Next Article in Journal
Integrated Phytobial Remediation of Dissolved Pollutants from Domestic Wastewater through Constructed Wetlands: An Interactive Macrophyte-Microbe-Based Green and Low-Cost Decontamination Technology with Prospective Resource Recovery
Previous Article in Journal
Effects of Massive Use of Disinfectants on the Plankton Communities in Lakes from Wuhan
 
 
Font Type:
Arial Georgia Verdana
Font Size:
Aa Aa Aa
Line Spacing:
Column Width:
Background:
Article

Fifty-Year Review of Effluent Discharge Trends to the Southern California Bight from Large Municipal Wastewater Treatment Facilities from 1971 to 2020

Department of Civil Engineering, California State University Los Angeles, Los Angeles, CA 90032, USA
*
Author to whom correspondence should be addressed.
Water 2023, 15(22), 3876; https://doi.org/10.3390/w15223876
Submission received: 5 October 2023 / Revised: 22 October 2023 / Accepted: 24 October 2023 / Published: 7 November 2023
(This article belongs to the Section Water Resources Management, Policy and Governance)

Abstract

:
Historically, Southern California’s four largest publicly owned treatment works (POTWs) were major sources of contaminants in the Southern California Bight (SCB), home to over 22 million residents and diverse marine life. This study conducted a fifty-year review (1971–2020) to assess these facilities’ performance in protecting human and aquatic life. We analyzed effluent discharge flow, total annual mass emissions into SCB, and the rate of change of mass emissions in five ten-year timeframes. Results show a significant decrease in contaminant concentrations (43% to 99%) from 1971 to 2020, with most reaching historically low levels. Despite a growing population, effluent volume decreased by 23%, reflecting successful local water conservation and recycling efforts. Some constituents experienced temporary increases that later decreased. Overall, the decline in mass emissions for all constituents over fifty years highlights the POTWs’ efforts to treat effluent and reduce their impact on the SCB’s ecosystem.

1. Introduction

The Southern California Bight (SCB) is a crucial and indispensable area of study, as it not only serves as a significant recreational and economic resource for over 22 million coastal residents but also plays a vital role in the health and well-being of its diverse marine wildlife, housing over 481 marine fish species, 195 bird species, 7 pinniped species, and a rich variety of marine mammals [1]. With its vast expanse covering approximately 94,000 km2 of open ocean and spanning approximately 685 km of coastline from the Point of Conception in Santa Barbara, CA to Punta Colonet in Baja California, Mexico, the SCB offers an extraordinary opportunity to understand and protect the intricate interplay between human society and the marine ecosystem, making it an imperative and invaluable location for conservation and environmental research.
Twenty-three publicly owned treatment works (POTWs) receive and treat the domestic, commercial, and industrial wastewater generated by 5600 square miles of watersheds across coastal Southern California to remove high concentrations of constituents before releasing the effluent discharge into SCB [2]. The four largest POTWs that discharge over 100 million gallons per day (MGD) each and account for 86% of the total POTW effluent volume are the Hyperion Treatment Plant (HTP) operated by the City of Los Angeles, the Joint Water Pollution Control Plant (JWPCP) operated by the Los Angeles County Sanitation Districts, Orange County Sanitation District (OCSD) Reclamation and Treatment Plant, and the City of San Diego’s Point Loma Wastewater Treatment Plant (PLWTP) [3]. The combined effluent of the four largest POTWs has historically been the most significant point source of contaminants to the SCB since regional assessments began in 1971 [4,5,6]. In 1972, the Clean Water Act established the National Pollutant Discharge Elimination (NPDES) program, which requires dischargers (such as POTWs) to obtain an NPDES permit that sets limits on the pollutant concentrations of the effluent before it can be discharged through a point source into a water of the United States [7,8]. NPDES permits require dischargers to submit annual monitoring discharge reports to the state regulatory agency responsible for overseeing the implementation of the NPDES program [9]. These annual monitoring discharge reports can estimate the mass emissions from a source if concentration and effluent flow data are available. Environmental resource managers can use mass emission estimates for various analyses, such as assessing the pollutant loading to the SCB, comparing the relative impacts from a particular source to other sources, evaluating the effects of management actions, and identifying trends in pollutant loading over time [6].
Since 1971, the Southern California Coastal Water Research Project (SCCWRP), a public agency researching aquatic systems and water quality in Southern California, has been documenting POTW effluent monitoring data to assess the trends of contaminant discharges from multiple sources in the SCB. In 2011, SCCWRP summarized a short-term and long-term analysis of changes in the effluent discharge from the four largest POTWs of the SCB from 2005 to 2009 and from 1971 and 2009, respectively [10]. The short-term analysis of this report concluded that the POTW effluent discharge exhibited decreased mass emissions and effluent volume from 2005 to 2009, with several constituents experiencing historical lows, such as suspended solids, biological organic demand (BOD), oil/grease, and several metals. While the short-term analysis displayed an overall decrease in constituent loads, the average concentrations of constituents were variable, with several, such as ammonia-N, chromium, and zinc concentrations increasing from 2005 to 2009. The long-term analysis of this report concluded that the POTW effluent discharge recorded in 2009 exhibited the lowest annual effluent volume since regional assessments began in 1971. The recorded mass emissions of several constituents significantly decreased from 1971 to 2009, with suspended solids and copper emissions experiencing a 92% and 97% decrease, respectively. Overall, the report displayed a decrease in the constituent loading and effluent volume from the four POTWs on both a short- and long-term basis.
Providing a long-term historical evaluation of the contamination records for the four largest POTWs is important for several compelling reasons. Firstly, the County Sanitation District of Los Angeles, Joint Water Pollution Control Plant in Carson, California stands as a unique wastewater treatment facility in the nation, receiving refinery wastewater discharge [11]. In addition, Los Angeles County’s marine discharge of municipal wastewater from the Joint Water Pollution Control Plant (JWPCP) significantly contributes to introducing trace metals into the marine ecosystem off Southern California, as demonstrated by Young in 1979 [12]. Recent studies, such as the work by Vidal-Dorsch et al. in 2012 [13], have also uncovered the presence of twenty of the fifty-six emerging contaminants from their study in the effluent of these POTWs, highlighting the dynamic nature of the pollution landscape. A former study by Bandy et al. in 1965 [14] on foraminiferal trends at the Hyperion Treatment Plant outfall provides valuable historical insights into the changes in aquatic life over time in response to contamination. Similarly, research such as that conducted by Zeng et al. in 1997 [15] on the Point Loma Wastewater Treatment Plant’s impact on organic pollutants underscores the enduring relevance of evaluating long-term historical records to track environmental changes. There have been significant strides to improve both the odor and contamination concentrations at Hyperion [16,17,18], Joint Water Pollution Control Plant [19], and Orange County Sanitation [20,21]. Given the persistent environmental impact, conducting a thorough and extended historical assessment is imperative to gauge the evolving trends and impacts of such contamination over time.
The objectives of this work are to (1) study and analyze how long-term mass emissions of twenty-six constituents of the combined four largest POTWs into the SCB changed from 1971 to 2020 and (2) to gain insights into the future direction needed for regulating contamination to protect human and aquatic life. The constituent mass emissions were calculated using the flow and chemistry data from the effluent discharge of the four large POTWs and summed together to create a dataset representing the combined mass emissions from the four large POTWs. The trends of the estimated mass emissions were analyzed using two methods: the percentage change in mass emissions between specific years and graphs of the measured rates of change for constituent mass emissions between set timeframes. This long-term analysis will demonstrate how the mass emissions of each constituent have changed during the fifty-year time period and the rate at which the change has occurred. Overall, this study aims to continue the SCCWRP’s efforts to characterize the effluent discharge of the four largest POTWs to the SCB by assessing how the mass emissions of the constituents change over time.

2. Materials and Methods

The four largest POTWs in the Southern California Bight are the Hyperion Water Reclamation Plant (Playa Del Rey, CA, USA), Joint Water Pollution Plant (Carson, CA, USA), Orange County Sanitation District Plant 2 (Huntington Beach, CA, USA), and Point Loma Water Treatment Plant (San Diego, CA, USA) in Figure 1. We estimated the mass emissions using the effluent flow and chemistry data obtained from each facility’s monitoring discharge reports. These reports were compiled from the SCCWRP’s data portal [22] and the California Integrated Water Quality System Project (CIWQS [23]). These datasets provided effluent flow and chemistry concentrations from the final effluent discharge from each POTW. The mass emissions data from OCSD comprised of concentration and flow data from Plant No. 2; we omitted Plant No. 1 because monthly flow data were unavailable.
This study focuses on twenty-six constituents that are known to influence human health and aquatic life: general constituents (volume, settleable solids, suspended solids, oil/grease, nutrients, biochemical oxygen demand (BOD), and cyanide), selected metals, total dichloro-diphenyl-trichloroethane (DDT), total polycyclic aromatic hydrocarbons (PAH), and total polychlorinated biphenyls (PCB). Constituent concentrations measured below the minimum detection limit (MDL) are zero when calculating mass emissions. Mass emissions calculations included concentration results that fell under the reporting level—these were labeled detected, not quantified (DNQ), and assigned a concentration value of zero.
Equation (1) presents the equation used to determine the annual discharge volume from all POTWs:
V = i = 1 12 u Q i D i
where u is the appropriate unit conversion to calculate the volume in liters (L), Qi is the average daily flow for month i, and Di is the number of days during month i. We averaged the daily flows of the previous and subsequent days to estimate the flow value when recordings of daily flow were unavailable.
This study assumed that the average daily flow recorded on the first day of each month was the representative average daily flow of each day within the given month for years when the average daily flow was sampled on the first day of each month. When the POTW did not report the flow for any given month, we estimated the missing month using the average of the flows from the previous and subsequent months. Any averaging of flows was rare and consisted of less than 1% of the entire dataset.
Equation (2) estimates the annual mass emissions (MEs) of a constituent from all POTWs:
M E s = i = 1 12 u C i   Q i   D i
where u is the appropriate unit conversion to calculate the MEs in kilograms (kg), liters (L), or metric tons (mt), Ci is the reported constituent concentration for day i, Qi is the average effluent discharge for day i, and Di is the number of days in month i. The concentration data for each constituent were standardized to monthly time steps to estimate an expected average concentration value for each month. The monthly concentration was calculated for months with no recorded concentration data by taking the arithmetic mean of the average concentrations from months with recorded values in the same year. For constituents with more than one recorded concentration value within the same month, the arithmetic mean of all results was used to estimate the average concentration value of the given month. The annual mass emissions of all POTWs for all constituents were summed together and are reported in the Results section.
The slope of the regression line (Equation (3)) quantifies the rate of change between the calculated annual combined mass emissions and the years within each timeframe (see Table 1 below):
S l o p e =   n   i   =   1 n x i y i       i   =   1 n x i i   =   1 n y i   n i   =   1 n x i   2     i   =   1 n x i     2
where n is the number of years within the timeframe, xi is the recorded mass emissions value for the ith year in the timeframe, and yi is the year value for the ith year in the timeframe. This slope value represents the rate of change of mass emissions (MEs) per timeframe. We chose the timeframes provided in Table 1 to evaluate the rate of change of mass emissions over the fifty years (1971–2020).
Each timeframe spans ten years to capture how a constituent changed during each decade considered in this study. Years with no data were omitted in the slope calculation, as the amount of recorded mass emissions and the number of years must be equal. Overall, the slope analysis provides a decadal approach to characterize how mass emissions change within the entire period of study.

3. Results

3.1. Comparison and Percent Change of Annual Mass Emissions between Significant Years

The analysis included mass emissions data for 1971 and 1989 to maintain consistency with the SCCWRP’s previously published reports that discuss the changes in effluent discharge from the four largest POTWs [6,10]. The first year treatment facilities compiled regional effluent discharge data and represented water quality conditions was 1971, before implementation of the 1972 Clean Water Act [3]. The peak volume occurred in 1989, representing a close midpoint from the beginning of the assessment to the end of the century. The years 2000, 2010, and 2020 represent the study’s thirtieth, fortieth, and fiftieth years, respectively. Table 2 compares the combined annual mass emissions and percentage change between the selected years from the four largest POTWs.
Upon data retrieval, we found complete datasets were unavailable from each POTW. Table 2 denotes the annual mass emission estimates not calculated with data from all four POTWs (). Some POTWs had no data for certain constituents from the fifty years considered in this study. For instance, HTP was missing fifty years of data for ortho-phosphate and zinc. JWPCP was missing fifty years of data for ortho-phosphate. OCSD was missing fifty years of data for nitrate, nitrite, organic N, ortho-phosphate, phosphate-P, and zinc. PLWTP had some data for all constituents.
Twenty out of twenty-six constituents had enough data for a five-decadal comparison (Table 2). From 1971 to 2020, only six constituents did not achieve a 90–100% reduction by 2020. The six constituents with less than 90% reduction were ammonia (72%), BOD (84%), nitrate-N (59%), organic N (43%), selenium (62%), and effluent water volume (23%).
Constituents that experienced the highest decrease (80–100%) in mass emissions from 1971 to 1989 include the metals chromium, zinc, cyanide, copper, and nickel. Mercury, lead, phosphorus, and cadmium experienced the highest decrease (80–100%) from 1989–2000. Silver, nitrate, and nitrite experienced the highest decline (80–100%) from 2000–2010. Arsenic and total PAH and PCB experienced the most significant decrease (80–90%) from 2012 to 2020.
Within specific decadal periods, some constituents experienced drastic increases. For instance, nitrite increased by 457% between 1989 and 2000, while nitrate increased by 798% between 2010 and 2020. Cadmium (80%) and organic N (57%) moderately increased between 2000 and 2010. Constituents that slightly increased included ammonia (17%) and phosphorus (5%) from 2000 to 2010, selenium (6%) between 1989 and 2000, and nitrate (9%) and arsenic (1%) between 1971 and 1989.
Large POTWs discharged a combined effluent discharge volume of 1282 × 109 L in 1971 and peaked in 1989 at 1658 × 109 L, increasing by 29%. From 1989 to 2020, the volume steadily decreased to 983 × 109 L, decreasing by 41%. Therefore, the combined POTW effluent volume reached a historic low in 2020.

3.2. Slope Analysis of Annual Mass Emissions by Timeframe

In this second analysis, we plotted the slope of the linear regression line (rate of change) of the combined annual mass emissions by the timeframes specified in Table 1. Figure 2, Figure 3 and Figure 4 are individual bar graphs for each of the twenty-six constituents in subcategories to summarize the rate of change of each constituent between 1971 and 2020. The slope values represent the rate of change of mass emission values within a decade, which can be positive or negative. A negative rate of change indicates that the annual mass emissions are decreasing over time. Any positive rates of change indicate increasing annual mass emissions over time, which can be concerning, particularly if found in recent timeframes.
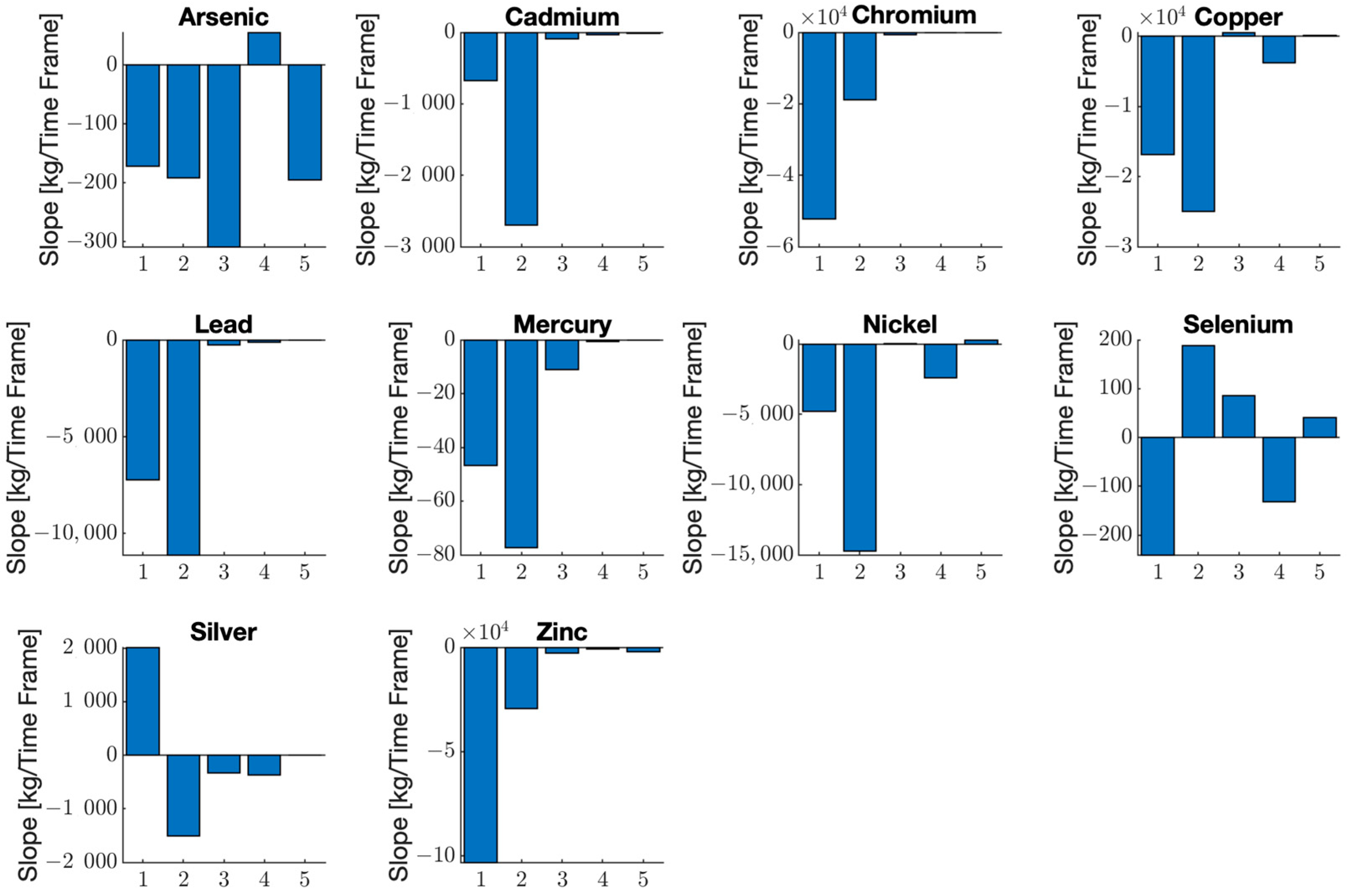
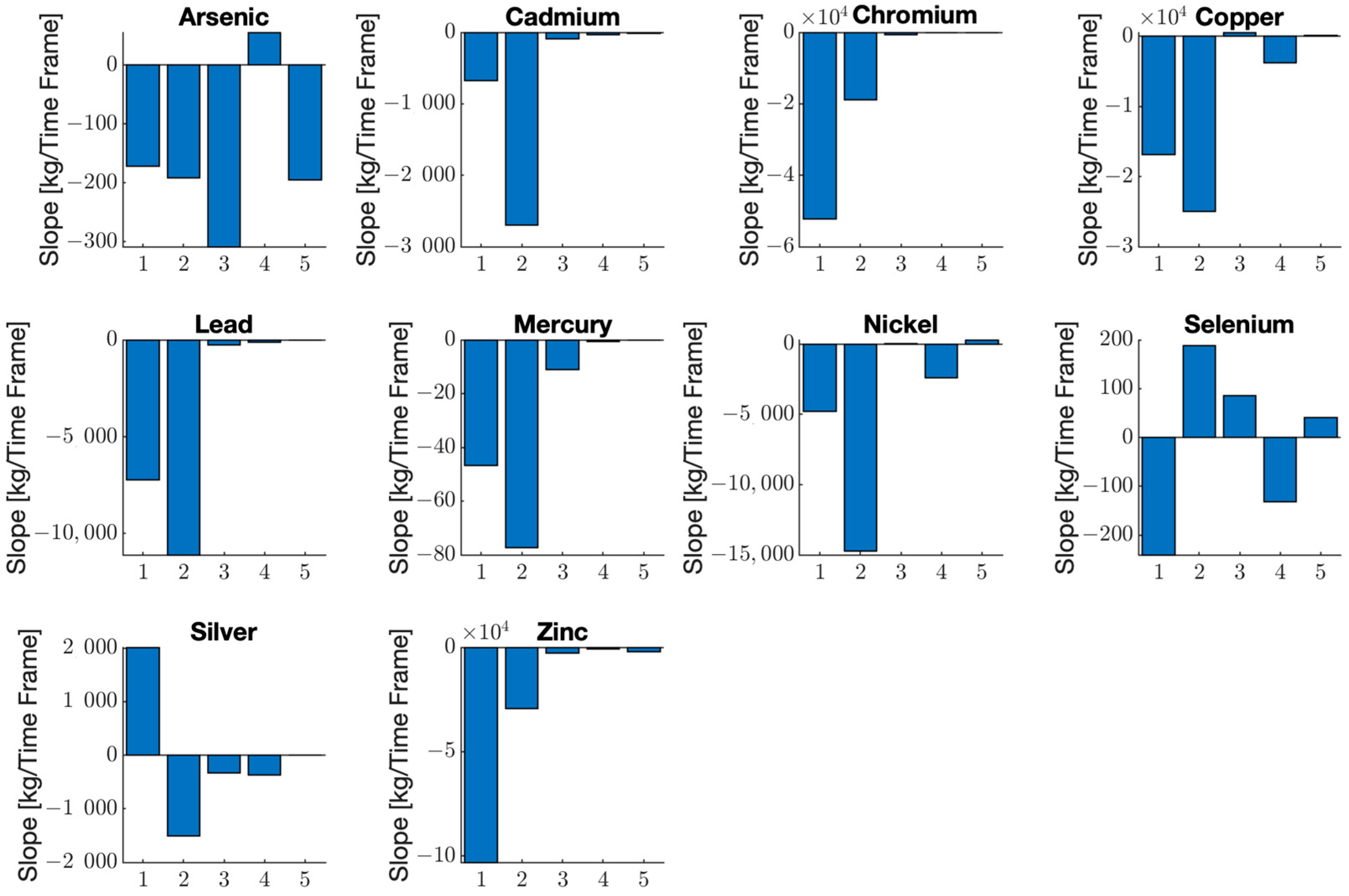
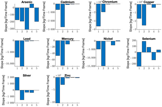
Most constituents displayed a negative rate of change over the study’s duration (Figure 2, Figure 3 and Figure 4). Constituents with a negative rate of change for the duration of the study period included cyanide, cadmium, chromium, lead, mercury, nickel, and zinc. These overall negative rates of change indicate that the constituents’ annual mass emissions have decreased for the entire fifty-year timeframe. The following constituents experienced a significantly large negative rate of change in the first timeframe and consecutive negative rates of change for the other timeframes: zinc, chromium, and cyanide. These significant negative rates of change indicate that the constituents’ annual mass emissions have decreased for the entire fifty-year timeframe, with the most significant decrease occurring between 1971 and 1980.
Ammonia-N showed a considerably large negative rate of change in the fifth timeframe (Figure 2), which indicates that from 2011 to 2020, there was a significant decrease in annual mass emissions.
In general, metals were the only group to follow a similar negative rate of change in mass emissions per each timeframe. Most metals generally decreased over the study duration, with the largest decrease for cadmium, chromium, copper, lead, mercury, nickel, and zinc occurring from 1971 to 1990; arsenic experienced the most drastic reduction from 2011 to 2020, as displayed in Figure 3. Some metals showed an insignificant increase in timeframe 5, which included copper and nickel. Selenium was the only metal that experienced a small but significant increase in timeframe 5. While most metals decreased over the study duration, the non-metal constituents did not follow the same trends in reduced mass emissions per timeframe.
Constituents that experienced a significant increase or spike in the rate of change in timeframes 1 to 4 but then displayed a negative rate of change in timeframe 5 include nitrate (significant increase in timeframe 2) and silver (considerable increase in timeframe 1), as shown in Figure 2 and Figure 3, respectively. This trend indicates that the constituents’ annual mass emissions returned to a decreasing rate of change, though there was an increasing rate of change in previous years.
Constituents that showed a positive rate of change in timeframe 5 (increase in annual mass emissions from 2010 to 2020) included BOD, nitrite-N, oil/grease, organic N, ortho-phosphate, suspended solids, copper, nickel, selenium, settleable solids, total PAH and total PCB. This trend indicates that the constituents’ annual mass emissions spiked to a positive rate of change, though there was a negative rate of change in previous years. After reviewing the dataset explicitly, we found a gap in observations for oil/grease, BOD, and suspended solids, which experienced a significant decrease from 2013 to 2015 and then began to increase steadily until 2021. They fell again in 2022; this prompts future trend analysis.
The effluent discharge volume from the four large POTWs had a positive rate of change from 1971 to 2000, but subsequently experienced a negative rate of change from 2001 to 2020, indicating a decrease in the effluent volume in the most recent timeframes 4 and 5, as displayed in Figure 4.

4. Discussion

Based on our analysis, the POTWs significantly improved the quality of their effluent discharge since 1971. While the combined population of Los Angeles, Orange, and San Diego Counties increased by 65% from an estimated 9.8 million residents in 1970 [10] to an estimated 16.2 million residents in 2020 [24], the four largest POTWs contributed a historically low effluent flow volume of 983 × 109 L to the SCB in 2020, decreasing by 23% over the fifty years. Additionally, the mass emissions of most constituents drastically decreased by 80–100%. Constituents that experienced a moderate decrease (50–80%) and exhibited historically low values within the timeframe include ammonia, nitrate, and selenium. Nitrate slightly decreased by 59% from 1971 to 2020. Constituents that reached historical lows for their mass emissions in 2020 include ammonia, arsenic, copper, cyanide, mercury, nickel, phosphorous, selenium, settleable solids, silver, and volume. Constituents that reached historical lows for their mass emissions in 2010 include BOD, chromium, lead, nitrate, nitrite, oil/grease, suspended solids, and zinc.
Our results partially align with the long-term (1971–2009) trends identified in previous SCCWRP reports: all constituents decreased throughout the study duration, with most experiencing historically low values [6,10]. However, our short-term trends for other nutrients (nitrite, organic N, ortho-phosphate) slightly differ from previous SCCWRP reports, which found that these nutrients increased over specific decades considered within the study [6,10]. Our results show that nitrite temporarily increased from 1989 to 2000, then later decreased from 2000 to 2010. While nitrate and ortho-phosphate exhibited a decreasing trend between 1971–2020, both exhibited an increasing trend of mass emissions from 2010 to 2020. Organic N also shows a rising trend from 2000 to 2020 (2010 data was unavailable for analysis). Limitations in the available data for individual POTWs could account for these nutrient decreases.
Our slope analysis, which displays the rate of change in annual mass emissions per timeframe, showed overall negative slope values (negative rates of change) for most constituents, indicating an overall decrease in annual mass emissions over the study’s duration. Most constituents displayed a reduction in annual mass emissions over time for all timeframes or spiked in earlier timeframes and subsequently decreased in the fifth timeframe (2011 to 2020). Some constituents also showed a significant increasing trend in the fifth timeframe, which included ortho-phosphate, nitrite, total PAH, and settleable solids, indicating a rising trend of the annual mass emissions from 2011 to 2020. Runoff from fertilizers, which contribute to the influent received by POTWs via the sewer system, potentially increases ortho-phosphate and nitrite concentrations. Additionally, coal tar-based parking and coal tar-based sealants containing 20 to 35 percent PAHs potentially contribute to the increase in total PAH [25]. The increase in settleable solids, however, is not a cause for alarm. Settleable solids (primary sludge) in wastewater are typically removed from the bottom of tanks by sludge rakes, which scrape the sludge to a central well and then pump it to sludge processing units [26]. Although the recent increases in ortho-phosphate, nitrite, and total PAH during the fifth timeframe in annual mass emissions may be of minor concern, monitoring them continuously to detect potential future increases is essential.
Several factors that may have caused drastic decreases in the mass emission estimates for all parameters include reductions in the effluent flow, improvements in the wastewater treatment processes (e.g., the addition of secondary and tertiary treatment processes), and source control programs [10]. Some constituents exhibited drastic decreases in mass emissions due to regulations. For example, total PCBs drastically decreased due to adopting the Toxic Substances Control Act (1976), which controls PCBs’ production, use, and disposal [27]. Total DDT decreased from 65 kg in 1971 to 0 kg in subsequent years due to the USEPA 1972 ban that prohibited the use of DDT [28]. The Los Angeles, Santa Ana, and San Diego Regional Water Quality Control Boards (regional boards) adopted and periodically updated their Water Quality Control Plans to set forth water quality objectives for their regions to protect the water quality of water bodies [29]. These regional boards have also adopted total maximum daily loads to establish water quality objectives for various constituents for impaired water bodies, which are identified by the USEPA’s Clean Water Act Section 303(d) (Impaired Waters) list [30].
Despite overall decreases in the mass emissions of constituents over the fifty years, some constituents spiked during specific years. The spikes in the data could be caused by POTWs only measuring constituents in specific years or the unavailability of data. For example, the mass emissions estimates for nitrite in 1971 and 2000 included data from HTP and JWPCP, while the measurements in 1989 and 2010 were only estimated from JWPCP’s monitoring data, as nitrite was not available for those years from HTP. As a result, we can attribute these temporary spikes in mass emissions to POTWs not reporting the constituent in their monitoring discharge reports or the data being missing. While these spikes in the data display temporary increases in mass emissions, Table 2 demonstrates that constituents still experienced a drastic decrease after the spike (e.g., total PAH, nitrite) and exhibited a historical low in mass emissions in either 2010 or 2020.
Over the years, the four largest POTWs in Southern California have implemented significant measures to enhance their facilities and mitigate contamination and odor issues. The Hyperion Water Treatment Plant, faced with urbanization and population growth challenges, responded by upgrading its infrastructure. In the 1990s, they introduced a complete secondary system for discharging digested sludge into the Santa Monica Bay at the 7-mile ocean outfall, thus reducing the impact of their discharges on the environment [31]. Similarly, the Joint Water Pollution Control Plant (JWPCP) is a vital component of a more extensive network known as the Joint Outfall System (JOS). This comprehensive system has been instrumental in managing and reducing contamination in the region [32]. The Orange County Sanitation District has achieved significant advancements, including introducing a new diversion structure at Plant No. 1 in the 1970s, adding the oxygen-activated sludge plant and solids handling facility at Plant No. 2 in the early 1980s, discontinuing ocean discharge disinfection in 2015 to enhance coastal water quality, monitoring local beaches and ocean to uphold environmental standards, and reaching a commendable milestone in 2022 with 100 percent reclaimable flows in December, demonstrating their commitment to sustainability and reduced contamination [33]. Through comprehensive efforts, including industrial source control, advanced primary wastewater treatment, and thorough environmental monitoring, the US Environmental Protection Agency and the Regional Water Quality Control Board have acknowledged the Point Loma Treatment Plant’s role in fully protecting the ocean [34]. These collective efforts reflect the dedication of these facilities to improve their operations and reduce contamination and odor problems in the Southern California region.
Though the POTWs have effectively reduced concentrations of all twenty-six contaminants over the past fifty years, it is essential to consider new contaminant developments. Emerging contaminants (ECs) can negatively influence ecological or public health. Several ECs have been identified as bioaccumulative and act as endocrine disruptors that interrupt the normal functions of hormones, which can result in various health effects [35]. ECs are typically unmonitored synthetic or naturally occurring compounds or microbes. Highly reported ECs include pharmaceuticals and personal care products (PCPs), surfactants, plasticizers, pesticides, fire retardants, and nanomaterials. Out of the four POTWs reported here, only the Orange County Sanitation District has begun a project (in early 2023) that aims to break down bioaccumulative and toxic compounds like per- and polyfluoroalkyl substances (PFASs) and microplastics found in many household items [33,36]. However, researchers have detected many ECs in the effluent from POTWs that discharge to the SCB via ocean outfalls, with the highest concentrations of pharmaceuticals, PCPs, and industrial compounds found [37]. While seawater samples have shown some ECs at lower concentrations than in the effluent, researchers found several ECs in sediment samples and hornyhead turbot (Pleuronichthys verticalis) livers, indicating their bioaccumulative properties. With ECs becoming more of a concern to regulators and the public due to their potential impacts on aquatic life and human health, there is an increasing concern that the continued discharge into the ocean may introduce hazardous ECs into the marine environment. Since the long-term impacts of ECs are unknown, regulators have been working towards establishing water quality criteria for ECs to protect aquatic life and human health. However, regulators have encountered several challenges to establishing water quality criteria for ECs, such as a lack of standardized analytical procedures, toxicology information required to determine safe concentration levels that will protect human health and aquatic life, and effective monitoring strategies to detect how ECs affect marine environments on a temporal scale [38].
In California, the State and Regional Water Resources Control Board (water boards) have been working to provide a framework for the statewide prioritization and management of ECs. On behalf of the water boards, the Aquatic Science Center published a report establishing a risk screening approach. Their report grouped ECs based on their chemical structures and function or use in society to systematically evaluate potential environmental impacts and identify ECs that all agencies should prioritize for monitoring and management based on their risk level [39]. Despite the considerable data gaps required to establish protective water quality criteria for ECs, the water boards will continue to regulate ECs present in effluent discharged to the ocean and water bodies to address public health and water quality concerns.

5. Conclusions

The purpose of this study was to characterize the effluent discharge from the four largest POTWs that discharge to the SCB by providing a long-term analysis of constituents and identifying trends in constituents’ mass emissions from 1971 to 2020. We aimed to provide insights into potential human and aquatic life harm. Our study of the flow and chemistry data of the four largest POTWs between 1971 and 2020 finds that the mass emissions of all constituents drastically decreased, with most constituents experiencing an overall 80–100% reduction, and their measurements were at historically low values in either 2010 or 2020. While metals followed similar trends (a drastic decrease from 1971 to 1989 and a smaller-scale decrease from 1989 to 2020), other constituents did not have similar trends to one another. The combined effort from regulations, wastewater treatment technologies and processes, and source control programs have influenced the reduction in mass emissions over the past fifty years. While this study highlights general trends in the constituent loading from all four POTWs, additional studies focusing on the relative mass emissions contributions from each POTW could pinpoint the dominant source of mass emissions for constituents considered in this study. Overall, the estimated reduction in mass emissions demonstrates that the four largest POTWs have made tremendous strides at protecting the water quality of the SCB; however, the authors suggest future analysis on the emerging contaminants of concern to continue making beaches and lagoons safer for local communities and wildlife to enjoy.

Author Contributions

Conceptualization, S.R.L.; methodology, L.L., L.P. and S.R.L.; validation, S.R.L.; investigation, L.L. and L.P.; data curation, L.L. and L.P.; writing—original draft, L.L. and L.P.; writing—review and editing, S.R.L.; supervision, L.L. and S.R.L.; project administration, S.R.L.; funding acquisition, S.R.L. All authors have read and agreed to the published version of the manuscript.

Funding

The National Science Foundation partially funded this work with Award HRD-2112554.

Data Availability Statement

Publicly available datasets were analyzed in this study. This data can be found at the Southern California’s Coastal Water Research Project (SCCWRP) Data Portal: https://dataportal.sccwrp.org/.

Conflicts of Interest

The authors declare no conflict of interest.

References

  1. Dailey, M.D.; Reish, D.J.; Anderson, J.W. (Eds.) Ecology of the Southern California Bight: A Synthesis and Interpretation, 1st ed.; University of California Press: Berkeley, CA, USA, 1993. [Google Scholar]
  2. Southern California Bight Regional Monitoring Program. Available online: https://www.sccwrp.org/about/research-areas/regional-monitoring/southern-california-bight-regional-monitoring-program (accessed on 12 April 2023).
  3. Lyon, G.S.; Stein, E.D. Effluent discharges to the Southern California Bight from small municipal wastewater treatment facilities in 2005. In Southern California Coastal Water Research Project 2008 Annual Report; Southern California Coastal Water Research Project: Costa Mesa, CA, USA, 2008; pp. 14–21. [Google Scholar]
  4. Southern California Coastal Water Research Project. The Ecology of the Southern California Bight: Implications for Water Quality Management: Three-Year Report of the Southern California Coastal Water Research Project, 1st ed.; Southern California Coastal Water Research Project: El Segundo, CA, USA, 1973. [Google Scholar]
  5. Steinberger, A.; Stein, E.D. Effluent discharges to the Southern California Bight from large municipal wastewater treatment facilities in 2001 and 2002. In Southern California Coastal Water Research Project Biennial Report; Southern California Coastal Water Research Project: Costa Mesa, CA, USA, 2004; pp. 2–15. [Google Scholar]
  6. Lyon, G.S.; Stein, E.D. How effective has the Clean Water Act been at reducing pollutant mass emissions to the Southern California Bight over the past 35 years? Environ. Monit. Assess. 2009, 154, 413–426. [Google Scholar] [CrossRef] [PubMed]
  7. Summary of the Clean Water Act. Available online: https://www.epa.gov/laws-regulations/summary-clean-water-act (accessed on 30 April 2023).
  8. National Pollutant Discharge Elimination System (NPDES) Permit Basics. Available online: https://www.epa.gov/npdes/npdes-permit-basics (accessed on 30 April 2023).
  9. Clean Water Act (CWA) Compliance Monitoring. Available online: https://www.epa.gov/compliance/clean-water-act-cwa-compliance-monitoring (accessed on 30 April 2023).
  10. Lyon, G.S.; Sutula, M.A. Effluent Discharges to the Southern California Bight from Large Municipal Wastewater Treatment Facilities in 2005 and 2009; Southern California Coastal Water Research Project Annual Report; Southern California Coastal Water Research Project: Westminster, CA, USA, 2011; pp. 223–236. [Google Scholar]
  11. Eweis, J.B.; Chang, D.P.; Schroeder, E.D.; Scow, K.M.; Morton, R.L.; Caballero, R.C. Meeting the challenge of MTBE biodegradation. In Proceedings of the Air and Waste Management Association, Pittsburgh, PA, USA, 31 December 1997. [Google Scholar]
  12. Young, D.R.; Jan, T.K. Trace metal contamination of the rock scallop, Hinnites giganteus, near a large Southern California municipal outfall. Fish. Bull. 1979, 76, 936–939. [Google Scholar]
  13. Vidal-Dorsch, D.E.; Bay, S.M.; Maruya, K.; Snyder, S.A.; Trenholm, R.A.; Vanderford, B.J. Contaminants of emerging concern in municipal wastewater effluents and marine receiving water. Environ. Toxicol. Chem. 2012, 31, 2674–2682. [Google Scholar] [CrossRef] [PubMed]
  14. Bandy, O.L.; Ingle Jr, J.C.; Resig, J.M. Foraminiferal Trends, Hyperion Outfall, California. Limnol. Oceanogr. 1965, 10, 314–332. [Google Scholar] [CrossRef]
  15. Zeng, E.Y.; Khan, A.R.; Tran, K. Organic pollutants in the coastal marine environment off San Diego, California. 3. Using linear alkylbenzenes to trace sewage-derived organic materials. Environ. Toxicol. Chem. 1997, 16, 196–201. [Google Scholar]
  16. Garber, W.F.; Ohara, G.T.; Colbaugh, J.E.; Raksit, S.K. Thermophilic digestion at the Hyperion treatment plant. J. Water Pollut. Control Fed. 1975, 47, 950–961. [Google Scholar]
  17. Shao, Y.J.; Liu, A.; Wada, F.; Crosse, J.; Jenkins, D. Advanced primary treatment: An alternative to biological secondary treatment. The city of Los Angeles Hyperion treatment plant experience. Water Sci. Technol. 1996, 34, 223–233. [Google Scholar] [CrossRef]
  18. Cox, H.J.; Deshusses, M.A.; Converse, B.M.; Schroeder, E.D.; Iranpour, R. Odor and Volatile Organic Compound Treatment by Biotrickling Filters: Pilot-Scale Studies at Hyperion Treatment Plant. Water Environ. Res. 2002, 74, 557–563. [Google Scholar] [CrossRef] [PubMed]
  19. Lee, A.; Morton, R.; Tang, C.C. Controlling volatile organic compound emissions using biological techniques at the joint water pollution control plant. Water Environ. Fed. 2012, 2012, 694–702. [Google Scholar] [CrossRef]
  20. Stallings, R.B.; Marx, J.J.; Hope, R. Assessing the Condition of Anaerobic Digesters Using Asset Management Principles and Practices at Orange County Sanitation District–Lessons Learned. Water Environ. Fed. 2010, 2010, 3180–3194. [Google Scholar]
  21. Sobhani, R.; Reed, B.; Velasco, M.; Thomas, C.; Murthy, U. Orange County sanitation district’s proactive strategies for preventing odor complaints. Water Environ. Fed. 2018, 2018, 45–56. [Google Scholar] [CrossRef]
  22. SCCWRP Data Portal. Available online: https://dataportal.sccwrp.org/ (accessed on 1 March 2023).
  23. California Integrated Water Quality System (CIWQS). Available online: https://ciwqs.waterboards.ca.gov/ciwqs/ (accessed on 1 March 2023).
  24. County Population Totals and Components of Change: 2020–2022. Available online: https://www.census.gov/data/tables/time-series/demo/popest/2020s-counties-total.html (accessed on 12 May 2023).
  25. Perrin, C. Polycyclic Aromatic Hydrocarbons (PAHs) in Urban Waters. NC Cooperative Extension Service. 2012. Available online: https://wrri.ncsu.edu/docs/partnerships/bmc/PAHFactSheet.pdf (accessed on 21 June 2023).
  26. Pescod, M.B. Wastewater Treatment and Use in Agriculture—FAO Irrigation and Drainage Paper 47, 1st ed.; FAO: Rome, Italy, 1992; Available online: https://www.fao.org/3/t0551e/t0551e00.htm#Contents (accessed on 21 June 2023).
  27. Summary of the Toxic Substances Control Act. Available online: https://www.epa.gov/laws-regulations/summary-toxic-substances-control-act (accessed on 12 May 2023).
  28. Dichlorodiphenyltrichloroethane (DDT) Factsheet. Available online: https://www.cdc.gov/biomonitoring/DDT_FactSheet.html#:~:text=The%20United%20States%20banned%20the,environment%20and%20in%20animal%20tissues (accessed on 12 May 2023).
  29. Water Quality Standards, Plans and Policies: Surface Water and Groundwater. Available online: https://www.mywaterquality.ca.gov/water_quality_standards/index.html (accessed on 12 June 2023).
  30. Overview of Identifying and Restoring Impaired Waters under Section 303(d) of the CWA. Available online: https://www.epa.gov/tmdl/overview-identifying-and-restoring-impaired-waters-under-section-303d-cwa (accessed on 12 June 2023).
  31. Hyperion’s History. Available online: https://www.lacitysan.org/san/faces/home/portal/s-lsh-wwd/s-lsh-wwd-cw/s-lsh-wwd-cw-p/s-lsh-wwd-cw-p-hwrp/s-lsh-wwd-cw-p-hwrp-hh?_adf.ctrl-state=1cbwqclk9p_1&_afrLoop=14650685892009657&_afrWindowMode=0&_afrWindowId=null (accessed on 13 October 2023).
  32. Wastewater Treatment Process at JWPCP. Available online: https://www.lacitysan.org/san/faces/home/portal/s-lsh-wwd/s-lsh-wwd-cw/s-lsh-wwd-cw-p/s-lsh-wwd-cw-p-hwrp/s-lsh-wwd-cw-p-hwrp-hh?_afrLoop=15723845652282089&_afrWindowMode=0&_afrWindowId=null&_adf.ctrl-state=xt5cvnstb_78#!%40%40%3F_afrWindowId%3Dnull%26_afrLoop%3D15723845652282089%26_afrWindowMode%3D0%26_adf.ctrl-state%3Dxt5cvnstb_82 (accessed on 13 October 2023).
  33. OCSAN History. Available online: https://www.ocsan.gov/about-us/general-information/history (accessed on 13 October 2023).
  34. Point Loma Wastewater Treatment Plant. Available online: https://www.sandiego.gov/public-utilities/customer-service/water-wastewater-facilities/point-loma (accessed on 13 October 2023).
  35. Pastorino, P.; Ginebreda, A. Contaminants of Emerging Concern (CECs): Occurrence and Fate in Aquatic Ecosystems. Int. J. Environ. Res. Public Health 2021, 18, 13401. [Google Scholar] [CrossRef] [PubMed]
  36. Ruan, T.; Field, J.; Cousins, I.; Lohmann, R.; Jiang, G. Emerging contaminants: Fluorinated alternatives to existing PFAS. Environ. Sci. Technol. 2022, 56, 6001–6003. [Google Scholar] [CrossRef]
  37. Bay, S.M.; Vidal-Dorsch, D.E. Determining the impacts of contaminants of emerging concern in marine ecosystems. Environ. Toxicol. Chem. 2012, 31, 2672–2673. [Google Scholar] [CrossRef]
  38. Libralato, G.; Freitas, R.; Buttino, I.; Arukwe, A.; Della Torre, C. Special issue on challenges in emerging environmental contaminants CEEC19. Environ. Sci. Pollut. Res. 2020, 27, 30903–30906. [Google Scholar] [CrossRef] [PubMed]
  39. Sutton, R.; Miller, E.; Wong, A.; Mendez, M.; Lin, D. CECs in California’s Ambient Aquatic Ecosystems: Occurrence and Risk Screening of Key Classes; ASC Technical Report: Contribution #1066; Aquatic Science Center: Richmond, CA, USA, 2022. [Google Scholar]
Figure 1. The study area spans the Southern California Bight (Santa Barbara, CA, USA to Baja, CA, USA) and consists of the four largest publicly owned treatment works facilities.
Figure 1. The study area spans the Southern California Bight (Santa Barbara, CA, USA to Baja, CA, USA) and consists of the four largest publicly owned treatment works facilities.
Water 15 03876 g001
Figure 2. Slope values of organic constituents and suspended solids for the five decadal time frames: (1) 1971–1980, (2) 1981–1990, (3) 1991–2000, (4) 2001–2010, and (5) 2011–2020.
Figure 2. Slope values of organic constituents and suspended solids for the five decadal time frames: (1) 1971–1980, (2) 1981–1990, (3) 1991–2000, (4) 2001–2010, and (5) 2011–2020.
Water 15 03876 g002
Figure 3. Slope values of metal constituents for the five decadal time frames: (1) 1971–1980, (2) 1981–1990, (3) 1991–2000, (4) 2001–2010, and (5) 2011–2020.
Figure 3. Slope values of metal constituents for the five decadal time frames: (1) 1971–1980, (2) 1981–1990, (3) 1991–2000, (4) 2001–2010, and (5) 2011–2020.
Water 15 03876 g003
Figure 4. Slope values of settleable solids (L × 103), total DDT, PAH and PCB, and effluent volume for the five decadal time frames: (1) 1971–1980, (2) 1981–1990, (3) 1991–2000, (4) 2001–2010, and (5) 2011–2020.
Figure 4. Slope values of settleable solids (L × 103), total DDT, PAH and PCB, and effluent volume for the five decadal time frames: (1) 1971–1980, (2) 1981–1990, (3) 1991–2000, (4) 2001–2010, and (5) 2011–2020.
Water 15 03876 g004
Table 1. Established durations of timeframes for long-term analysis of mass emissions for constituents.
Table 1. Established durations of timeframes for long-term analysis of mass emissions for constituents.
TimeframeDuration
11971–1980
21981–1990
31991–2000
42001–2010
52011–2020
Table 2. Estimated annual mass emissions from the four largest POTWs to the SCB from 1971 to 2020. “--” = data were not available. “” = value was calculated where one or more POTWs’ datasets were missing from the cumulative value for the specified year.
Table 2. Estimated annual mass emissions from the four largest POTWs to the SCB from 1971 to 2020. “--” = data were not available. “” = value was calculated where one or more POTWs’ datasets were missing from the cumulative value for the specified year.
ConstituentAnnual Mass EmissionsPercent Change
197119892000201020201971–19891989–20002000–20102010–20201971–2020
Ammonia-N (mt)53,527 45,26835,872 41,814 15,063 −15%−21%17%−64%−72%
Arsenic (kg)7327 73973382 2660 108 1%−54%−21%−95.9%−98.6%
BOD (mt)255,855 161,58597,755 39,250 40,740−37%−40%−60%4%−84%
Cadmium (kg)51,566172027 39 70 −97%−98%42%80%−99.9%
Chromium (kg)653,11922,13941171169 1293−97%−81%−72%11%−99.8%
Copper (kg)455,03767,22649,053 15,726 9918−85%−27%−68%−37%−97.8%
Cyanide (kg)191,83711,5367189 3639 1530 −94%−38%−49%−58%−99.2%
Lead (kg)236,60026,986637 271 309−89%−98%−57%14%−99.9%
Mercury (kg)221139121 12 4 −82%−95%−43%−70%−99.8%
Nickel (kg)310,02453,51630,776 10,008 8715−83%−42%−67%−13%−97.2%
Nitrate-N (mt)309 338 245 14 126 9.5%−27%−94%798%−59%
Nitrite-N (mt)159 78 435 52 --−51%457%−88%----
Oil/grease (mt)56,83722,32312,458 4150 4338 −61%−44%−67%5%−92.4%
Organic N (mt)17,236 7179 4525 -- 9808 −58%−37%----−43%
ortho-Phosphate (mt)------ 900 1415 ------58%--
Phosphate-P (mt)----1363 --------------
Phosphorus (mt)8803 6988 1362 1433 295 −21%−81%5%−79%−96.6%
Selenium (kg)8492 74237839 5143 3260−13%6%−34%−37%−62%
Settleable Solids (L × 103)----267,247 169,107 74,465 ----−37%−56%--
Silver (kg)14,209 10,2654092 227 136 −28%−60%−94%−40%−99.0%
Suspended Solids (mt)217,121 66,757 38,583 20,148 20,476−69%−42%−48%2%−90.6%
Total DDT (kg)65 ---- -- 0 --------−100%
Total PAH (kg)----92 -- 656 ----------
Total PCB (kg)8735 00 -- 222 --------−97.5%
Volume (L × 109)128216581490117898329%−10%−21%−17%−23%
Zinc (kg)1,416,479 84,155 31,865 9819 --−94%−62%−69%----
Disclaimer/Publisher’s Note: The statements, opinions and data contained in all publications are solely those of the individual author(s) and contributor(s) and not of MDPI and/or the editor(s). MDPI and/or the editor(s) disclaim responsibility for any injury to people or property resulting from any ideas, methods, instructions or products referred to in the content.

Share and Cite

MDPI and ACS Style

Lippman, L.; Perez, L.; Lopez, S.R. Fifty-Year Review of Effluent Discharge Trends to the Southern California Bight from Large Municipal Wastewater Treatment Facilities from 1971 to 2020. Water 2023, 15, 3876. https://doi.org/10.3390/w15223876

AMA Style

Lippman L, Perez L, Lopez SR. Fifty-Year Review of Effluent Discharge Trends to the Southern California Bight from Large Municipal Wastewater Treatment Facilities from 1971 to 2020. Water. 2023; 15(22):3876. https://doi.org/10.3390/w15223876

Chicago/Turabian Style

Lippman, Leah, Leslie Perez, and Sonya R. Lopez. 2023. "Fifty-Year Review of Effluent Discharge Trends to the Southern California Bight from Large Municipal Wastewater Treatment Facilities from 1971 to 2020" Water 15, no. 22: 3876. https://doi.org/10.3390/w15223876

APA Style

Lippman, L., Perez, L., & Lopez, S. R. (2023). Fifty-Year Review of Effluent Discharge Trends to the Southern California Bight from Large Municipal Wastewater Treatment Facilities from 1971 to 2020. Water, 15(22), 3876. https://doi.org/10.3390/w15223876

Note that from the first issue of 2016, this journal uses article numbers instead of page numbers. See further details here.

Article Metrics

Back to TopTop