Abstract
The deficit irrigation strategy is a well-known approach to optimize crop water use through the estimation of crop water use efficiency (CWUE). However, studies that comprehensively reported the prediction of crop evapotranspiration (ETc) and CWUE under deficit irrigation for improved water resources planning are scarce. The objective of the study is to predict seasonal ETc and CWUE of maize using multiple linear regression (MLR) and artificial neural network (ANN) models under two scenarios, i.e., (1) when only climatic parameters are considered and (2) when combining crop parameter(s) with climatic data in amended soil. Three consecutive field experimentations were carried out with biochar applied at rates of 0, 3, 6, 10 and 20 t/ha, while inorganic fertilizer was applied at rates of 0 and 300 Kg/ha, under three water regimes: 100% Full Irrigation Treatment (FIT), 80% and 60% FIT. Seasonal ETc was determined using the soil water balance method, while growth data were monitored weekly. The CWUE under each treatment was also estimated and modelled. The MLR and ANN models were developed, and their evaluations showed that the ANN model was satisfactory for the predictions of both ETc and CWUE under all soil water conditions and scenarios. However, the MLR model without crop data was poor in predicting CWUE under extreme soil water conditions (60% FIT). The coefficient of determination (R2) increased from 0.03 to 0.67, while root mean-square error (RMSE) decreased from 4.07 to 1.98 mm after the inclusion of crop data. The model evaluation suggests that using a simple model such as MLR, crop water productivity could be accurately predicted under different soil and water management conditions.
1. Introduction
The increasing global population, estimated to be 9.5 billion in 2050, requires commensurate agricultural productivity (about 70%) to avoid hunger. An increase in agricultural productivity can be achieved by improved crop yield through improved farm management practices, particularly proper soil and water management. This is because crop growth, development and yield tremendously depend on adequate water supply, thus making the agricultural sector world’s largest consumer of water. In Nigeria and many other sub-Saharan African countries, agricultural production is mainly rainfed, and subject to unpredictable factors such as seasonal variations in climate. These seasonal variations in available water could negatively affect the growth and yield of crops, thus making the conservation and effective use of water a priority [1], hence the need to adopt an irrigation strategy.
Effective water use for agricultural crop production, especially during the off/dry season, may entail adopting an appropriate irrigation strategy such as deficit irrigation. Adopting a deficit irrigation strategy requires the proper understanding of how crops respond to a limited amount of water supplied with the purpose of optimizing water use by crop and increasing crop water use efficiency. Crop water use efficiency is the ratio of crop yield to the water used by the crop from planting to the time of harvest. This is dependent on several factors, including water management [2,3,4], soil amendment with organic/inorganic fertilizer [5,6,7] and the type of irrigation system [8,9,10]. Amongst many irrigation system options, the drip system has been credited with higher application efficiency, thus saving water [11]. Therefore, aligning with the objective of irrigation systems and soil amendment application to soils, which is aimed at improving crop water use and water use efficiency, there is a need to add biochar to soils, which has been proven to be a sustainable solution [11].
Biochar, a soil conditioner that is produced from the pyrolysis of crop residue and biomass, has been widely reported to improve soil hydro-physical and chemical properties such as soil water holding capacity and hydraulic conductivity [12,13,14,15]. It also improves the retention of soil nutrients [16]. Several researchers reported that biochar is more effective in improving crop yield when combined with a mineral fertilizer than when applied to soil alone [17,18,19]. The positive effects of biochar on crop growth and yield, including maize crop, are attributed to its positive effects in soils highlighted above.
Maize is a widely cultivated and consumed staple in several sub-Saharan African countries. Therefore, accurate prediction of the expected water use by a vital crop such as maize in areas with sufficient and limited water supply is essential. This will help improve the water budget in agricultural production in such regions. Moreover, this is imperative since maize has been noted to be a water-demanding crop [20,21]. Recently, [22] showed that maize, even when planted on biochar-amended soil, is responsive to water stress, suggesting the need to accurately predict crop evapotranspiration and crop water use efficiency of maize under both full (standard soil water conditions where irrigation demand is met) and limited water supply (deficit irrigation) for proper planning of water resources.
Crop evapotranspiration (ETc) can be computed using direct methods, such as lysimetric soil water budget methods, or with indirect methods, including remote sensing techniques [19,23]. Although the direct method is very reliable, it is usually laborious and energy-tasking. Therefore, alternative methods such as multiple linear regression and artificial intelligence technique modelling methods have often been successfully employed to estimate crop evapotranspiration under standard conditions of water supply using only meteorological data as inputs [24,25,26]. In addition, recently, [23] integrated crop-specific characteristics like leaf area index (LAI) with climatic data and obtained improved prediction of crop evapotranspiration using both linear and artificial intelligence modelling approaches under standard water management conditions. However, to date, studies that investigated the prediction of crop evapotranspiration and water use efficiency of maize under both full and stress irrigation conditions are scarce. Moreover, it is unknown if the prediction of crop evapotranspiration and water use efficiency of maize could be improved with the inclusion of crop data in the inputs into linear and artificial intelligence (artificial neural network–ANN) models.
In previous studies, some researchers successfully used ANN to predict ETc for different crops such as barley, garlic, maize, potato and wheat. For example, [27] used adaptive neuro-fuzzy inference system (ANFIS) and artificial neural network (ANN) models to predict the ETc of garlic and compared the result with lysimetric ETc data and reported that both models were suitable for estimating ETc. Similarly, [28] evaluated the performance of the ANN model and FAO-PM equation for the estimation of barley ETc and found that the ANN model performs better than the FAO-PM equation. In addition, several other artificial intelligence models, such as fuzzy-genetic (FG) and regularization random forest (RRF) methods, have been used to predict the ETc of maize and wheat accurately [29]. Nevertheless, the studies mentioned above only focused on crop evapotranspiration without considering crop water use efficiency prediction, which is vital for policy decision-making. Studies that comprehensively investigate the prediction of both crop evapotranspiration and CWUE under different soil and water conditions are scarce, particularly when crop data are included in the prediction.
Therefore, this study seeks to evaluate the performance of two models: an artificial neural network and a multiple linear regression model (MLR) for predicting ETc and CWUE for maize under different soil and water management conditions. The objectives of the study are to (i) evaluate and compare the performance of multiple linear regression and ANN in predicting ETc and CWUE of maize crop under different soil and water management conditions; and (ii) evaluate and compare crop evapotranspiration and water use efficiency of maize prediction when only climatic parameters are considered and when integrated with crop parameters (LAI and plant height), particularly under water stress conditions.
2. Materials and Methods
2.1. Experimental Site Description and Biochar Characterization
Field experiments were conducted during three consecutive dry seasons of 2016 (January–April), 2017 (February–May) and 2017/2018 (November–February) at the Teaching and Research Farm of the Department of Agricultural and Environmental Engineering, Federal University of Technology, Akure. The site is located at latitude of 7°16′ N and longitude 5°13′ N. A map describing the experimental site location is shown in Figure 1.
Figure 1.
Map describing the location of the experiment.
Daily climatic data were collected from a meteorological station near the experimental site during the growing seasons. This set of climatic data was further processed into monthly data. The average monthly maximum air temperature ranged from 26.31 °C to 30.85 °C, while the minimum air temperature ranged from 20.98 °C to 23.27 °C (Table 1). The average monthly relative humidity ranged from 58 to 87.05%, while the sum of the rainfall total was 118.43, 304.3 and 3.13 mm for the 2016, 2017 and 2018 growing seasons, respectively (Table 1). Initial soil samples were collected randomly from different points in the site at the soil depth of 0–20 cm up to a depth of 60 cm. The soil texture of the 0–60 cm depth at the experimental site is classified as sandy clay loam [30]. The field capacities were 0.17, 0.17 and 0.18 g/g at soil depths of 0–20, 20−40 and 40–60 cm, respectively. The field capacity was determined using tensiometer readings at 10 kPa, as reported by [11]. Biomass procurement, biochar production and characterization are reported in our previously published papers [11,15,19]. After the pyrolysis process, the biochar was crushed and sieved through a mesh so that it would have the same particle size as the soil texture in the experimental site. The properties of the biochar used for this study are shown in Table 2. The biochar properties were determined using the International Biochar Initiative (IBI) approach.
Table 1.
Climatic data of the study area during the growing seasons.
Table 2.
Initial soil at soil depth 0–20 cm and maize cob-residue biochar properties used for the 3-year experiment.
2.2. Field Experimentation
Three consecutive dry seasons of field research were conducted. Before each experiment began, the fields were conventionally tilled (plowed and harrowed). Seedbeds were formed, the Suwan-Sr variety of maize was planted and irrigation water was applied. A detailed description of irrigation scheduling and agronomic practices are reported by [11,19]. During the three-year growing seasons, biochar was mixed with the soil at four rates, 0, 3, 6, 10 and 20 t/ha, while an inorganic fertilizer (NPK) was applied at the rates of 0 and 300 kg/ha (15:15:15). In the first season (2016 growing season), these factors (biochar and inorganic fertilizer) were factorially combined, resulting in seven fertilized treatments and a non-fertilized plot (unamended—F0B0): (1) F0B0, (2) F0B3, (3) F0B6, (4) F0B10, (5) F300B0, (6) F300B3, (7) F300B6 and (8) F300B10 (Table 3).
Table 3.
Experimental treatments for 2016, 2017 and 2018 growing seasons.
In the 2017 and 2018 growing seasons, biochar application was increased to 20 t/ha. This increase was to sustain maize growth under deficit irrigation. The growth parameters have been reported elsewhere [11,19]. Biochar (0 and 20 t/ha) and fertilizer (0 and 300 kg/ha) at two rates were combined to form three fertilized treatments and a non-fertilized plot (unamended). These treatments include F0B0 (unamended), F300B20, F0B20 and F300B20. Each of these treatments was replicated thrice to form 12 experimental plots under three water regimes (100%, 80% and 60% FIT) (Table 3) to make a total of 36 plots. The 100%, 80% and 60% FITs represent irrigation regimes where 100%, 80% and 60% of the soil water needed to bring soil to field capacity were applied, respectively. The experimental design for the 2016, 2017 and 2018 growing seasons was a full factorial design. The biochar application rate was increased in the 2017 and 2018 growing seasons to 20 t/ha to sustain the crop more under deficit irrigation. Irrigation was applied when about 50% of field capacity (FC) had been depleted in the root zone.
During the growing season, soil moisture content was determined using the gravimetric method with collected field soil samples subjected to drying at 105 °C for 24 h. Soil crop water use was determined for each treatment using the soil water balance method, as given in Equation (1)
where ETc is crop evapotranspiration in mm; I is the irrigation water applied measured in mm; p is precipitation in mm, measured with rain gauges installed at the experimental site; C is capillary rise, which is assumed to be zero since the water table level is deep below the soil surface for the experimental site; D is deep percolation and assumed to be zero, since the amount of water applied was strictly controlled; while ∆S is the change in soil water storage in mm. The soil water content measured in g/g was converted to a volumetric basis by multiplying by the soil bulk density and further converting to mm by multiplying by the soil depth.
Details of the crop evapotranspiration estimation are presented in [11,22], while the crop water use efficiency (CWUE) was determined as the ratio of crop yield to water use (crop evapotranspiration). In addition, measurement of the leaf area index and plant height was carried out manually as the ratio of total leaf area to total land area (details are reported in [11]), while the plant height was measured using a meter rule.
2.3. Artificial Intelligence Methods of Estimating Crop Evapotranspiration and Water Use Efficiency of Maize
Several methods of applying artificial intelligence to estimate crop evapotranspiration have been used. Among these methods is the artificial neural network (ANN) method, which has been reported to be effective in predicting the evapotranspiration of some crops [27,31]. Nevertheless, these artificial intelligence approaches have been scarcely tested under different soil and water management conditions: in soils individually or co-applied with biochar and inorganic fertilizer under full and deficit irrigation, and for the determination of ETc and CWUE. In this study, the ANN modelling technique was used to determine the seasonal crop evapotranspiration of maize and CWUE, and the result was compared with a well-known multiple linear regression method (MLR). The MLR method is one of the widely adopted approaches for predicting crop evapotranspiration due to its simplicity, in which its prediction could be improved by integrating both crop and climatic variables. Although using climatic variables has been the common practice, the inclusion of LAI, with or without plant height, has not been well tested under water stress conditions for both ETc and CWUE estimation. LAI was selected based on its good relationship with crop evapotranspiration [20]. Similarly, plant height was used due to its incorporation into crop coefficient estimation by [20], resulting in better crop evapotranspiration estimation.
Partitioning of Observed Data Procedure
Evapotranspiration data used for this study were observations from three field experiments during the dry seasons of 2016, 2017 and 2018, respectively, while crop water use efficiency data were from the 2017 and 2018 growing seasons. These two seasons were used for the CWUE prediction since deficit irrigation was practiced and the agronomic practices were the same. The data were from 8, 12 and 12 treatments in the 2016, 2017 and 2018 growing seasons, respectively, under different weather, soil and water conditions. Therefore, the total input and output data amounts were 32 and 24 for ETc and CWUE, respectively. Three basic processes were adopted in developing the models (MLR and ANN). These processes include model training, testing and validation. According to this concept, the data set obtained in this study was grouped into three parts: training, testing and validation. Of all the 32 and 24 data, 70% was used for model training, 15% was used for model testing and the remaining 15% was used for validation. This grouping approach for the model development is similar to that used in [32] and [33]. The same approach used for developing the ANN model was also used for the multiple linear regression model (MLR).
2.4. Artificial Neural Network Model Development
The Artificial Neural Network model development was implemented in Matrix Laboratory (MATLAB) version 2013. This is a high-performance language for technical computing. MATLAB integrates computation, visualization and programming in an easy-to-use environment, expressing problems and solutions in familiar mathematical notation. For this work, the MATLAB artificial neural network (ANN) toolbox was used. The toolbox provided means of importing inputs and targets. After importing all the input and target data, other operations/tasks were performed, which consisted of the training function, learning function, performance function, number of layers, number of neurons and transfer function for different layers and finally resulting in the formation of network architectures and prediction of the output.
Artificial Neural Network Training Algorithm
In this study, feed-forward back propagation (FFBP) was used among several other training algorithms such as the Hopfield model, Perceptron, Adaptive Resonance Theory (ART), Radial-Basis Function (RBF) and Self Organization Maps (SOM). This is due to the advantageous use of FFBP over other training algorithms in hydrology studies [34]. In multilayer feed-forward networks, processing elements are arranged in layers such that they are connected. It usually has a minimum of three layers: input, hidden and output. In the neural network toolbox, there are different training functions such as traingd, traingdm, traingdx, trainlm and trainrp, and there is no condition for selecting a particular training function. In this study, trainlm, the Levenberg–Marquardt algorithm, was selected and used along with the FFBP algorithms. These combinations are commonly used in hydrology studies to predict crop evapotranspiration [34], and the algorithm also requires learning for accurate output prediction.
During the model development, the LEARNGDM (gradient descent with momentum weight and bias learning function) learning function was selected, while Log Sigmoid (Logsig) and Tan sigmoid transfer functions (Tansig) were used. These transfer functions have been widely used in hydrological-related studies [34,35,36]. The sigmoid functions approach is widely used in back propagation networks. This is attributable to the relationship between the value of the function at a particular point and the derivative value at the same point [33]. This relationship results in the reduction in possible computational burden during training.
2.5. Multiple Linear Regression (MLR)
Multiple linear regression through the combinations of various variables was used to predict maize crop evapotranspiration and CWUE. MATLAB software (version 2013) was used to train, test and validate the model for the prediction. The multiple linear regression developed took the form of Equation (2)
where ETc is predicted maize crop evapotranspiration or CWUE, and Xi1, Xi2 and Xi3 are independent variables used for the prediction.
ETc/CWUE = ßo + ß1Xi1 + ß2Xi2 + ß3Xi3 + ------- + e
2.6. Artificial Neural Network and MLR Modelling Strategy Adopted and Architecture
For the prediction of ETc in this study, two variables (weather and crop factor–LAI) were considered as inputs for all the modelling methods used under different soil and water managements. Artificial neural network Logsig and Tansig transfer functions (ANN-Logsig and ANN-Tansig) were used for modelling. The variable combinations used took the form below (Table 4).
Table 4.
Different modelling input combination for the strategies.
These combinations were to enable the capability of the artificial neural network and MLR in predicting ETc when the crop factor is considered together with weather data and under different soil and water management scenarios. Most importantly, incorporating LAI into the MLR model for ETc prediction may increase interest in its use, especially when the results are compared with ANN without LAI incorporation. This is because the MLR is simple and easy to interpret. The weather data used for ETc prediction were based on its correlation, which was evaluated using the correlation coefficient. A weather variable within the moderate and perfect values (r ≥ 0.4 ≤ 1) was used
For the prediction of CWUE, the meteorological data that correlated well with the crop water use were used for the CWUE, while the artificial neural network (either Logsig or Tansig) that performed better for ETc prediction was used for CWUE prediction. To obtain the performance of the MLR and ANN, the overall (all-data) predictions (32 × 1 output) were further grouped into 60%, 80% and 100% Full Irrigation Treatments (FITs) under different soil amendments, respectively.
2.7. Data Analysis
Correlation for the Adopted Modelling Strategies
The average of all data (weather and crop growth factors (LAI) and plant height) for the growing season was entered in a Minitab version 17.0 spreadsheet to determine the correlation between the leaf area index (LAI), weather variables and seasonal crop evapotranspiration for maize in unamended soil and soil amended with biochar and inorganic fertilizer. For the climatic data in particular, the average of each variable was used in relation to the ETc across all treatments. In contrast, LAI data measured in each treatment were related to the ETc from the same treatment. Seasonal crop evapotranspiration is the sum total of water used by the maize crop from planting to harvest. The correlation between seasonal crop evapotranspiration for maize and each of the variables mentioned above was determined separately. The correlation outcome showed the variables’ relevance and significance in predicting seasonal evapotranspiration. Different modelling strategies were formulated by including or excluding different variables based on the coefficient of correlation values and LAI.
2.8. Performance Evaluation of the Models Using Accuracy and Precision Statistical Indices
The performance of the multiple linear regression and artificial neural network (ANN) models was evaluated for ETc prediction using statistical accuracy criteria (Equations (3)–(5)). The modelling accuracy indices used for the model evaluation include: root mean-square error (RMSE), mean absolute error (MAE) and normalized root mean-square error (NRMSE). In addition, the precision of the ETc prediction was determined using the coefficient of determination, R2 (model fit).
where Mi and Si are measured and predicted data, respectively. is the mean value of Mi, and n is the number of observations.
3. Results and Discussion
3.1. Leaf Area Index and Plant Height as Influenced by the Different Soil and Water Conditions
In the first year of planting (2016 growing season), the lowest maize LAI was recorded in the F0B0 treatment (1.59) and the highest was in treatment F10B300 (3.57) (Supplementary Data; Table S1). Biochar application increased average LAI by 47.8, 70, and 78.6% in treatments F0B3, F0B6 and F0B10, respectively, while inorganic fertilizer application also increased LAI on average by 84.3% over the control. The highest LAI was recorded when biochar and inorganic fertilizer were co-applied (i.e., causing a synergistic effect), which was higher than the increase in LAI resulting from the individual biochar and inorganic fertilizer treatments. The co-application of biochar with inorganic fertilizer increased LAI by 124% in the F300B3 treatment compared to the control. Similarly, LAI increased by an average of 142% in treatment F300B6 when both biochar and inorganic fertilizer were co-applied, compared to the control, while the increment was 148.4% in treatment F300B10.
The maize’s highest plant height, number of leaves, leaf area and leaf area index were recorded at F10B300 and the lowest was recorded for F0B0 (control). Higher maize growth parameters were recorded when biochar and inorganic fertilizer were applied together compared to when biochar and inorganic fertilizer were applied separately.
For the 2017 and 2018 growing seasons (Supplementary Data; Table S1), the highest plant height, number of leaves, leaf area and leaf area index were recorded in plots treated with biochar and fertilizer in all the irrigation treatments (Supplementary Data; Table S1). The plant height, number of leaves, leaf area and leaf area index are indices that directly reflect the growth of the maize plants under the different irrigation, fertilizer and biochar treatments (Supplementary Data; Table S1). Increases in irrigation amount, biochar and fertilizer application significantly (p < 0.05) increased the growth parameters.
3.2. Maize Crop Evapotranspiration and Crop Water Use Efficiency under Different Soil and Water Conditions
In the 2016 growing season experiment, ETc (calculated) varied from 359.98 mm for the F0B0 treatment to 391.43 mm for F300B10 (Table 5). ETc increased with the increasing magnitude of added biochar and fertilizer application. ETc in treatments F0B3, F0B6 and F0B10 increased by 0.49%, 0.81% and 2.53% over the control (F0B0). Fertilizer application in treatment plot F300B0 increased ETc over the control by 7.35%. An additional increase in ETc was observed in the fertilizer-treated plots. Applying biochar and fertilizer concurrently increased ETc by 7.41, 7.88 and 8.74% in treatments F300B3, F300B6 and F300B10 compared to the control plot. In addition, when the plot treated with fertilizer only was compared to the unamended control, ETc increased by 0.054%, 0.5% and 1.29% in treatments F300B3, F300B6 and F300B10, respectively.
Table 5.
Water balance equation components and ETc data for maize during the growing seasons (2016).
For the 2017 growing season (Table 5), adding biochar and inorganic fertilizer sequentially increased the ETc of maize. An additional increase in ETc was observed when biochar and fertilizer were applied simultaneously in all the irrigation treatments (100% FIT, 80% FIT and 60% FIT; Table 5). Compared to the control, applying biochar with NPK fertilizer increased ET by 3.23% in 100% FIT, 3.91 in 80% FIT and 2.85% in 60% FIT. These increments were 1.40%, 1.02% and 1.21% for biochar application alone, while they were 2.51%, 3.07% and 2.44% for NPK fertilizer alone in 100% FIT, 80% FIT and 60% FIT, respectively.
Similarly, for the 2018 growing season, adding biochar and fertilizer resulted in increased ETc of maize. An additional increase in ETc was observed when biochar and fertilizer were applied together in all the irrigation treatments (100% FIT, 80% FIT and 60% FIT; Table 5). Compared to the control, applying biochar with NPK fertilizer increased ETc by 2.8% in 100% FIT, 3.7% in 80% FIT and 6.1% in 60% FIT. These increments were 1.10%, 1.6% and 2.2% for biochar application alone, while they were 2.3%, 2.8% and 4.3% for NPK fertilizer alone in 100% FIT, 80% FIT and 60% FIT, respectively.
A higher ETc was recorded in the 2017 experiment compared to the 2018 experiment due to higher rainfall totals during the experiment (wetter season) in 2017. The difference in ETc values reported in this study may result from irrigation water management, irrigation method (drip) and climatic conditions during the growing season. In this study, the increased ETc observed upon biochar addition may be attributed to the ability of biochar to enhance soil water and modify the root development of maize plants compared to the unamended plot [37,38]. Moreover, modification of the root upon biochar addition might either be by a chemical mechanism (higher plant-available water or lower acidity) or by a biological mechanism such as improved development of mycorrhizae, facilitating nutrient and water uptake by plant roots [39]. On the other hand, the increased ET observed in the fertilized plot compared to the unamended plots might be due to increased LAI and soil water extraction (as documented in [11,15]). Fertilizer promotes root growth and longer roots that can extract soil moisture from deep down in the soil depth [40,41]. This will lead to the depletion of soil water in the root zone of maize. The extracted soil moisture might result in rapid leaf development and stem elongation due to fertilizer application. Thus, transpiration may increase in the fertilizer-treated plots [40], thus resulting in increased agricultural productivity (Supplementary Data; Tables S2 and S3) and consequently increased water use efficiency (Table 5). The strategy of improving water use efficiency with the co-application of inorganic fertilizer and biochar in the face of water scarcity proved successful in this study (Table 5), with higher values of CWUE obtained in amended soils compared to unamended soils. In addition, the highest CWUE values were recorded in the deficit irrigation treatment while the maize yield produced under deficit irrigation was statistically similar (p > 0.05) (Supplementary Data; Table S4) to those obtained under full irrigation. Moreover, maize grain yields obtained under deficit irrigation were closer in value to the full irrigation treatment when biochar and inorganic fertilizer were co-applied. This outcome from the study justifies the need to accurately predict the water requirement of a maize crop under deficit irrigation using a good representative model which could capture the nutrient and water retention benefits of biochar addition to soils on ETc and CWUE. This is important since decision-making and planning of water resources will be aided by saving more water and costs while improving crop water use efficiency.
3.3. Correlation between the Crop Growth Data (Plant Height and Leaf Area Index), Climatic Data and Crop Evapotranspiration under the Different Soil and Water Management Conditions
A correlation result matrix between the input variables and crop evapotranspiration is given in Table 6. The correlation result indicates that the highest correlation of 0.99 with a significance of p = 0.0001 was observed between crop evapotranspiration and water supply. Therefore, water supply was included in all model combinations as an input. The second-best correlation was observed between wind speed and ETc, while the mean air temperature and solar radiation also showed a good correlation with crop evapotranspiration. This observation agrees with the report of [42], who found a high correlation between ETc and wind speed. The correlation of the meteorological parameters with measured crop evapotranspiration is in line with the findings of some researchers [43,44,45] who have proposed and applied temperature and solar radiation-based models to determine ETc. In addition, the crop parameters, plant height (PH) and leaf area index (LAI), correlated well and significantly (p < 0.05) with crop evapotranspiration. This observation justifies introducing crop parameters into the prediction of maize crop evapotranspiration. In the correlation result, a negative correlation was observed between mean relative humidity and crop evapotranspiration. A similar observation was reported by [27]. The correlation of soil amendments biochar and inorganic fertilizer with maize crop coefficient was low and insignificant in both cases. This may be attributed to the quantity of biochar and inorganic fertilizer applied.
Table 6.
Correlation between maize crop evapotranspiration and crop parameters with climatic parameters.
3.4. Model Training, Testing and Validation for Maize Crop Evapotranspiration and Water Use Efficiency
The performance indices of the models with different strategies (input combinations) for estimating maize crop evapotranspiration under different soil and water management conditions are presented in Table 7. Input combinations (strategies) are more important in maize crop evapotranspiration prediction accuracy and precision using MLR methods than when using ANN methods. Adding LAI values improved the accuracy and prediction of maize crop evapotranspiration under different soil and water management conditions. However, in ANN, all input combinations predicted evapotranspiration well in terms of accuracy and precision. The MLR model gave accurate seasonal evapotranspiration for maize during training, testing and validation. For MLR evaluation, MAE, RMSE and NRMSE were 2.310–2.31 mm, 3.12–73.73 mm and 0.78–18.35 during training; they were 2.10–15.96 mm, 10.34–70.23 mm and 2.95–20.20 during testing; while they were 3.27–11.53 mm, 16.10–51.10 mm and 6.28–19.93 during validation. The lower values of NRMSE, mostly <20%, showed that MLR is suitable for ETc prediction. Evaluation of the ANN model using Logsig and Tansig transfer functions gave an accurate result, with MAE, RMSE and NRMSE of 3.64–10.53 mm, 4.63–12.10 mm and 1.15–2.99 during testing. These were also 0.449–3.049 mm, 2.296–15.33 mm and 0.659–4.36% during testing, while they were 0.589–1.729 mm, 3.06–9.01 mm and 1.195–3.51 during model validation. Model accuracy evaluation showed that the ANN model is advantageous in crop evapotranspiration of maize under different soil and water management scenarios, compared to MLR. This might be due to the fact that the ANN model does not necessarily require any input data that correlate well and significantly with crop evapotranspiration before giving an accurate prediction [46,47].
Table 7.
Evaluation statistics for multiple linear regression and artificial neural network models for crop evapotranspiration of maize.
Generally, during training, testing and validation, the input combination with crop parameters (leaf area index and plant height) improved prediction better than the model without crop factors. In addition, adding the crop growth parameters improved crop evapotranspiration prediction in soil amended with biochar and inorganic fertilizer when compared to the model prediction in the strategy without crop growth parameters. The second strategy (containing weather data with crop growth data (LAI) performed best in MLR and even performed better when plant height was added. Nevertheless, this was not the case when ANN was used; prediction performed mostly better when the plant height was included in the model input combination. Considering model precision, the coefficient of determination, R2, was 0.861–0.986, 0.97–0.996 and 0.89–0.99, while it was 0.823–0.967, 0.875–0.998 and 0.974–0.996 during training, testing and validation for MLR and ANN, respectively. These results showed excellent and strong agreement between the modelled and measured results. The robust accuracy and precision results obtained in this study agree with the report of [23], who indicated that incorporating LAI into grape vine crop evapotranspiration prediction using linear and non-linear multiple regression improved prediction. Innovatively, our study considered ANN and MLR for maize under different soil and water scenarios. The accuracy and precision obtained in this study showed the improved robustness and sensitivity of the models, particularly MLR, when LAI is introduced to the model input combinations. This study provides innovative insight into improving crop evapotranspiration by incorporating crop growth data such as the leaf area index. The outcome of this study is innovative since previous researchers [25,27] have only mostly documented improvement in crop evapotranspiration to the use of complete climatic data using artificial intelligence (ANFIS and ANN models) without considering crop growth data such as LAI. Similarly, results from this study showed that a simple multiple linear model can accurately predict crop evapotranspiration of maize under different soil and water scenarios with limited data in combination with crop growth data such as LAI. Notably, the introduction of plant height did not produce any noticeable improvement in maize crop evapotranspiration (mm). A performance evaluation of the maize crop water use efficiency under the different soil and water management scenarios is presented in Table 8. Since the input combination for the estimation of crop water use showed that the combination of climatic data with the soil amendment dosage (strategy 4) are suitable for the prediction of ETc (strategy 6), these strategies have been chosen for the prediction of crop water use efficiency (CWUE). In addition, in the prediction, ANN-Logsig proved superior for both ETc and CWUE (Table 8). The evaluation results showed that adding crop data (LAI and plant height) values improved the accuracy and prediction of maize CWUE, mainly using a simple model such as MLR under different soil and water management scenarios. Nevertheless, in ANN, all input combinations predicted evapotranspiration well in terms of accuracy (MAE, RMSE and NRMSE) and precision (R2) for CWUE. The lower values of NRMSE, mostly <20%, showed that MLR is suitable for CWUE prediction. In addition, all models produced high precision; the coefficient of determination (R2) had values greater than 70%, except for Tansig, during testing.
Table 8.
Evaluation statistics for multiple linear regression and artificial neural network models for crop water use efficiency of maize.
3.5. Assessment of Model Overall Performance for Crop Evapotranspiration and Water Use Efficiency
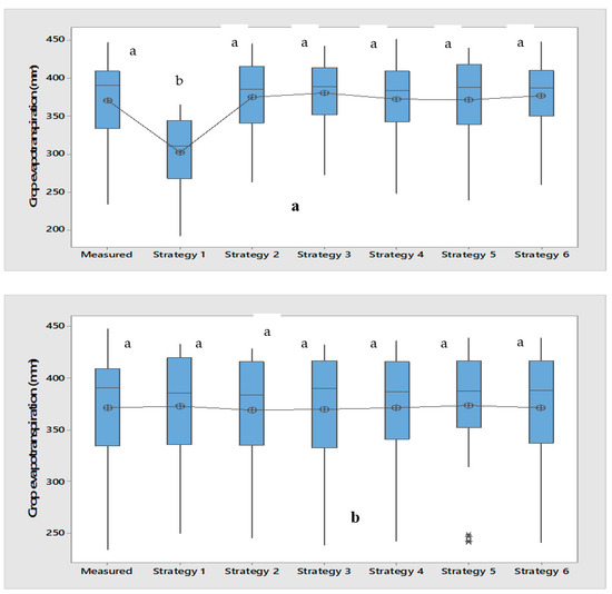
The average values presented in Figure 2a–c and Figure 3 and Table 9 explain the overall prediction of maize crop evapotranspiration. The quantification of possible over/under prediction of ETc and CWUE for maize by the MLR and ANN models is also presented in Table 9. Figure 2a–c under different modelling strategies showed that the strategy without LAI strongly and significantly (p < 0.05) underpredicted ETc. Strategy 4, also without LAI, but incorporating soil management (addition of biochar and inorganic fertilizer), similarly (p > 0.05) predicted ETc. Overall, Figure 2a–c illustrates the difference between the average estimated values using the ANN and MLR models. For CWUE prediction, the strategy with/without crop data similarly predicted CWUE (p > 0.05) (Figure 3), with prediction more accurate when the crop data were added. The results in Table 7 show the difference between measured and modelled values for both ETc and CWUE. A comparison of the predicted results using MLR show that all the linear models resulted in a slight underestimation of ETc, while they primarily resulted in an overestimation of CWUE. In addition, the ANN models mostly resulted in an overestimation of ETc and an underestimation of CWUE. This is understood since CWUE is inversely proportional to ETc in its estimation [48,49], interestingly captured by the model structure. The multiple linear models with crop data incorporated had the lowest underestimation and the lowest differences in standard deviation between the actual and modelled results for both ETc and CWUE. Similar improvement with LAI incorporation was also observed when soil amendments were considered. Similarly, the ANN model with crop growth data resulted in the best prediction for both CWUE and ETc. The ANN and MLR models yielded the lowest SDs of 0.075 and 2.153 for ETc and CWUE predictions. The better prediction observed when limited data (even without crop data) were considered agrees with the findings of [50,51], who reported improved prediction in ETc using ANN with limited data. Overall, multiple linear regression models showed higher bias error in model performance estimation than the ANN model for ETc estimation, but this was not true for CWUE. In all, the magnitude of the error reduced when crop growth data (LAI and plant height) were incorporated, thus emphasizing the need to include crop data to complement climatic data for ETc and CWUE prediction using a simple model such as MLR. The poorest performance was attributed to the linear model for maize ETc prediction, primarily without crop data.

Figure 2.
Comparison between overall modelling and the measured result for (a) MLR, (b) ANN-Logsig and (c) ANN-Tansig of maize crop evapotranspiration. Note(s): Means that do not share a letter in rows are significantly different.
Figure 3.
Comparison between the average value of the overall modelling and the measured result for MLR and ANN-Logsig with and without crop data for the crop water use efficiency of maize. Note(s): Means that do not share a letter in rows are significantly different.
Table 9.
Error and standard deviation results between overall measured and predicted values for each strategy.
In addition, the model performance evaluation of MLR and ANN in each irrigation treatment for ETc and CWUE is presented in Table 10 and Table 11, respectively. The comparison between the models and strategies adopted showed that ANN outperformed MLR under the varying water application treatments for ETc and CWUE predictions. In most cases, the incorporation of the LAI index improved the prediction of ETc, particularly with the use of MLR. The models’ evaluation based on MAE, RMSE, NRMSE and R2 showed that all models were excellent for predicting ETc in treatments that received the highest amount of water (where the evaporative demand is fully satisfied) and the treatment receiving the least amount of water. This is evident since NRMSE < 10%. In addition, the model precisions were very high, with the coefficient of determination (R2) value greater than 0.99. Therefore, the result from this study revealed that all the models (MLR and ANN) are suitable for the prediction of ETc at varying quantities of water applications with an acceptable level of accuracy, thus establishing the use of ANN and MLR in water stress conditions.
Table 10.
Prediction of crop evapotranspiration of maize under different irrigation treatments.
Table 11.
Prediction of crop water use efficiency of maize under different irrigation treatments.
However, for crop water use efficiency (CWUE) prediction, the multiple linear regression (MLR) model only performed well in the treatment that received the highest amount of water (100% FIT) and the treatment that received the moderate amount of water (80%). Nevertheless, the prediction was very poor both in accuracy and precision at the 60% FIT. The MLR prediction without crop data is obvious with NRMSE > 30% and an R2 value of 3%. However, when the crop data were included in the prediction, the accuracy amplitude was improved with R2 increasing to 67% and NRMSE reducing to < 20% (indicating a good prediction). In addition, other error statistics (MAE and RMSE) were minimized after including the crop data. However, the use of ANN gave a suitable prediction in terms of accuracy and precision in all irrigation treatments.
Therefore, the result from this study showed that crop water use efficiency, being a climate change index [52], can be accurately predicted using ANN with/without crop data, while the ability of MLR to accurately predict CWUE depends on the inclusion of crop data, particularly under extreme weather conditions that may result in dryness. The ability of the models to predict ETc and CWUE justified the fact that the models were sensitive to the alteration caused by the added soil amendments and water conditions.
4. Conclusions
This study applied simple model (multiple linear regression) and artificial intelligence (artificial neural network) methods to estimate the seasonal crop evapotranspiration and crop water use efficiency of maize in soil individually and co-applied with biochar and inorganic fertilizer under varying water applications. The models’ performance was evaluated using six different strategy–input combinations, with and without plant parameters (plant physiological data—leaf area index and plant height) combined with climatic data for ETc. Under different soil and water management scenarios, the use of an artificial neural network (ANN) and multiple linear regression (MLR) resulted in a satisfactory prediction of maize crop evapotranspiration (ETc) with only climatic parameters. However, the prediction was notably improved when the plant’s physiological parameters, leaf area index (LAI) and plant height, were included in the MLR. Both MLR and ANN are suitable for predicting maize’s water requirement when evaporative demands are met (full irrigation) and under deficit irrigation. However, using the MLR, the amplitude of CWUE prediction decreased in accuracy and precision at the irrigation treatment that received the lowest amount of water. Nevertheless, the precision and accuracy improved with the inclusion of crop data, while ANN produced a good prediction with/without crop data inclusion. The outcome of this study showed that ANN and MLR can be applied to predict water use and CWUE of maize under water stress conditions in areas where water is a limiting factor, hence facilitating decision-making and water resources management strategy.
Supplementary Materials
The following supporting information can be downloaded at: https://www.mdpi.com/article/10.3390/w15122294/s1.
Author Contributions
O.T.F. and A.E.A. developed the concept of the paper. O.T.F. analyzed the data and wrote the first draft of the manuscript. Other authors (T.B., A.O.O., O.E.A., B.A.A., A.T.O., A.O. and A.F.) proofread the manuscript in preparation for submission. All authors have read and agreed to the published version of the manuscript.
Funding
This research received no external funding.
Data Availability Statement
Data and other supporting materials will be made available on request.
Conflicts of Interest
The authors declare no conflict of interest.
References
- Brown, C.; Meeks, R.; Ghile, Y.; Hunu, K. An Empirical Analysis of the Effects of Climate Variables on National Level Economic Growth. World Bank Policy Research. 2010. Policy Research Working Paper 5357. Available online: https://openknowledge.worldbank.org/bitstream/handle/10986/3841/WPS5357.pdf;sequence=1 (accessed on 11 April 2023).
- Pejić, B.; Maheshwari, B.; Seremesić, S.; Stričević, R.; Pacureanu-Joita, M.; Rajić, M.; Ćupina, B. Water-Yield Relations of Maize (Zea mays L.) in Temperate Climatic Conditions. Maydica 2011, 56, 315–321. [Google Scholar]
- Domínguez, A.; de Juan, J.A.; Tarjuelo, J.M.; Martínez, R.S.; Martínez-Romero, A. Determination of Optimal Regulated Deficit Irrigation Strategies for Maize in a Semi-Arid Environment. Agric. Water Manag. 2012, 110, 67–77. [Google Scholar] [CrossRef]
- Qassim, A.; Goodwin, I.; Bruce, R. Postharvest Deficit Irrigation in Tatura 204 Peach: Subsequent Productivity and Water Saving. Agric. Water Manag. 2013, 117, 145–152. [Google Scholar] [CrossRef]
- Gheysari, M.; Mirlatifi, S.M.; Bannayan, M.; Homaee, M.; Hoogenboom, G. Interaction of Water and Nitrogen on Maize Grown for Silage. Agric. Water Manag. 2009, 96, 809–821. [Google Scholar] [CrossRef]
- Abbasi, M.K.; Tahir, M.M.; Rahim, N. Effect of N Fertilizer Source and Timing on Yield and N Use Efficiency of Rainfed Maize (Zea mays L.) in Kashmir–Pakistan. Geoderma 2013, 195–196, 87–93. [Google Scholar] [CrossRef]
- Hu, H.; Ning, T.; Li, Z.; Han, H.; Zhang, Z.; Qin, S.; Zheng, Y. Coupling Effects of Urea Types and Subsoiling on Nitrogen–water Use and Yield of Different Varieties of Maize in Northern China. Field Crops Res. 2013, 142, 85–94. [Google Scholar] [CrossRef]
- Kang, Y.; Chen, M.; Wan, S. Effects of Drip Irrigation with Saline Water on Waxy Maize (Zea mays L. Var. Ceratina Kulesh) in North China Plain. Agric. Water Manag. 2010, 97, 1303–1309. [Google Scholar] [CrossRef]
- Arbat, G.; Roselló, A.; Domingo Olivé, F.; Puig-Bargués, J.; González Llinàs, E.; Duran-Ros, M.; Pujol, J.; Ramírez de Cartagena, F. Soil Water and Nitrate Distribution under Drip Irrigated Corn Receiving Pig Slurry. Agric. Water Manag. 2013, 120, 11–22. [Google Scholar] [CrossRef]
- Rudnick, D.R.; Irmak, S. Impact of Water and Nitrogen Management Strategies on Maize Yield and Water Productivity Indices under Linear-Move Sprinkler Irrigation. Trans. ASABE 2013, 56, 1769–1783. [Google Scholar]
- Faloye, O.T.; Ajayi, A.E.; Alatise, M.O.; Ewulo, B.S.; Horn, R. Nutrient Uptake, Maximum Yield Production, and Economic Return of Maize under Deficit Irrigation with Biochar and Inorganic Fertiliser Amendments. Biochar 2019, 1, 375–388. [Google Scholar] [CrossRef]
- Abdel-Nasser, G.; Al-Omran, A.M.; Falatah, A.M.; Sheta, A.S.; Al-Harbi, A.R. Impact of Natural Conditioners on Water Retention, Infiltration and Evaporation Characteristics of Sandy Soil. J. Appl. Sci. 2007, 7, 1699–1708. [Google Scholar] [CrossRef]
- Eldardiry, E.I.; Abd El-Hady, M. Effect of Different Soil Conditioners Application on Some Soil Characteristics and Plant Growth I-Soil Moisture Distribution, Barley Yield and Water Use. Glob. Adv. Res. J. Agric. 2015, 9, 45–49. [Google Scholar]
- Yangyuoru, M.; Boateng, E.; Adiku, S.G.K.; Acquah, D.; Adjadeh, T.A.; Mawunya, F. Effects of Natural and Synthetic Soil Conditioners on Soil Moisture Retention and Maize Yield. West Afr. J. Appl. Ecol. 2006, 9, 1–8. [Google Scholar] [CrossRef]
- Faloye, O.T.; Ajayi, A.E.; Alatise, M.O.; Ewulo, B.S.; Horn, R. Maize Growth and Yield Modelling Using AquaCrop Under Deficit Irrigation with Sole and Combined Application of Biochar and Inorganic Fertiliser. J. Soil Sci. Plant Nutr. 2020, 20, 2440–2453. [Google Scholar] [CrossRef]
- Cui, H.-J.; Wang, M.K.; Fu, M.-L.; Ci, E. Enhancing Phosphorus Availability in Phosphorus-Fertilized Zones by Reducing Phosphate Adsorbed on Ferrihydrite Using Rice Straw-Derived Biochar. J. Soils Sediments 2011, 11, 1135–1141. [Google Scholar] [CrossRef]
- Alburquerque, J.A.; Salazar, P.; Barrón, V.; Torrent, J.; del Campillo, M.D.C.; Gallardo, A.; Villar, R. Enhanced Wheat Yield by Biochar Addition under Different Mineral Fertilization Levels. Agron. Sustain. Dev. 2013, 33, 475–484. [Google Scholar] [CrossRef]
- Lehmann, J.; Rillig, M.C.; Thies, J.; Masiello, C.A.; Hockaday, W.C.; Crowley, D. Biochar Effects on Soil Biota—A Review. Soil Biol. Biochem. 2011, 43, 1812–1836. [Google Scholar] [CrossRef]
- Faloye, O.T.; Alatise, M.O.; Ajayi, A.E.; Ewulo, B.S. Synergistic Effects of Biochar and Inorganic Fertiliser on Maize (Zea mays) Yield in an Alfisol under Drip Irrigation. Soil Tillage Res. 2017, 174, 214–220. [Google Scholar] [CrossRef]
- Allen, R.G.; Pereira, L.S.; Raes, D.; Smith, M. Crop Evapotranspiration-Guidelines for Computing Crop Water Requirements-FAO Irrigation and Drainage Paper 56. Fao Rome 1998, 300, D05109. [Google Scholar]
- Carsky, R.J.; Iwuafor, E.N.O. Contribution of Soil Fertility Research and Maintenance to Improved Maize Production and Productivity in Sub-Saharan Africa. In Proceedings of the Regional Maize Workshop, IITA, Cotonuo, Benin Republic, 29 May–2 June 1995. [Google Scholar]
- Babalola, T.E.; Adabembe, B.A.; Faloye, O.T. Water Use—Yield Relationship of Maize as Influenced by Biochar and Inorganic Fertilizer Applications in a Tropical Sandy Clay Loam Soil. Agric. Water Manag. 2022, 271, 107801. [Google Scholar] [CrossRef]
- Ohana-Levi, N.; Gao, F.; Knipper, K.; Kustas, W.P.; Anderson, M.C.; del Mar Alsina, M.; Sanchez, L.A.; Karnieli, A. Time-Series Clustering of Remote Sensing Retrievals for Defining Management Zones in a Vineyard. Irrig. Sci. 2022, 40, 801–815. [Google Scholar] [CrossRef]
- Shtein, I.; Wolberg, S.; Munitz, S.; Zait, Y.; Rosenzweig, T.; Grünzweig, J.M.; Ohana-Levi, N.; Netzer, Y. Multi-Seasonal Water-Stress Memory versus Temperature-Driven Dynamic Structural Changes in Grapevine. Tree Physiol. 2021, 41, 1199–1211. [Google Scholar] [CrossRef] [PubMed]
- Aghajanloo, M.-B.; Sabziparvar, A.-A.; Hosseinzadeh Talaee, P. Artificial Neural Network–genetic Algorithm for Estimation of Crop Evapotranspiration in a Semi-Arid Region of Iran. Neural Comput. Appl. 2013, 23, 1387–1393. [Google Scholar] [CrossRef]
- Tang, D.; Feng, Y.; Gong, D.; Hao, W.; Cui, N. Evaluation of Artificial Intelligence Models for Actual Crop Evapotranspiration Modeling in Mulched and Non-Mulched Maize Croplands. Comput. Electron. Agric. 2018, 152, 375–384. [Google Scholar] [CrossRef]
- Abyaneh, H.Z.; Nia, A.M.; Varkeshi, M.B.; Marofi, S.; Kisi, O. Performance Evaluation of ANN and ANFIS Models for Estimating Garlic Crop Evapotranspiration. J. Irrig. Drain. Eng. 2011, 137, 280–286. [Google Scholar] [CrossRef]
- Hashemi, M.; Sepaskhah, A.R. Evaluation of Artificial Neural Network and Penman–Monteith Equation for the Prediction of Barley Standard Evapotranspiration in a Semi-Arid Region. Theor. Appl. Climatol. 2020, 139, 275–285. [Google Scholar] [CrossRef]
- Saggi, M.K.; Jain, S. Application of Fuzzy-Genetic and Regularization Random Forest (FG-RRF): Estimation of Crop Evapotranspiration (ETc) for Maize and Wheat Crops. Agric. Water Manag. 2020, 229, 105907. [Google Scholar] [CrossRef]
- Soil Survey Staff. Key to Soil Taxonomy, 12th ed.; USDA-Natural Resources Conservation Services: Washington, DC, USA, 2014. [Google Scholar]
- Bing-fang, W.U.; Jun, X.; Na-na, Y.A.N.; Lei-dong, Y.; Xin, D.U. ETWatch for Monitoring Regional Evapotranspiration with Remote Sensing. Adv. Water Sci. 2008, 19, 671–678. [Google Scholar]
- Sarangi, A.; Madramootoo, C.A.; Enright, P.; Prasher, S.O.; Patel, R.M. Performance Evaluation of ANN and Geomorphology-Based Models for Runoff and Sediment Yield Prediction for a Canadian Watershed. Curr. Sci. 2005, 89, 2022–2033. [Google Scholar]
- Faloye, O.T.; Ajayi, A.E.; Zink, A.; Fleige, H.; Dörner, J.; Horn, R. Effective Stress and Pore Water Dynamics in Unsaturated Soils: Influence of Soil Compaction History and Soil Properties. Soil Tillage Res. 2021, 211, 104997. [Google Scholar] [CrossRef]
- Nikam, S.S.; Mishra, A.K.; Sarangi, A.; Shirsath, P.B.; Singh, D.K.; Ramasubramanian, V. Artificial Neural Network Models to Predict Wheat Crop Evapotranspiration. J. Agric. Eng. Res. 2010, 47, 20–25. [Google Scholar]
- Zhang, B.; Govindaraju, R.S. Geomorphology-Based Artificial Neural Networks (GANNs) for Estimation of Direct Runoff over Watersheds. J. Hydrol. 2003, 273, 18–34. [Google Scholar] [CrossRef]
- Arshad, R.R.; Sayyad, G.; Mosaddeghi, M.; Gharabaghi, B. Predicting Saturated Hydraulic Conductivity by Artificial Intelligence and Regression Models. ISRN Soil Sci. 2013, 2013, 308159. [Google Scholar] [CrossRef]
- Atkinson, C.J.; Fitzgerald, J.D.; Hipps, N.A. Potential Mechanisms for Achieving Agricultural Benefits from Biochar Application to Temperate Soils: A Review. Plant Soil 2010, 337, 1–18. [Google Scholar] [CrossRef]
- Laird, D.A.; Fleming, P.; Davis, D.D.; Horton, R.; Wang, B.; Karlen, D.L. Impact of Biochar Amendments on the Quality of a Typical Midwestern Agricultural Soil. Geoderma 2010, 158, 443–449. [Google Scholar] [CrossRef]
- Norwegian University of Life Sciences (NGI). Improving Crop Yield and Storing. 2014. Available online: https://.eldis.org (accessed on 22 November 2016).
- Ogola, J.B.O.; Wheeler, T.R.; Harris, P.M. Effects of Nitrogen and Irrigation on Water Use of Maize Crops. Field Crops Res. 2002, 78, 105–117. [Google Scholar] [CrossRef]
- Zhong, H.; Wang, Q.; Zhao, X.; Du, Q.; Zhao, Y.; Wang, X.; Jiang, C.; Zhao, S.; Cao, M.; Yu, H.; et al. Effects of Different Nitrogen Applications on Soil Physical, Chemical Properties and Yield in Maize (Zea mays L.). Agric. Sci. China 2014, 5, 1440. [Google Scholar]
- Tabari, H.; Grismer, M.E.; Trajkovic, S. Comparative Analysis of 31 Reference Evapotranspiration Methods under Humid Conditions. Irrig. Sci. 2013, 31, 107–117. [Google Scholar] [CrossRef]
- Hargreaves, G.H.; Samani, Z.A. Reference Crop Evapotranspiration from Temperature. Appl. Eng. Agric. 1985, 1, 96–99. [Google Scholar] [CrossRef]
- Feng, Y.; Peng, Y.; Cui, N.; Gong, D.; Zhang, K. Modeling Reference Evapotranspiration Using Extreme Learning Machine and Generalized Regression Neural Network Only with Temperature Data. Comput. Electron. Agric. 2017, 136, 71–78. [Google Scholar] [CrossRef]
- Tabari, H.; Talaee, P.H. Local Calibration of the Hargreaves and Priestley-Taylor Equations for Estimating Reference Evapotranspiration in Arid and Cold Climates of Iran Based on the Penman-Monteith Model. J. Hydrol. Eng. 2011, 16, 837–845. [Google Scholar] [CrossRef]
- Gocić, M.; Motamedi, S.; Shamshirband, S.; Petković, D.; Ch, S.; Hashim, R.; Arif, M. Soft Computing Approaches for Forecasting Reference Evapotranspiration. Comput. Electron. Agric. 2015, 113, 164–173. [Google Scholar] [CrossRef]
- Yamaç, S.S.; Şeker, C.; Negiş, H. Evaluation of Machine Learning Methods to Predict Soil Moisture Constants with Different Combinations of Soil Input Data for Calcareous Soils in a Semi Arid Area. Agric. Water Manag. 2020, 234, 106121. [Google Scholar] [CrossRef]
- Zwart, S.J.; Bastiaanssen, W.G.M. Review of Measured Crop Water Productivity Values for Irrigated Wheat, Rice, Cotton and Maize. Agric. Water Manag. 2004, 69, 115–133. [Google Scholar] [CrossRef]
- Howell, T.A. Challenges in Increasing Water Use Efficiency in Irrigated Agriculture. Available online: https://citeseerx.ist.psu.edu/document?repid=rep1&type=pdf&doi=2915398729946a427b25beec6b7bd59b726fd172 (accessed on 11 April 2023).
- Elbeltagi, A.; Nagy, A.; Mohammed, S.; Pande, C.B.; Kumar, M.; Bhat, S.A.; Zsembeli, J.; Huzsvai, L.; Tamas, J.; Kovacs, E.; et al. Combination of limited meteorological data for predicting reference crop evapotranspirationusing artificial neural network method. Agronomy 2022, 12, 516. [Google Scholar] [CrossRef]
- Bhat, S.A.; Pandit, B.; Dar, M.U.D.; Ali, Y.R.; Jan, R.; Khan, S. Comparative study of different methods of evapotranspiration estimation in Kashmir Valley. J. Agrometeorol. 2017, 19, 383–384. [Google Scholar] [CrossRef]
- Hatfield, J.L.; Dold, C. Water-Use Efficiency: Advances and Challenges in a Changing Climate. Front. Plant Sci. 2019, 10, 103. [Google Scholar] [CrossRef] [PubMed]
Disclaimer/Publisher’s Note: The statements, opinions and data contained in all publications are solely those of the individual author(s) and contributor(s) and not of MDPI and/or the editor(s). MDPI and/or the editor(s) disclaim responsibility for any injury to people or property resulting from any ideas, methods, instructions or products referred to in the content. |
© 2023 by the authors. Licensee MDPI, Basel, Switzerland. This article is an open access article distributed under the terms and conditions of the Creative Commons Attribution (CC BY) license (https://creativecommons.org/licenses/by/4.0/).