | 461.32 a | 46.86 b |
| W2 | 166.59 a | 58.44 a | 16,188.54 a | 0.88 | 10.32 | 14.12 b | 0.24 c | 12.38 a | 54.81 a | 439.91 ab | 89.40 a |
| W3 | 168.19 a | 59.33 a | 16,494.95 a | 0.86 | 10.09 | 13.73 b | 0.46 a | 11.38 b | 25.09 c | 254.55 c | 91.66 a |
| N | * | * | * | ns | * | * | *** | ** | ** | * | *** |
| W | * | * | * | ns | ns | * | *** | ** | *** | *** | * |
| N × W | * | ns | * | ns | ns | * | *** | *** | ** | * | * |
| Treatment | a1 | a2 | a3 | a4 | |||||||
|---|---|---|---|---|---|---|---|---|---|---|---|
| a11 | a12 | a13 | a21 | a22 | a31 | a32 | a33 | a34 | a41 | a42 | |
| N1W1 | 0.090 | 0.072 | 0.057 | 0.112 | 0.125 | 0.111 | 0.128 | 0.106 | 0.081 | 0.111 | 0.065 |
| N2W1 | 0.098 | 0.074 | 0.064 | 0.110 | 0.114 | 0.111 | 0.107 | 0.111 | 0.102 | 0.125 | 0.065 |
| N3W1 | 0.100 | 0.096 | 0.085 | 0.110 | 0.104 | 0.125 | 0.078 | 0.129 | 0.161 | 0.164 | 0.076 |
| N1W2 | 0.110 | 0.098 | 0.095 | 0.110 | 0.112 | 0.105 | 0.103 | 0.109 | 0.103 | 0.092 | 0.107 |
| N2W2 | 0.127 | 0.140 | 0.156 | 0.112 | 0.110 | 0.120 | 0.064 | 0.129 | 0.199 | 0.151 | 0.156 |
| N3W2 | 0.117 | 0.138 | 0.142 | 0.115 | 0.110 | 0.106 | 0.067 | 0.102 | 0.148 | 0.138 | 0.128 |
| N1W3 | 0.109 | 0.119 | 0.115 | 0.112 | 0.113 | 0.108 | 0.173 | 0.093 | 0.052 | 0.063 | 0.130 |
| N2W3 | 0.120 | 0.136 | 0.143 | 0.107 | 0.109 | 0.103 | 0.145 | 0.112 | 0.075 | 0.079 | 0.144 |
| N3W3 | 0.128 | 0.127 | 0.143 | 0.111 | 0.103 | 0.112 | 0.134 | 0.108 | 0.078 | 0.078 | 0.129 |
| AHP | 0.324 | 0.125 | 0.304 | 0.247 | |||||||
| Entropy | 0.073 | 0.315 | 0.613 | 0.112 | 0.888 | 0.013 | 0.036 | 0.369 | 0.582 | 0.499 | 0.501 |
Disclaimer/Publisher’s Note: The statements, opinions and data contained in all publications are solely those of the individual author(s) and contributor(s) and not of MDPI and/or the editor(s). MDPI and/or the editor(s) disclaim responsibility for any injury to people or property resulting from any ideas, methods, instructions or products referred to in the content. |
© 2023 by the authors. Licensee MDPI, Basel, Switzerland. This article is an open access article distributed under the terms and conditions of the Creative Commons Attribution (CC BY) license (https://creativecommons.org/licenses/by/4.0/).
Share and Cite
Cai, S.; Zheng, B.; Zhao, Z.; Zheng, Z.; Yang, N.; Zhai, B. Precision Nitrogen Fertilizer and Irrigation Management for Apple Cultivation Based on a Multilevel Comprehensive Evaluation Method of Yield, Quality, and Profit Indices. Water 2023, 15, 468. https://doi.org/10.3390/w15030468
Cai S, Zheng B, Zhao Z, Zheng Z, Yang N, Zhai B. Precision Nitrogen Fertilizer and Irrigation Management for Apple Cultivation Based on a Multilevel Comprehensive Evaluation Method of Yield, Quality, and Profit Indices. Water. 2023; 15(3):468. https://doi.org/10.3390/w15030468
Chicago/Turabian StyleCai, Shibiao, Bangyu Zheng, Zhiyuan Zhao, Zhaoxia Zheng, Na Yang, and Bingnian Zhai. 2023. "Precision Nitrogen Fertilizer and Irrigation Management for Apple Cultivation Based on a Multilevel Comprehensive Evaluation Method of Yield, Quality, and Profit Indices" Water 15, no. 3: 468. https://doi.org/10.3390/w15030468
APA StyleCai, S., Zheng, B., Zhao, Z., Zheng, Z., Yang, N., & Zhai, B. (2023). Precision Nitrogen Fertilizer and Irrigation Management for Apple Cultivation Based on a Multilevel Comprehensive Evaluation Method of Yield, Quality, and Profit Indices. Water, 15(3), 468. https://doi.org/10.3390/w15030468

