Prediction of Future Urban Rainfall and Waterlogging Scenarios Based on CMIP6: A Case Study of Beijing Urban Area
Abstract
1. Introduction
2. Materials and Methods
2.1. Study Area
2.2. Data Sources
2.3. Method
2.3.1. Evaluation of CMIP6 Models
2.3.2. Statistical Downscaling Method
2.3.3. Method for Generating Rainfall Sequences
2.3.4. SWMM Model
3. Results and Discussion
3.1. Initial Evaluation of Precipitation Patterns
3.2. Comparison of Models
3.3. SWMM Model Validation and Sensitivity Analysis
3.4. Rainfall Forecasts under Future Scenarios
3.4.1. Annual Rainfall
3.4.2. Daily Rainfall
3.5. Estimation of Waterlogging Situation under Future Scenarios
3.5.1. Simulation of Surface Runoff under Future Scenarios
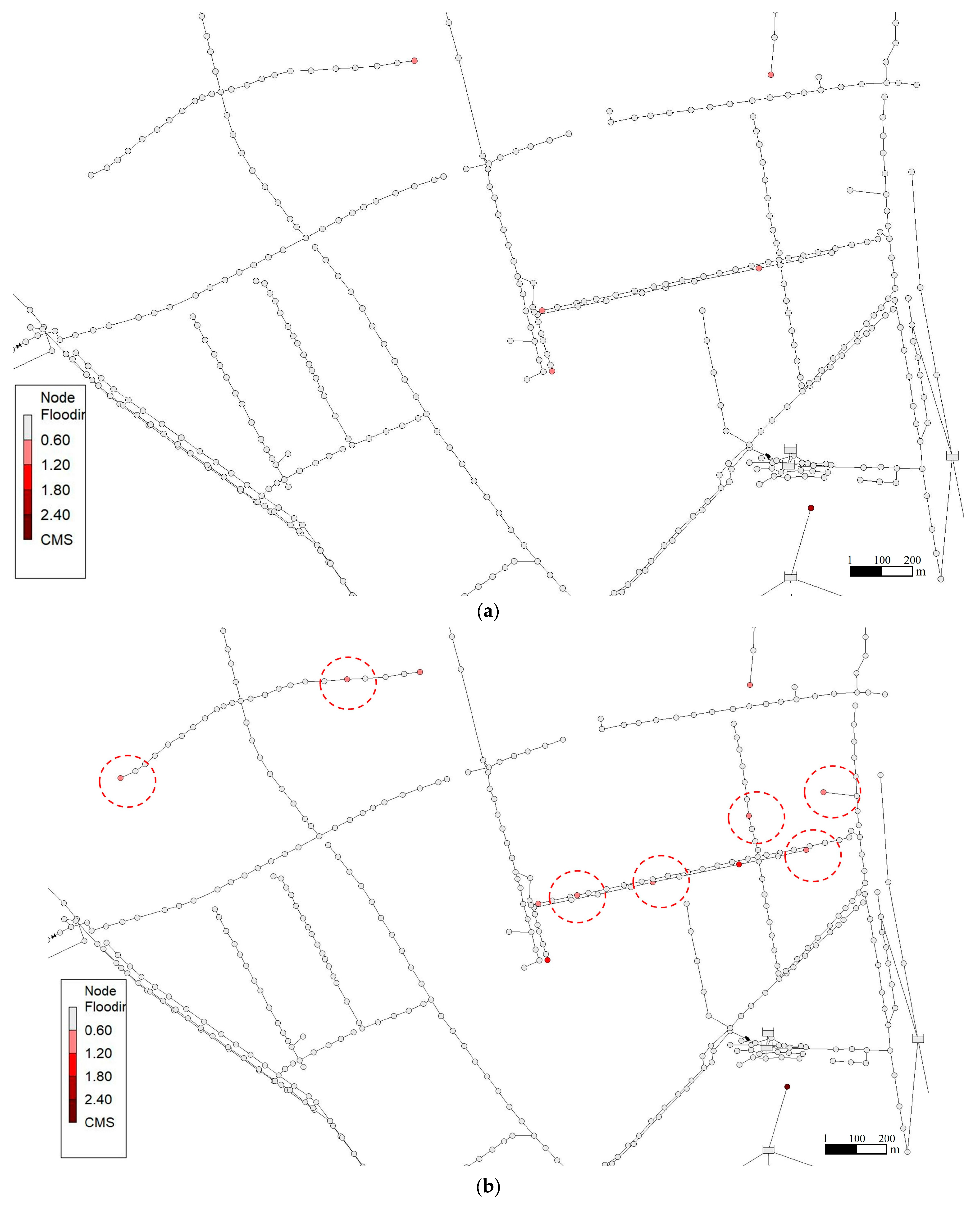
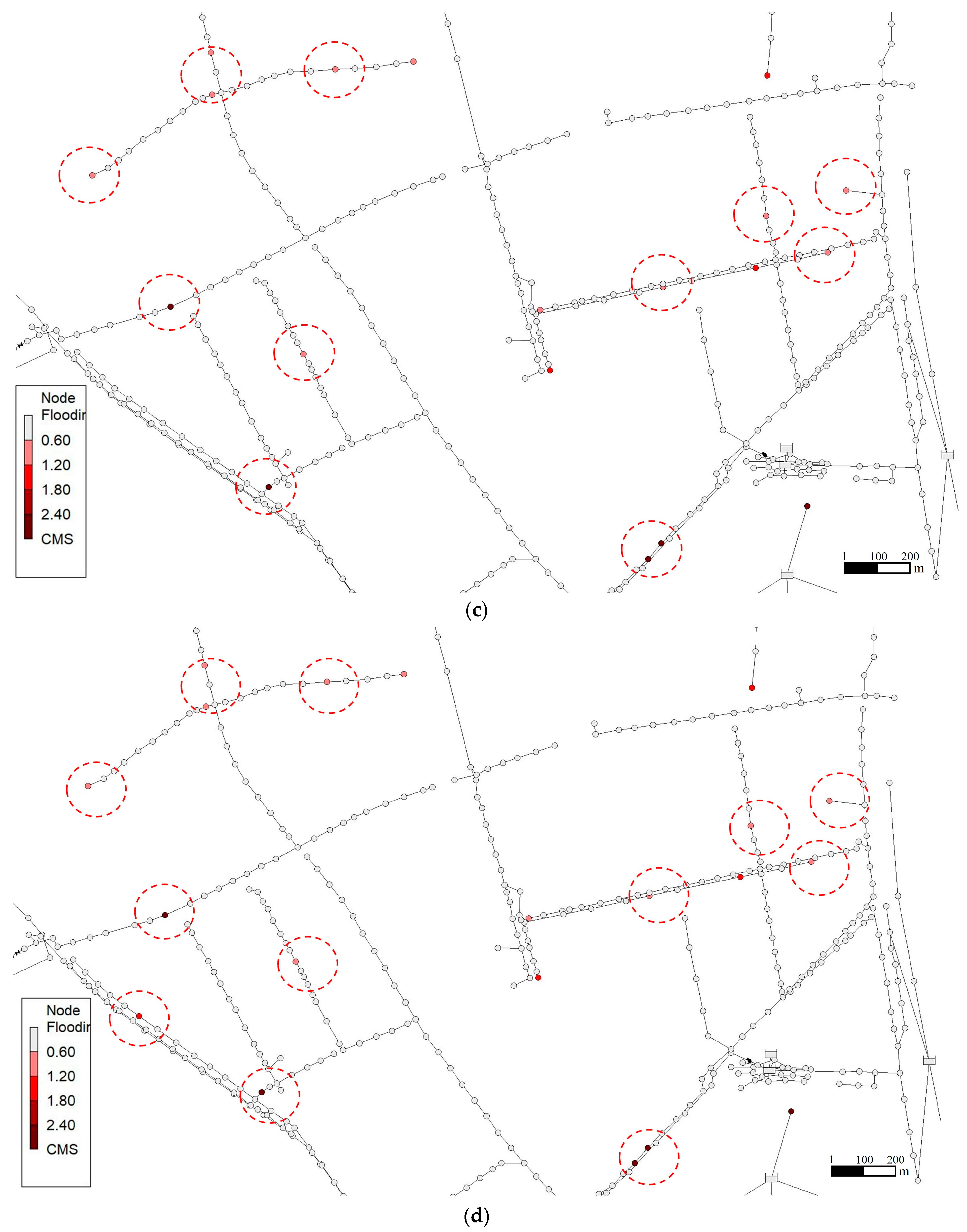
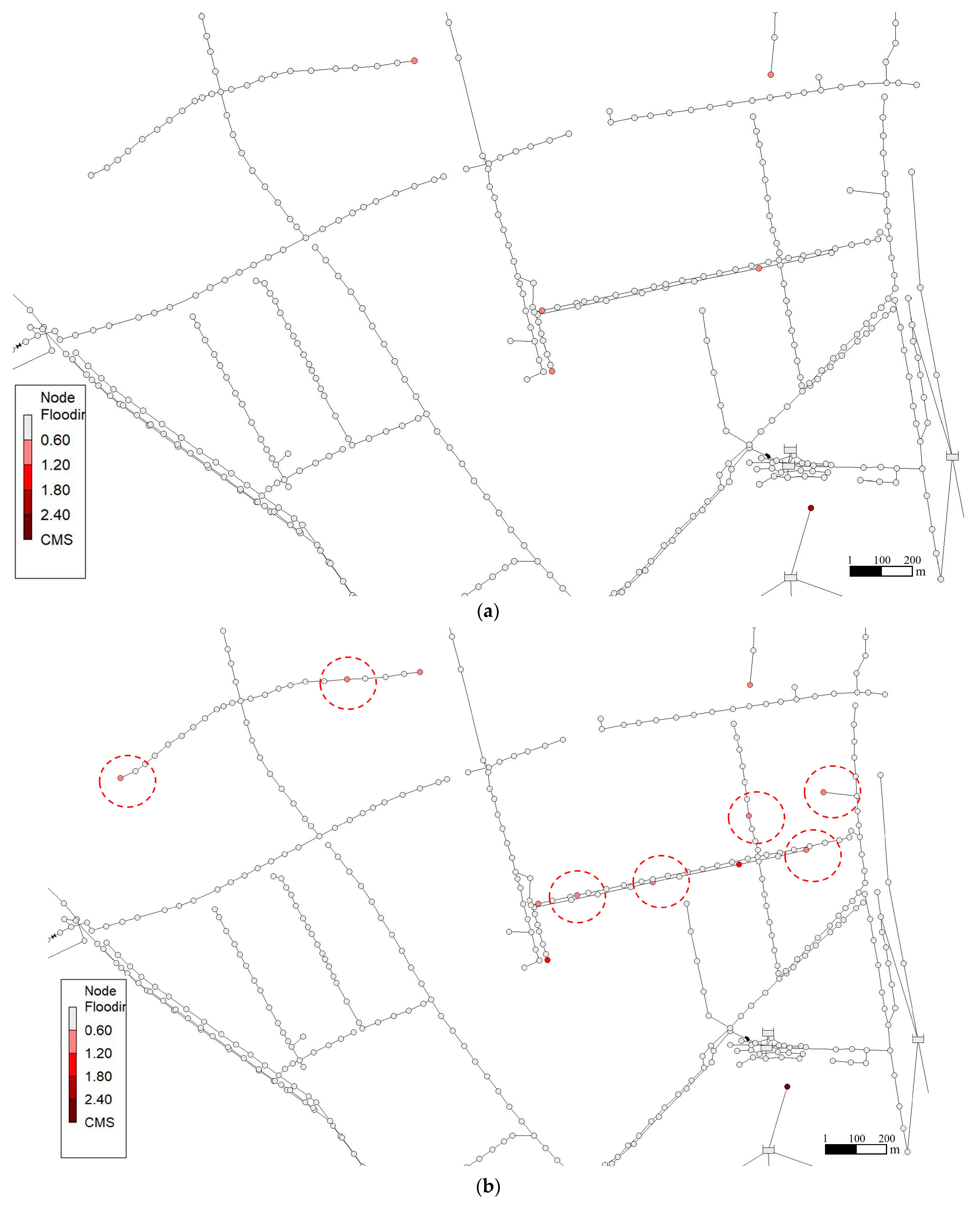
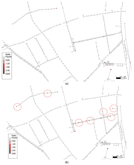
3.5.2. Simulation of Node Overflows in Future Scenarios
4. Conclusions
- (1)
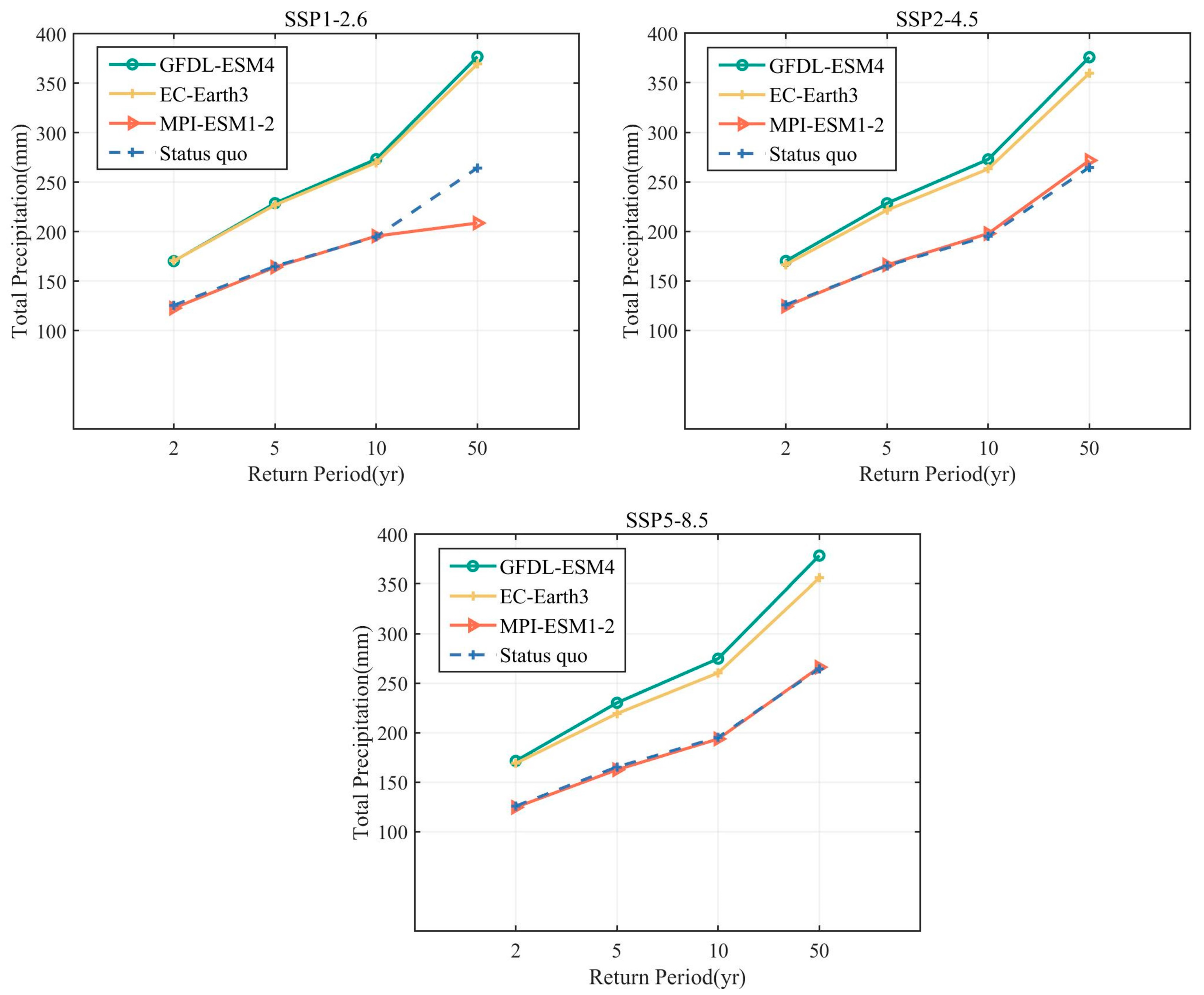
- In the model rainfall prediction findings for an urban region in Beijing, compared to historical observations, the CMIP6 models fared better for monthly rainfall predictions than for wet rainfall projections, showing that wet season rainfall predictions are uncertain. EC-Earth3, GFDL-ESM4, and MPI-ESM1-2-HR perform best in the study area for the combined 1994–2014 monthly and wet season rainfall projections. Regarding future precipitation forecasts, all three models indicate that greater precipitation will be produced under various future climate scenarios (SSP1–2.6, SSP2–4.5, and SSP5–8.5).
- (2)
- Among the three screened models, EC-Earth3 and GFDL-ESM4 have higher predictions of total annual and daily rainfall than MPI-ESM1-2-HR, while EC-Earth3 also predicts more runoff and overflow nodes. This shows that MPI-ESM1-2-HR may underestimate precipitation indicators such as runoff and overflow when predicting future precipitation.
- (3)
- Regarding the prediction of future waterlogging situations, all three models forecast higher runoff and larger runoff peaks in the future, along with an increase in rainfall unpredictability. Future climate change will also result in the emergence of potential overflow nodes, which will account for 1.5%, 2.7%, and 2.9% of the total nodes in the case area under the three groups of scenarios with a 5-year return period, SSP1–2.6, SSP2–4.5, and SSP5–8.5, respectively, indicating that future precipitation under current climatic conditions could lead to the formation of undetected waterlogging points in the city, resulting in more severe waterlogging.
- (4)
- The results of future rainfall predictions differ somewhat from the characteristics of historical rainfall. Due to this discrepancy, the effectiveness of stormwater drainage systems may be diminished in the future. To be able to improve climate change resilience, city management should strengthen the review and improvement of stormwater drainage systems, such as increasing drainage capacity, optimizing drainage networks, and improving flow control measures; promote the planning and development of gray–green–blue infrastructure, integrating gray infrastructure (e.g., drainage pipes and treatment facilities), green infrastructure (e.g., rain gardens and wetlands), and blue infrastructure (e.g., reservoirs and cisterns) in planning and development; and develop climate change adaptation strategies, including establishing sustainable water management plans, promoting low-impact development and rainwater harvesting, and promoting ecological restoration and nature conservation. By taking these measures, the city’s climate change resilience will be improved, and the future effectiveness of the stormwater drainage system will be ensured.
Author Contributions
Funding
Data Availability Statement
Conflicts of Interest
References
- Wu, X.; Xiao, Y.; Li, L.; Wang, G. Review and prospect of the emergency management of urban rainstorm waterlogging based on big data fusion. Chin. Sci. Bull. 2017, 62, 920–927. [Google Scholar] [CrossRef]
- Zhang, J.Y.; Wang, Y.T.; He, R.M.; Hu, Q.F.; Song, X.M. Discussion on the urban flood and waterlogging and causes analysis in China. Adv. Water Sci. 2016, 27, 485–491. [Google Scholar] [CrossRef]
- Song, X.M.; Zhang, J.Y.; He, R.M.; Zou, X.J.; Zhang, C.H. Urban flood and waterlogging and causes analysis in Beijing. Adv. Water Sci. 2019, 30, 153–165. [Google Scholar] [CrossRef]
- Chen, P.; Zhang, J.; Sun, Y.; Liu, X. Wargame Simulation Theory and Evaluation Method for Emergency Evacuation of Residents from Urban Waterlogging Disaster Area. Int. J. Environ. Res. Public Health 2016, 13, 1260. [Google Scholar] [CrossRef] [PubMed]
- Hu, S.-L.; Han, C.-F.; Meng, L.-P. A scenario planning approach for propositioning rescue centers for urban waterlog disasters. Comput. Ind. Eng. 2015, 87, 425–435. [Google Scholar] [CrossRef]
- Li, W.; Jiang, R.G.; Xie, J.C.; Zhu, J.W.; Zhao, Y.; Yang, S.Y. Scenario analysis of urban waterlogging disaster based on PSR and Bayesian network. Water Wastewater Eng. 2022, 58, 125–131. [Google Scholar] [CrossRef]
- Pan, W.B.; Ke, J.Y.; Zheng, P.; Zhan, X.P. Flood control effects of low-impact development on urban waterlogging node under different rainfall characteristics. China Environ. Sci. 2018, 38, 2555–2563. [Google Scholar] [CrossRef]
- Mustafa, A.; Bruwier, M.; Archambeau, P.; Erpicum, S.; Pirotton, M.; Dewals, B.; Teller, J. Effects of spatial planning on future flood risks in urban environments. J. Environ. Manag. 2018, 225, 193–204. [Google Scholar] [CrossRef]
- Chen, P.; Zhang, J.; Zhang, L.; Sun, Y. Research of City Rainstorm Waterlogging Scene Simulation -- in Daoli District of Harbin City as an Example. J. Risk Anal. Crisis Response 2015, 5, 66–72. [Google Scholar] [CrossRef]
- Hall, J.W.; Sayers, P.B.; Dawson, R.J. National-scale Assessment of Current and Future Flood Risk in England and Wales. Nat. Hazards 2005, 36, 147–164. [Google Scholar] [CrossRef]
- Shi, Y. Population vulnerability assessment based on scenario simulation of rainstorm-induced waterlogging: A case study of Xuhui District, Shanghai City. Nat. Hazards 2013, 66, 1189–1203. [Google Scholar] [CrossRef]
- Yae, S.J.; Min, L.S.; Hoon, K.J.; Woong, K.T. Analysis of Urban Flood Damage Characteristics Using Inland Flood Scenarios and Flood Damage Curve. J. Korean Soc. Hazard Mitig. 2014, 14, 291–301. [Google Scholar]
- Yun, Q.; Han, W.; Jiansheng, W. Protecting Existing Urban Green Space versus Cultivating More Green Infrastructures: Strategies Choices to Alleviate Urban Waterlogging Risks in Shenzhen. Remote Sens. 2021, 13, 4433. [Google Scholar]
- Yang, K.; Hou, H.; Li, Y.; Chen, Y.; Wang, L.; Wang, P.; Hu, T. Future urban waterlogging simulation based on LULC forecast model: A case study in Haining City, China. Sustain. Cities Soc. 2022, 87, 104167. [Google Scholar] [CrossRef]
- Yue, Y.; Cuilin, P.; Guangwei, F.; Maochun, T.; Junshu, W. A New Urban Waterlogging Simulation Method Based on Multi-Factor Correlation. Water 2022, 14, 1915–1938. [Google Scholar]
- Mei, C.; CHen, Y.F.; Liu, J.H.; Wang, H.; Wang, D.; Shao, W.W. Impact assessment of urban waterlogging on road traffic based on scenario simulation. Water Resour. Prot. 2022, 38, 31–38. [Google Scholar]
- Wang, S.J. Waterlogging Risk Assessment and Analysis of Urban Drainage System Based on Rainfall Scenario Simulation. China Water Wastewater 2020, 36, 112–116. [Google Scholar] [CrossRef]
- Chen, H.; Sun, J.; Lin, W.; Xu, H. Comparison of CMIP6 and CMIP5 models in simulating climate extremes. Sci. Bull. 2020, 65, 1415–1418. [Google Scholar] [CrossRef]
- Ha, K.; Moon, S.; Timmermann, A.; Kim, D. Future Changes of Summer Monsoon Characteristics and Evaporative Demand Over Asia in CMIP6 Simulations. Geophys. Res. Lett. 2020, 47, e87492. [Google Scholar] [CrossRef]
- Jiang, D.; Hu, D.; Tian, Z.; Lang, X. Differences between CMIP6 and CMIP5 Models in Simulating Climate over China and the East Asian Monsoon. Adv. Atmos. Sci. 2020, 37, 1102–1118. [Google Scholar] [CrossRef]
- Xin, X.; Wu, T.; Zhang, J.; Yao, J.; Fang, Y. Comparison of CMIP6 and CMIP5 simulations of precipitation in China and the East Asian summer monsoon. Int. J. Clim. 2020, 40, 6423–6440. [Google Scholar] [CrossRef]
- Farhad, Y.; Sogol, M.; Ardalan, I.; Amir, A. Evaluation of CMIP6 precipitation simulations across different climatic zones: Uncertainty and model intercomparison. Atmos. Res. 2020, 250, 105369. [Google Scholar]
- Zahra, H.; Asaad, H.S.; Alireza, K.; Poorkarim, B.R.; Mohammad, M.S. Spatiotemporal variations in precipitation extremes based on CMIP6 models and Shared Socioeconomic Pathway (SSP) scenarios over MENA. Arab. J. Geosci. 2022, 15, 1601. [Google Scholar]
- Felipe, J.d.M.; Cristiano, P.d.O.; Alvaro, A.-D. Evaluation of extreme precipitation climate indices and their projected changes for Brazil: From CMIP3 to CMIP6. Weather. Clim. Extrem. 2022, 38, 100511. [Google Scholar]
- Yang, Y.; Dai, X.G.; Wang, p. Projection of Asian Precipitation for the Coming 30 Years and Its Bias Correction. Chin. J. Atmos. Sci. 2022, 46, 40–54. [Google Scholar]
- Xiang, J.W.; Zhang, L.P.; Deng, Y.; She, D.X.; Zhang, Q. Projection and evaluation of extreme temperature and precipitation in major regions of China by CMIP6 models. Eng. J. Wuhan Univ. 2021, 54, 46–57+81. [Google Scholar] [CrossRef]
- Wang, Y.; Li, H.X.; Wang, H.J.; Sun, B.; Chen, H.P. Evaluation of CMIP6 model simulations of extreme precipitation in China and comparison with CMIP5. Acta Meteorol. Sin. 2021, 79, 369–386. [Google Scholar]
- Zhao, M.X.; Su, B.D.; Jiang, T.; Wang, A.Q.; Tao, H. Simulation and Projection of Precipitation in the Upper Yellow River Basin by CMIP6 Multi-Model Ensemble. Plateau Meteorol. 2021, 40, 547–558. [Google Scholar]
- Masson, D.; Knutti, R. Spatial-Scale Dependence of Climate Model Performance in the CMIP3 Ensemble. J. Clim. 2011, 24, 2680–2692. [Google Scholar] [CrossRef]
- Song, F.; Zhou, T. The Climatology and Interannual Variability of East Asian Summer Monsoon in CMIP5 Coupled Models: Does Air–Sea Coupling Improve the Simulations? J. Clim. 2014, 27, 8761–8777. [Google Scholar] [CrossRef]
- Sperber, K.R.; Annamalai, H.; Kang, I.-S.; Kitoh, A.; Moise, A.; Turner, A.; Wang, B.; Zhou, T. The Asian summer monsoon: An intercomparison of CMIP5 vs. CMIP3 simulations of the late 20th century. Clim. Dyn. 2013, 41, 2711–2744. [Google Scholar] [CrossRef]
- Zhao, D.; Zhang, L.X.; Zhou, T.J. Performance Assessment of CMIP6 Model in Simulating the Water Cycle over East China. Chin. J. Atmos. Sci. 2022, 46, 557–572. [Google Scholar]
- Li, B.; Yu, L.; Pan, X.Y.; Ju, Q.; Zhang, Y.H.; Zhao, L.J.; Yang, M.Y. Temporal and spatial characteristics of precipitation in Tongzhou District, Beijing. J. Beijing Norm. Univ. (Nat. Sci.) 2020, 56, 566–572. [Google Scholar]
- Buda, S.; Jinlong, H.; Kumar, M.S.; Jianqing, Z.; Yanjun, W.; Shanshan, W.; Miaoni, G.; Yanran, L.; Shan, J.; Tong, J.; et al. Insight from CMIP6 SSP-RCP scenarios for future drought characteristics in China. Atmos. Res. 2020, 250, 105375. [Google Scholar]
- Chen, W.; Jiang, Z.; Li, L. Probabilistic Projections of Climate Change over China under the SRES A1B Scenario Using 28 AOGCMs. J. Clim. 2011, 24, 4741–4756. [Google Scholar] [CrossRef]
- Wu, W.; Liang, Z.R.; Liu, X.C. Projection of the Daily Precipitation Using CDF-T Method at Meteorological Observation Site Scale. Plateau Meteorol. 2018, 37, 796–805. [Google Scholar]
- Zhou, L.; Lan, M.C.; Cai, R.H.; Huang, J.; Jiang, Z.H. The Simulation of Extreme Precipitation over Hunan Province based on the Statistical Downscaling Method of Transform Cumulative Distribution Function (CDF-t). Plateau Meteorol. 2019, 38, 734–743. [Google Scholar]
- Zhou, L.; Jiang, Z.H. Future changes in precipitation over Hunan Province based on CMIP5 simulations using the statistical downscaling method of transform cumulative distribution function. Acta Meteorol. Sin. 2017, 75, 223–235. [Google Scholar]
- Li, H.; Sheffield, J.; Wood, E.F. Bias correction of monthly precipitation and temperature fields from Intergovernmental Panel on Climate Change AR4 models using equidistant quantile matching. J. Geophys. Res. Atmos. 2010, 115, D10101. [Google Scholar] [CrossRef]
- Li, C.L.; Hu, Y.M.; Liu, M.; Xu, Y.Y.; Sun, F.Y.; Chen, T. Local sensitivity analysis of parameters in Storm Water Management Model. Chin. J. Ecol. 2014, 33, 1076–1081. [Google Scholar] [CrossRef]
- Sharifan, R.; Roshan, A.; Aflatoni, M.; Jahedi, A.; Zolghadr, M. Uncertainty and Sensitivity Analysis of SWMM Model in Computation of Manhole Water Depth and Subcatchment Peak Flood. Procedia Soc. Behav. Sci. 2010, 2, 7739–7740. [Google Scholar] [CrossRef]
- Morris, M.D. Factorial Sampling Plans for Preliminary Computational Experiments. Technometrics 2012, 33, 161–174. [Google Scholar] [CrossRef]
- Lin, W.; Chen, H. Assessment of model performance of precipitation extremes over the mid-high latitude areas of Northern Hemisphere: From CMIP5 to CMIP6. Atmos. Ocean. Sci. Lett. 2020, 13, 598–603. [Google Scholar] [CrossRef]
- Zhou, T.; Ren, L.; Zhang, W. Anthropogenic influence on extreme Meiyu rainfall in 2020 and its future risk. Sci. China Earth Sci. 2021, 51, 1637–1649. [Google Scholar] [CrossRef]
- Hu, Y.Y.; Xu, Y.; Li, J.J.; Han, Z.Y. Evaluation on the performance of CMIP6 global climate models with different horizontal resolution in simulating the precipitation over China. Clim. Chang. Res. 2021, 17, 730–743. [Google Scholar]
- Li, X.L.; Wang, W.G.; Zhang, S.L. A Trend Analysis of Future Precipitation in the Yangtze River Basin Based on CMIP6 Multi-Model. China Rural. Water Hydropower 2022, 473, 1–7+12. [Google Scholar]
- Wu, J.; Xia, J.; Zeng, S.D.; Liu, X.; Fan, D. Evaluation of the Performance of CMIP6 Models and Future Changes Over the Yangtze River Basin. Resour. Environ. Yangze Basin 2023, 32, 137–150. [Google Scholar]
- Wang, X.; Yin, Z.; Wang, X.; Tian, P.; Huang, Y. A study on flooding scenario simulation of future extreme precipitation in Shanghai. Front. Earth Sci. 2018, 12, 834–845. [Google Scholar] [CrossRef]














| Data Types | Description |
|---|---|
| Observed rainfall data | Chinese monthly precipitation data with a 1 km grid dimension (1901–2017) from the National Tibetan Plateau Scientific Data Center. |
| Climate scenario data | The projections of EC Earth3, MPI-ESM1-2, and GFDL-ESM4 models are downloaded on top of ESGF and extracted by Matlab/python scripts. |
| The formula of rainstorm intensity and distribution coefficient of typical rainfall duration | From Regional Hydrological Manual. The distribution coefficient’s time step is 5 min. |
| Conduits | The main stormwater network covering the entire case area |
| Land use in the catchment area | Land use in each sub-catchment (mainly including buildings, green space, and roads) |
| Rainfall time series | Downscaled rainfall data extracted for the study area with a 5 min timestamp from CMIP6 projected scenario and observed daily rainfall. |
| Evaluation Factors | Models |
|---|---|
| The model prediction ability on extreme rainfall | EC-Earth3, EC-Earth3-Veg, GFDL-ESM4, GFDL-CM4, and MRI-ESM2-0 |
| The model simulation ability on future rainfall trend | MPI-ESM1-2 |
| The degree of model simulation performance improvement over CMIP5 | GFDL-ESM4 and GFDL-CM4 |
| The model adaptation to the region within China | FGOALS-g3 |
| The model resemblance to observed rainfall in China | ACCESS-CM2, IPSL-CM6A-LR, MPI-ESM1-2-LR, and MPI-ESM1-2-HR |
| Serial Number | Model | Organizations and Nations | Resolution |
|---|---|---|---|
| 1 | ACCESS-CM2 | Commonwealth Scientific and Industrial Research Organization, Canberra, Australia | 192 × 144 |
| 2 | MPI-ESM1-2-LR | Max Planck Institute for Meteorology, Hamburg, Germany | 192 × 96 |
| 3 | EC-Earth3 | EC-Earth Consortium, European Community | 512 × 256 |
| 4 | EC-Earth3-Veg | EC-Earth Consortium, European Community | 512 × 256 |
| 5 | FGOALS-g3 | Chinese Academy of Sciences, Beijing, China | 180 × 80 |
| 6 | GFDL-CM4 | National Oceanic and Atmospheric Administration, Geophysical Fluid Dynamics Laboratory, Princeton, USA | 288 × 180 |
| 7 | GFDL-ESM4 | National Oceanic and Atmospheric Administration, Geophysical Fluid Dynamics Laboratory, Princeton, USA | 288 × 180 |
| 8 | IPSL-CM6A-LR | Institute Pierre Simon Laplace, Paris, France | 144 × 143 |
| 9 | MPI-ESM1-2-HR | Max Planck Institute for Meteorology, Hamburg, Germany | 384 × 192 |
| 10 | MRI-ESM2-0 | Meteorological Research Institute, Ibaraki, Japan | 320 × 160 |
| Model Name | TS | TS Ranking | IVS | IVS Ranking | Overall Ranking |
|---|---|---|---|---|---|
| MRI-ESM2-0 | 0.387 | 9/10 | 0.584 | 10/10 | 10/10 |
| ACCESS-CM2 | 0.601 | 4/10 | 0.190 | 5/10 | 5/10 |
| EC-Earth-Veg | 0.361 | 10/10 | 0.339 | 7/10 | 9/10 |
| FGOALS-g3 | 0.560 | 5/10 | 0.019 | 3/10 | 4/10 |
| GFDL-CM4 | 0.529 | 6/10 | 0.389 | 9/10 | 7/10 |
| IPSL-CM6A-LR | 0.520 | 7/10 | 0.244 | 6/10 | 6/10 |
| MPI-ESM1-2-LR | 0.421 | 8/10 | 0.365 | 8/10 | 8/10 |
| GFDL-ESM4 | 0.641 | 3/10 | 0.003 | 1/10 | 2/10 |
| EC-Earth3 | 0.741 | 2/10 | 0.038 | 4/10 | 3/10 |
| MPI-ESM1-2-HR | 0.917 | 1/10 | 0.003 | 2/10 | 1/10 |
| Parameter Name | Physical Significance | Values |
|---|---|---|
| N-Imperv | Manning coefficient of impervious area | 0.011 |
| N-Perv | Manning coefficient of previous area | 0.23 |
| Dstore-Imperv | Depth of depression storage on impervious area/mm | 3 |
| Dstore-Perv | Depth of depression storage on previous area/mm | 4.5 |
| Decay Constant | Decay constant/1·h−1 | 5 |
| Max.Infil.Rate | Maximum infiltration rate/mm·h−1 | 85 |
| Min.Infil.Rate | Minimum infiltration rate/mm·h−1 | 20 |
| %zero-imperv | Percent of impervious area with no depression storage/% | 30 |
| Manning’s Roughness | Manning’s Roughness | 0.013 |
| Parameter Name | Sensitivity Values |
|---|---|
| N-Imperv | −0.363 |
| N-Perv | 0.322 |
| Dstore-Imperv | −3.570 |
| Dstore-Perv | 0.228 |
| Decay Constant | 0.000 |
| Max.Infil.Rate | 0.000 |
| Min.Infil.Rate | 0.000 |
| %zero-imperv | 1.286 |
| Manning’s Roughness | −1.770 |
Disclaimer/Publisher’s Note: The statements, opinions and data contained in all publications are solely those of the individual author(s) and contributor(s) and not of MDPI and/or the editor(s). MDPI and/or the editor(s) disclaim responsibility for any injury to people or property resulting from any ideas, methods, instructions or products referred to in the content. |
© 2023 by the authors. Licensee MDPI, Basel, Switzerland. This article is an open access article distributed under the terms and conditions of the Creative Commons Attribution (CC BY) license (https://creativecommons.org/licenses/by/4.0/).
Share and Cite
Wang, Y.; Zhang, Z.; Zhao, Z.; Sagris, T.; Wang, Y. Prediction of Future Urban Rainfall and Waterlogging Scenarios Based on CMIP6: A Case Study of Beijing Urban Area. Water 2023, 15, 2045. https://doi.org/10.3390/w15112045
Wang Y, Zhang Z, Zhao Z, Sagris T, Wang Y. Prediction of Future Urban Rainfall and Waterlogging Scenarios Based on CMIP6: A Case Study of Beijing Urban Area. Water. 2023; 15(11):2045. https://doi.org/10.3390/w15112045
Chicago/Turabian StyleWang, Yiwen, Zhiming Zhang, Zhiyong Zhao, Thomas Sagris, and Yang Wang. 2023. "Prediction of Future Urban Rainfall and Waterlogging Scenarios Based on CMIP6: A Case Study of Beijing Urban Area" Water 15, no. 11: 2045. https://doi.org/10.3390/w15112045
APA StyleWang, Y., Zhang, Z., Zhao, Z., Sagris, T., & Wang, Y. (2023). Prediction of Future Urban Rainfall and Waterlogging Scenarios Based on CMIP6: A Case Study of Beijing Urban Area. Water, 15(11), 2045. https://doi.org/10.3390/w15112045
