Effects of Carbon Source on Denitrification and Electricity Generation in Composite Packing MFC-CW for Tail Water Treatment
Abstract
:1. Introduction
2. Materials and Methods
2.1. Experimental Setup and Fillers for CWs
2.2. System Operation
2.3. Water Quality, Electrochemical Analysis, and Scanning Electron Microscope of the Fillers
3. Results and Discussion
3.1. Pollutants Removal and Power Generation during Initiation Period
3.1.1. Pollutants Removal during Initiation Period
3.1.2. Voltage Output during Initiation Period
3.1.3. Scanning Electron Microscope (SEM) of the Fillers
3.2. The Effects of C/N on Pollutant Removal and Electricity Generation
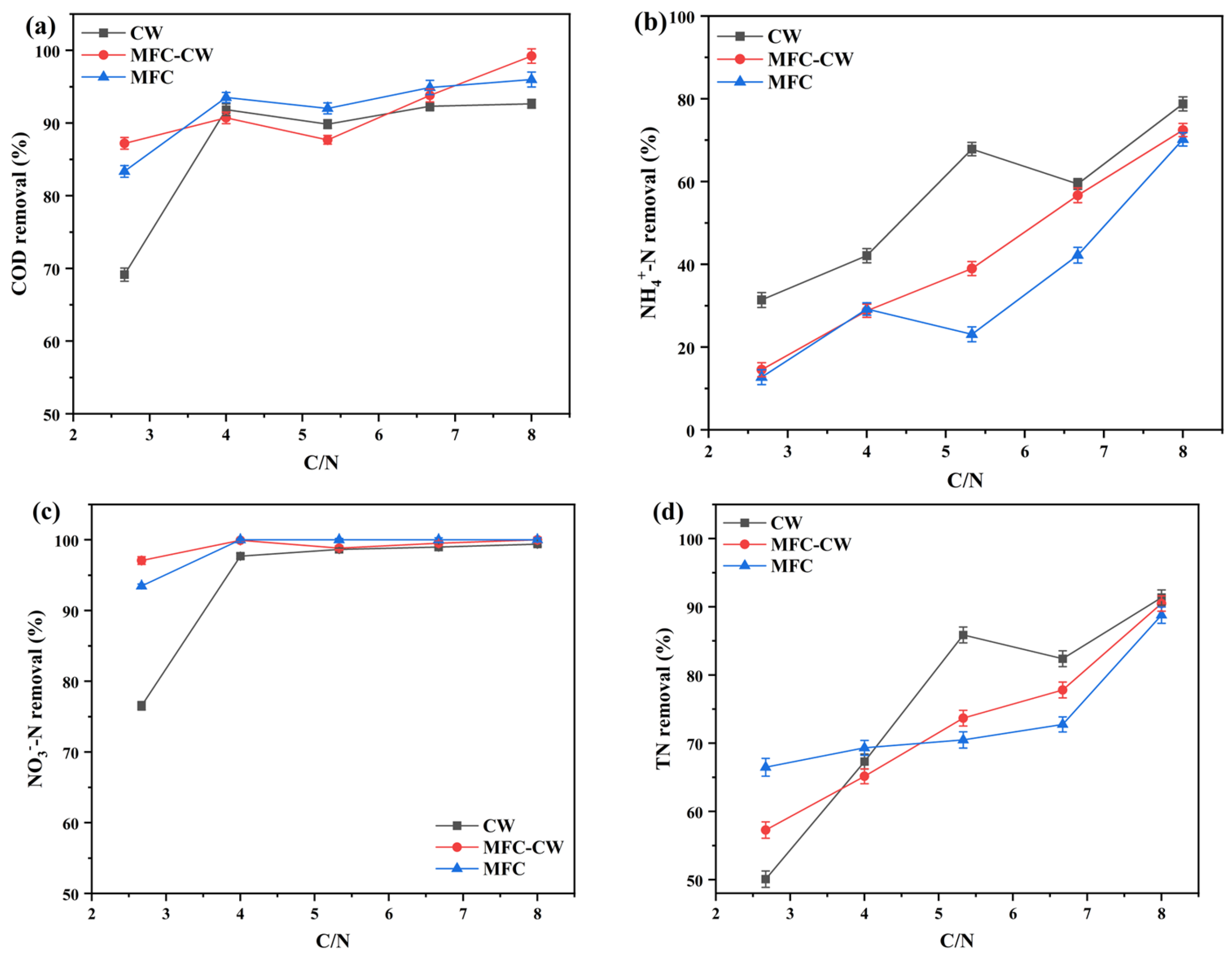
3.2.1. Pollutant Removal
3.2.2. Electricity Production Analysis
4. Conclusions
Author Contributions
Funding
Data Availability Statement
Acknowledgments
Conflicts of Interest
References
- Abell, R.; Lehner, B.; Thieme, M.; Linke, S. Looking Beyond the Fenceline: Assessing Protection Gaps for the World’s Rivers. Conserv. Lett. 2017, 10, 383–393. [Google Scholar] [CrossRef]
- Chen, C.; Luo, J.; Bu, C.; Zhang, W.; Ma, L. Efficacy of a Large-Scale Integrated Constructed Wetland for Pesticide Removal in Tail Water from a Sewage Treatment Plant. Sci. Total Environ. 2022, 838, 156568. [Google Scholar] [CrossRef]
- Doherty, L.; Zhao, Y.; Zhao, X.; Hu, Y.; Hao, X.; Xu, L.; Liu, R. A Review of a Recently Emerged Technology: Constructed Wetland-Microbial Fuel Cells. Water Res. 2015, 85, 38–45. [Google Scholar] [CrossRef]
- Dawi, E.; Padervand, M.; Bargahi, A.; Eftekhari-Sis, B.; Bahrami, M.; Abdelkader, A. Efficient visible-light-driven photocatalytic removal of Acid Blue 92, E. coli, and S. aureus over Ag-AgCl nanoparticles-decorated bismuth sulfide microparticles. Mater. Res. Express 2023, 10, 105008. [Google Scholar] [CrossRef]
- Wang, H.; Xu, X.; Labidi, A.; Ren, H.; Allam, A.; Rady, A.; Huang, Y.; Wei, S.; Padervand, M.; Ghasemi, S.; et al. Cyano/Hydroxyl Groups Co-Functionalized g-C3N4 for Photocatalytic NO Removal: A Synergistic Strategy towards Inhibition of Toxic Intermediate NO2. Catalysts 2023, 13, 1433. [Google Scholar] [CrossRef]
- Tao, M.; Kong, Y.; Jing, Z.; Guan, L.; Jia, Q.; Shen, Y.; Hu, M. Corncobs addition enhances the nitrogen removal in a constructed wetland for the disposal of secondary effluent from wastewater treatment plants. J. Water Process Eng. 2023, 56, 104467. [Google Scholar] [CrossRef]
- Zheng, Y.; Cao, T.; Zhang, Y.; Xiong, J.; Dzakpasu, M.; Yang, D.; Yang, Q.; Liu, Y.; Li, Q.; Liu, S.; et al. Characterization of Dissolved Organic Matter and Carbon Release from Wetland Plants for Enhanced Nitrogen Removal in Constructed Wetlands for Low C–N Wastewater Treatment. Chemosphere 2021, 273, 129630. [Google Scholar] [CrossRef] [PubMed]
- Ge, X.; Cao, X.; Song, X.; Wang, Y.; Si, Z.; Zhao, Y.; Wang, W.; Tesfahunegn, A.A. Bioenergy Generation and Simultaneous Nitrate and Phosphorus Removal in a Pyrite-Based Constructed Wetland-Microbial Fuel Cell. Bioresour. Technol. 2020, 296, 122350. [Google Scholar] [CrossRef] [PubMed]
- Li, H.; Xu, H.; Song, H.L.; Lu, Y.; Yang, X.L. Antibiotic Resistance Genes, Bacterial Communities, and Functions in Constructed Wetland-Microbial Fuel Cells: Responses to the Co-Stresses of Antibiotics and Zinc. Environ. Pollut. 2020, 265, 115084. [Google Scholar] [CrossRef] [PubMed]
- Wang, Q.; Lv, R.; Rene, E.R.; Qi, X.; Hao, Q.; Du, Y.; Zhao, C.; Xu, F.; Kong, Q. Characterization of Microbial Community and Resistance Gene (CzcA) Shifts in up-Flow Constructed Wet-lands-Microbial Fuel Cell Treating Zn (II) Contaminated Wastewater. Bioresour. Technol. 2020, 302, 122867. [Google Scholar] [CrossRef]
- Wu, H.; Fan, J.; Zhang, J.; Ngo, H.H.; Guo, W.; Hu, Z.; Liang, S. Decentralized Domestic Wastewater Treatment Using Intermittently Aerated Vertical Flow Constructed Wetlands: Impact of Influent Strengths. Bioresour. Technol. 2015, 176, 163–168. [Google Scholar] [CrossRef] [PubMed]
- Shen, Z.; Zhou, Y.; Liu, J.; Xiao, Y.; Cao, R.; Wu, F. Enhanced Removal of Nitrate Using Starch/PCL Blends as Solid Carbon Source in a Constructed Wetland. Bioresour. Technol. 2015, 175, 239–244. [Google Scholar] [CrossRef] [PubMed]
- Fu, X.; Hou, R.; Yang, P.; Qian, S.; Feng, Z.; Chen, Z.; Wang, F.; Yuan, R.; Chen, H.; Zhou, B. Application of External Carbon Source in Heterotrophic Denitrification of Domestic Sewage: A Review. Sci. Total Environ. 2022, 817, 153061. [Google Scholar] [CrossRef]
- Sun, X.; Li, X.; Tang, S.; Lin, K.; Zhao, T.; Chen, X. A Review on Algal-Bacterial Symbiosis System for Aquaculture Tail Water Treatment. Sci. Total Environ. 2022, 847, 157620. [Google Scholar] [CrossRef] [PubMed]
- Tao, M.; Kong, Y.; Jing, Z.; Jia, Q.; Tao, Z.; Li, Y.Y. Denitrification performance, bioelectricity generation and microbial response in microbial fuel cell–constructed wetland treating carbon constraint wastewater. Bioresour. Technol. 2022, 363, 127902. [Google Scholar] [CrossRef] [PubMed]
- Jin, M.; You, M.; Lan, Q.; Cai, L.; Lin, M. Effect of Copper on the Photosynthesis and Growth of Eichhornia Crassipes. Plant Biol. 2021, 23, 777–784. [Google Scholar] [CrossRef]
- Tao, M.; Jing, Z.; Tao, Z.; Luo, H.; Zuo, S.; Li, Y.Y. Efficient Nitrogen Removal in Microbial Fuel Cell–Constructed Wetland with Corncobs Addition for Secondary Effluent Treatment. J. Clean. Prod. 2022, 332, 130108. [Google Scholar] [CrossRef]
- Wang, J.; Song, X.; Wang, Y.; Abayneh, B.; Li, Y.; Yan, D.; Bai, J. Nitrate Removal and Bio-energy Production in Constructed Wetland Coupled with Microbial Fuel Cell: Establishment of Electrochemically Active Bacteria Community on Anode. Bioresour. Technol. 2016, 221, 358–365. [Google Scholar] [CrossRef]
- Selvaraj, D.; Velvizhi, G. Self-Sustained Semi-Pilot Scale Hybrid Eco-Electrogenic Engineered System for the Wastewater Treatment and Bioenergy Generation. J. Water Process Eng. 2023, 51, 103474. [Google Scholar] [CrossRef]
- Xie, T.; Jing, Z.; Hu, J.; Yuan, P.; Liu, Y.; Cao, S. Degradation of Nitrobenzene-Containing Wastewater by a Microbial-Fuel-Cell-Coupled Constructed Wetland. Ecol. Eng. 2018, 112, 65–71. [Google Scholar] [CrossRef]
- GB 3838-2002; Environmental Quality Standards for Surface Water. Ministry of Ecology and Environment of the People’s Republic of China: Beijing, China, 2002.
- Guna, V.; Ilangovan, M.; Anantha Prasad, M.G.; Reddy, N. Water Hyacinth: A Unique Source for Sustainable Materials and Products. ACS Sustain. Chem. Eng. 2017, 5, 4478–4490. [Google Scholar] [CrossRef]
- Tao, M.; Guan, L.; Jing, Z.; Tao, Z.; Wang, Y.; Luo, H.; Wang, Y. Enhanced Denitrification and Power Generation of Municipal Wastewater Treatment Plants (WWTPs) Effluents with Biomass in Microbial Fuel Cell Coupled with Constructed Wetland. Sci. Total Environ. 2020, 709, 136159. [Google Scholar] [CrossRef]
- Wang, Y.; Singh, R.P.; Geng, C.; Fu, D. Carbon-to-Nitrogen Ratio Influence on the Performance of Bioretention for Wastewater Treatment. Environ. Sci. Pollut. R. 2020, 27, 17652–17660. [Google Scholar] [CrossRef] [PubMed]
- Jiang, C.; Yang, Q.; Wang, D.; Zhong, Y.; Chen, F.; Li, X.; Zeng, G.; Li, X.; Shang, M. Simultaneous Perchlorate and Nitrate Removal Coupled with Electricity Generation in Autotrophic Denitrifying Biocathode Microbial Fuel Cell. Chem. Eng. J. 2017, 308, 783–790. [Google Scholar] [CrossRef]
- Tao, M.; Kong, Y.; Jing, Z.; Guan, L.; Jia, Q.; Shen, Y.; Hu, M.; Li, Y.Y. Acorus Calamus Recycled as an Additional Carbon Source in a Microbial Fuel Cell-Constructed Wetland for Enhanced Nitrogen Removal. Bioresour. Technol. 2023, 384, 129324. [Google Scholar] [CrossRef]
- Naga Samrat, M.V.V.; Kesava Rao, K.; Ruggeri, B.; Tommasi, T. Denitrification of Water in a Microbial Fuel Cell (MFC) Using Seawater Bacteria. J. Clean. Prod. 2018, 178, 449–456. [Google Scholar] [CrossRef]
- Puig, S.; Coma, M.; Desloover, J.; Boon, N.; Colprim, J.; Balaguer, M.D. Autotrophic Denitrification in Microbial Fuel Cells Treating Low Ionic Strength Waters. Environ. Sci. Technol. 2012, 46, 2309–2315. [Google Scholar] [CrossRef]
- Wen, H.; Zhu, H.; Xu, Y.; Yan, B.; Shutes, B.; Bañuelos, G.; Wang, X. Removal of Sulfamethoxazole and Tetracycline in Constructed Wetlands Integrated with Microbial Fuel Cells Influenced by Influent and Operational Conditions. Environ. Pollut. 2021, 272, 115988. [Google Scholar] [CrossRef]
- Wang, X.; Tian, Y.; Liu, H.; Zhao, X.; Wu, Q. Effects of Influent COD/TN Ratio on Nitrogen Removal in Integrated Constructed Wetland–Microbial Fuel Cell Systems. Bioresour. Technol. 2019, 271, 492–495. [Google Scholar] [CrossRef]
- Liu, S.; Song, H.; Wei, S.; Yang, F.; Li, X. Bio-Cathode Materials Evaluation and Configuration Optimization for Power Output of Vertical Subsurface Flow Constructed Wetland-Microbial Fuel Cell Systems. Bioresour. Technol. 2014, 166, 575–583. [Google Scholar] [CrossRef]









| Indices | Concentration (mg/L) |
|---|---|
| COD | 38.67–120.16 |
| NH4+-N | 6.56–7.99 |
| NO3−-N | 11.61–11.74 |
| TN | 12.50–15.00 |
Disclaimer/Publisher’s Note: The statements, opinions and data contained in all publications are solely those of the individual author(s) and contributor(s) and not of MDPI and/or the editor(s). MDPI and/or the editor(s) disclaim responsibility for any injury to people or property resulting from any ideas, methods, instructions or products referred to in the content. |
© 2023 by the authors. Licensee MDPI, Basel, Switzerland. This article is an open access article distributed under the terms and conditions of the Creative Commons Attribution (CC BY) license (https://creativecommons.org/licenses/by/4.0/).
Share and Cite
Kong, Y.; Hu, J.; Lu, X.; Cheng, C. Effects of Carbon Source on Denitrification and Electricity Generation in Composite Packing MFC-CW for Tail Water Treatment. Water 2023, 15, 4285. https://doi.org/10.3390/w15244285
Kong Y, Hu J, Lu X, Cheng C. Effects of Carbon Source on Denitrification and Electricity Generation in Composite Packing MFC-CW for Tail Water Treatment. Water. 2023; 15(24):4285. https://doi.org/10.3390/w15244285
Chicago/Turabian StyleKong, Yu, Jing Hu, Xiwu Lu, and Changgen Cheng. 2023. "Effects of Carbon Source on Denitrification and Electricity Generation in Composite Packing MFC-CW for Tail Water Treatment" Water 15, no. 24: 4285. https://doi.org/10.3390/w15244285
APA StyleKong, Y., Hu, J., Lu, X., & Cheng, C. (2023). Effects of Carbon Source on Denitrification and Electricity Generation in Composite Packing MFC-CW for Tail Water Treatment. Water, 15(24), 4285. https://doi.org/10.3390/w15244285
