Effect of Post-Drought Rehydration on Winter Wheat Fluorescence and Photosynthetic Indices under Different Levels of Nitrogen Application
Abstract
1. Introduction
2. Materials and Methods
2.1. Overview of the Test Area
2.2. Experimental Design
2.3. Measurement Index and Method
3. Results
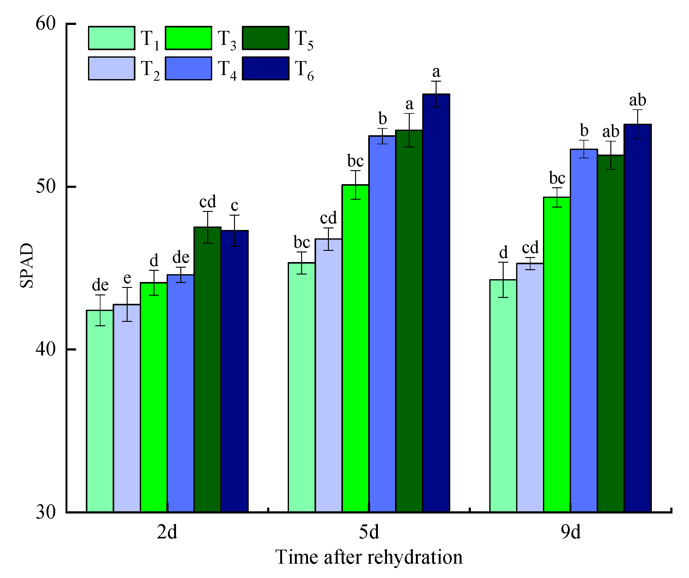
3.1. Response of Winter Wheat Flag Leaf SPAD to Water and Nitrogen
3.2. Response of Chlorophyll Fluorescence Kinetic Parameters of Winter Wheat Flag Leaves to Water and Nitrogen
3.2.1. Response of Winter Wheat Flag Leaf Fv/Fm to Water and Nitrogen
3.2.2. Response of Flag Leaf qP and NPQ of Winter Wheat to Water and Nitrogen
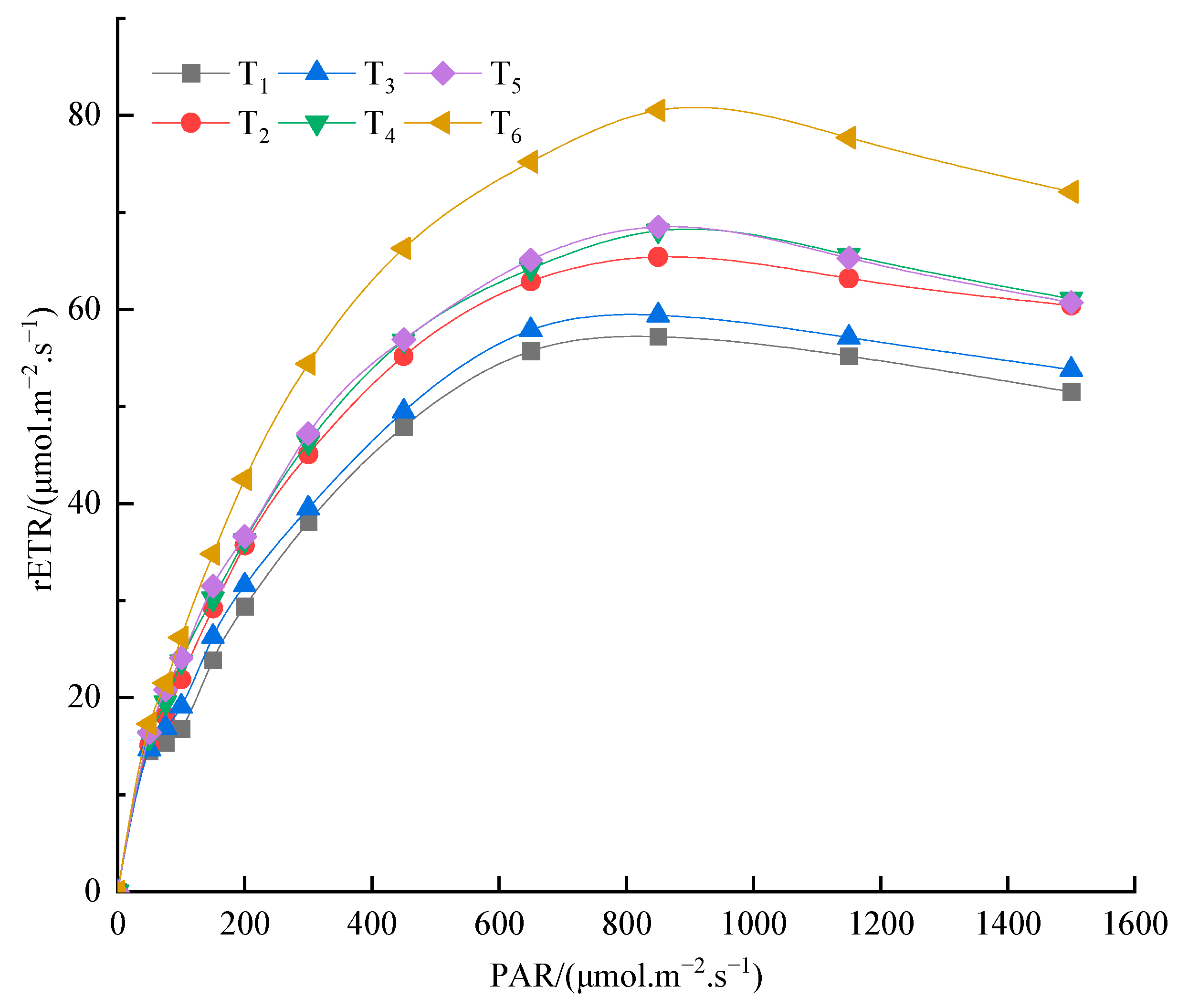
3.2.3. Response Analysis of Fast Fluorescence Response Curve to Water and Nitrogen
3.3. Response of Photosynthetic Parameters of Winter Wheat to Water and Nitrogen
3.3.1. Response of Net Photosynthetic Rate of Flag Leaf of Winter Wheat to Water and Nitrogen
3.3.2. Response of Flag Leaf Transpiration Rate, Stomatal Conductance, and Intercellular CO2 Concentration of Winter Wheat to Water and Nitrogen
4. Discussion
4.1. Response of Winter Wheat Flag Leaf SPAD to Water and Nitrogen
4.2. Response of Flag Leaf Fluorescence Parameters of Winter Wheat to Water and Nitrogen
4.3. Response of Fast Fluorescence Response Curve and Characteristic Parameters to Water and Nitrogen
4.4. Response of Flag Leaf Photosynthetic Index of Winter Wheat to Water and Nitrogen
5. Conclusions
Author Contributions
Funding
Data Availability Statement
Conflicts of Interest
References
- Lahuta, L.B.; Szablińska, P.J.; Horbowicz, M. Changes in Metabolic Profiles of Pea (Pisum sativum L.) as a Result of Repeated Short-Term Soil Drought and Subsequent Re-Watering. Int. J. Mol. Sci. 2022, 23, 1704. [Google Scholar] [CrossRef]
- Kuan, T.; Yun, W.; Dan, C.; Cao, M.; Luo, J. Influence of Drought Stress and Post-Drought Rewatering on Phytoremediation Effect of Arabidopsis thaliana. Bull. Environ. Contam. Toxicol. 2022, 108, 594–599. [Google Scholar]
- Li, J.M.; Pan, T.H.; Wang, H.L.; Du, Q.J.; Chang, Y.B.; Zhang, D.L.; Liu, Y. Effects of water-fertilizer coupling on tomato photosynthesis, yield and water use efficiency. Trans. Chin. Soc. Agric. Eng. 2014, 30, 82–90. [Google Scholar]
- Wu, Y.; Wang, W.; Zhao, Z.; Huang, X.F.; Fan, Y.T.; Su, L.Y.Z. Photosynthesis Rate and Leaf Water Use Efficiency of Korla Fragrant Pear Tree under Regulated Deficit Irrigation. Trans. Chin. Soc. Agric. Mach. 2012, 11, 80–86. [Google Scholar]
- Evans, L.T.; Dunstone, R.L. Some physiological aspects of evolution in wheat. Aust. J. Biol. Sci. 1970, 23, 725–741. [Google Scholar] [CrossRef]
- Meng, Y.H.; Sha, L.W.; Jen, H.W. Rapid Light-Response Curve of Chlorophyll Fluorescence in Terrestrial Plants: Relationship to CO2 Exchange among Five Woody and Four Fern Species Adapted to Different Light and Water Regimes. Plants 2021, 10, 445. [Google Scholar]
- Guarini, J.M.; Moritz, C. Modelling the dynamics of the electron transport rate measured by PAM fluorimetry during Rapid Light Curve experiments. Photosynthetica 2009, 47, 206–214. [Google Scholar] [CrossRef]
- Ashraf, M.; Harris, P. Photosynthesis under Stressful Environments. Photosynthetica 2013, 51, 163–190. [Google Scholar] [CrossRef]
- Lu, C.; Zhang, J. Effects of water stress on photosystem II photochemistry and its thermostability in wheat plants. J. Exp. Bot. 1999, 50, 1199–1206. [Google Scholar] [CrossRef]
- Zhang, Y.Y. Compensatory effects of Rewatering after Droughton Growth and Physiology of Platycladus orientalis. Master’s Thesis, Northwest A & F University, Xianyang, China, 2020. [Google Scholar]
- Xing, J.Y. Effects of Drought Priming and N Application on Physiological Characteristics and Water Use Efficiency of Wheat. Master’s Thesis, Chinese Academy of Agricultural Sciences, Beijing, China, 2021. [Google Scholar]
- Tian, W.Z.; Feng, W.S.; Li, J.H.; Yang, H.Q.; Wen, H.X.; Zhang, S.L.; Duan, G.H. Effects of light drought at different periods on wheat yield traits and flag leaf antioxidant enzyme activity. Jiangsu Agric. Sci. 2021, 49, 99–104. [Google Scholar]
- Gao, Z.; Liang, X.G.; Zhang, L.; Zhao, X.; Du, X.; Cui, Y.H. Effects of irrigating at different growth stages on kernel number of spring maize in the North China Plain. Acta Agron. Sin. 2021, 47, 1324–1331. [Google Scholar]
- Cong, X.; Pang, G.B.; Zhang, L.Z.; Xu, Z.G.; Yang, J.L.; Mo, X.H. Effects of N-reducing and Suitable Water on Photosynthetic Characteristics of Winter Wheat and Distribution of Soil Water and N. Trans. Chin. Soc. Agric. Mach. 2021, 26, 1000–1298. [Google Scholar]
- Zhang, Y.L.; Cao, C.F.; Li, H.W.; Qiao, Y.Q.; Zhao, Z. Effect of N Application on Yield Quality and Fluorescent Characteristic of Late sown Winter Wheat. J. Triticeae Crops 2013, 33, 965–971. [Google Scholar]
- Peter, J.R. Rapid light curves: A powerful tool to assess photosynthetic activity. Aquat. Bot. 2005, 82, 222–237. [Google Scholar]
- Platt, T.; Gallegos, C.L.; Harrison, W.G. Photoinhibition of photosynthesis in natural assemblages of marine phytoplankton. J. Mar. Res. 1980, 38, 341–345. [Google Scholar]
- Hui, W. Effects of Water and N Coupling on Growth, Nutrient Uptake and Water and N Utilization of Quinoa; TaiYuan Shanxi University: Taiyuan, China, 2021. [Google Scholar]
- Cao, X.; Zhong, C.; Sajid, H. Effects of watering regime and N application rate on the photosynthetic parameters, physiological characteristics, and agronomic traits of rice. Acta Physiol. Plant. 2017, 39, 135–147. [Google Scholar] [CrossRef]
- Jin, K.; Wang, D.S.; Cai, D.X.; Zhou, Y.; Guo, S.C.; Huang, F. Response and interaction for water and fertilizer I interaction of N, P and water in the year of different precipations. Plant Nutr. Fertil. Sci. 1999, 5, 1–7. [Google Scholar]
- Zhou, H.M.; Zhang, S.; Du, X.W.; Niu, X.L.; Wang, S.S.; Xie, X.L. Effects of Water and Fertilizer Coupling on Growth and Physiological Characteristics of Young Apple Tree under Drip Irrigation. Trans. Chin. Soc. Agric. Mach. 2021, 10, 1000–1298. [Google Scholar]
- Hao, Z.; Li, H.Y. Post-anthesis alternate wetting and moderate soil drying enhances activities of key enzymes in sucrose-to-starch conversion in inferior spike lets of rice. J. Exp. Bot. 2012, 63, 215–227. [Google Scholar]
- Dong, Z.Q.; Lu, L.H.; Zhang, L.H.; Yao, Y.R.; Zhang, J.T.; Shen, H.P. Yield and Photosynthetic Characteristics of Winter Wheat Released in Different Ages under LongTerm Water-N Interaction. J. Triticeae Crops 2020, 40, 1524–1532. [Google Scholar]
- Zhang, Y.S. Characteristic Analysis of Chlorophyll Content and Chlorophyll Fluorescence Parameters of C3 and C4 Plants in the Desert Steppe of Inner Mongolia; Inner Mongolia Normal University: Hohhot, China, 2016. [Google Scholar]
- Chug, P.; Sharma, P. Effect of Heat Stress on the Relationship between SPAD and Chlorophyll Content in Indian Mustard Genotypes. Curr. J. Appl. Sci. Technol. 2021, 40, 38–47. [Google Scholar] [CrossRef]
- Ai, T.C.; Li Fang, m.; Zhou, Z.A.; Zhang, M.; Wu, H.R. Study on the correlation between chlorophyll content and SPAD value of crop leaves. J. Hubei Agric. Univ. 2000, 20, 6–8. [Google Scholar]
- Shen, Y.Y. SPAD and Photosynthetic Characteristics of Juglans regia L Leaves Under Different Water Stress; Henan Agricultural University: Zhengzhou, China, 2017. [Google Scholar]
- Li, P.; Jia, Y.H.; Zhang, J.S.; Luo, S.W.; Wang, K.; Shi, S.B. Effects of N Topdressing Ratio on Photosynthetic Traits and Yield of Winter Wheat under Uniform Sowing. J. Triticeae Crops 2021, 41, 1015–1022. [Google Scholar]
- Li, Y.B.; Bian, Z.P.; Li, D.X.; Feng, Y. Effects of Drought Rehydration before Anthesis on Photosynthetic Characteristics, Yield and Water Use Efficiency of Winter Wheat. China Rural Water Hydropower 2020, 6, 109–114+138. [Google Scholar]
- Shi, Z.; Gao, S.M.; Li, T.; Li, Y.Z.; Li, H.X. Effect of N Application Rate on Growth Yield and Quality of Wheat with Different Chlorophyll Content. J. Triticeae Crops 2021, 41, 1134–1142. [Google Scholar]
- Li, D.X.; Lou, R.T.; Li, Y.B. Effects of Multi-Stage Continuous Drought on Photosynthetic Characteristics, Yield and Water Use Efficiency of Winter Wheat. Phyton 2020, 89, 691–703. [Google Scholar] [CrossRef]
- Ptushenko, V.V.; Ptushenko, O.S.; Tikhonov, A.N. Chlorophyll fluorescence induction, chlorophyll content, and chromaticity characteristics of leaves as indicators of photosynthetic apparatus senescence in arboreous plants. Biochemistry 2014, 79, 260–272. [Google Scholar] [CrossRef]
- Oksana, S.; Andrey, K.; Ekaterina, G. Analysis of chlorophyll fluorescence parameters as predictors of biomass accumulation and tolerance to heat and drought stress of wheat (Triticum aestivum) plants. Funct. Plant Biol. FPB 2021, 49, 155–169. [Google Scholar]
- Yu, K.S.; Bhandari, S.R.; Jo, J.S. Effect of Drought Stress on Chlorophyll Fluorescence Parameters, Phytochemical Contents, and Antioxidant Activities in Lettuce Seedlings. Horticulturae 2021, 7, 238. [Google Scholar]
- Chen, X.E.; Li, J.H.; Wu, Y.; Li, A.; Wen, B.; Bai, W.F. Effects of soil water stress on chlorophyll fluorescence characteristic of two blueberry varieties. J. Cent. South Univ. For. Technol. 2019, 39, 109–114+138. [Google Scholar]
- Wu, J.Z.; Wang, Z.M.; Li, Y.J.F.; Wei, S.; Tian, W.Z.; Gao, H.T. Flag Leaf Chlorophyll Fluorescence Characteristics and Its Response to Drought Stress in Different Cultivars of Winter Wheat. J. Triticeae Crops 2015, 35, 699–706. [Google Scholar]
- Sao, R.R. Effects of Water and N Coupling on Physiological Characteristics and Yield of Oats; Liaoning University: Shenyang, China, 2020. [Google Scholar]
- Dong, Q.L. Effects of Controlled-Released Blend Bulk Fertilizers and Sowing Date on Photosynthetic Characteristics and N Utilization of Winter Wheat; Shandong Agricultural University: Tai’an, China, 2019. [Google Scholar]
- Zhao, D.H.; Cui, J.S.; Duan, L.L.; Wu, T.; Wang, L.X.; Liu, D.X. Study on Biological Toxicity Response Characteristics of Algae Chlorophyll Fluorescence to Herbicides. Spectrosc. Spectr. Anal. 2018, 38, 2820–2827. [Google Scholar]
- Jin, L.Q.; Che, X.K.; Zhang, Z.S.; Gao, H.Y. The Relationship between the Changes in Wk and Different Damage Degree of PSII Donor Side and Acceptor Side under High Temperature with High Light in Cucumberv. Plant Physiol. J. 2015, 51, 969–976. [Google Scholar]
- Yu, S.E.; Liu, Z.X.; Gao, S.X.; Wang, M.; Ding, J.H. Effects of Waterlogging and Drought Alternative Stress Patterns on Fluorescence Parameters and Photosynthetic Characteristics of Rice. Trans. Chin. Soc. Agric. Mach. 2019, 50, 304–312. [Google Scholar]
- Wu, S.S.; Xu, X.X.; Zhang, X.; Ge, H.M.; Zhang, C.X.; Wang, L.X. Relationship Analysis of Chlorophyll Fluorescence Parameters and Drought Resistance in Different Winter Wheat Varieties at Seedling Stage. Acta Agric. Boreali-Sin. 2020, 35, 90–99. [Google Scholar]
- Shahzad, A.; Yue, X.X.; Xiang, C.M. Improvement in winter wheat productivity through regulating PSII photochemistry, photosynthesis and chlorophyll fluorescence under deficit irrigation conditions. J. Integr. Agric. 2022, 21, 654–665. [Google Scholar]
- Cao, Q.; Guo, M.M.; Yang, Y.S.; Ma, R.Q.; Zhao, K.N.; Zhu, Y.J. Effects of N application and row spacing on net photosynthetic rate and SPAD value of wheat flag leaves. In Proceedings of the 2018 Annual Academic Meeting of Crop Society of China, Xi’an, China, 25 October 2018; p. 59. [Google Scholar]
- Zi, M.Y. Photosynthetic Efficiency of Apple Leaves under Water Storage Pit Irrigation; Taiyuan University of Technology: Taiyuan, China, 2018. [Google Scholar]
- Li, X.; Kang, S.; Zhang, X. Deficit irrigation provokes more pronounced responses of maize photosynthesis and water productivity to elevated CO2. Agric. Water Manag. 2018, 195, 71–83. [Google Scholar] [CrossRef]
- Lou, R.T. Study on The Response of Winter Wheat to Continuous Drought; North China University of Water Resources and Electric Power: Zhengzhou, China, 2021. [Google Scholar]
- Gimenez, C.; Mitchell, V.J.; Lawlor, D.W. Regulation of Photosynthetic Rate of Two Sunflower Hybrids under Water Stress. Plant Physiol. 1992, 98, 516–524. [Google Scholar] [CrossRef] [PubMed]
- Wang, H.B.; Cao, H.M.; Hao, S.X.; Pan, X.Y. Responses of Plant Nutrient and Photosynthesis in Greenhouse Tomato to Water-Fertilizer Coupling and Their Relationship with Yield. Sci. Agric. Sin. 2019, 52, 1761–1771. [Google Scholar]







| Soil Depth (cm) | Field Water Holding Capacity (mass, %) | Bulk Density (g·cm−3) | Mass Fraction of Soil Particle Size (%) | ||
|---|---|---|---|---|---|
| Sand | Silt | Clay Particle | |||
| 0–30 | 30.51 | 1.37 | 28.78 | 38.35 | 32.87 |
| 30–60 | 29.31 | 1.41 | 29.12 | 39.15 | 31.73 |
| 60–100 | 28.09 | 1.46 | 30.17 | 38.21 | 31.62 |
| Experimental Treatment | Nitrogen Application Rate (kg/hm2) | Lower Limit of Irrigation | |||||
|---|---|---|---|---|---|---|---|
| Regreening Stage | Jointing Stage | Heading Stage | Flowering Stage | Maturing Stage | |||
| No nitrogen application | T1 | 0 | 75 | 60 | 75 | 75 | 75 |
| T2 | 75 | 75 | 60 | 75 | 75 | ||
| Low nitrogen | T3 | 125.0 | 75 | 60 | 75 | 75 | 75 |
| T4 | 75 | 75 | 60 | 75 | 75 | ||
| High nitrogen | T5 | 250.0 | 75 | 60 | 75 | 75 | 75 |
| T6 | 75 | 75 | 60 | 75 | 75 | ||
| Test Treatment | rETRm | Initial Slope | Ek | R2 |
|---|---|---|---|---|
| (μmol·m−2·s−1) | Initial Slope Rate (α) | (μmol·m−2·s−1) | ||
| T1 | 69.3 | 0.211 | 328.69 | 0.993 |
| T2 | 87.7 | 0.249 | 348.19 | 0.994 |
| T3 | 77.3 | 0.224 | 345.28 | 0.992 |
| T4 | 95.7 | 0.269 | 355.76 | 0.995 |
| T5 | 83.4 | 0.246 | 338.78 | 0.995 |
| T6 | 104.6 | 0.298 | 358.22 | 0.996 |
| Test Treatment | Tr | Gs | Ci | |||||||
|---|---|---|---|---|---|---|---|---|---|---|
| (mmol·m−2·s−1) | (mmol·m−2·s−1) | (μmol·m−2·s−1) | ||||||||
| Time after Rehydration | ||||||||||
| 2 d | 5 d | 9 d | 2 d | 5 d | 9 d | 2 d | 5 d | 9 d | ||
| Rehydration at the jointing stage | T1 | 2.72 g | 3.84 c | 2.98 f | 0.19 c | 0.25 b | 0.20 c | 185.48 e | 214..49 c | 221.27 bc |
| T3 | 3.31 e | 4.34 b | 3.22 e | 0.24 b | 0.30 a | 0.23 b | 202.84 d | 226.11 b | 216.39 c | |
| T5 | 3.76 c | 4.78 a | 3.54 d | 0.26 b | 0.33 a | 0.25 b | 217.72 c | 248.61 a | 219.87 bc | |
| Rehydration at heading stage | T2 | 3.12 g | 4.04 c | 3.11 g | 0.22 e | 0.28 c | 0.22 e | 221.82 f | 247.69 bc | 239.23 d |
| T4 | 3.62 e | 4.62 b | 3.37 f | 0.25 d | 0.32 b | 0.24 de | 229.53 e | 253.33 b | 228.09 e | |
| T6 | 3.97 cd | 5.27 a | 3.79 de | 0.29 c | 0.36 a | 0.28 c | 232.43 cd | 265.74 a | 238.47 d | |
Disclaimer/Publisher’s Note: The statements, opinions and data contained in all publications are solely those of the individual author(s) and contributor(s) and not of MDPI and/or the editor(s). MDPI and/or the editor(s) disclaim responsibility for any injury to people or property resulting from any ideas, methods, instructions or products referred to in the content. |
© 2023 by the authors. Licensee MDPI, Basel, Switzerland. This article is an open access article distributed under the terms and conditions of the Creative Commons Attribution (CC BY) license (https://creativecommons.org/licenses/by/4.0/).
Share and Cite
Li, D.; Liu, H.; Gao, S.; Leghari, S.J.; Hou, H.; Li, Y. Effect of Post-Drought Rehydration on Winter Wheat Fluorescence and Photosynthetic Indices under Different Levels of Nitrogen Application. Water 2023, 15, 305. https://doi.org/10.3390/w15020305
Li D, Liu H, Gao S, Leghari SJ, Hou H, Li Y. Effect of Post-Drought Rehydration on Winter Wheat Fluorescence and Photosynthetic Indices under Different Levels of Nitrogen Application. Water. 2023; 15(2):305. https://doi.org/10.3390/w15020305
Chicago/Turabian StyleLi, Daoxi, Huan Liu, Shikai Gao, Shah Jahan Leghari, Haosen Hou, and Yanbin Li. 2023. "Effect of Post-Drought Rehydration on Winter Wheat Fluorescence and Photosynthetic Indices under Different Levels of Nitrogen Application" Water 15, no. 2: 305. https://doi.org/10.3390/w15020305
APA StyleLi, D., Liu, H., Gao, S., Leghari, S. J., Hou, H., & Li, Y. (2023). Effect of Post-Drought Rehydration on Winter Wheat Fluorescence and Photosynthetic Indices under Different Levels of Nitrogen Application. Water, 15(2), 305. https://doi.org/10.3390/w15020305
