Next Article in Journal
Quantification of Evapotranspiration by Calculations and Measurements Using a Lysimeter
Next Article in Special Issue
Freshwater Salinization Impacts the Interspecific Competition between Microcystis and Scenedesmus
Previous Article in Journal
An Analysis of Factors Influencing Household Water, Sanitation, and Hygiene (WASH) Experiences during Flood Hazards in Tsholotsho District Using a Seemingly Unrelated Regression (SUR) Model
 
 
Font Type:
Arial Georgia Verdana
Font Size:
Aa Aa Aa
Line Spacing:
Column Width:
Background:
Article

Duration, but Not Bottle Volume, Affects Phytoplankton Community Structure and Growth Rates in Microcosm Experiments

Centre for Marine and Environmental Research, University of Algarve, 8005-139 Faro, Portugal
*
Author to whom correspondence should be addressed.
Water 2023, 15(2), 372; https://doi.org/10.3390/w15020372
Submission received: 8 December 2022 / Revised: 6 January 2023 / Accepted: 13 January 2023 / Published: 16 January 2023
(This article belongs to the Special Issue Changing Phytoplankton Communities in Aquatic Environments)

Abstract

It is generally assumed that the larger the bottle volume, the longer the duration of phytoplankton microcosm experiments. We hypothesize that volume and duration are independent, as volume does not regulate the extension of the exponential growth phase. We conducted two microcosm experiments using 1, 2, and 8 L bottles, inoculated with phytoplankton collected in the Ria Formosa lagoon (SE Portugal) and incubated for 1, 2, 4, and 8 days. Phytoplankton net growth rates were estimated using chlorophyll a concentration and cell abundance, determined with epifluorescence and inverted microscopy. Results show that the experimental duration significantly affected net growth rates, independently of volume, with decreasing net growth rates with time. Regarding volume, we found significant, but weak, differences in net growth rates, and significant two-way interactions only for the larger-sized cells. No significant differences in net growth rates across the different volumes were detected for the smaller, most abundant taxa and for the whole assemblage. We conclude that duration, not volume, is the main factor to consider in microcosm experiments, and it should allow the measurement of responses during the exponential growth phase, which can be detected through daily sampling throughout the duration of the experiment.

1. Introduction

Phytoplankton microcosms are a classical methodology that has been used in experimental plankton ecology since the 1970s [1] to develop and test hypotheses regarding the processes that affect phytoplankton dynamics [2]. Planning a phytoplankton microcosm experiment is cumbersome, as many factors have to be carefully considered, including the duration of the experiment, the size (volume) of the experimental units, the types of organisms, the experimental design, or the control over experimental conditions [3]. Enclosing phytoplankton in closed containers poses several challenges, since organisms will be restricted to a small volume of water, and isolated from specific environmental variables but more exposed to others [4]. “Bottle effects” or the impacts of the experimental volume and experimental duration [5,6,7,8] are the main concerns regarding the use of microcosms as reliable models to predict ecological responses to environmental change [2,9,10]. An inappropriate scaling may distort or exclude important features, hampering the extrapolation of results to nature. Despite the criticism that microcosm experiments have been subjected to in the ecology arena, they are still a relevant methodology to evaluate phytoplankton-related processes. The simplicity, low cost, and rapid results of microcosm experiments allow the assessment of many phytoplankton drivers, such as nutrient enrichment and nutrient ratios, warming, CO2, ultraviolet radiation and grazing, among others [11,12,13,14,15].
There is no consensus on the ideal volume and duration of phytoplankton microcosm experiments. The experimental volume should consider the size of the study organisms, the number of species included, or the number of trophic levels, whereas the experimental duration depends on the ecological processes under study and the life histories of the organisms [16]. Based on a sample of published microcosm experiments, Duarte et al. [3] established a numerical relationship between the volume (V, litres) of experimental units and the duration of the experiment (T, days), where T = 1.92V0.29. Although not linear, the larger the volume, the longer the duration should be, as more trophic levels and organisms may be included inside the microcosm. Other studies, however, have found no effects or only weak effects of bottle volume on experimental outcomes [17,18,19,20]. A recent review of microcosm and mesocosm studies found no correlation between volume and experimental duration, i.e., smaller volumes are not used for shorter time intervals than larger volumes [21].
In this study, we hypothesize that experimental duration is independent of experimental volume for different experimental outcomes (net growth rates and community composition) in phytoplankton microcosms, given that bottle volume is not a bottom-up variable that will regulate phytoplankton growth. Therefore, we expect that net growth rates of specific phytoplankton groups will be similar across bottle volumes, as bottle volume will not affect the duration of the exponential growth phase. We also expect no differences in relative community composition across volumes. However, the duration of the experiment will affect the estimation of net growth rates, depending on the group/assemblage’s overall metabolism, i.e., too short or too long incubation periods may preclude the observation of the exponential growth phase and lead to erroneous estimates of net growth rates.

2. Materials and Methods

2.1. Sampling and Experimental Strategy

Two microcosm experiments were carried out in the shallow, mesotidal, euhaline Ria Formosa coastal lagoon, Portugal (37.003, −7.985), in the autumn of 2017 and summer of 2022. Water samples were collected in the mixed layer and transported to the lab in cold and dark conditions. Water samples were not pre-filtered to avoid alterations in the composition and size structure of the initial phytoplankton assemblage [18]. To avoid potential nutrient limitations that would minimize phytoplankton growth responses, dissolved inorganic macronutrients (40 µM of nitrate as potassium nitrate, 10 µM of ammonium as ammonium chloride, 50 µM of silicon as sodium hexafluorosilicate, and 3.125 µM of phosphorus as potassium dihydrogen phosphate) were added to the water samples. Therefore, we measured phytoplankton responses following a nutrient pulse, but this manipulation was identical in all experimental treatments, so it should not affect the observation of effects associated with our test variables (volume and duration). Three aliquots were taken to evaluate chlorophyll a (Chl-a) concentration, and phytoplankton composition and abundance at day 0. Then, we filled a total of twenty-one bottles, namely: eight 1 L bottles, eight 2 L bottles, and five 8 L bottles (Figure 1). All bottles were incubated outdoors, thus exposed to the natural light–dark cycle (autumn: 11h00-13h00; summer: 14h00-10h00), in tanks filled with tap water to simulate in situ water temperature (autumn: 19 °C; summer: 21 °C) and covered with a net to mimic in situ light intensity, over a maximum period of eight days, and were manually shaken daily to avoid deposition of non-motile cells. Although the incubation conditions were not completely static, the water turbulence typical of the Ria Formosa coastal lagoon was not mimicked in these experiments. Aliquots were collected from specific bottles on days 1, 2, 4, and 8 (Figure 1) for evaluation of Chl-a concentration, and phytoplankton composition and abundance.

2.2. Chlorophyll a Concentration, Phytoplankton Abundance and Composition

Chlorophyll a (Chl-a) concentration, used as a proxy for phytoplankton biomass, was determined fluorometrically with a 10-AU Fluorometer, using water samples filtered through glass fibre filters (Whatman GF/F nominal pore diameter = 0.7 µm). Chl-a was extracted overnight with 90% acetone at 4 °C, before and after acidification with HCl [22].
Phytoplankton abundance and composition were analysed using epifluorescence microscopy [23] for picophytoplankton (<2 µm) and nanophytoplankton (2–20 µm), and inverted microscopy [24] for microphytoplankton (>20 µm). Samples for epifluorescence microscopy were preserved in glutaraldehyde (2% final concentration), stained with proflavin and filtered (1 mL) onto black polycarbonate membrane filters (Whatman nominal pore = 0.4 µm). Slides were made within 24 h of sampling, using glass slides, cover slips and immersion oil (Cargille type A), and observed in a Zeiss Axio Imager microscope at 1000× magnification. Samples for inverted microscopy were preserved in acid Lugol’s solution, settled in sedimentation chambers, and observed using a Zeiss AxioObserver microscope at 400× magnification. A minimum of 50 random visual fields and at least 400 cells in total were counted, for a counting precision of ±10% [25].

2.3. Data Analysis

Net growth rates of the phytoplankton community and specific phytoplankton groups were calculated as (ln Nt-ln N0)/t, where N0 and Nt represent Chl-a concentration or phytoplankton abundance at the beginning of the incubation period and at the end (t = 1, 2, 4, or 8 days), respectively, assuming exponential growth. The effects of experimental volume and experimental duration on phytoplankton abundance and biomass were statistically compared using a two-way ANOVA [26]. Tukey post-hoc tests were used to assess significant differences between each experimental treatment. Effect sizes were assessed by estimating partial omega-squared statistics for 2-factor designs, which indicates the percentage of variation in the dependent variable attributable to the independent variable [27,28]. Differences in phytoplankton community structure across experimental treatments were assessed with one-way permutational multivariate analyses of variance (PERMANOVA) using 9999 unrestricted permutations of raw data, followed by pairwise comparisons, whenever significant differences were found. Non-metric multidimensional scaling (nMDS) using Bray–Curtis distances was performed to visually assess the pattern of differences across experimental volumes and experimental durations. Data analyses were performed with IBM SPSS Statistics 28 and Primer v6 (with add-on for PERMANOVA+). All tests were considered at a significance level of 0.05.

3. Results

At the beginning of both experiments, phytoplankton community was dominated, in terms of abundance, by picocyanobacteria and eukaryotic picophytoplankton. Cyanobacteria contributed 56.9% (96.4 × 106 cell L−1) and 43.7% (2.8 × 106 cell L−1) for total phytoplankton abundance at the beginning of the autumn and summer experiments, respectively, whereas eukaryotic picophytoplankton represented 33.3% (56.4 × 106 cell L−1) of initial phytoplankton abundance in the autumn experiment and 41.3% (2.7 × 106 cell L−1) in the summer experiment. Diatoms (1.6 × 106 and 9.7 × 103 cell L−1) and dinoflagellates (4.0 × 104 and 2.4 × 102 cell L−1) were the least abundant groups in both experiments, contributing less than 1% to total phytoplankton abundance. Initial chlorophyll a concentration was 0.18 µg L−1 in the autumn experiment and 1.66 µg L−1 in the summer experiment.
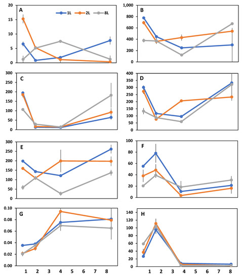
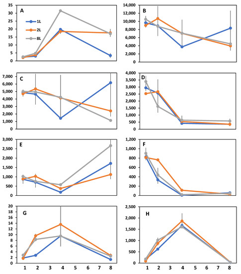
The experimental duration significantly affected the estimation of net growth rates of the phytoplankton community and of all phytoplankton groups (Table 1), with large effect sizes (ωG2 > 0.70) for most groups, and a general pattern of decreasing net growth rates with increasing incubation periods. Other differences in net growth rate estimates were found depending on the specific phytoplankton groups. The effect of experimental duration was particularly relevant for phytoplankton biomass (Figure 2A and Figure 3A) and diatoms (Figure 2H and Figure 3H) in both experiments; medium to large effect sizes were also found for the other phytoplankton groups, such as cyanobacteria (Figure 2C and Figure 3C), eukaryotic picophytoplankton (Figure 2D), autotrophic nanoflagellates (Figure 2E) and cryptophytes (Figure 2F). Post-hoc tests revealed that significant differences were found between all experimental durations, for instance, for cryptophytes in the autumn experiment (Figure 2F) and diatoms in the summer experiment (Figure 3H). For some groups, the differences were between specific time periods, for instance, between 1 day and 4 days duration for dinoflagellates in the summer experiment (Figure 3G).
The experimental duration also affected the structure of the phytoplankton community, in terms of the relative abundance of different functional groups, as revealed by PERMANOVA and nMDS (Figure 4A,C), for both experiments. In the summer experiment, significant differences were found across all incubation periods (all p < 0.0037), whereas in the autumn experiment, community structure was not significantly different only between experimental durations of 1 day and 2 days (p = 0.9832).
Experimental volume showed significant effects on the estimation of some net growth rates, but the magnitude of the effect was small. Net growth rates of phytoplankton community (based on Chl-a) and larger cells, namely plastidic nanoflagellates, cryptophytes, diatoms, and dinoflagellates, were significantly affected by bottle volume, with a general pattern of lower net growth rates in larger volumes (Figure 2 and Figure 3, Table 1). However, the magnitude of these differences was always small (ωG2 < 0.35). Regarding the effect of volume on phytoplankton community structure, the two experiments yielded different results. In the autumn experiment, no significant differences were found in community structure across bottle volume (p = 0.538), but in the summer experiment, significant differences were found, particularly between the 8 L bottles and the other volumes (p = 0.0001) (Figure 4B,D). Two-way interactions between experimental volume and experimental duration were also found for the growth of some groups, particularly diatoms and dinoflagellates, with a higher net growth rate in larger volumes, associated with shorter experimental durations, but the magnitude of these differences was small (Table 1).

4. Discussion

Contrasting with conventional guidelines which establish that the volume and duration of microcosm experiments should be proportional, we hypothesized that net growth rates of phytoplankton and community structure would be identical across bottle volumes, but different estimates would be obtained depending on the duration of the experiment. As hypothesized, the incubation period considered for the calculation of phytoplankton net growth rates yielded significantly different estimates, with decreasing net growth rates with time. Regarding bottle volume, we found some significant effects, but of a low magnitude, for the larger-sized phytoplankton groups, associated with significant interactions between volume and incubation period, but no significant differences were found for the smaller and most abundant phytoplankton groups and the whole assemblage.
An appropriate scaling between the size and duration of microcosm experiments is necessary to avoid artefacts by excluding or including features and effects that are unnatural [9]. Experiments too long or too short for their size may produce unwanted effects that hamper the extrapolation of results and their predictive power [3]. Applying the numerical relationship T = 1.92V0.29 [3] to our microcosms, incubation time would have varied between 1.9 days and 3.5 days for the 1 L and 8 L bottles, respectively. However, net growth rates estimated for an 8-day incubation period were, in most cases, significantly lower than net growth rates estimated for shorter periods, suggesting that phytoplankton were past their exponential growth phase. In some cases, such as for the pico- and nano-sized phytoplankton, net growth rates calculated for 1, 2, 4 and 8 days of incubation were significantly different, decreasing with time, suggesting that smaller-sized cells grew exponentially at the beginning of incubation and declined from day 2 onwards. Therefore, a microcosm experiment with a duration of 8 days and sample collection at the beginning and end of incubation would preclude the observation of growth responses by these fast-growing phytoplankton groups. This response was similar across bottle volumes, suggesting that duration is independent of microcosm volume.
Experimental duration and experimental volume in phytoplankton microcosms are variable in the literature; recent studies have used, for instance, 1 day in 1 L bottles [29], 1 day in 4 L bottles [30], 3 days in 0.91 L bottles [31], 4 days in 4 L bottles [32], 5 days in 0.5 L bottles [33], 6 days in 0.5 L [34], and 6 days in 2.3 L bottles [35]. A few studies tested volumetric effects and found that different volumes have only minor effects or no effects at all in several processes and communities [8,17,18,36]. Spivak et al. [19] tested different volumes, from 4 L microcosms to whole pond mesocosms, and observed only weak volumetric effects, concluding that results from microcosm experiments may be applied to larger systems. In contrast, volume affected the growth rates of three out of five ciliate species tested in volumes ranging between 10 and 200 mL, but different physiological conditions of the ciliates at the time of the experiments probably caused random effects that affected growth [20]. Previous experiments in the Ria Formosa coastal lagoon have used 1- and 2-day incubation periods (with 4.5 L and 2 L bottles, respectively) that covered the exponential growth phase [12,13]. In contrast, 4-day incubations (in 1 L bottles) were necessary to assess phytoplankton responses in a light-limited estuarine system [37,38].
In short-duration microcosm experiments, samples are typically collected only at the beginning and end of incubation. If previous knowledge of phytoplankton overall metabolism does not exist, this strategy may preclude the observation of phytoplankton responses during the exponential growth phase. To avoid this problem, samples should be taken daily to monitor phytoplankton growth and to detect the exponential growth phase. Taxonomic analysis should be the preferred method to evaluate changes in phytoplankton microcosms, but the time investment necessary and the loss of taxonomic skills and plankton analysis expertise [39] may hinder the everyday use of microscopy. Alternatively, the measurement of chlorophyll in vivo fluorescence may provide a rough estimate of phytoplankton biomass variability, but changes in small-sized phytoplankton cells, such as cyanobacteria and eukaryotic picophytoplankton, may not be detected using this or other biomass indicators [30,40].
In addition to volume and duration, other variables should be considered in microcosm studies, such as the shape and material of the bottles/containers, and exposure to environmental variables, such as light and turbulence [41]. Turbulence in particular can have relevant effects on several phytoplankton processes, such as growth and nutrient uptake [42,43]. However, in small microcosms, such as the ones that were tested in this study, turbulence generation can be unrepresentative of natural conditions [41]. Given that turbulence in natural environments can be highly sporadic [44] and the difficulty in generating adequate artificial turbulence, we did not consider this variable in our study, but we highlight that turbulence may also affect the outcome of microcosm experiments.

5. Conclusions

The small volumes of water typically used in microcosm experiments and the short time scales may not fully reflect the complexity of the natural environment, but they can be accurate in evaluating individual responses to abiotic and biotic drivers [45]. In order to acquire a fundamental knowledge of ecological processes and to extrapolate results to a wider context [10], choosing the appropriate timescale for the process of interest is critical [19]. Our results confirmed that experimental duration, not experimental volume, is the main factor to consider in the design of a microcosm experiment. Duration depends on the overall metabolism of organisms, and it should allow the measurement of phytoplankton responses during their exponential growth phase. However, phytoplankton metabolism is highly variable across functional groups and species. We suggest that daily samples, rather than samples taken at the beginning and end of incubation, should be considered in the experimental design, to detect the exponential growth phase of the different organisms. In addition, taxonomic data, rather than general biomass indicators, should be employed to detect responses at lower taxonomic levels.

Author Contributions

R.B.D.—Conceptualization, investigation, formal analysis, writing—original draft preparation, writing—review and editing; B.A.M.—Investigation, formal analysis; P.N.—Investigation, formal analysis; I.B.M.—Investigation, formal analysis; A.B.B.—Conceptualization, writing—review and editing. All authors have read and agreed to the published version of the manuscript.

Funding

This work was supported by the Portuguese Foundation for Science and Technology (FCT) (UID/MAR/00350/2013, UID/MAR/00350/2020, LA/P/0069/2020) and by FCT and the Aga Khan Network for Development (LuandaWaterFront, ref. 333191101). FCT also provided funding for R.B.D (DL 57/2016/CP1361/CT0017) and P.N. (UI/BD/150772/2020); B.A.M. was supported by Interreg Transfronteiriço Espanha-Portugal (POCTEP project Atlazul – Impulso da aliança litoral atlântica para o crescimento azul).

Data Availability Statement

The datasets generated during and/or analysed during the current study are available from the corresponding author upon reasonable request.

Conflicts of Interest

The authors declare no conflict of interest. The funders had no role in the design of the study; in the collection, analyses, or interpretation of data; in the writing of the manuscript; or in the decision to publish the results.

References

  1. Gerhart, D.Z.; Likens, G.E. Enrichment Experiments for Determining Limitation: Four Methods Compared. Limnol. Oceanogr. 1975, 20, 649–653. [Google Scholar] [CrossRef]
  2. Huston, M.A. Microcosm Experiments Have Limited Relevance for Community and Ecosystem Ecology: Synthesis of Comments. Ecology 1999, 80, 1088–1089. [Google Scholar] [CrossRef]
  3. Duarte, C.M.; Gasol, J.M.; Vaqué, D. Role of Experimental Approaches in Marine Microbial Ecology. Aquat. Microb. Ecol. 1997, 13, 101–111. [Google Scholar] [CrossRef]
  4. Venrick, E.L.; Beers, J.R.; Heinbokel, J.F. Possible Consequences of Containing Microplankton for Physiological Rate Measurements. J. Exp. Mar. Biol. Ecol. 1977, 26, 55–76. [Google Scholar] [CrossRef]
  5. Englund, G.; Cooper, S.D. Scale Effects and Extrapolation in Ecological Experiments. Adv. Ecol. Res. 2003, 33, 161–213. [Google Scholar] [CrossRef]
  6. Pernthaler, J.; Amann, R. Fate of Heterotrophic Microbes in Pelagic Habitats: Focus on Populations. Microbiol. Mol. Biol. Rev. 2005, 69, 440–461. [Google Scholar] [CrossRef]
  7. Petersen, J.E.; Cornwell, J.C.; Kemp, W.M. Implicit Scaling in the Design of Experimental Aquatic Ecosystems. Oikos 1999, 85, 3. [Google Scholar] [CrossRef]
  8. Robinson, C.; Williams, P.J.B. Respiration and Its Measurement in Surface Marine Waters. In Respiration in Aquatic Ecosystems; del Giorgio, P., Williams, P.J.B., Eds.; Oxford University Press: New York, NY, USA, 2005; pp. 147–180. [Google Scholar]
  9. Carpenter, S.R. Microcosm Experiments Have Limited Relevance for Community and Ecosystem Ecology. Ecology 1996, 77, 677–680. [Google Scholar] [CrossRef]
  10. de Boeck, H.J.; Vicca, S.; Roy, J.; Nijs, I.; Milcu, A.; Kreyling, J.; Jentsch, A.; Chabbi, A.; Campioli, M.; Callaghan, T.; et al. Global Change Experiments: Challenges and Opportunities. Bioscience 2015, 65, 922–931. [Google Scholar] [CrossRef]
  11. Bestion, E.; Barton, S.; García, F.C.; Warfield, R.; Yvon-Durocher, G. Abrupt Declines in Marine Phytoplankton Production Driven by Warming and Biodiversity Loss in a Microcosm Experiment. Ecol. Lett. 2020, 23, 457–466. [Google Scholar] [CrossRef]
  12. Domingues, R.B.; Guerra, C.C.; Barbosa, A.B.; Galvão, H.M. Will Nutrient and Light Limitation Prevent Eutrophication in an Anthropogenically-Impacted Coastal Lagoon? Cont. Shelf. Res. 2017, 141, 11–25. [Google Scholar] [CrossRef]
  13. Domingues, R.B.; Guerra, C.C.; Galvão, H.M.; Brotas, V.; Barbosa, A.B. Short-Term Interactive Effects of Ultraviolet Radiation, Carbon Dioxide and Nutrient Enrichment on Phytoplankton in a Shallow Coastal Lagoon. Aquat. Ecol. 2017, 51, 91–105. [Google Scholar] [CrossRef]
  14. Hofmann, P.; Chatzinotas, A.; Harpole, W.S.; Dunker, S. Temperature and Stoichiometric Dependence of Phytoplankton Traits. Ecology 2019, 100, e02875. [Google Scholar] [CrossRef] [PubMed]
  15. Schulhof, M.A.; Shurin, J.B.; Declerck, S.A.J.; van de Waal, D.B. Phytoplankton Growth and Stoichiometric Responses to Warming, Nutrient Addition and Grazing Depend on Lake Productivity and Cell Size. Glob. Chang. Biol. 2019, 25, 2751–2762. [Google Scholar] [CrossRef]
  16. Fraser, L.H.; Keddy, P. The Role of Experimental Microcosms in Ecological Research. Trends Ecol. Evol. 1997, 12, 478–481. [Google Scholar] [CrossRef]
  17. Hammes, F.; Vital, M.; Egli, T. Critical Evaluation of the Volumetric “ Bottle Effect ” on Microbial Batch Growth. Appl. Env. Microbiol. 2010, 76, 1278–1281. [Google Scholar] [CrossRef]
  18. Nogueira, P.; Domingues, R.B.; Barbosa, A.B. Are Microcosm Volume and Sample Pre-Filtration Relevant to Evaluate Phytoplankton Growth? J. Exp. Mar. Biol. Ecol. 2014, 461, 323–330. [Google Scholar] [CrossRef]
  19. Spivak, A.C.; Vanni, M.J.; Mette, E.M. Moving on up: Can Results from Simple Aquatic Mesocosm Experiments Be Applied across Broad Spatial Scales? Freshw. Biol. 2011, 56, 279–291. [Google Scholar] [CrossRef]
  20. Weisse, T.; Lukić, D.; Lu, X. Container Volume May Affect Growth Rates of Ciliates and Clearance Rates of Their Microcrustacean Predators in Microcosm Experiments. J. Plankton Res. 2021, 43, 288–299. [Google Scholar] [CrossRef]
  21. Haanes, H.; Hansen, E.L.; Hevrøy, T.H.; Jensen, L.K.; Gjelsvik, R.; Jaworska, A.; Bradshaw, C. Realism and Usefulness of Multispecies Experiment Designs with Regard to Application in Radioecology: A Review. Sci. Total Environ. 2020, 718, 134485. [Google Scholar] [CrossRef]
  22. Parsons, T.R.; Maita, Y.; Lalli, C.M. A Manual of Chemical and Biological Methods for Seawater Analysis; Pergamon Press: Oxford, UK, 1984. [Google Scholar]
  23. Haas, L.W. Improved Epifluorescence Microscopy for Observing Planktonic Micro-Organisms. Ann. L’institut Oceanogr. 1982, 58, 261–266. [Google Scholar]
  24. Utermöhl, H. Zur Vervollkommnung Der Quantitativen Phytoplankton-Methodik. Mitt. Int. Ver. Theor. Und Angew. Limnol. 1958, 9, 1–38. [Google Scholar] [CrossRef]
  25. Venrick, E.L. How Many Cells to Count? In Phytoplankton Manual; Sournia, A., Ed.; UNESCO: Paris, France, 1978; pp. 167–180. [Google Scholar]
  26. Dytham, C. Choosing and Using Statistics: A Biologist’s Guide, 2nd ed.; Blackwell Publishing: Hoboken, NJ, USA, 2003. [Google Scholar]
  27. Albers, C.; Lakens, D. When Power Analyses Based on Pilot Data Are Biased: Inaccurate Effect Size Estimators and Follow-up Bias. J. Exp. Soc. Psychol. 2018, 74, 187–195. [Google Scholar] [CrossRef]
  28. Olejnik, S.; Algina, J. Generalized Eta and Omega Squared Statistics: Measures of Effect Size for Some Common Research Designs. Psychol. Methods 2003, 8, 434–447. [Google Scholar] [CrossRef] [PubMed]
  29. Teixeira, I.G.; Arbones, B.; Froján, M.; Nieto-Cid, M.; Álvarez-Salgado, X.A.; Castro, C.G.; Fernández, E.; Sobrino, C.; Teira, E.; Figueiras, F.G. Response of Phytoplankton to Enhanced Atmospheric and Riverine Nutrient Inputs in a Coastal Upwelling Embayment. Estuar. Coast. Shelf. Sci. 2018, 210, 132–141. [Google Scholar] [CrossRef]
  30. Cira, E.K.; Paerla, H.W.; Wetza, M.S. Effects of Nitrogen Availability and Form on Phytoplankton Growth in a Eutrophied Estuary (Neuse River Estuary, NC, USA). PLoS ONE 2016, 11, e0160663. [Google Scholar] [CrossRef]
  31. Groß, E.; di Pane, J.; Boersma, M.; Meunier, C.L. River Discharge-Related Nutrient Effects on North Sea Coastal and Offshore Phytoplankton Communities. J. Plankton Res. 2022, 44, 947–960. [Google Scholar] [CrossRef]
  32. Nwankwegu, A.S.; Li, Y.; Huang, Y.; Wei, J.; Norgbey, E.; Lai, Q.; Sarpong, L.; Wang, K.; Ji, D.; Yang, Z.; et al. Nutrient Addition Bioassay and Phytoplankton Community Structure Monitored during Autumn in Xiangxi Bay of Three Gorges Reservoir, China. Chemosphere 2020, 247, 125960. [Google Scholar] [CrossRef]
  33. Rollwagen-Bollens, G.; Connelly, K.A.; Bollens, S.M.; Zimmerman, J.; Coker, A. Nutrient Control of Phytoplankton Abundance and Biomass, and Microplankton Assemblage Structure in the Lower Columbia River (Vancouver, Washington, USA). Water 2022, 14, 1599. [Google Scholar] [CrossRef]
  34. Jacquemin, C.; Bertrand, C.; Oursel, B.; Thorel, M.; Franquet, E.; Cavalli, L. Growth Rate of Alpine Phytoplankton Assemblages from Contrasting Watersheds and N-Deposition Regimes Exposed to Nitrogen and Phosphorus Enrichments. Freshw. Biol. 2018, 63, 1326–1339. [Google Scholar] [CrossRef]
  35. Giraud, M.; Boye, M.; Garçon, V.; Donval, A.; de la Broise, D. Simulation of an Artificial Upwelling Using Immersed in Situ Phytoplankton Microcosms. J. Exp. Mar. Biol. Ecol. 2016, 475, 80–88. [Google Scholar] [CrossRef]
  36. Fogg, G.E.; Calvario-Martinez, O. Effects of Bottle Size in Determinations of Primary Productivity by Phytoplankton. Hydrobiologia 1989, 173, 89–94. [Google Scholar] [CrossRef]
  37. Domingues, R.B.; Barbosa, A.B.; Sommer, U.; Galvão, H.M. Ammonium, Nitrate and Phytoplankton Interactions in a Freshwater Tidal Estuarine Zone: Potential Effects of Cultural Eutrophication. Aquat. Sci. 2011, 73, 331–343. [Google Scholar] [CrossRef]
  38. Domingues, R.B.; Anselmo, T.P.; Barbosa, A.B.; Sommer, U.; Galvão, H.M. Nutrient Limitation of Phytoplankton Growth in the Freshwater Tidal Zone of a Turbid, Mediterranean Estuary. Estuar. Coast. Shelf. Sci. 2011, 91, 282–297. [Google Scholar] [CrossRef]
  39. McQuatters-Gollop, A.; Johns, D.G.; Bresnan, E.; Skinner, J.; Rombouts, I.; Stern, R.; Aubert, A.; Johansen, M.; Bedford, J.; Knights, A. From Microscope to Management: The Critical Value of Plankton Taxonomy to Marine Policy and Biodiversity Conservation. Mar. Policy 2017, 83, 1–10. [Google Scholar] [CrossRef]
  40. Domingues, R.B.; Barbosa, A.; Galvão, H. Constraints on the Use of Phytoplankton as a Biological Quality Element within the Water Framework Directive in Portuguese Waters. Mar. Pollut. Bull. 2008, 56, 1389–1395. [Google Scholar] [CrossRef]
  41. Arnott, R.N.; Cherif, M.; Bryant, L.D.; Wain, D.J. Artificially Generated Turbulence: A Review of Phycological Nanocosm, Microcosm, and Mesocosm Experiments. Hydrobiologia 2021, 848, 961–991. [Google Scholar] [CrossRef]
  42. Yu, L.; Li, Y.; Yao, Z.; You, L.; Jiang, Z.-P.; Fan, W.; Pan, Y. Characterization of Fine-Scale Turbulence Generated in a Laboratory Orbital Shaker and Its Influence on Skeletonema Costatum. J. Mar. Sci. Eng. 2022, 10, 1053. [Google Scholar] [CrossRef]
  43. Orefice, I.; Musella, M.; Smerilli, A.; Sansone, C.; Chandrasekaran, R.; Corato, F.; Brunet, C. Role of Nutrient Concentrations and Water Movement on Diatom’s Productivity in Culture. Sci. Rep. 2019, 9, 1479. [Google Scholar] [CrossRef]
  44. Waterhouse, A.F.; MacKinnon, J.A.; Nash, J.D.; Alford, M.H.; Kunze, E.; Simmons, H.L.; Polzin, K.L.; Laurent, L.C.; Sun, O.M.; Pinkel, R.; et al. Global Patterns of Diapycnal Mixing from Measurements of the Turbulent Dissipation Rate. J. Phys. Oceanogr. 2014, 44, 1854–1872. [Google Scholar] [CrossRef]
  45. Båmstedt, U.; Larsson, H. An Indoor Pelagic Mesocosm Facility to Simulate Multiple Water-Column Characteristics. Int. Aquat. Res. 2018, 10, 13–29. [Google Scholar] [CrossRef]
Figure 1. Experimental design, showing all bottles, corresponding volumes, and incubation periods for each bottle.
Figure 1. Experimental design, showing all bottles, corresponding volumes, and incubation periods for each bottle.
Water 15 00372 g001
Figure 2. (A) Chlorophyll a concentration (µg L−1) and (BH) abundance (×104 cell L−1) of phytoplankton in the autumn experiment. (A) Chlorophyll a concentration; (B) total abundance; (C) cyanobacteria; (D) eukaryotic picophytoplankton; (E) plastidic nanoflagellates; (F) cryptophytes; (G) dinoflagellates; and (H) diatoms, observed in bottles with variable volumes (1 L, 2 L, 8 L), subject to periods of incubation with the duration of 1 to 8 days. Vertical lines on each bar represent ±1 standard error of the mean.
Figure 2. (A) Chlorophyll a concentration (µg L−1) and (BH) abundance (×104 cell L−1) of phytoplankton in the autumn experiment. (A) Chlorophyll a concentration; (B) total abundance; (C) cyanobacteria; (D) eukaryotic picophytoplankton; (E) plastidic nanoflagellates; (F) cryptophytes; (G) dinoflagellates; and (H) diatoms, observed in bottles with variable volumes (1 L, 2 L, 8 L), subject to periods of incubation with the duration of 1 to 8 days. Vertical lines on each bar represent ±1 standard error of the mean.
Water 15 00372 g002
Figure 3. (A) Chlorophyll a concentration (µg L−1) and (BH) abundance (×104 cell L−1) of phytoplankton in the summer experiment. (A) Chlorophyll a concentration; (B) total abundance; (C) cyanobacteria; (D) eukaryotic picophytoplankton; (E) plastidic nanoflagellates; (F) cryptophytes; (G) dinoflagellates; and (H) diatoms, observed in bottles with variable volumes (1 L, 2 L, 8 L), subject to periods of incubation with the duration of 1 to 8 days. Vertical lines on each bar represent ±1 standard error of the mean.
Figure 3. (A) Chlorophyll a concentration (µg L−1) and (BH) abundance (×104 cell L−1) of phytoplankton in the summer experiment. (A) Chlorophyll a concentration; (B) total abundance; (C) cyanobacteria; (D) eukaryotic picophytoplankton; (E) plastidic nanoflagellates; (F) cryptophytes; (G) dinoflagellates; and (H) diatoms, observed in bottles with variable volumes (1 L, 2 L, 8 L), subject to periods of incubation with the duration of 1 to 8 days. Vertical lines on each bar represent ±1 standard error of the mean.
Water 15 00372 g003
Figure 4. Non-metric multidimensional scaling (nMDS) plot of phytoplankton community structure across experimental durations in the (A) autumn and (C) summer experiments, and experimental volumes in the (B) autumn and (D) summer experiments. nMDS plots are based on Bray–Curtis similarities and non-transformed abundance data.
Figure 4. Non-metric multidimensional scaling (nMDS) plot of phytoplankton community structure across experimental durations in the (A) autumn and (C) summer experiments, and experimental volumes in the (B) autumn and (D) summer experiments. nMDS plots are based on Bray–Curtis similarities and non-transformed abundance data.
Water 15 00372 g004
Table 1. Two-way ANOVA output, with p-values (p) and generalized partial omega-squared effect size values (ωG2) for the effects of experimental volume (V), experimental duration (T), and interactions between the two variables (VxT), on net growth rates of the phytoplankton community, expressed as changes in chlorophyll a concentration (Chl-a), and in the abundance of the phytoplankton assemblage (total phytoplankton) and of specific phytoplankton groups, for the two experiments (the first line of each group is the autumn experiment, and the second line is the summer experiment). Significant differences (p < 0.05) and large effect sizes (ωG2 > 0.07) are represented in bold.
Table 1. Two-way ANOVA output, with p-values (p) and generalized partial omega-squared effect size values (ωG2) for the effects of experimental volume (V), experimental duration (T), and interactions between the two variables (VxT), on net growth rates of the phytoplankton community, expressed as changes in chlorophyll a concentration (Chl-a), and in the abundance of the phytoplankton assemblage (total phytoplankton) and of specific phytoplankton groups, for the two experiments (the first line of each group is the autumn experiment, and the second line is the summer experiment). Significant differences (p < 0.05) and large effect sizes (ωG2 > 0.07) are represented in bold.
VTVxT
pωG2pωG2pωG2
Chlorophyll a0.0020.01<0.0010.920.0250.00
0.788−0.02<0.0010.760.4350.00
Total phytoplankton0.5620.00<0.0010.990.3850.00
0.2350.040.675−0.040.0720.29
Cyanobacteria0.860−0.030.0010.640.742−0.05
0.3900.00<0.0010.87<0.0010.10
Eukaryotic picophytoplankton0.905−0.01<0.0010.840.3680.01
<0.0010.17<0.0010.45<0.0010.28
Autotrophic nanoflagellates0.2690.00<0.0010.920.778−0.01
<0.0010.35<0.0010.22<0.0010.35
Cryptophytes0.0290.00<0.0010.990.0450.00
0.0070.08<0.0010.610.0060.17
Dinoflagellates0.0260.09<0.0010.520.0460.13
0.0120.140.0040.260.0080.32
Diatoms0.0140.02<0.0010.860.0020.07
0.1570.00<0.0010.980.0010.01
Disclaimer/Publisher’s Note: The statements, opinions and data contained in all publications are solely those of the individual author(s) and contributor(s) and not of MDPI and/or the editor(s). MDPI and/or the editor(s) disclaim responsibility for any injury to people or property resulting from any ideas, methods, instructions or products referred to in the content.

Share and Cite

MDPI and ACS Style

Domingues, R.B.; Mosley, B.A.; Nogueira, P.; Maia, I.B.; Barbosa, A.B. Duration, but Not Bottle Volume, Affects Phytoplankton Community Structure and Growth Rates in Microcosm Experiments. Water 2023, 15, 372. https://doi.org/10.3390/w15020372

AMA Style

Domingues RB, Mosley BA, Nogueira P, Maia IB, Barbosa AB. Duration, but Not Bottle Volume, Affects Phytoplankton Community Structure and Growth Rates in Microcosm Experiments. Water. 2023; 15(2):372. https://doi.org/10.3390/w15020372

Chicago/Turabian Style

Domingues, Rita B., Benjamin A. Mosley, Patrícia Nogueira, Inês B. Maia, and Ana B. Barbosa. 2023. "Duration, but Not Bottle Volume, Affects Phytoplankton Community Structure and Growth Rates in Microcosm Experiments" Water 15, no. 2: 372. https://doi.org/10.3390/w15020372

APA Style

Domingues, R. B., Mosley, B. A., Nogueira, P., Maia, I. B., & Barbosa, A. B. (2023). Duration, but Not Bottle Volume, Affects Phytoplankton Community Structure and Growth Rates in Microcosm Experiments. Water, 15(2), 372. https://doi.org/10.3390/w15020372

Note that from the first issue of 2016, this journal uses article numbers instead of page numbers. See further details here.

Article Metrics

Back to TopTop