Changes in Stormwater Quality and Heavy Metals Content along the Rainfall–Runoff Process in an Urban Catchment
Abstract
:1. Introduction
2. Materials and Methods
2.1. Study Area and Sampling Sites Locations
2.2. Sampling and Analytical Procedures
2.3. Meteorological Data Source and Analyses
2.4. Statistical Analysis
3. Results
3.1. Rainwater Characteristics
3.2. Water Quality Parameters during Rainfall–Runoff Process
3.3. The Impact of Antecedent Dry Period on Heavy Metal Concentrations
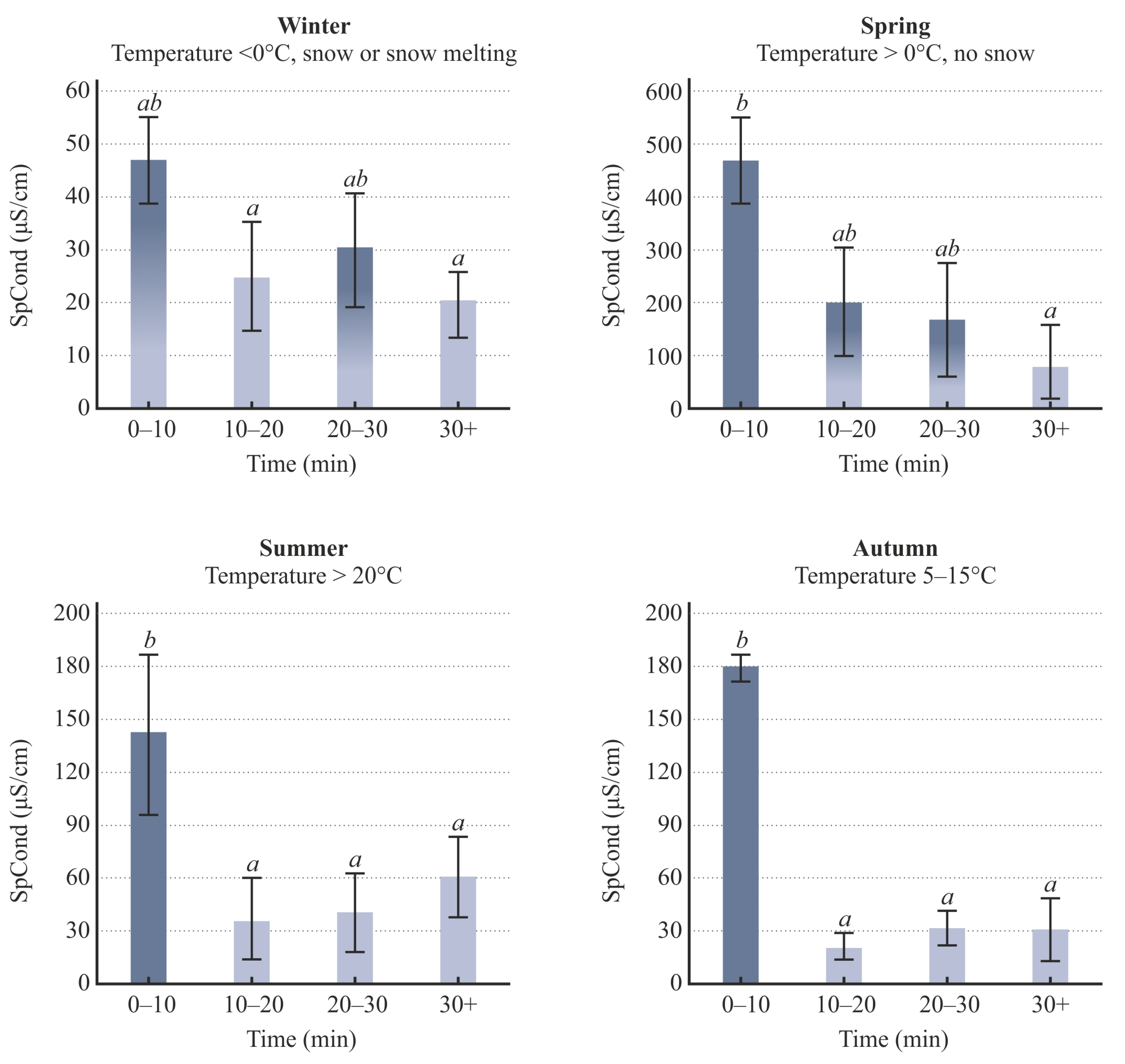
3.4. The Impact of Seasons on Stormwater Quality
4. Discussion
5. Conclusions
Supplementary Materials
Author Contributions
Funding
Data Availability Statement
Conflicts of Interest
References
- Zhou, L.; Shen, G.Q.; Li, C.S.; Chen, T.; Li, S.H.; Brown, R. Impacts of land covers on stormwater runoff and urban development: A land use and parcel based regression approach. Land Use Policy 2021, 103, 105280. [Google Scholar] [CrossRef]
- Lyu, R.F.; Zhang, J.M.; Xu, M.Q.; Li, J.J. Impacts of urbanization on ecosystem services and their temporal relations: A case study in Northern Ningxia, China. Land Use Policy 2018, 77, 163–173. [Google Scholar] [CrossRef]
- Gobel, P.; Dierkes, C.; Coldewey, W.C. Storm water runoff concentration matrix for urban areas. J. Contam. Hydrol. 2007, 91, 26–42. [Google Scholar] [CrossRef]
- McGrane, S.J. Impacts of urbanisation on hydrological and water quality dynamics, and urban water management: A review. Hydrol. Sci. J. 2016, 61, 2295–2311. [Google Scholar] [CrossRef]
- Kim, Y.; Eisenberg, D.A.; Bondank, E.N.; Chester, M.V.; Mascaro, G.; Underwood, B.S. Fail-safe and safe-to-fail adaptation: Decision-making for urban flooding under climate change. Clim. Chang. 2017, 145, 397–412. [Google Scholar] [CrossRef]
- Kondoh, A.; Nishiyama, J. Changes in hydrological cycle due to urbanization in the suburb of Tokyo Metropolitan Area, Japan. Adv. Space Res. 2000, 26, 1173–1176. [Google Scholar] [CrossRef]
- Zeng, C.L.; Lin, B. The crisis in urban water environment and land use. Adv. Mater. Res. 2012, 347–353, 1518–1522. [Google Scholar]
- Paule, M.A.; Memon, S.A.; Lee, B.Y.; Umer, S.R.; Lee, C.H. Stormwater runoff quality in correlation to land use and land cover development in Yongin, South Korea. Water Sci. Technol. 2014, 70, 218–225. [Google Scholar] [CrossRef] [PubMed]
- Murphy, L.U.; Cochrane, T.A.; O’Sullivan, A. Build-up and wash-off dynamics of atmospherically derived Cu, Pb, Zn and TSS in stormwater runoff as a function of meteorological characteristics. Sci. Total Environ. 2015, 508, 206–213. [Google Scholar] [CrossRef] [PubMed]
- Li, H.; Davis, A.P. Water Quality Improvement through Reductions of Pollutant Loads Using Bioretention. J. Environ. Eng. 2009, 135, 567–576. [Google Scholar] [CrossRef]
- Wang, S.M.; He, Q.; Ai, H.N.; Wang, Z.T.; Zhang, Q.Q. Pollutant concentrations and pollution loads in stormwater runoff from different land uses in Chongqing. J. Environ. Sci. 2013, 25, 502–510. [Google Scholar] [CrossRef]
- Liu, A.; Egodawatta, P.; Guan, Y.T.; Goonetilleke, A. Influence of rainfall and catchment characteristics on urban stormwater quality. Sci. Total Environ. 2013, 444, 255–262. [Google Scholar] [CrossRef] [PubMed]
- Tomaszewska, B.; Olszowski, T. Quantitative and qualitative assessment of the dust deposition on the rural area. Proc. ECOpole 2012, 6, 609–616. [Google Scholar] [CrossRef]
- Saraswat, C.; Kumar, P.; Mishra, B.K. Assessment of stormwater runoff management practices and governance under climate change and urbanization: An analysis of Bangkok, Hanoi and Tokyo. Environ. Sci. Policy 2016, 64, 101–117. [Google Scholar] [CrossRef]
- Zhao, H.T.; Yin, C.Q.; Chen, M.X.; Wang, W.D. Risk Assessment of Heavy Metals in Street Dust Particles to a Stream Network. Soil Sediment Contam. 2009, 18, 173–183. [Google Scholar] [CrossRef]
- Wang, Q.; Zhang, Q.H.; Wu, Y.; Wang, X.C.C. Physicochemical conditions and properties of particles in urban runoff and rivers: Implications for runoff pollution. Chemosphere 2017, 173, 318–325. [Google Scholar] [CrossRef]
- Rajeshkumar, S.; Liu, Y.; Zhang, X.Y.; Ravikumar, B.; Bai, G.; Li, X.Y. Studies on seasonal pollution of heavy metals in water, sediment, fish and oyster from the Meiliang Bay of Taihu Lake in China. Chemosphere 2018, 191, 626–638. [Google Scholar] [CrossRef]
- Froger, C.; Quantin, C.; Gasperi, J.; Caupos, E.; Monvoisin, G.; Evrard, O.; Ayrault, S. Impact of urban pressure on the spatial and temporal dynamics of PAH fluxes in an urban tributary of the Seine River (France). Chemosphere 2019, 219, 1002–1013. [Google Scholar] [CrossRef]
- Pinon-Colin, T.D.; Rodriguez-Jimenez, R.; Rogel-Hernandez, E.; Alvarez-Andrade, A.; Wakida, F.T. Microplastics in stormwater runoff in a semiarid region, Tijuana, Mexico. Sci. Total Environ. 2020, 704, 135411. [Google Scholar] [CrossRef]
- Eppehimer, D.E.; Hamdhani, H.; Hollien, K.D.; Nemec, Z.C.; Lee, L.N.; Quanrud, D.M.; Bogan, M.T. Impacts of baseflow and flooding on microplastic pollution in an effluent-dependent arid land river in the USA. Environ. Sci. Pollut. Res. 2021, 28, 45375–45389. [Google Scholar] [CrossRef]
- Siddiqui, E.; Pandey, J. Atmospheric Deposition: An Important Determinant of Nutrients and Heavy Metal Levels in Urban Surface Runoff Reaching to the Ganga River. Arch. Environ. Contam. Toxicol. 2022, 82, 191–205. [Google Scholar] [CrossRef] [PubMed]
- Bartnik, W.; Bonenberg, J.; Florek, J. The influence of the loos of natural water storage capacity of a river basin on the morphological characteristic of the river and its basin. Infrastrukt. I Ekol. Teren. Wiej. 2009, 2, 1–69. [Google Scholar]
- Peel, M.C.; Finlayson, B.L.; McMahon, T.A. Updated world map of the Koppen-Geiger climate classification. Hydrol. Earth Syst. Sci. 2007, 11, 1633–1644. [Google Scholar] [CrossRef]
- European Environment Agency. Green Infrastructure and Territorial Cohesion. The Concept of Green Infrastructure and its Integrationinto Policies Using Monitoring Systems; Publication Office of the European Union: Luxembourg, 2011. Available online: https://www.eea.europa.eu/themes/publications/green-infrastructure-and-territorial-cohesion (accessed on 18 March 2023).
- European Commission. Building a Green Infrastructure for Europe; Publication Office of the European Union: Brussels, Belgium, 2013; Available online: https://op.europa.eu/en/publication-detail/-/publication/738d80bb-7d10-47bc-b131-ba8110e7c2d6 (accessed on 18 March 2023).
- European Commission. Towards an EU Research and Innovation Policy Agenda for Nature-Based Solutions & Re-Naturing Cities: Final Report of the Horizon 2020 Expert Group on ‘Nature-Based Solutions and Re-Naturing Cities’: (Full Version); Publications Office of the European Union: Luxembourg, 2015; Available online: https://op.europa.eu/en/publication-detail/-/publication/fb117980-d5aa-46df-8edc-af367cddc202 (accessed on 18 March 2023).
- European Environment Agency. Green Infrastructure and Flood Management. Promoting Cost-Efficient Flood Risk Reduction via Green Infrastructure Solutions; Publications Office of the European Union: Luxembourg, 2017. Available online: https://www.eea.europa.eu/publications/green-infrastructure-and-flood-management (accessed on 18 March 2023).
- Liao, K.H.; Deng, S.N.; Tan, P.Y. Blue-Green Infrastructure: New Frontier for Sustainable Urban Stormwater Management. In Greening Cities: Forms and Functions; Springer: Singapore, 2017; pp. 203–226. [Google Scholar] [CrossRef]
- Pochodyła, E.; Glińska-Lewczuk, K.; Jaszczak, A. Blue-green infrastructure as a new trend and an effective tool for water management in urban areas. Landsc. Online 2021, 92, 1–20. [Google Scholar] [CrossRef]
- Siehr, S.A.; Sun, M.M.; Nucamendi, J.L.A. Blue-green infrastructure for climate resilience and urban multifunctionality in Chinese cities. Wiley Interdiscip. Rev.-Energy Environ. 2022, 11, e447. [Google Scholar] [CrossRef]
- Sowinska-Swierkosz, B.; Michalik-Sniezek, M.; Bieske-Matejak, A. Can Allotment Gardens (AGs) Be Considered an Example of Nature-Based Solutions (NBS) Based on the Use of Historical Green Infrastructure? Sustainability 2021, 13, 835. [Google Scholar] [CrossRef]
- Atenas. Available online: https://atenasjpi.eu/ (accessed on 21 March 2023).
- Reachout. Available online: https://reachout-cities.eu/ (accessed on 21 March 2023).
- Clearing House. Available online: https://clearinghouseproject.eu/ (accessed on 21 March 2023).
- Copernicus. Corine Land Cover (CLC). Available online: https://land.copernicus.eu/pan-european/corine-land-cover/clc2018 (accessed on 10 March 2023).
- Glinska-Lewczuk, K.; Golas, I.; Koc, J.; Gotkowska-Plachta, A.; Harnisz, M.; Rochwerger, A. The impact of urban areas on the water quality gradient along a lowland river. Environ. Monit. Assess. 2016, 188, 624. [Google Scholar] [CrossRef]
- Sanicola, O.; Lucke, T.; Devine, J. Using Permeable Pavements to Reduce the Environmental Impacts Of Urbanisation. Int. J. Geomate 2018, 14, 159–166. [Google Scholar] [CrossRef]
- Sun, W.J.; Lu, G.Y.; Ye, C.; Chen, S.W.; Hou, Y.; Wang, D.W.; Wang, L.B.; Oeser, M. The State of the Art: Application of Green Technology in Sustainable Pavement. Adv. Mater. Sci. Eng. 2018, 2018, 19. [Google Scholar] [CrossRef]
- Zhang, J.S.; Zhou, Z.F.; Huang, D.H. Extraction of Impermeable Surfaces Based on Multi-Source Nighttime Light Images of Different Geomorphological Partitions. Appl. Sci. 2023, 13, 3006. [Google Scholar] [CrossRef]
- Sengupta, S.; Gebhardt, S.; Cojocariu, C. Fast and Robust Assessment of Water Quality Using ICP-OES Multielement Analysis According to the DIN EN ISO 11885:2009 Method Requirements. Available online: https://files.mtstatic.com/site_13984/draft_36611/0?Expires=1693678172&Signature=RwZxJC5vXDku~Vnc8SHkbJmFoCmo9gh0Mgspdiah5ZQZ0bYNzFbAfGD6aVqTVMovaK6tRPAScXUhzU9x~WFZjfOZX5-vH11peZyeD-WseP4qYT4Vj6gN8pODr~KvaSAjVm94Ud7vmNPvaiWThwjRrMYdqho56p~V~lcE4m3gIfc_&Key-Pair-Id=APKAJ5Y6AV4GI7A555NA (accessed on 14 June 2023).
- Szpakowski, W.; Szydlowski, M. Evaluating the Catastrophic Rainfall of 14 July 2016 in the Catchment Basin of the Urbanized Strzyza Stream in Gdansk, Poland. Pol. J. Environ. Stud. 2018, 27, 861–869. [Google Scholar] [CrossRef] [PubMed]
- Chen, X.; Xia, X.H.; Zhao, Y.; Zhang, P. Heavy metal concentrations in roadside soils and correlation with urban traffic in Beijing, China. J. Hazard. Mater. 2010, 181, 640–646. [Google Scholar] [CrossRef] [PubMed]
- Adachi, K.; Tainosho, Y. Characterization of heavy metal particles embedded in tire dust. Environ. Int. 2004, 30, 1009–1017. [Google Scholar] [CrossRef] [PubMed]
- Soltaninia, S.; Taghavi, L.; Hosseini, S.A.; Motamedvaziri, B.; Eslamian, S. The effect of land-use type and climatic conditions on heavy metal pollutants in urban runoff in a semi-arid region. Water Reuse 2022, 12, 384–402. [Google Scholar] [CrossRef]
- Zhang, J.; Hua, P.; Krebs, P. Influences of land use and antecedent dry-weather period on pollution level and ecological risk of heavy metals in road-deposited sediment. Environ. Pollut. 2017, 228, 158–168. [Google Scholar] [CrossRef]
- Ladislas, S.; El-Mufleh, A.; Gerente, C.; Chazarenc, F.; Andres, Y.; Bechet, B. Potential of Aquatic Macrophytes as Bioindicators of Heavy Metal Pollution in Urban Stormwater Runoff. Water Air Soil Pollut. 2012, 223, 877–888. [Google Scholar] [CrossRef]
- Gromaire-Mertz, M.C.; Garnaud, S.; Gonzalez, A.; Chebbo, G. Characterisation of urban runoff pollution in Paris. Water Sci. Technol. 1999, 39, 1–8. [Google Scholar] [CrossRef]
- Gnecco, I.; Berretta, C.; Lanza, L.G.; La Barbera, P. Storm water pollution in the urban environment of Genoa, Italy. Atmos. Res. 2005, 77, 60–73. [Google Scholar] [CrossRef]
- Salvia-Castellvi, M.; Iffly, J.F.; Borght, P.V.; Hoffmann, L. Dissolved and particulate nutrient export from rural catchments: A case study from Luxembourg. Sci. Total Environ. 2005, 344, 51–65. [Google Scholar] [CrossRef]
- Ociepa, E. Evaluation of contamination of precipitation water flowing into draining systems. Inżynieria Ochr. Sr. 2011, 357–364. [Google Scholar]
- Sakson, G.; Zawilski, M.; Badowska, E.; Brzezińska, A. Stormwater pollution as the basis of choice the method of their management. J. Civ. Eng. Environ. Archit. 2014, 61, 253–264. [Google Scholar] [CrossRef]
- Zgheib, S.; Moilleron, R.; Chebbo, G. Priority pollutants in urban stormwater: Part 1-Case of separate storm sewers. Water Res. 2012, 46, 6683–6692. [Google Scholar] [CrossRef] [PubMed]
- Bąk, J.; Królikowska, J. Ecological management of rainwater. In Water Supply and Water Quality; Dymaczewski, Z., Jeż-Walkowiak, J., Urbaniak, A., Eds.; PZITS: Poznań, Kudowa Zdrój, Poland, 2016; pp. 247–258. [Google Scholar]
- European Parliament. Directive 2008/105/EC of the European Parliament and of the Council of 16 December 2008 on Environmental Quality Standards in the Field of Water Policy, Amending and Subsequently Repealing Council Directives 82/176/EEC, 83/513/EEC, 84/156/EEC, 84/491/EEC, 86/280/EEC and Amending Directive 2000/60/EC of the European Parliament and of the Council. Available online: https://eur-lex.europa.eu/eli/dir/2008/105/oj (accessed on 4 August 2023).
- Fipps, G. Irrigation Water Quality Standards and Salinity Management. Available online: https://twon.tamu.edu/wp-content/uploads/sites/3/2021/06/irrigation-water-quality-standards-and-salinity-management-strategies-1.pdf (accessed on 4 August 2023).
- Ali, H.; Khan, E.; Ilahi, I. Environmental Chemistry and Ecotoxicology of Hazardous Heavy Metals: Environmental Persistence, Toxicity, and Bioaccumulation. J. Chem. 2019, 2019, 6730305. [Google Scholar] [CrossRef]
- Shajib, M.T.I.; Hansen, H.C.B.; Liang, T.; Holm, P.E. Metals in surface specific urban runoff in Beijing. Environ. Pollut. 2019, 248, 584–598. [Google Scholar] [CrossRef]
- Ballo, S.; Liu, M.; Hou, L.J.; Chang, J. Pollutants in stormwater runoff in Shanghai (China): Implications for management of urban runoff pollution. Prog. Nat. Sci.-Mater. Int. 2009, 19, 873–880. [Google Scholar] [CrossRef]
- Di Leonardo, R.; Vizzini, S.; Bellanca, A.; Mazzola, A. Sedimentary record of anthropogenic contaminants (trace metals and PAHs) and organic matter in a Mediterranean coastal area (Gulf of Palermo, Italy). J. Mar. Syst. 2009, 78, 136–145. [Google Scholar] [CrossRef]
- Halecki, W.; Stachura, T.; Fudala, W. Capacity of River Valleys to Retain Nutrients from Surface Runoff in Urban and Rural Areas (Southern Poland). Water 2022, 14, 3259. [Google Scholar] [CrossRef]
- Legret, M.; Colandini, V. Effects of a porous pavement with reservoir structure on runoff water: Water quality and fate of heavy metals. Water Sci. Technol. 1999, 39, 111–117. [Google Scholar] [CrossRef]
- Dietz, M.E.; Clausen, J.C. A field evaluation of rain garden flow and pollutant treatment. Water Air Soil Pollut. 2005, 167, 123–138. [Google Scholar] [CrossRef]
- Berndtsson, J.C. Green roof performance towards management of runoff water quantity and quality: A review. Ecol. Eng. 2010, 36, 351–360. [Google Scholar] [CrossRef]
- Niu, Z.G.; Lv, Z.W.; Zhang, Y.; Cui, Z.Z. Stormwater infiltration and surface runoff pollution reduction performance of permeable pavement layers. Environ. Sci. Pollut. Res. 2016, 23, 2576–2587. [Google Scholar] [CrossRef] [PubMed]
- Yang, H.; Florence, D.C.; McCoy, E.L.; Dick, W.A.; Grewal, P.S. Design and hydraulic characteristics of a field-scale bi-phasic bioretention rain garden system for storm water management. Water Sci. Technol. 2009, 59, 1863–1872. [Google Scholar] [CrossRef] [PubMed]
- Li, J.K.; Zhang, B.; Li, Y.J.; Li, H.E. Simulation of Rain Garden Effects in Urbanized Area Based on Mike Flood. Water 2018, 10, 860. [Google Scholar] [CrossRef]
- Hu, M.C.; Zhang, X.Q.; Siu, Y.L.; Li, Y.; Tanaka, K.; Yang, H.; Xu, Y.P. Flood Mitigation by Permeable Pavements in Chinese Sponge City Construction. Water 2018, 10, 172. [Google Scholar] [CrossRef]




| Sampling Site | Area of Urban Sub-Catchment (ha) | Materials/Land Use | Runoff Coefficient, C | Details |
|---|---|---|---|---|
| RR | 0.012 | Ceramic tile | 0.90 | Three gutters drain the roof area |
| SR | 0.279 | Asphalt and cobblestones | 0.80–0.90 | Includes internal roads within the campus area |
| SC | 30.000 | Diversified land use: | Storm collector outlet: Ф630 mm | |
| Asphalt and cobblestones (47%) | 0.80–0.90 | Flat residential, with ca. 60% of impervious area | ||
| Grass (20%) | 0.30 | Roadside green belts, lawns | ||
| Roofs (16%) | 0.75–0.95 | Residential and service buildings | ||
| Asphalt (13%), i.e., traffic areas | 0.70–0.85 | The main street (Tuwima, Warszawska) and side roads | ||
| Parks and woodlands (4%) | 0.10–0.30 | Group of trees |
| Event No. | Date | Rainfall Amount (mm) | Average Rainfall Intensity (mm/h) | ADP (d) |
|---|---|---|---|---|
| 1 | 12 March 2021 | 0.9 | 0.31 | 0.75 |
| 2 | 16 May 2021 | 2.5 | 2.58 | 5.50 |
| 3 | 22 June 2021 | 21.7 | 19.73 | 9.63 |
| 4 | 24 June 2021 | 3.8 | 3.80 | 1.50 |
| 5 | 2 July 2021 | 32.6 | 2.45 | 7.50 |
| 6 | 6 August 2021 | 54.9 | 2.44 | 1.54 |
| 7 | 30 September 2021 | 1.2 | 1.00 | 5.00 |
| 8 | 31 December 2021 | 5.5 | 0.54 | 6.25 |
| 9 | 9 February 2022 | 3.4 | 0.32 | 0.50 |
| 10 | 4 April 2022 | 1.1 | 0.97 | 40.25 |
| 11 | 9 June 2022 | 7.2 | 1.20 | 7.75 |
| 12 | 9 September 2022 | 8.5 | 2.36 | 10.70 |
| DR (n = 12) | RR (n = 48) | SR (n = 12) | SC (n = 12) | RU (n = 12) | RD (n = 12) | ||
|---|---|---|---|---|---|---|---|
| pH | Median | 5.72 a | 6.22 ab | 6.83 b | 7.79 b | 7.46 b | 7.32 b |
| ±SD | 0.72 | 0.58 | 0.44 | 0.44 | 0.39 | 0.38 | |
| SpCond | 28.0 ab | 73.0 b | 244.3 cd | 1439.5 d | 342.1 cd | 368.2 cd | |
| ±SD | 15.6 | 113.0 | 324.5 | 1604.3 | 27.1 | 76.6 | |
| TDS | (mg/L) | 20.5 a | 48.9 a | 197.3 ab | 935.7 c | 236.2 b | 247.5 b |
| ±SD | 9.8 | 72.9 | 297.9 | 1084.5 | 23.0 | 46.5 | |
| Turbidity | (NTU) | 6.8 | 13.3 | 83.4 | 76.7 | 6.0 | 9.2 |
| ±SD | 8.3 | 34.7 | 97.2 | 57.7 | 5.0 | 5.4 | |
| fDOM | (QSU) | 14.0 | 68.8 | 126.8 | 70.6 | 46.9 | 49.3 |
| ±SD | 19.1 | 103.0 | 81.5 | 52.9 | 16.2 | 22.3 | |
| Cu | 5.0 | 27.2 | 37.1 | 92.2 | 3.7 | 6.9 | |
| ±SD | 5.6 | 41.7 | 45.2 | 85.9 | 2.6 | 4.3 | |
| Cr | 5.1 | 4.8 | 19.4 | 63.9 | 4.9 | 6.4 | |
| ±SD | 3.6 | 3.8 | 30.9 | 62.8 | 3.8 | 3.6 | |
| Fe | 144.4 a | 221.1 abc | 5668 cd | 11,835 d | 665.2 cd | 945.6 cd | |
| ±SD | 126.8 | 250.8 | 14,450 | 19,941 | 294.3 | 386.7 | |
| Ni | 4.7 a | 4.9 a | 12.3 b | 36.7 c | 2.4 a | 4.4 a | |
| ±SD | 3.3 | 4.8 | 13.4 | 30.4 | 1.4 | 2.6 | |
| Zn | 108.8 ab | 2330 c | 231.4 ab | 856.8 abc | 7.3 a | 11.7 a | |
| ±SD | 51.1 | 2992 | 484.4 | 1217 | 7.4 | 7.0 | |
| Pb | 7.4 a | 8.3 ab | 25.0 cd | 35.4 d | 5.6 ab | 5.5 ab | |
| ±SD | 4.2 | 8.1 | 34.3 | 40.0 | 4.9 | 4.9 |
| Cu | Cr | Fe | Ni | Zn | Pb | ADP | ||
|---|---|---|---|---|---|---|---|---|
| Winter half-year | ADP | 0.02 | 0.73 ** | 0.68 ** | 0.89 ** | 0.88 ** | 0.51 * | 1.0 |
| Summer half-year | ADP | 0.24 | 0.23 | −0.38 | 0.44 * | 0.29 | 0.48 * | 1.0 |
Disclaimer/Publisher’s Note: The statements, opinions and data contained in all publications are solely those of the individual author(s) and contributor(s) and not of MDPI and/or the editor(s). MDPI and/or the editor(s) disclaim responsibility for any injury to people or property resulting from any ideas, methods, instructions or products referred to in the content. |
© 2023 by the authors. Licensee MDPI, Basel, Switzerland. This article is an open access article distributed under the terms and conditions of the Creative Commons Attribution (CC BY) license (https://creativecommons.org/licenses/by/4.0/).
Share and Cite
Pochodyła-Ducka, E.; Glińska-Lewczuk, K.; Jaszczak, A. Changes in Stormwater Quality and Heavy Metals Content along the Rainfall–Runoff Process in an Urban Catchment. Water 2023, 15, 3505. https://doi.org/10.3390/w15193505
Pochodyła-Ducka E, Glińska-Lewczuk K, Jaszczak A. Changes in Stormwater Quality and Heavy Metals Content along the Rainfall–Runoff Process in an Urban Catchment. Water. 2023; 15(19):3505. https://doi.org/10.3390/w15193505
Chicago/Turabian StylePochodyła-Ducka, Ewelina, Katarzyna Glińska-Lewczuk, and Agnieszka Jaszczak. 2023. "Changes in Stormwater Quality and Heavy Metals Content along the Rainfall–Runoff Process in an Urban Catchment" Water 15, no. 19: 3505. https://doi.org/10.3390/w15193505
APA StylePochodyła-Ducka, E., Glińska-Lewczuk, K., & Jaszczak, A. (2023). Changes in Stormwater Quality and Heavy Metals Content along the Rainfall–Runoff Process in an Urban Catchment. Water, 15(19), 3505. https://doi.org/10.3390/w15193505

