Sedimentary Characteristics and Internal Architecture of a Sandy Braided River: Insights from a Numerical Model
Abstract
:1. Introduction
2. Data and Methods
2.1. Principles of Sedimentary Numerical Simulation
2.2. Parameter Setting and Boundary Conditions
2.3. Methods of Analysis
3. Results
3.1. The Growth and Evolution Process of Channel Bar
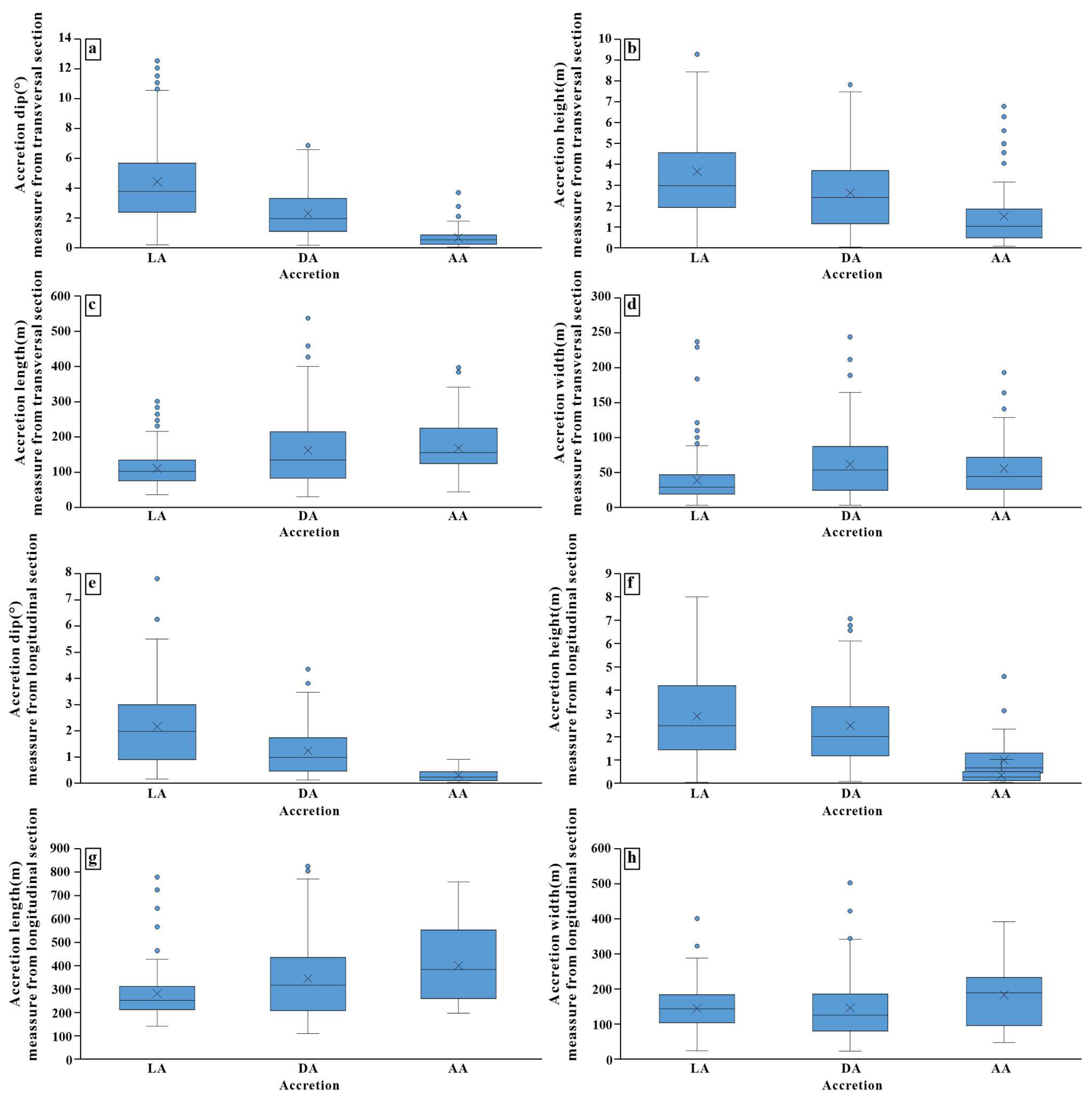
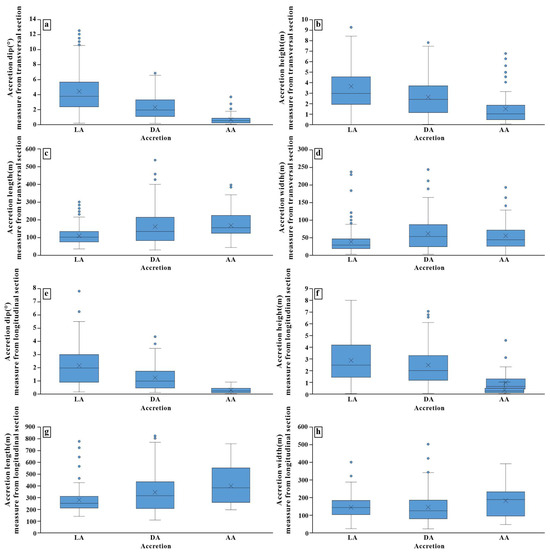
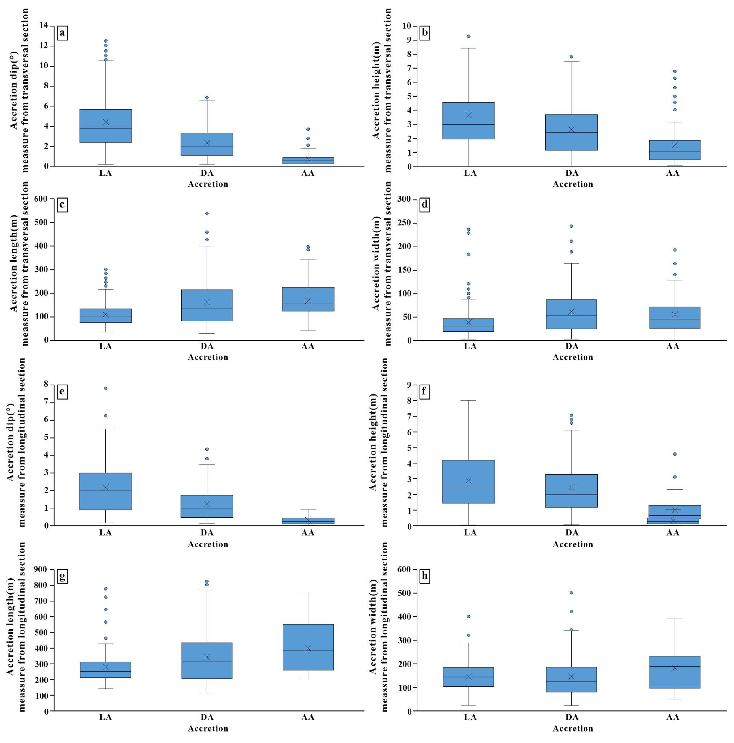
3.2. Accretions Formed during Deposition
3.2.1. Downstream Accretion (DA)
3.2.2. Lateral Accretion (LA)
3.2.3. Aggradational Accretion (AA)
3.3. Channel Bar Classification and Architecture
3.3.1. Unit Bar
3.3.2. Compound Bars
- (1)
- LA-dominated compound bar
- (2)
- DA-dominated compound bar
3.3.3. Complex Compound Bars
4. Discussion
4.1. Sedimentary Evolution of the Channel Bar
4.2. Classification of Channel Bar
4.3. The Location and Scale of the Accretions inside the Bars
4.4. The D50 and Permeability of the Bars
5. Conclusions
- (1)
- The channel bar consists of downstream accretion (DA), lateral accretion (LA), and aggradational accretion (AA). DA appears earlier in wide and shallow bedforms, while LA becomes one of the primary accretion types on the channel bars as the braided channel network develops. Stabilization of the channel network leads to AA deposition as a fraction of the flow covers the top of the bars. The evolutionary process subsequently increases the complexity of channel bars, resulting in a higher variety and abundance of accretion types.
- (2)
- The internal architecture of channel bars can be categorized into unit bars, simple compound bars, and complex compound bars based on accretions types. Unit bars possess a lobate shape and consist of multiple accretions, with downstream accretions (DA) preserved in the core, aggradational accretions (AA) layered above the core, and lateral accretions (LA) deposited on the sides. Compound bars form through the migration and amalgamation of multiple unit bars, resulting in a greater number of accretions. They can be further classified into two categories based on the dominant accretion type: DA-dominated and LA-dominated. Complex compound bars result from the amalgamation of multiple compound bars and unit bars, undergoing erosion, cutting, and deposition during formation, leading to the development of additional accretions. They exhibit a vertical sequence comprising both the DA to AA style seen in unit bars and the DA to LA to AA style observed in compound bars, while horizontally showing a recurring succession from DA to LA. The sedimentary direction of complex compound bars is influenced by their specific location within the braided river system. Meanwhile, considering the correlation of particle sizes with permeability, we observed that the permeability of the four bars varies in the absence of strong cementation. The unit bars and complex compound bars have the highest permeability, followed by the DA-dominated compound bars, while the LA-dominated compound bars have the lowest permeability.
Author Contributions
Funding
Data Availability Statement
Conflicts of Interest
References
- Bridge, J.S. Rivers and Floodplains: Forms, Processes, and Sedimentary Record; Blackwell: Oxford, UK, 2003. [Google Scholar]
- Schuurman, F.; Kleinhans, M.G. Bar Dynamics and Bifurcation Evolution in a Modelled Braided Sand-bed River. Earth Surf. Process. Landf. 2015, 40, 1318–1333. [Google Scholar] [CrossRef]
- Best, J.L.; Ashworth, P.J. Scour in large braided rivers and the recognition of sequence stratigraphic boundaries. Nature 1997, 387, 275–277. [Google Scholar] [CrossRef]
- Kiss, T.; Sipos, G. Braid-Scale Channel Geometry Changes in a Sand-Bedded River: Significance of Low Stages. Geomorphology 2007, 84, 209–221. [Google Scholar] [CrossRef]
- Chalov, R.S.; Zavadskii, A.S.; Ruleva, S.N. Parallel-Branch Braiding of River Channels: Formation Conditions, Morphology, and Dynamics. Water Resour. 2008, 35, 156–164. [Google Scholar] [CrossRef]
- Schuurman, F.; Kleinhans, M.G.; Middelkoop, H. Network Response to Disturbances in Large Sand-Bed Braided Rivers. Earth Surf. Dynam. 2016, 4, 25–45. [Google Scholar] [CrossRef]
- Cant, D.J.; Walker, R.G. Fluvial Processes and Facies Sequences in the Sandy Braided South Saskatchewan River, Canada. Sedimentology 1978, 25, 625–648. [Google Scholar] [CrossRef]
- Smith, S.A. The Sedimentology and Accretionary Styles of an Ancient Gravel-Bed Stream: The Budleigh Salterton Pebble Beds (Lower Triassic), Southwest England. Sediment. Geol. 1990, 67, 199–219. [Google Scholar] [CrossRef]
- Sambrook Smith, G.H.; Best, J.L.; Petts, G.E.; Bristow, C.S. Braided Rivers: Process, Deposits, Ecology and Management; Blackwell International Association of Sedimentologists 36: Oxford, UK, 2006; pp. 11–50. [Google Scholar]
- Ashworth, P.J.; Sambrook Smith, G.H.; Best, J.L.; Bridge, J.S.; Lane, S.N.; Lunt, I.A.; Reesink, A.J.H.; Simpson, C.J.; Thomas, R.E. Evolution and Sedimentology of a Channel Fill in the Sandy Braided South Saskatchewan River and Its Comparison to the Deposits of an Adjacent Compound Bar: Evolution and Sedimentology of a Channel Fill in a Sandy Braided River. Sedimentology 2011, 58, 1860–1883. [Google Scholar] [CrossRef]
- Best, J.L.; Ashworth, P.J.; Bristow, C.S.; Roden, J. Three-Dimensional Sedimentary Architecture of a Large, Mid-Channel Sand Braid Bar, Jamuna River, Bangladesh. J. Sediment. Res. 2003, 73, 516–530. [Google Scholar] [CrossRef]
- Khan, N.I.; Islam, A. Quantification of erosion patterns in the Brahmaputra–Jamuna River using geographical information system and remote sensing techniques. Hydrol. Process. 2003, 17, 959–966. [Google Scholar] [CrossRef]
- Kleinhans, M.G.; Ferguson, R.I.; Lane, S.N.; Hardy, R.J. Splitting Rivers at Their Seams: Bifurcations and Avulsion: BIFURCATIONS AND AVULSION. Earth Surf. Process. Landf. 2013, 38, 47–61. [Google Scholar] [CrossRef]
- Nicholas, A.P. Modelling the Continuum of River Channel Patterns. Earth Surf Process. Landf 2013, 38, 1187–1196. [Google Scholar] [CrossRef]
- Vesipa, R.; Camporeale, C.; Ridolfi, L. Effect of Sampling Time in the Laboratory Investigation of Braided Rivers. Water Resour. Res. 2017, 53, 5184–5197. [Google Scholar] [CrossRef]
- Castelltort, S. Empirical Relationship between River Slope and the Elongation of Bars in Braided Rivers: A Potential Tool for Paleoslope Analysis from Subsurface Data. Mar. Pet. Geol. 2018, 96, 544–550. [Google Scholar] [CrossRef]
- Zhang, K.; Wu, S.; Feng, W.; Zhang, J.; Wen, S. Bar Dynamics in a Sandy Braided River: Insights from Sediment Numerical Simulations. Sediment. Geol. 2020, 396, 105557. [Google Scholar] [CrossRef]
- Cant, D.J.; Walker, R.G. Development of a Braided-Fluvial Facies Model for the Devonian Battery Point Sandstone, Québec. Can. J. Earth Sci. 1976, 13, 102–119. [Google Scholar] [CrossRef]
- Sambrook Smith, G.H.; Ashworth, P.J.; Best, J.L.; Woodward, J.; Simpson, C.J. The Sedimentology and Alluvial Architecture of the Sandy Braided South Saskatchewan River, Canada. Sedimentology 2006, 53, 413–434. [Google Scholar] [CrossRef]
- Munawar, M.J.; Lin, C.; Chunmei, D.; Zhang, X.; Zhao, H.; Xiao, S.; Azeem, T.; Zahid, M.A.; Ma, C. Architecture and Reservoir Quality of Low-Permeable Eocene Lacustrine Turbidite Sandstone from the Dongying Depression, East China. Open Geosci. 2018, 10, 87–112. [Google Scholar] [CrossRef]
- Feng, C.; Bao, Z.; Yang, L.; Si, X.; Xu, G.; Han, X. Reservoir Architecture and Remaining Oil Distribution of Deltaic Front Underwater Distributary Channel. Pet. Explor. Dev. 2014, 41, 358–364. [Google Scholar] [CrossRef]
- Mosselman, E. Hydraulic geometry of straight alluvial channels and the principle of least action. J. Hydraul. Res. 2004, 42, 219–222. [Google Scholar] [CrossRef]
- Kleinhans, M.G.; Van Dijk, W.M.; van de Lageweg, W.I.; Hoyal, D.C.; Markies, H.; van Maarseveen, M.; Roosendaal, C.; van Weesep, W.; van Breemen, D.; Hoendervoogt, R.; et al. Quantifiable Effectiveness of Experimental Scaling of River- and Delta Morphodynamics and Stratigraphy. Earth-Sci. Rev. 2014, 133, 43–61. [Google Scholar] [CrossRef]
- Schuurman, F.; Marra, W.A.; Kleinhans, M.G. Physics-Based Modeling of Large Braided Sand-Bed Rivers: Bar Pattern Formation, Dynamics, and Sensitivity: BRAIDED RIVER MODELING. J. Geophys. Res. Earth Surf. 2013, 118, 2509–2527. [Google Scholar] [CrossRef]
- Schuurman, F.; Ta, W.; Post, S.; Sokolewicz, M.; Busnelli, M.; Kleinhans, M. Response of Braiding Channel Morphodynamics to Peak Discharge Changes in the Upper Yellow River. Earth Surf. Processes. Landf. 2018, 43, 1648–1662. [Google Scholar] [CrossRef]
- Ranasinghe, R.; Swinkels, C.; Luijendijk, A.; Roelvink, D.; Bosboom, J.; Stive, M.; Walstra, D. Morphodynamic upscaling with the MORFAC approach: Dependencies and sensitivities. Coast. Eng. 2011, 58, 806–811. [Google Scholar] [CrossRef]
- Li, W.; Yue, D.; Colombera, L.; Mountney, N.P.; Wu, S. A Novel Method for Estimating Sandbody Compaction in Fluvial Successions. Sediment. Geol. 2020, 404, 105675. [Google Scholar] [CrossRef]
- Rice, S.P.; Church, M.; Wooldridge, C.L.; Hickin, E.J. Morphology and Evolution of Bars in a Wandering Gravel-bed River; Lower Fraser River, British Columbia, Canada. Sedimentology 2009, 56, 709–736. [Google Scholar] [CrossRef]
- Bridge, J.S.; Lunt, I.A. Depositional Models of Braided Rivers. In Braided Rivers; Sambrook Smith, G.H., Best, J.L., Bristow, C.S., Petts, G.E., Eds.; Wiley: Hoboken, NJ, USA, 2006; pp. 11–50. ISBN 978-1-4051-5121-4. [Google Scholar]
- Li, S.; Yu, X.; Chen, B.; Li, S. Quantitative Characterization of Architecture Elements and Their Response To Base-Level Change in A Sandy Braided Fluvial System at A Mountain Front. J. Sediment. Res. 2015, 85, 1258–1274. [Google Scholar] [CrossRef]
- Joeckel, R.M.; Tucker, S.; McMullin, J. Morphosedimentary features from a major flood on a small, lower-sinuosity, single-thread river: The unknown quantity of overbank deposition, historical-change context, and comparisons with a Multichannel River. Sediment. Geol. 2016, 343, 18–37. [Google Scholar] [CrossRef]
- Guo, W.; Dong, C.; Lin, C.; Zhang, T.; Zhao, Z.; Li, J. 3D Sedimentary Architecture of Sandy Braided River, Based on Outcrop, Unmanned Aerial Vehicle and Ground Penetrating Radar Data. Minerals 2022, 12, 739. [Google Scholar] [CrossRef]
- Ashworth, P.J.; Best, J.L.; Roden, J.E.; Bristow, C.S.; Klaassen, G.J. Morphological Evolution and Dynamics of a Large, Sand Braid-Bar, Jamuna River, Bangladesh: Evolution of a Large Sand Braid-Bar. Sedimentology 2000, 47, 533–555. [Google Scholar] [CrossRef]
- Weckwerth, P. Fluvial Responses to the Weichselian Ice Sheet Advances and Retreats: Implications for Understanding River Paleohydrology and Pattern Changes in Central Poland. Int. J. Earth Sci. 2018, 107, 1407–1429. [Google Scholar] [CrossRef]
- Hundey, E.J.; Ashmore, P.E. Length scale of braided river morphology. Water Resour. Res. 2009, 45. [Google Scholar] [CrossRef]
- Miall, A.D. A Review of the Braided-River Depositional Environment. Earth-Sci. Rev. 1977, 13, 1–62. [Google Scholar] [CrossRef]
- Miall, A.D. Architectural-Element Analysis: A new method of facies analysis applied to fluvial deposits. Recognition of Fluvial Depositional Systems and Their Resource Potential. Earth-Sci. Rev. 1985, 22, 261–308. [Google Scholar] [CrossRef]
- Miall, A.D. Miall Reservoir Heterogeneities in Fluvial Sandstones: Lessons from Outcrop Studies. Bulletin 1988, 72, 682–697. [Google Scholar] [CrossRef]
- Miall, A.D. Architecture and Sequence Stratigraphy of Pleistocene Fluvial Systems in the Malay Basin, Based on Seismic Time-Slice Analysis. Bulletin 2002, 86, 1201–1216. [Google Scholar] [CrossRef]
- Miall, A.D.; Jones, B.G. Fluvial Architecture of the Hawkesbury Sandstone (Triassic), Near Sydney, Australia. J. Sediment. Res. 2003, 73, 531–545. [Google Scholar] [CrossRef]
- Miall, A.D. Reconstructing the Architecture and Sequence Stratigraphy of the Preserved Fluvial Record as a Tool for Reservoir Development: A Reality Check. Bulletin 2006, 90, 989–1002. [Google Scholar] [CrossRef]
- Bridge, J.S.; Smith, N.D.; Trent, F.; Gabel, S.L. Sedimentology and morphology of a low-sinuosity river: Calamus River, Nebraska Sand Hills. Sedimentology 1986, 33, 851–870. [Google Scholar] [CrossRef]
- Fielding, C.R.; Alexander, J.; McDonald, R. Sedimentary Facies from Ground-Penetrating Radar Surveys of the Modern, Upper Burdekin River of North Queensland, Australia: Consequences of Extreme Discharge Fluctuations. In Fluvial Sedimentology VI; Smith, N.D., Rogers, J., Eds.; Wiley: Hoboken, NJ, USA, 1999; pp. 347–362. ISBN 978-0-632-05354-4. [Google Scholar]
- Mumpy, A.J.; Jol, H.M.; Kean, M.F.; Isbell, J.L. Architecture and sedimentology of an active braid bar in the Wisconsin River based on 3-D ground penetrating radar. In Stratigraphic Analyses Using GPR; Geological Society of America: Boulder, CO, USA, 2007; Volume 432, pp. 111–131. [Google Scholar] [CrossRef]
- Sun, J.; Lin, B.; Yang, H. Development and Application of a Braided River Model with Non-Uniform Sediment Transport. Adv. Water Resour. 2015, 81, 62–74. [Google Scholar] [CrossRef]
- Vuković, M.T.; Soro, A. Determination of Hydraulic Conductivity of Porous Media from Grain-Size Composition; Water Resources Publications: Littleton, CO, USA, 1992. [Google Scholar]
- Kasenow, M. Determination of Hydraulic Conductivity from Grain Size Analysis; Water Resources Publication: Littleton, CO, USA, 2002. [Google Scholar]
- Song, J.; Chen, X.; Cheng, C.; Wang, D.; Lackey, S.; Xu, Z. Feasibility of Grain-Size Analysis Methods for Determination of Vertical Hydraulic Conductivity of Streambeds. J. Hydrol. 2009, 375, 428–437. [Google Scholar] [CrossRef]











| Parameters | Value | |||
|---|---|---|---|---|
| D50 (μm) | 300 | |||
| Muddy sediment concentration (kg/m3) | 10 | |||
| Sandy sediment concentration (kg/m3) | 2.5 | |||
| Sediment component | Fine sand | Medium sand | Coarse sand | Very coarse sand |
| D50 of sediment components (um) | 150 | 300 | 750 | 1500 |
| Fraction of components (quality proportion, %) | 25 | 50 | 15 | 10 |
| concentration of components (kg/m3) | 1.25 | 2.5 | 0.75 | 0.5 |
| Density of sandy sediment (g/cm3) | 2.65 | |||
| Bed slope (°) | 9.3 × 10−5 | |||
| Simulation domain width (km) | 3.2 | |||
| Discharge (m3/s) | 40,000 | |||
| The scale of the grid cell | 50 m × 20 m | |||
| Grid cell amount | 1600 × 160 | |||
| The scale of the simulation domain | 80,000 m × 3200 m | |||
| Morphological scale factor | 48 | |||
| Roughness (Chezy) (m1/2/s) * | 45 | |||
| Horizontal eddy viscosity (m2/s) * | 1000 | |||
| Horizontal eddy diffusivity (m2/s) * | 0.001 | |||
| Adjacent erosion factor | 0.25 | |||
| Simulation time step (min) | 0.2 | |||
| Simulation data restoration time interval (min) | 15 | |||
| Accretion Type | Source Profile | Length Range/Average (m) | Width Range/Average (m) | Thickness Range/Average (m) | Dip Range/Average (°) | Deposition Time | Relative Location in the Channel Bar | Relative Vertical Location in the Channel Bar | Spatial Pattern |
|---|---|---|---|---|---|---|---|---|---|
| DA | Transverse | 80–158 /132 | 23–68 /52 | 1.5–3.7 /2.6 | 1.4–3.9° /2.8 | Early stage | Middle bar | Lower part | Downstream accumulation |
| Longitudinal | 214–434 /345 | 102–191 /157 | 1.5–3.7 /2.6 | 0.5–2.0° /1.4 | |||||
| LA | Transverse | 76–145 /121 | 18–57 /42 | 1.7–5.1 /3.7 | 2.0–5.8° /4.3 | Middle to late stage | Bar side | Medium to upper part | Lateral accumulation |
| Longitudinal | 212–322 /288 | 99–185 /144 | 1.6–4.3 /3.1 | 0.8–3.0° /2.2 | |||||
| AA | Transverse | 127–231 /189 | 27–90 /64 | 0.6–2.2 /1.9 | 0.3–1.0° /0.9 | Late stage | Middle bar | Upper part | Vertical accumulation |
| Longitudinal | 210–453 /345 | 80–210 /150 | 0.5–1.6 /1.2 | 0.2–0.9° /0.6 |
| Classification | Main Types | Proportion | Number of Accretions | Planar Morphologic | Aspect Ratio | Average Vertical Thickness | Mean of D50 (um) | Variance of D50 | Spatial Pattern | Inclination Direction | Number of Chutes | Distribution Location |
|---|---|---|---|---|---|---|---|---|---|---|---|---|
| Unit bars | DA | 47 | Small | A lobed planform with shallow bar-tail limbs | <1:3 | 4.5 | 321 | 14,806 | DAs are preserved in the core of the unit bar, AAs are covered above the core, and LAs are accumulated on the bar sides. | From both sides towards the center axis | 1~2 | Early and middle stages are located in the middle of the bar, and late stages are located on both sides or at the top |
| Compound bars | LA | 50 | Medium | Irregularly long shape | 6.3 | 2.65 | 267 | 14,425 | DA-dominated compound bars are a DA to AA upward succession, and LA is formed on the bar sides, especially the bar tail. While LA-dominated compound bars are an upward succession transformed from DA to LA, ending with AA vertically, and repetitive DA to LA succession horizontally. | The head and tail were from the deeper side towards the shallower side, and the center was from both sides towards the central axis | Multiple | Early bodies are located at the bottom, and the middle body is located at the top. The later bodies are located at the head and tail of the bar |
| DA | 52 | Medium | An irregularly lobed shape with multiple tail limbs | 3.8 | 2.86 | 317 | 18,477 | |||||
| Complex compound bars | DA | 43 | Large | An irregular shape with multiple tail limbs | 5 | 2.36 | 322 | 21,376 | DA to LA, ending with AA or DA to AA upward succession vertically, and repetitive DA to LA horizontally. | Complex directions | Multiple | The early bodies are located at the bottom, and the mid- to late bodies are located at the top of the bar or in chutes |
Disclaimer/Publisher’s Note: The statements, opinions and data contained in all publications are solely those of the individual author(s) and contributor(s) and not of MDPI and/or the editor(s). MDPI and/or the editor(s) disclaim responsibility for any injury to people or property resulting from any ideas, methods, instructions or products referred to in the content. |
© 2023 by the authors. Licensee MDPI, Basel, Switzerland. This article is an open access article distributed under the terms and conditions of the Creative Commons Attribution (CC BY) license (https://creativecommons.org/licenses/by/4.0/).
Share and Cite
Guo, Y.; Li, S.; He, F.; Lei, T. Sedimentary Characteristics and Internal Architecture of a Sandy Braided River: Insights from a Numerical Model. Water 2023, 15, 4119. https://doi.org/10.3390/w15234119
Guo Y, Li S, He F, Lei T. Sedimentary Characteristics and Internal Architecture of a Sandy Braided River: Insights from a Numerical Model. Water. 2023; 15(23):4119. https://doi.org/10.3390/w15234119
Chicago/Turabian StyleGuo, Ying, Shaohua Li, Faqi He, and Tao Lei. 2023. "Sedimentary Characteristics and Internal Architecture of a Sandy Braided River: Insights from a Numerical Model" Water 15, no. 23: 4119. https://doi.org/10.3390/w15234119
APA StyleGuo, Y., Li, S., He, F., & Lei, T. (2023). Sedimentary Characteristics and Internal Architecture of a Sandy Braided River: Insights from a Numerical Model. Water, 15(23), 4119. https://doi.org/10.3390/w15234119

