Hydrochemical Characteristics and Water Quality Assessment of Irkutsk Reservoir (Baikal Region, Russia)
Abstract
:1. Introduction
2. Materials and Methods
2.1. Study Site
2.2. Sampling and Analytical Methods
2.3. Pollution Indices
- The single-factor pollution index (CF) was used to determine only one element in a sample [26]:where Ci is the concentration of the analyzed element and, C0 is the concentration of metal in the control material. The CF value is divided into categories: CF < 1—low contamination, 1 ≤ CF ≤ 3—moderate contamination, 3 ≤ CF ≤ 6—considerable contamination, 6 ≥ CF—very high contamination.
- The pollution load index (PLI) was used to calculate the total contamination in each sample [27]:where CF is an individual element pollution index. The PLI is divided into categories: PLI < 0—non-polluted, 0 < PLI ≤ 1—baseline levels of pollutants, 1 < PLI ≤ 10—polluted, 10 < PLI ≤ 100—highly polluted, PLI > 100—progressive deterioration of the environment.
3. Results and Discussion
3.1. Major Ion Composition
3.2. Trace Elements Composition
| Al | Cr | Mn | Fe | Co | Cu | Zn | References | ||
| Irkutsk Reservoir | Min–max | 1.13–15.39 | <DL–0.39 | 0.39–23.12 | 1.25–53.22 | 0.005–0.100 | 0.20–1.98 | <DL–13.40 | Present study |
| Mean | 4.60 | 0.10 | 7.02 | 12.09 | 0.017 | 0.55 | 4.21 | ||
| Median | 3.79 | 0.08 | 5.26 | 9.33 | 0.013 | 0.45 | 3.51 | ||
| SD | 2.93 | 0.05 | 5.42 | 9.51 | 0.016 | 0.30 | 2.71 | ||
| Source of the Angara River | 1.13–6.09 * 3.07 | 0.06–0.17 0.11 | 0.76–12.57 5.54 | 1.25–16.90 7.67 | <DL–0.025 0.011 | 0.28–1.29 0.68 | 2.02–10.26 4.99 | ||
| Source of the Angara River | 3.89 | 0.12 | 2.93 | 18.8 | 0.011 | 0.62 | 2.11 | [45] | |
| Lake Baikal | 0.34–1.15 | 0.07 | 0.06–0.33 | 0.26–1.12 | 0.003 | 0.16–0.25 | 0.24–0.56 | [46] | |
| Lake Baikal | 0.1–1.0 0.38 | 0.03–0.09 0.07 | 0.01–0.53 0.13 | 0.1–1.6 0.38 | 0.002–0.005 0.003 | 0.2–1.0 0.21 | 0.4–4.3 3.2 | [20] | |
| Bratsk Reservoir | 12.9 | 0.19 | 22.9 | 22.4 | – | 0.84 | 3.80 | [47] | |
| World average values | 0.5–480 32 | 0.5–11.5 0.7 | 0.41–113.52 34 | 1–525 66 | 0.006–0.260 0.148 | 0.23–3.53 1.48 | 0.04–27.0 0.6 | [44] | |
| MPC ** | 500 | 50 | 100 | 300 | 100 | 1000 | 5000 | [48] | |
| As | Cd | Sn | Cs | Pb | Th | U | Reference | ||
| Irkutsk Reservoir | Min–max | 0.25–0.53 | 0.004–0.127 | <DL–0.195 | <DL–0.0277 | <DL–1.13 | <DL–0.0202 | 0.27–0.75 | Present study |
| Mean | 0.37 | 0.025 | 0.022 | 0.0034 | 0.23 | 0.0017 | 0.50 | ||
| Median | 0.37 | 0.021 | 0.011 | 0.0012 | 0.12 | 0.0007 | 0.51 | ||
| SD | 0.06 | 0.018 | 0.031 | 0.0050 | 0.25 | 0.0033 | 0.07 | ||
| Source of the Angara River | 0.25–0.48 0.37 | 0.015–0.055 0.029 | <DL–0.195 0.032 | 0.0006–0.0087 0.0043 | <DL–1.13 0.33 | <DL–0.0053 0.0009 | 0.40–0.55 0.50 | ||
| Source of the Angara River | 0.46 | 0.011 | 0.028 | 0.0016 | 0.05 | 0.0014 | 0.58 | [45] | |
| Lake Baikal | 0.40–0.41 | 0.008 | <0.011 | 0.0017 | 0.010–0.036 | 0.0006 | 0.52 | [46] | |
| Lake Baikal | 0.30–0.50 0.40 | 0.001–0.010 0.008 | <0.01–0.04 <0.01 | 0.002–0.008 0.0013 | <0.02 | 0.002–0.020 0.004 | 0.4–0.7 0.55 | [20] | |
| Bratsk Reservoir | 0.37 | 0.023 | – | 0.0022 | 0.111 | – | 0.52 | [47] | |
| World average values | 0.11–2.71 0.62 | 0.0006–0.42 0.08 | – | 0.0006–0.016 0.011 | 0.006–3.8 0.079 | 0.001–4.3 0.0055 | 0.004–4.94 0.37 | [44] | |
| MPC | 50 | 1 | – | – | 30 | – | – | [48] | |
3.2.1. Angara River Source
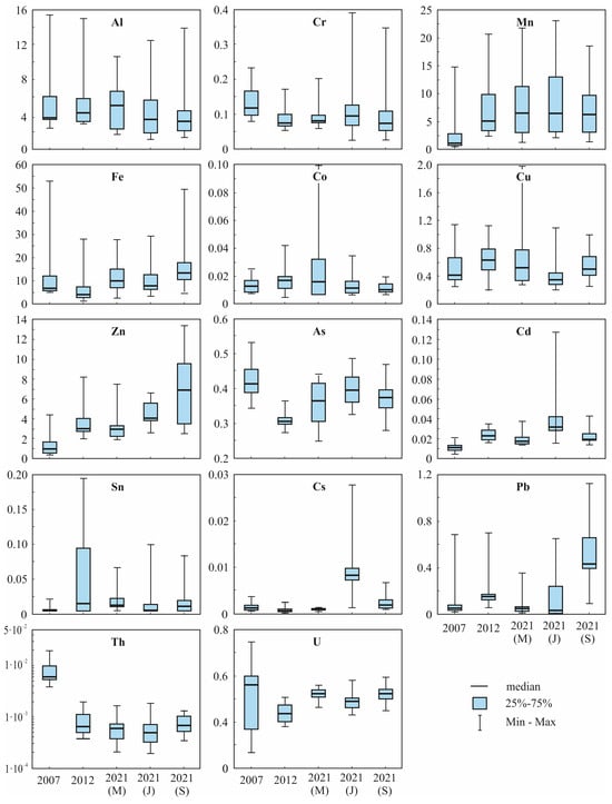
3.2.2. Irkutsk Reservoir
3.3. Correlation Analysis
3.4. Trace Element Pollution Status and Analysis of Water Quality
4. Conclusions
Supplementary Materials
Author Contributions
Funding
Data Availability Statement
Acknowledgments
Conflicts of Interest
References
- Li, P.; Qian, H. Water resources research to support a sustainable China. Int. J. Water Resour. Dev. 2018, 34, 327–336. [Google Scholar] [CrossRef]
- Lu, J.; Gu, J.; Han, J.; Xu, J.; Liu, Y.; Jiang, G.; Zhang, Y. Evaluation of Spatiotemporal Patterns and Water Quality Conditions Using Multivariate Statistical Analysis in the Yangtze River, China. Water 2023, 15, 3242. [Google Scholar] [CrossRef]
- Carstens, D.; Amer, R. Spatio-temporal analysis of urban changes and surface water quality. J. Hydrol. 2019, 569, 720–734. [Google Scholar] [CrossRef]
- Kumar, V.; Parihar, D.R.; Sharma, A.; Bakshi, P.; Preet Singh Sidhu, G.; Shreeya Bali, A.; Karaouzas, I.; Bhardwaj, R.; Thukral, A.K.; Gyasi-Agyei, Y.; et al. Global evaluation of heavy metal content in surface water bodies: A meta-analysis using heavy metal pollution indices and multivariate statistical analyses. Chemosphere 2019, 236, 124364. [Google Scholar] [CrossRef] [PubMed]
- Kushwah, V.K.; Singh, K.R.; Gupta, N.; Berwal, P.; Alfaisal, F.M.; Khan, M.A.; Alam, S.; Qamar, O. Assessment of the Surface Water Quality of the Gomti River, India, Using Multivariate Statistical Methods. Water 2023, 15, 3575. [Google Scholar] [CrossRef]
- Muhammad, S.; Ullah, I. Spatial and seasonal variation of water quality indices in Gomal Zam Dam and its tributaries of south Waziristan District, Pakistan. Environ. Sci. Pollut. Res. 2022, 29, 29141–29151. [Google Scholar] [CrossRef]
- Cho, Y.-C.; Im, J.-K.; Han, J.; Kim, S.-H.; Kang, T.; Lee, S. Comprehensive Water Quality Assessment Using Korean Water Quality Indices and Multivariate Statistical Techniques for Sustainable Water Management of the Paldang Reservoir, South Korea. Water 2023, 15, 509. [Google Scholar] [CrossRef]
- Kamani, H.; Hosseini, A.; Mohebi, S. Evaluation of water quality of Chahnimeh as natural reservoirs from Sistan region in southwestern Iran: A Monte Carlo simulation and Sobol sensitivity assessment. Environ. Sci. Pollut. Res. 2023, 30, 65618–65630. [Google Scholar] [CrossRef]
- Dević, G. Environmental Impacts of Reservoirs. In Environmental Indicators; Armon, R., Hänninen, O., Eds.; Springer: Dordrecht, The Netherlands, 2015; pp. 561–575. [Google Scholar] [CrossRef]
- Zhu, X.; Xu, Z.; Liu, Z.; Liu, M.; Yin, Z.; Yin, L.; Zheng, W. Impact of dam construction on precipitation: A regional perspective. Mar. Freshw. Res. 2022, 74, 877–890. [Google Scholar] [CrossRef]
- Yin, L.; Wang, L.; Keim, B.D.; Konsoer, K.; Yin, Z.; Liu, M.; Zheng, W. Spatial and wavelet analysis of precipitation and river discharge during operation of the Three Gorges Dam, China. Ecol. Indic. 2023, 154, 110837. [Google Scholar] [CrossRef]
- Zhao, Q.; Liu, S.; Deng, L.; Yang, Z.; Dong, S.; Wang, C.; Zhang, Z. Spatio-temporal variation of heavy metals in fresh water after dam construction: A case study of the Manwan Reservoir, Lancang River. Environ. Monit. Assess. 2012, 184, 4253–4266. [Google Scholar] [CrossRef] [PubMed]
- Ochoa-Contreras, R.; Jara-Marini, M.E.; Sanchez-Cabeza, J.A.; Meza-Figueroa, D.M.; Pérez-Bernal, L.H.; Ruiz-Fernández, A.C. Anthropogenic and climate induced trace element contamination in a water reservoir in northwestern Mexico. Environ. Sci. Pollut. Res. 2021, 28, 16895–16912. [Google Scholar] [CrossRef] [PubMed]
- Wiejaczka, Ł.; Prokop, P.; Kozłowski, R.; Sarkar, S. Reservoir’s impact on the water chemistry of the Teesta River mountain course (Darjeeling Himalaya). Ecol. Chem. Eng. S 2018, 25, 73–88. [Google Scholar] [CrossRef]
- Ali, H.; Khan, E.; Ilahi, I. Environmental chemistry and ecotoxicology of hazardous heavy metals: Environmental persistence, toxicity, and bioaccumulation. J. Chem. 2019, 4, 6730305. [Google Scholar] [CrossRef]
- Griboff, J.; Wunderlin, D.A.; Horacek, M.; Monferrán, M.V. Seasonal variations on trace element bioaccumulation and trophic transfer along a freshwater food chain in Argentina. Environ. Sci. Pollut. Res. Int 2020, 27, 40664–40678. [Google Scholar] [CrossRef]
- Okogwu, O.I.; Nwonumara, G.N.; Okoh, F.A. Evaluating Heavy Metals Pollution and Exposure Risk Through the Consumption of Four Commercially Important Fish Species and Water from Cross River Ecosystem, Nigeria. Bull. Environ. Contam. Toxicol. 2019, 102, 867–872. [Google Scholar] [CrossRef]
- Garnero, P.L.; Bistoni, M.A.; Monferrán, M.V. Trace element concentrations in six fish species from freshwater lentic environments and evaluation of possible health risks according to international standards of consumption. Environ. Sci. Pollut. Res. 2020, 27, 27598–27608. [Google Scholar] [CrossRef]
- Lomonosov, I.S.; Yanovsky, L.M.; Brukhanova, N. Major water quality indicators in Pribaikalye and their influence on man (Report 1). Sib. Sci. Med. J. 2009, 3, 110–113. (In Russian) [Google Scholar]
- Vetrov, V.A.; Kuznetsova, A.I.; Sklyarova, O.A. Baseline Levels of Chemical Elements in the Water of Lake Baikal. Geogr. Nat. Resour. 2013, 34, 228–238. [Google Scholar] [CrossRef]
- Nikolaeva, M.D. Hydrochemistry of the Angara River and the Irkutsk Reservoir. Ph.D. Thesis, State University of Irkutsk, Irkutsk, Russia, 1968. (In Russian). [Google Scholar]
- Tarasova, E.N.; Mamontov, A.A.; Mamontova, E.A. Factors determining the the modern hydrochemical regime of Irkutsk reservoir. Water Chem. Ecol. 2015, 7, 10–17. (In Russian) [Google Scholar]
- Karnaukhova, G.A. Hydrochemistry of the Angara and reservoirs of the Angara cascade. Water Resour. 2008, 35, 71–79. [Google Scholar] [CrossRef]
- Ovchinnikov, G.I.; Pavlov, S.C.; Trzhtsinsky, U.B. Change of Geological Environment in the Zones of Influence of the Angara-Yenisei Reservoirs; Nauka: Novosibirsk, Russia, 1999; 254p. (In Russian) [Google Scholar]
- Jaguś, A.; Rzetala, M.A.; Rzetala, M. Water storage possibilities in Lake Baikal and in reservoirs impounded by the dams of the Angara River cascade. Environ. Earth Sci. 2015, 73, 621–628. [Google Scholar] [CrossRef]
- Hakanson, L. Ecological risk index for aquatic pollution control—A sedimentological approach. Water Res. 1980, 14, 975–1001. [Google Scholar] [CrossRef]
- Tomlinson, D.L.; Wilson, J.G.; Harris, C.R.; Jeffrey, D.W. Problem in the assessment of heavy metals level in estuaries and the formation of a pollution index. Helgol. Meeresunters 1980, 33, 566–575. [Google Scholar] [CrossRef]
- Khodzher, T.V.; Domysheva, V.M.; Sorokovikova, L.M.; Sakirko, M.V.; Tomberg, I.V. Current chemical composition of Lake Baikal water. Inland Waters 2017, 7, 250–258. [Google Scholar] [CrossRef]
- Grebenshchikova, V.I.; Kuzmin, M.I.; Doroshkov, A.A.; Proydakova, O.A.; Tsydypova, S.B. The cyclicity in the changes in the chemical composition of the water source of the Angara River (Baikal Stock) in 2017–2018 in comparison with the last 20 years of data. Environ. Monit. Assess. 2019, 191, 728. [Google Scholar] [CrossRef]
- Poletaeva, V.I.; Tirskikh, E.N.; Pastukhov, M.V. Hydrochemistry of sediment pore water in the Bratsk reservoir (Baikal region, Russia). Sci. Rep. 2021, 11, 11124. [Google Scholar] [CrossRef]
- Poletaeva, V.I.; Dolgikh, P.G.; Pastukhov, M.V. Specifics of hydrochemical regime formation at the Ust-ilimsk water reservoir. Water Chem. Ecol. 2017, 10, 11–17. (In Russian) [Google Scholar]
- Meybeck, M. Global occurrence of major elements in rivers. In Treatise on Geochemistry; Holland, H.D., Turekian, K.K., Eds.; Elsevier: Amsterdam, The Netherlands, 2003; Volume 5, pp. 207–223. [Google Scholar]
- Berner, E.K.; Berner, R.A. Global Environmental: Water, Air and Geochemical Cycles; Prentice-Hall: Englewood Cliffs, NJ, USA, 1996; 376p. [Google Scholar]
- Gaury, P.K.; Meena, N.K.; Mahajan, A.K. Hydrochemistry and water quality of Rewalsar Lake of Lesser Himalaya, Himachal Pradesh, India. Environ. Monit. Assess. 2018, 190, 84. [Google Scholar] [CrossRef]
- Zhang, W.; Ma, L.; Abuduwaili, J.; Ge, Y.; Issanova, G.; Saparov, G. Hydrochemical characteristics and irrigation suitability of surface water in the Syr Darya River, Kazakhstan. Environ. Monit. Assess. 2019, 191, 572. [Google Scholar] [CrossRef]
- Votintsev, K.K. Hydrochemistry of Lake Baikal; Publishing House of the Academy of Sciences of the USSR: Moscow, Russia, 1961; 311p. (In Russian) [Google Scholar]
- Domysheva, V.M.; Sorokovikova, L.M.; Sinyukovich, V.N.; Onishchuk, N.A.; Sakirko, M.V.; Tomberg, I.V.; Zhuchenko, N.A.; Golobokova, L.P.; Khodzher, T.V. Ionic Composition of Water in Lake Baikal, Its Tributaries, and the Angara River Source during the Modern Period. Russ. Meteorol. Hydrol. 2019, 44, 687–694. [Google Scholar] [CrossRef]
- Koval, P.V.; Udodov, Y.N.; Andrulaitis, L.D.; Gapon, A.; Sklyarova, O.E.; Chemigova, S.E. Hydrochemical characteristics of the surface runoff in Lake Baikal (1997–2003). Dokl. Earth Sci. 2005, 401, 452–455. [Google Scholar]
- Karnaukhova, G.A. Mineralogical zoning of bottom sediments of the Irkutsk reservoir under conditions of unstable level regime. Proc. Fersman Sci. Sess. GI KSC RAS 2019, 16, 250–254. (In Russian) [Google Scholar]
- Li, S.; Ye, C.; Zhang, Q. 11-Year change in water chemistry of large freshwater Reservoir Danjiangkou, China. J. Hydrol. 2017, 551, 508–517. [Google Scholar] [CrossRef]
- Kuzmin, M.I.; Tarasova, E.N.; Mamontova, E.A.; Mamontov, A.A.; Kerber, E.V. Seasonal and interannual variations of water chemistry in the headwater streams of the Angara River (Baikal) from 1950 to 2010. Geochem. Int. 2014, 52, 523–532. [Google Scholar] [CrossRef]
- Silow, E.A. Lake Baikal: Current Environmental Problems. In Encyclopedia of Environmental Management; Taylor and Francis: New York, NY, USA, 2014; pp. 1–9. [Google Scholar]
- Ongley, E.D.; Zhang, X.; Yu, T. Current status of agricultural and rural non-point source Pollution assessment in China. Environ. Pollut. 2010, 158, 1159–1168. [Google Scholar] [CrossRef]
- Gaillardet, J.; Viers, J.; Dupré, B. Trace Elements in River Waters. In Treatise on Geochemistry, Surface and Groundwater, Weathering and Soils; Drever, J.I., Ed.; Elsevier: Amsterdam, The Netherlands, 2003; pp. 225–272. [Google Scholar]
- Alieva, V.I.; Grebenshchikova, V.I.; Zagorulko, N.A. Long-term monitoring and modern methods for studying the microelement composition of the waters of the Angara River. Eng. Ecol. 2011, 3, 24–34. (In Russian) [Google Scholar]
- Sklyarova, O.A. Distribution of trace elements in the water column of middle Baikal. Geogr. Nat. Resour. 2011, 32, 34–39. [Google Scholar] [CrossRef]
- Poletaeva, V.I.; Pastukhov, M.V.; Tirskikh, E.N. Dynamics of Trace Element Composition of Bratsk Reservoir Water in Different Periods of Anthropogenic Impact (Baikal Region, Russia). Arch. Environ. Contam. Toxicol. 2021, 80, 531–545. [Google Scholar] [CrossRef]
- SanPiN 2.1.4.1074-01. Drinking Water Hygienic Requirements for Water Quality of Centralized Drinking Water Supply Systems. Quality Control. Hygienic Requirements for Provision of Safety of Hot Water Supply Systems. Available online: https://www.mast.is/static/files/library/Regluger%C3%B0ir/Russland/SanPin%202_1_4_1074-01_ForWater.pdf (accessed on 2 November 2023).
- Sklyarov, E.V.; Sklyarova, O.A.; Lavrenchuk, A.V.; Menshagin, Y. Natural pollutants of Northern Lake Baikal. Environ. Earth Sci. 2015, 74, 2143–2155. [Google Scholar] [CrossRef]
- Koval, P.V.; Udodov, Y.N.; Andrulaitis, L.D.; San’kov, V.A.; Gapon, A.E. Mercury in the source of the Angara river: Fiver-year concentration trend and possible reasons of its variations. Dokl. Earth Sci. 2003, 389, 282–285. [Google Scholar]
- Belozertseva, I.A.; Vorobyeva, I.B.; Vlasova, N.V.; Lopatina, D.N.; Yanchuk, M. Snow pollution in Lake Baikal water area in nearby land areas. Water Resour. 2017, 44, 471–484. [Google Scholar] [CrossRef]
- Falkner, K.K.; Church, M.; Measures, C.I.; Lebaron, G.; Thouron, D.; Jeandel, C.; Stordal, M.C.; Gill, G.A.; Mortlock, R.; Froelich, P.; et al. Minor and Trace Element Chemistry of Lake Baikal, Its Tributaries and Surrounding Hot Springs. Limnol. Oceanogr. 1997, 42, 329–345. [Google Scholar] [CrossRef]
- Pereira, T.L.; Wallner-kersanach, M.; Costa, L.D.; Costa, D.P.; Baisch, P.R. Nickel, vanadium, and lead as indicators of sediment contamination of marina, refinery, and shipyard areas. Environ. Sci. Pollut. Res. 2017, 25, 1719–1730. [Google Scholar] [CrossRef]
- Valero, A.; Umbría-Salinas, K.; Wallner-Kersanach, M.; de Andrade, C.F.; Yabe, M.J.S.; Contreira-Pereira, L.; Wasserman, J.C.; Kuroshima, K.N.; Zhang, H. Potential availability of trace metals in sediments in southeastern and southern Brazilian shipyard areas using the DGT technique and chemical extraction methods. Sci. Total. Environ. 2020, 710, 136216. [Google Scholar] [CrossRef]
- Umbría-Salinas, K.; Valero, A.; Wallner-Kersanach, M.; de Andrade, C.F.; Yabe, M.J.S.; Wasserman, J.C.; Kuroshima, K.N.; Zhang, H. Labile metal assessment in water by diffusive gradients in thin films in shipyards on the Brazilian subtropical coast. Sci. Total Environ. 2021, 775, 145184. [Google Scholar] [CrossRef]
- Suturin, A.N.; Chebykin, E.P.; Malnik, V.V.; Khanaev, I.V.; Minaev, A.V.; Minaev, V.V. The role of anthropogenic factors in the development of ecological stress in lake Baikal littoral (the Listvyanka settlement lakescape). Geogr. Nat. Resour. 2016, 6, 43–54. [Google Scholar] [CrossRef]
- Vorobyeva, I.B.; Naprasnikova, E.V.; Vlasova, N.V. Ecological and geochemical features of snow, ice and under ice water in the southern part of lake Baikal. Geoecol. Eng. Geol. Hydrogeol. Geocryol. 2009, 1, 54–60. [Google Scholar]
- Gorme, J.B.; Maniquiz, M.C.; Song, P.; Kim, L.-H. The water quality of the Pasig River in the City of Manila, Philippines: Current status, management and future recovery. Environ. Eng. Res. 2010, 15, 173–179. [Google Scholar] [CrossRef]
- Giri, S.; Singh, A.K. Assessment of Surface Water Quality Using Heavy Metal Pollution Index in Subarnarekha River, India. Water Qual Expo. Health 2014, 5, 173–182. [Google Scholar] [CrossRef]
- Wu, J.; Lu, J.; Zhang, C.; Zhang, Y.; Lin, Y.; Xu, J. Pollution, sources, and risks of heavy metals in coastal waters of China. Hum. Ecol. Risk Assess. Int. J. 2019, 26, 2011–2026. [Google Scholar] [CrossRef]
- Zhaoyong, Z.; Xiaodong, Y.; Shengtian, Y. Heavy metal pollution assessment, source identification, and health risk evaluation in Aibi Lake of northwest China. Environ Monit Assess 2018, 190, 69. [Google Scholar] [CrossRef] [PubMed]
- Xia, X.; Chen, X.; Liu, R.; Liu, H. Heavy metals in urban soils with various types of land use in Beijing, China. J. Hazard. Mater. 2011, 186, 2043–2050. [Google Scholar] [CrossRef] [PubMed]
- Solpina, N.G.; Cherkashina, A.A. Erosion processes on the banks of the Irkutsk reservoir and their consequences. Bull. Irkutsk. State University. Ser. Earth Sci. 2020, 33, 124–136. [Google Scholar] [CrossRef]
- Karnaukhova, G.A.; Shtel’makh, S.I. Geochemical heterogeneities of lithosphere and hydrosphere in the Irkutsk Reservoir as the indicator of the geo-ecological state. Limnol. Freshw. Biol. 2020, 4, 849–850. [Google Scholar] [CrossRef]
- Ammar, R.; Kazpard, V.; Wazne, M.; Samrani, A.G.; Nabil, A.; Saad, Z.; Chou, L. Reservoir sediments: A sink or source of chemicals at the surface water-groundwater interface. Environ. Monit. Assess. 2015, 187, 579. [Google Scholar] [CrossRef]
- Pavoni, E.; Crosera, M.; Petranich, E.; Faganeli, J.; Klun, K.; Oliveri, P.; Covelli, S.; Adami, G. Distribution, Mobility and Fate of Trace Elements in an Estuarine System Under Anthropogenic Pressure: The Case of the Karstic Timavo River (Northern Adriatic Sea, Italy). Estuaries Coasts 2021, 44, 1831–1847. [Google Scholar] [CrossRef]
- Pastukhov, M.V.; Poletaeva, V.I.; Tirskikh, E.N. Long-term dynamics of mercury pollution of the Bratsk reservoir bottom sediments, Baikal region, Russia. IOP Conf. Ser. Earth Environ. Sci. 2019, 321, 012041. [Google Scholar] [CrossRef]
- Jaguś, A.; Khak, V.A.; Rzetala, M.A.; Mariusz, R. Trace Elements in the Bottom Sediments of the Irkutsk Reservoir. Ecol. Chem. Eng. A 2012, 19, 939–950. [Google Scholar] [CrossRef]
- Caballero-Gallardo, K.; Alcala-Orozco, M.; Barraza-Quiroz, D.; De la Rosa, J.; Olivero-Verbel, J. Environmental risks associated with trace elements in sediments from Cartagena Bay, an industrialized site at the Caribbean. Chemosphere 2019, 242, 125173. [Google Scholar] [CrossRef]
- Zhang, H.; Jiang, Y.; Wang, M.; Wang, P.; Shi, G.; Ding, M. Spatial characterization, risk assessment, and statistical source identification of the dissolved trace elements in the Ganjiang River-feeding tributary of the Poyang Lake, China. Environ. Sci. Pollut. Res. Int. 2017, 24, 2890–2903. [Google Scholar] [CrossRef] [PubMed]
- Hussain, J.; Dubey, A.; Hussain, I.; Arif, M.; Shankar, A. Surface water quality assessment with reference to trace metals in River Mahanadi and its tributaries, India. Appl. Water Sci. 2020, 10, 193. [Google Scholar] [CrossRef]
- Poletaeva, V.I. Angara river hydrochemical variability when biulding the Boguchany reservoir (Russia). Bull. Tomsk. Polytech. Univ. Geo Assets Eng. 2022, 333, 146–158. [Google Scholar] [CrossRef]
- Wetzel, R.G. Limnology: Lakes and River Ecosystems; Academic Press: London, UK, 2001; 1006p. [Google Scholar]
- Senze, M.; Kowalska-Góralska, M.; Czyż, K. Aluminum Bioaccumulation in Reed Canary Grass (Phalaris arundinacea L.) from Rivers in Southwestern Poland. Int. J. Environ. Res. Public Health 2022, 19, 2930. [Google Scholar] [CrossRef]
- Gałuszka, A.; Migaszewski, Z.M. Geochemical background—An environmental perspective. Mineralogia 2011, 42, 7–17. [Google Scholar] [CrossRef]




| HCO3− | Cl− | SO42− | Ca2+ | Mg2+ | Na+ | K+ | TDS | Reference | |
|---|---|---|---|---|---|---|---|---|---|
| Lake Baikal | 66.3 ± 1.6 | 0.4 ± 0.03 | 5.5 ± 0.1 | 16.4 ± 0.4 | 3.0 ± 0.1 | 3.3 ± 0.1 | 1.0 ± 0.1 | ~96 | [28] |
| Source of the Angara River | 66.2 | 0.6 | 5.7 | 15.4 | 3.3 | 4.2 | 95.6 | [29] | |
| Source of the Angara River | 59.3−69.3 * 64.2 ± 3.7 | <DL−1.21 0.76 ± 0.34 | 3.9−5.8 4.3 ± 0.5 | 14.4−15.6 14.0 ± 0.6 | 3.0−3.6 3.2 ± 0.2 | 2.9−3.4 3.2 ± 0.2 | 0.9−1.1 1.0 ± 0.1 | 86.1−100.1 92.4 ± 4.9 | Present study |
| Irkutsk Reservoir | 50.4−73.2 64.0 ± 3.9 | <DL−1.27 0.85 ± 0.21 | 3.7−8.5 4.8 ± 0.8 | 11.7−17.7 14.9 ± 0.8 | 2.0−5.7 3.3 ± 0.4 | 2.7−3.6 3.2 ± 0.2 | 0.7−1.2 1.0 ± 0.1 | 50.4−73.2 64.0 ± 3.9 | |
| Bratsk Reservoir | 71.9 | 3.0 | 11.3 | 19.8 | 3.9 | 4.0 | 1.0 | 71.9 | [30] |
| Ust-Ilimsk Reservoir | 79.6 | 16.2 | 5.5 | 19.1 | 6.5 | 6.3 | 1.1 | 79.6 | [31] |
| Sampling Site | Trace Element | Sampling Site | Trace Element | ||
|---|---|---|---|---|---|
| S1 | s 1 | Al, Cu, Pb—2007 2, Sn—2012, Pb, Zn—2021 (S) | S1-r | s | Pb—2021 (S) |
| S1-l | s | Cu—2021 (M), Pb—2021 (S) | S2 | s | Al, Cr, Th—2007, Sn—2012, Mn—2021 (J), Zn—2021 (S) |
| b | Al, Cu—2021 (M), Zn—2021 (S) | ||||
| S3 | s | Cr, Fe, Co, Th, U—2007, Co—2021 (M), Cr, Zn, Pb—2021 (S) | S4 | s | Cu—2007, Al, Mn, Co, Cu—2021 (M), Fe, Cs—2021 (J), Fe, Zn, Cr—2021 (S) |
| b | Zn, Pb—2021 (S) | b | Sn—2021 (S), Al, Fe, Co, Zn—2021 (S) | ||
| S5 | s | Al, Mn, Fe, Pb –2012, Mn, Fe—2021 (J), Mn—2021 (S) | S6 | s | Sn—2012, Mn—2021 (M), Cr, Cs—2021 (J), Zn, Sn—2021 (S), |
| b | Co—2021 (M), Cs—2021 (J), Fe, Zn—2021 (S) | b | Sn—2012, Sn—2021 (S) | ||
| S7 | s | Zn—2021 (S) | S8 | s | – |
| b | Zn—2021 (S) | b | – | ||
| S9 | s | Th—2007, Cu, Zn—2021 (M), Cr, Fe, Co, Sn, As—2021 (J), Sn—2021 (S) | S10 | s | Fe, Th, U—2007, Al—2021 (J), Pb—2021 (S) |
| b | – | b | Cu—2012, Mn, Cs—2021 (J) | ||
| S11 | s | Sn—2012, Cd, Sn, Cs—2021 (J) | S11-r | s | Cd, Cs—2021 (J) |
| b | Sn, Pb—2012, Cd, Cs, Pb—2021 (J), Pb—2021 (S) | S11-l | s | Sn—2012, Mn—2021 (S) | |
| 2007 | 2012 | 2021 (M) | 2021 (J) | 2021 (S) | |
|---|---|---|---|---|---|
| HCO3− | (+ **)Ca2+ | (+ **)K+ | (+ **)K+, Ca2+, U; (– **)SO42−, Mg2+, Al, Cr, Fe, Th | (+ *)Ca2+; (– *)Al | (+ *)Mg2+, As; (+ **)Fe |
| Cl− | (+ **)SO42−, (+ *)Mg2+, (– *) Ca2+ | (– **)Zn | (+ **)SO42−, Cd, Cs; (+ *)Na+, Pb | (+ *)Cu | |
| SO42− | (+ **)Cl−, Mg2+ | (+ *)Co | (+ **)Mg2+, Al, Mn, Fe, Pb, Th; (– **)HCO3−, K+, Ca2+, U | (+ **)Cl−; (+ *) Mg2+, Cr, Cu; (– *)K+, U | (+ *)Mg2+, Al, Mn |
| K+ | (+ **)Al, Co; (+ *)Cd, Pb | (+ **)HCO3−; (+ *)U; (– **)Fe; (– *)Mn | (+ **)HCO3−, Ca2+, U; (– **)SO42−,Al, Cr, Mn, Fe, Pb, Th | (– *)SO42−, Zn | |
| Na+ | (+ **)Cs; (+ *) Cd | (+ *)Cl−; (– *) U | (+ **)Fe: (+ *)Mg2+; (– *)Ca2+ | ||
| Ca2+ | (+ *)HCO3−, Cr (– *)Cl− | (– **)Mg2+, Al, Fe, Zn | (+ **)HCO3−, K+, U; (– **)SO42−, Mg2+, Al, Cr, Fe, Pb, Th; (– *)Mn | (+ *)HCO3− | (+ *)Cd; (– **)Fe; (– *)Na+ |
| Mg2+ | (+ **)SO42−; (+ *)Cl− | (+ **)Fe, Zn; (+ *) Al; (– **)Ca2+ | (+ **)SO42−, Ca2+, Al, Mn, Fe, Th; (+ *) Pb, (– **)HCO3−, U | (+ **)Th; (+ *)SO42− | (+ **)Fe; (+ *)HCO3−, SO42−, Na+ |
| Al | (+ **)K+, Mn, Fe, Co | (+ **)Mn, Fe, Zn; (+ *)Mg2+, Co, Th; (– **)Ca2+ | (+ **)SO42−, Mg2+, Cr, Mn, Fe, Pb, Th; (– **)HCO3−, K+, Ca2+; (– **)U | (+ **)Cu, Th | (+ **)Fe, Co, Cu; (+ *) SO42− |
| Cr | (+ *)Ca2+ | (+ **)Al, Fe, Pb, Th; (– **)HCO3−, K+, Ca2+, U | (+ **)Fe, Co, Cu, As, Sn; (+ *)SO42−, Pb | (+ **)Zn, Pb | |
| Mn | (+ **)Al, Fe, Co, Th | (+ **)Al, (+ *)Fe, Co, Zn (– *) K+,U, | (+ **)SO42−, Mg2+, Al, Fe, Pb; (+ *)Th; (– **)K+; (– *)Ca2+,U | (+ *)SO42− | |
| Fe | (+ **)Al, Mn, Co | (+ **)Mg2+, Al, Co; (+ *)Mn, Zn; (– **)K+, Ca2+ | (+ **)SO42−, Mg2+, Al, Cr, Mn, Pb, Th; (– **)HCO3−, K+, Ca2+, U | (+ **) Cr, Co, Cu, As, Sn | (+ **) HCO3−, Mg2+, Al, Co; (+ *)Na+, Zn; (– **) Ca2+ |
| Co | (+ **)K+, Al, Mn, Fe | (+ **)Fe, (+ *)SO42−, Al, Mn | (+ **)Cr, Fe, Cu, Sn; (+ *)As | (+ **)Al, Fe; (+ *)Cu | |
| Cu | (+ **)Cs | (+ **)Sn, Pb | (+ **)Al, Cr, Fe, Co, Sn; (+ *)SO42−, Zn | (+ **)Al, (+ *)Co, Cl− | |
| Zn | (+ **)Cd, Pb | (+ **)Mg2+, Al, As; (+ *)Mn, Zn, Cd; (– *)Ca2+ | (– **)Cl− | (+ *)Cu; (– *)K+ | (+ **)Cr, Cs; (+ *)Fe |
| As | (+ **)Zn, Cd | (+ **)Cr, Fe, Sn; (+ *)Co | (+ *)HCO3−, Pb | ||
| Cd | (+ **)Zn, Sn, Pb; (+ *)K+ | (+ **)As; (+ *)Zn | (+ *)Na+ | (+ **)Cl−, Cs, Pb | (+ *)Ca2+ |
| Sn | (+ **)Cd, Pb | (+ **)Th | (+ **)Cu | (+ **)Cr, Fe, Co, Cu, As | |
| Cs | (+ **)Cu | (+ **)Na+ | (+ **)Cl−, Cd, Pb | (+ **)Zn, (+ *)Pb | |
| Pb | (+ **)Zn, Cd, Sn; (+ *)K+ | (+ **)SO42−, Al, Cr, Mn, Fe, Cu, Th (+ *)Mg2+; (– **)K+, Ca2+ | (+ **)Cl−, Cd, Cs; (+ *)Cr | (+ **)Cr; (+ *)As, Cs | |
| Th | (+ **)Mn | (+ **)Sn; (+ *)Al | (+ **)SO42−, Mg2+, Al, Cr, Fe, Pb; (+ *)Mn; (– **)HCO3−, K+, Ca2+, U | (+ **)Al; (+ **)Mg2+ | |
| U | (+ *)K+; (– **)Mn | (+ **)HCO3−, K+, Ca2+, (– **)SO42−, Mg2+, Al, Cr, Fe, Th; (– *)Mn | (– *)SO42− |
| Trace Element | 2007 | 2012 | 2021 (M) | 2021 (J) | 2021 (S) |
|---|---|---|---|---|---|
| Al | 0.8–5.3 | 1.0–5.2 | 0.6–3.7 | 0.4–4.3 | 0.5–4.8 |
| Cr | 0.6–1.8 | 0.4–1.3 | 0.5–1.6 | 0.2–3.0 | 0.1–1.7 |
| Mn | 0.1–2.8 | 0.5–3.9 | 0.2–4.2 | 0.4–4.4 | 0.3–3.5 |
| Fe | 0.6–6.3 | 0.1–3.3 | 0.3–3.3 | 0.4–3.5 | 0.5–5.9 |
| Co | 0.8–2.5 | 0.5–4.2 | 0.1–10.0 | 0.6–3.5 | 0.6–1.9 |
| Cu | 0.4–1.7 | 0.3–1.7 | 0.4–3.0 | 0.3–1.7 | 0.4–1.5 |
| Zn | 0.1–0.9 | 0.4–1.7 | 0.4–1.6 | 0.5–1.4 | 0.5–2.8 |
| As | 0.9–1.4 | 0.7–1.0 | 0.7–1.2 | 0.9–1.3 | 0.7–1.2 |
| Cd | 0.2–0.8 | 0.6–1.3 | 0.5–1.4 | 0.6–4.7 | 0.5–1.6 |
| Sn | 0.2–0.7 | 0.2–6.3 | 0.2–2.1 | 0.2–3.2 | 0.2–2.7 |
| Cs | 0.1–0.9 | 0.0–0.6 | 0.1–0.4 | 0.3–6.9 | 0.2–1.7 |
| Pb | 0.1–2.2 | 0.2–2.3 | 0.0–1.1 | 0.0–2.1 | 0.3–3.6 |
| Th | 2.4–12.6 | 0.2–1.2 | 0.1–1.1 | 0.1–1.2 | 0.2–0.8 |
| U | 0.5–1.5 | 0.7–1.0 | 0.4–1.1 | 0.9–1.1 | 0.9–1.2 |
Disclaimer/Publisher’s Note: The statements, opinions and data contained in all publications are solely those of the individual author(s) and contributor(s) and not of MDPI and/or the editor(s). MDPI and/or the editor(s) disclaim responsibility for any injury to people or property resulting from any ideas, methods, instructions or products referred to in the content. |
© 2023 by the authors. Licensee MDPI, Basel, Switzerland. This article is an open access article distributed under the terms and conditions of the Creative Commons Attribution (CC BY) license (https://creativecommons.org/licenses/by/4.0/).
Share and Cite
Pastukhov, M.V.; Poletaeva, V.I.; Hommatlyyev, G.B. Hydrochemical Characteristics and Water Quality Assessment of Irkutsk Reservoir (Baikal Region, Russia). Water 2023, 15, 4142. https://doi.org/10.3390/w15234142
Pastukhov MV, Poletaeva VI, Hommatlyyev GB. Hydrochemical Characteristics and Water Quality Assessment of Irkutsk Reservoir (Baikal Region, Russia). Water. 2023; 15(23):4142. https://doi.org/10.3390/w15234142
Chicago/Turabian StylePastukhov, Mikhail V., Vera I. Poletaeva, and Guvanchgeldi B. Hommatlyyev. 2023. "Hydrochemical Characteristics and Water Quality Assessment of Irkutsk Reservoir (Baikal Region, Russia)" Water 15, no. 23: 4142. https://doi.org/10.3390/w15234142
APA StylePastukhov, M. V., Poletaeva, V. I., & Hommatlyyev, G. B. (2023). Hydrochemical Characteristics and Water Quality Assessment of Irkutsk Reservoir (Baikal Region, Russia). Water, 15(23), 4142. https://doi.org/10.3390/w15234142

