Abstract
Groundwater is the main water source for humans and plays an important role in health and food production. To understand the hydrogeochemical characteristics and quality of shallow groundwater in rural areas of Suzhou, Anhui Province, China, 32 groups of shallow groundwater samples were collected. The results of the study showed that the nature of the groundwater is slightly alkaline. The order of abundance of cations is Ca2+ > K+ + Na+ > Mg2+, whereas that of anions is HCO3− > Cl− > SO42−. The main hydrochemical types are HCO3-Ca, HCO3-Mg, and HCO3-Na. Hydrogen and oxygen isotope abundances indicated that shallow groundwater recharge in the study area is due to precipitation and is affected by evaporation. The ion ratio analysis suggested that the ions in the shallow groundwater originate from the weathering of silicate minerals and the dissolution of carbonate and sulphate minerals, accompanied by different degrees of ion exchange. Water quality evaluation indicated that the water is good and can be used directly as agricultural irrigation water.
1. Introduction
The hydrogeochemical connection between and the quality of groundwater and surface water are key issues related to the hydrologic cycle and water-resource management, which plays an important role in maintaining renewable water capacity and ecosystem stability [1]. In recent years, various methods have been used to estimate and evaluate the discharge of domestic sewage and its impact on groundwater. However, regional groundwater pollution has become a very common problem in arid–semiarid areas with the growth of population and the development of industry and agriculture [2,3,4]. The chemical composition of groundwater is the result of long-term interactions between different water bodies and the surrounding environment (e.g., climate, hydrology, topography, rocks, and human activities) during circulation at different scales [5]. As urbanization and industrialization continue to grow, the total amount of available water is decreasing [6]. Contamination of the aquatic environment through the loads produced by municipal, industrial, and agricultural activities is a topical concern globally, and surface waters are particularly vulnerable to these impacts [7,8,9,10], especially in semi-humid and arid, water-scarce areas [11,12]. Systematic research on groundwater chemistry and water quality is beneficial for grasping the chemical characteristics of groundwater with respect to the renewable character of water resources so as to manage and utilize groundwater resources scientifically as well as effectively, protecting and improving groundwater quality [13].
China is facing the same problems as the rest of the world [14]. The average multi-year water resources in North China account for only 4% of the national average, and the per capita water resources are only 1/7 of the national average [15]. At the same time, the population and arable land in Northern Anhui account for 45.4% and 50.3% of the province, respectively, while the total water resources only account for 13.7% of the province [16]. The problems of water shortage, unequal distribution of water resources, and water pollution are becoming increasingly prominent. Therefore, the scientific investigation of water resources is particularly important. Research on water-resource utilization focuses on two aspects: water quantity and water quality [17,18]. China’s use of groundwater resources is extensive, but the management base for the groundwater environment is weak. The study of the groundwater chemical types and their influencing factors as well as their analysis are important elements in the evaluation of water quality, which is significant for the development, management, and utilization of groundwater resources and environmental protection.
Suzhou is one of the most important cities in the country, where both agriculture and industry are developed. The city has a large population and an uneven distribution of water resources. Groundwater resources have become the main source of water for residential, industrial, and agricultural activities in most areas. Therefore, Suzhou provides widespread access to groundwater for our research. Additionally, support from the National Technical Center for Coal Mine Control provides essential experimental conditions and a basis for our research. Groundwater resources are also receiving increasing attention from residents as the social economy develops and people’s living standards improve. The chemical characteristics of groundwater, the source of ions in groundwater, the types and extent of water–rock interactions, and the characteristics and types of aquifer water chemistry are closely related to the regional hydrogeological environment, human activities, and climate change. The main considerations regarding the use of shallow groundwater are the source of conventional ion contents, whether the conventional ion contents exceed the standards, and whether the groundwater meets the national health standards for use.
The aim of this study was to comprehensively understand groundwater safety and provide a scientific basis for water-resource protection and management in rural areas. Shallow groundwater samples from rural areas of Suzhou City were collected for conventional ion content and water isotope analysis. Data were used for ion source analysis and water quality evaluation to understand the status of shallow groundwater quality in rural areas and determine the main factors influencing water quality.
2. Materials and Methods
2.1. Study Area
The research area is located in the rural area of Yongqiao District, Yongqiao Town and Erpu Village, Suzhou City, Anhui Province (Figure 1). The research area borders Suqian City to the east; Xuzhou City to the northeast; Bengbu City to the south; and Huaibei City, Shangqiu City, Henan Province, and Heze City, Shandong Province, to the west and northwest. The geographical coordinates are 117°3′8″–117°9′38″ E and 33°35′58″–33°45′14″ N, and the total area is ~67 km2. The area has a temperate monsoon climate, with dry and cold winters, hot summers, moderate sunshine, and four distinct seasons. According to the meteorological data for Suzhou City, the multi-year average temperature of the study area is 14.3 °C, the extreme maximum temperature is 40.3 °C, the multi-year average precipitation is 820 mm, the evaporation is 1124 mm, the average drought index is 1.37, and the overall drought status is partial [19].
Figure 1.
Regional geographic locations and distribution of sampling points. (a) China. (b) Suzhou. (c) The locations of the sampling sites.
2.2. Sample Collection and Processing
Collection of the water samples was performed in April 2022. A total of 32 sets of groundwater samples were collected in 2.5 L polyethylene bottles. Prior to sampling, the bottles were rinsed with sample water 2–3 times then filled, capped, sealed with film, and labelled. After the samples were collected, they were sent to the university laboratory on the same day, filtered with 0.45 μm filter paper within 24 h, and stored in a refrigerator. Water temperature, pH, electrical conductivity (EC), and total dissolved solids (TDS) were measured at the sampling site using portable equipment (ST20R, ST20, and ST20T-B, OHAUS, Shanghai, China). The GPS position was also logged for each sampling site. Carbonate ions (both CO32− and HCO3−) were determined by acid solution titration. Major cations (K+, Na+, Ca2+, and Mg2+) and anions (SO42− and Cl−) were determined by ion chromatography (Dionex, ICS-900, Beverly, MA, USA). Error analysis of ion measurements was carried out using the anion and cation concentration balance method, and the measurement error was within ± 10%. The hydrogen and oxygen stable isotope composition of the water (δD and δ18O) was measured by laser spectroscopy (LWIA-45EP, LGR, Los Angeles, CA, USA), with a precision of 1.0‰ and 0.2‰ for δD and δ18O, respectively. To ensure the accuracy of the results, 15% of the samples were kept as blind samples. Moreover, every analysis was carried out in triplicate. Each valid datum was the average of three test results, with a relative standard deviation below 10%. Additionally, the analytical precision of the ion content measurements was further verified by ionic balance error. The calculated ionic balance errors of the samples were all below 5%. Finally, 20% of the samples were re-measured, and the errors between two results were less than 15%.
2.3. Data Analysis Methods
Analytical processing and mathematical/statistical examination of the water chemistry data were performed using Microsoft Excel 2019. Water chemistry analysis and water quality evaluation were carried out by the integrated use of mathematical statistics and multivariate statistical analysis (involving the creation of a Piper diagram, a Gibbs diagram, a USSL diagram, and a Wilcox diagram). The Piper, Gibbs, USSL, and Wilcox plots were created with the Origin 2018 and CorelDraw 2018 software packages. Piper and Gibbs plots are useful in showing the type of groundwater chemistry and the main controlling factors. Descriptive statistics included the maximum, minimum, average, and coefficient of variation of each metal ion concentration in the groundwater so as to determine the dominant ions in the research area. Ion relationship and ratio analysis plots (Mg2+/Na+ and Ca2+/Na+ and HCO3−/Na+ and Ca2+/Na+) and δD, δ18O, and d-excess relationship plots were all created with Origin 2018 and CorelDraw 2018.
Soil adsorption ratio (abbreviated as SAR) is an important indicator used to indicate the sodium ion content in irrigation water or a soil solution and to measure the degree of soil alkalization caused by irrigation water. The higher the SAR value, the stronger the ability of soil to adsorb Na+, which will lead to the destruction of soil aggregate structure, poor permeability, and hydraulic conductivity [20]. The calculation formula is as follows:
%Na is used to represent the risk of alkali damage caused by irrigation water. The higher the value for %Na, the greater the risk of alkali damage. Assuming that groundwater with a high %Na value is used for irrigation, cation exchange may occur on the surface of the soil. As a result, Na+ is adsorbed by the soil, and Ca2+ and Mg2+ are released, which reduces the soil permeability and leads to poor drainage of the soil [21]. The calculation formula is as follows:
where the unit for all ions is meq/L.
3. Results
Descriptive Statistical Analysis
Our results are shown in Table 1. In general, the shallow groundwater in the study area was weakly alkaline, with pH values varying from 6.83 to 7.76 and an average of 7.25. The total dissolved solids (TDS) in the shallow groundwater samples had a minimum of 285 mg/L, a maximum of 943 mg/L, and an average of 531.16 mg/L. The overall water hardness was high. The hydrogen isotope (δ2H) values varied from −61.83 to −44.65‰, with a mean value of −58.78‰. The oxygen isotope (δ18O) values varied from −9.77 to −5.90‰, with a mean value of −8.51‰. Among the cations, the content of Na+ + K+ varied between 24.36 and 179.35 mg/L, with an average value of 63.37 mg/L. The Ca2+ content was higher, varying between 30.88 and 164.74 mg/L, with an average value of 80.10 mg/L, and the Mg2+ content varied between 18.12 and 172.93 mg/L, with an average value of 54.79 mg/L. Among the anions, the HCO3− content was high, varying from 124.66 to 840.35 mg/L, with an average value of 465.28 mg/L. The contents of Cl− and SO42− were relatively low, with average values of 130.11 mg/L and 55.22 mg/L, respectively. Regarding cation abundance, the order was: Ca2+ > Na+ + K+ > Mg2+; regarding anion abundance, the order was: HCO3− > Cl− > SO42−. If the groundwater recharge, runoff, burial, and discharge conditions vary, the water chemistry type will change accordingly [22]. Therefore, the classification of shallow groundwater water-chemistry types is of great importance. From our experimental data, it could be determined that the ion contents in each sample were different. The dominant ions were compared according to the magnitudes of the milligram equivalent percentages of each ion in the samples, which values were used to determine the type of water chemistry for each sample. Eventually, our research showed that the types of water chemistry in the study area were: Cl-Mg (3), HCO3-Mg (7), HCO3-Na (6), and HCO3-Ca (16) (Table 1).
Table 1.
Statistical analysis of the main ions in the shallow groundwater samples and the water chemistry types.
4. Discussion
4.1. Water Chemistry Type and Water–Rock Action Analysis
Researchers, when performing traditional water chemistry studies, are generally keen to analyze the changes in water chemistry data in specific areas under the influence of natural or anthropogenic factors and thus reveal the water chemistry characteristics under different cycles in these areas [23,24]. Piper trilinear plots are often applied to characterize regional water geochemistry [25]. A Piper trilinear diagram of the study area is shown in Figure 2. The shallow groundwater chemistry types are mainly HCO3-Ca type (~75%), Cl-Mg-Ca type (~19%), and HCO3-Na-Ca type (~6%). Combining the cation and anion triangle diagrams, it is shown that Ca2+, Mg2+, and HCO3− are the main cations and anions in shallow groundwater in the study area.
Figure 2.
Piper diagram of groundwater samples.
Gibbs diagrams allow the visualization of water chemistry and are often used to identify the main influences on river water chemistry (i.e., precipitation, rock weathering, and evaporation) [26]. Using TDS, Na+/(Na+ + Ca2+), and Cl−/(Cl− + HCO3−), a Gibbs plot of the study area (Figure 3) indicated that the hydrochemical fraction of the groundwater is mainly controlled by water–rock interaction processes, such as rock weathering, and is weakly controlled by evaporative precipitation and almost not at all by atmospheric precipitation [27]. Meanwhile, among the 32 groups of samples in Figure 3, we could also clearly find that a few sample points were located in the TDS range of 100–1000 mg/L, with values for Na+/(Na+ + Ca2+) and Cl−/(Cl− + HCO3−) above 0.5, which indicated that there were other factors, such as ion-exchange interactions and human factors, that exerted effects.
Figure 3.
Gibbs diagrams. (a) TDS versus Na+/(Na+ + Ca2+). (b) TDS versus Cl−/(Cl− + HCO3−).
Determination of the relationship between Mg2+/Na+ versus Ca2+/Na+ and HCO3−/Na+ versus Ca2+/Na+ allows researchers to investigate important source processes (e.g., carbonate and silicate weathering and evaporite dissolution). All samples in the study area fall in the silicate weathering zone (Figure 4a), indicating the major role played by silicate weathering in the hydrogeochemical processes. Furthermore, all samples in the study area fall in the evaporative dissolution zone (Figure 4b), indicating the dominance of evaporation in the research area.
Figure 4.
Normalized diagrams. (a) Mg2+/Na+ versus Ca2+/Na+. (b) HCO3−/Na+ versus Ca2+/Na+.
4.2. Ion Ratio Analysis
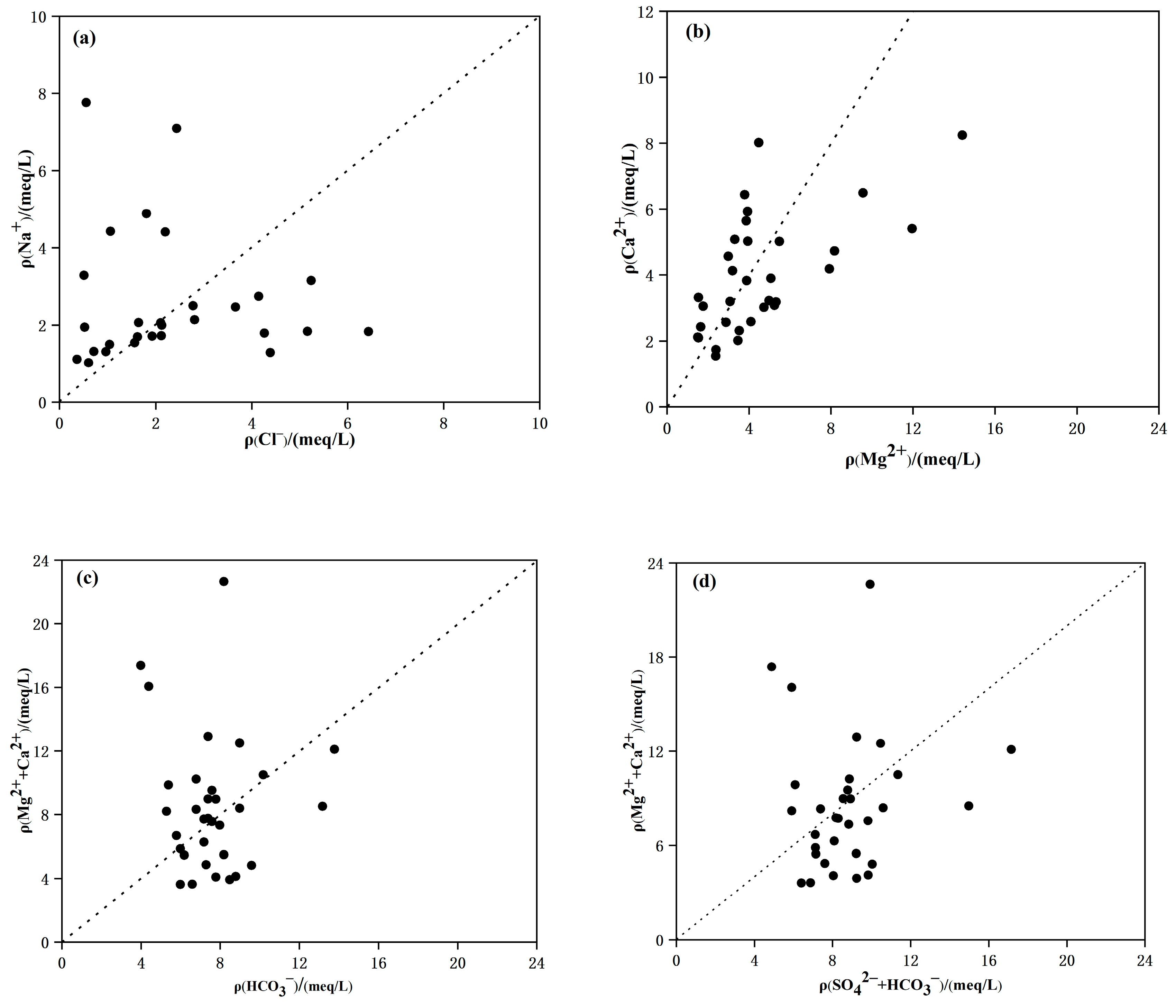
Ion ratio analysis can be used to reveal the composition of groundwater chemistry and the origin of ions [28]. The Cl− in shallow groundwater generally remains relatively stable, with the concentration (ρ) ratio of Na+ and Cl− produced by the dissolution of salt rock being 1. Therefore, ρ(Na+)/ρ(Cl−) is often used to reveal the source of Na+ in shallow groundwater. The majority of the 32 sets of water samples in the study area were close to or slightly below the ρ(Na+)/ρ(Cl−) = 1 baseline (Figure 5a), and a small number of water samples were above or below the baseline. This suggests that the Na+ in sampled water does not only originate from the dissolution of salt rocks, but also from other sources [29]. Considering the presence of more silicate minerals in the study area, one of the other sources for high-Na+ samples is likely the weathering dissolution of silicates. In contrast, some of the samples having relatively low Na+ contents may be related to the enrichment of Mg2+ and Ca2+ in the subsurface aquifers and the resulting ion exchange of Na+ with Mg2+ and Ca2+, which, in shallow groundwater, is usually associated with the dissolution of carbonates or silicates. The values for the vast majority of water samples from the study area were located on both sides of ρ(Mg2+)/ρ(Ca2+) = 1 (Figure 5b), which suggests that the Mg2+ and Ca2+ are predominately due to the dissolution of silicate and carbonate minerals.
Figure 5.
Analysis of ion ratios in the research area. (a) ρ(Na+) vs. ρ(Cl−). (b) ρ(Ca2+) vs. ρ(Mg2+). (c) ρ(Mg2+ + Ca2+) vs. ρ(HCO3−). (d) ρ(Mg2+ + Ca2+) vs. ρ(SO42− + HCO3−).
ρ(Mg2+ + Ca2+)/ρ(HCO3−) is often used to reveal the source of Mg2+ and Ca2+ in shallow groundwater. If ρ(Mg2+ + Ca2+)/ρ(HCO3−) = 1, Mg2+ and Ca2+ in groundwater originate from the dissolution of carbonate. As seen in Figure 5c, the contents of Mg2+ and Ca2+ in some water samples were less than those of HCO3−, indicating that the contents of Mg2+ and Ca2+ in shallow groundwater in the study area originate from the weathering dissolution of silicate minerals (weathering dissolution of silicates is accompanied by the production of HCO3−). There were also some water samples for which the ratio of ρ(Mg2+ + Ca2+)/ρ(HCO3−) was greater than 1, indicating that there are other sources of Mg2+ and Ca2+ in the shallow groundwater of the study area, such as the dissolution of sulphate and the occurrence of ion exchange in the groundwater.
If ρ(Mg2+ + Ca2+)/ρ(SO42− + HCO3−) = 1 in groundwater, this means that Mg2+ and Ca2+ in the study area mainly originate from the dissolution of carbonate and sulphate. As can be seen in Figure 5d, almost all water samples lie on both sides of the baseline of ρ(Mg2+ + Ca2+)/ρ(SO42− + HCO3−) = 1. Samples with a ρ(Mg2+ + Ca2+)/ρ(SO42− + HCO3−) ratio greater than 1 suggest the existence of ion exchange among Na+, Mg2+, and Ca2+. Samples with a ρ(Mg2+ + Ca2+)/ρ(SO42− + HCO3−) ratio less than 1 suggest other sources of these four ion species, such as pyrite oxidation (SO42−) and weathering dissolution of silicate minerals (HCO3−).
4.3. Hydrogeochemical Processes
To investigate the relationship between hydrogen and oxygen isotopes in shallow groundwater and atmospheric precipitation in rural areas of Suzhou, water samples collected in the study area were analyzed for hydrogen and oxygen isotope composition. δD in the shallow groundwater samples of the study area varied from −61.83 to −44.65‰, with a mean value of −58.78‰, and δ18O varied from −9.78 to −5.90‰, with a mean value of −8.51‰ (Table 2). Hydrogen and oxygen isotopes are intrinsic components and generally do not vary with water–rock interactions. Therefore, δD and δ18O are widely used as ideal indicators for tracking internal water recharge in water cycle systems. Moreover, a specific linear relationship between δD and δ18O was first proposed by Craig in 1961—δD = 8 × δ18O + 10—and is referred to as the global meteorological water line (GMWL) [30]. In general, when points plot on or near the GMWL, the water sample likely originated from atmospheric precipitation, and if the points are farther away from and below the GMWL, the water in the sample experienced evaporation. In addition, deuterium excess (d-excess), defined as δD-8 × δ18O, can reflect the degree of imbalance between regional evaporation and condensation processes. The smaller the value for d-excess, the stronger the imbalance between regional evaporation and condensation processes. If the value for d-excess is larger, the imbalance is weaker [31]. Most of the water samples plot on or near the GMWL, with some deviating from the GMWL (Figure 6a), indicating that the recharge source of shallow groundwater in the study area is mainly atmospheric precipitation with the influence of evaporation. The d-excess parameter varied between 2.52 and 16.93‰, with a mean value of 8.71‰, indicating that, in general, evaporation in the study area exceeds condensation.
Table 2.
Statistics for the characteristics of hydrogen and oxygen isotopes in the research area.
Figure 6.
δD and δ18O relationships (a) along with d-excess relationships (b) in the research area.
4.4. Water Quality Assessment
4.4.1. Water Quality for Drinking
Limits represented by the World Health Organization guidelines (WHO 1997) are used to assess the suitability of drinking water sanitation [32]. The main water quality evaluation parameters are listed in Table 3. It is clear from the above results that the types of water chemistry in the study area were: Cl-Mg, HCO3-Mg, HCO3-Na, and HCO3-Ca. The concentration levels of all major ions (Table 3) were within the maximum expected range specified by WHO (1997). Rural areas have a fabulous groundwater environment in Suzhou City associated with rigorous legislation and water-resource environmental-protection measures implemented by the local government. At the same time, the groundwater in the research area is in a rural area away from urban and industrial pollution sources, and the groundwater in this area has a high ecological and environmental purification capacity. Our comprehensive research shows that the shallow groundwater in the study area conforms to the national drinking-water sanitation standards.
Table 3.
Comparison of water quality evaluation parameters in the study area with respect to WHO guidelines (1997).
4.4.2. Irrigation-Water Quality Assessment
The degree of salinization of irrigation water in the study area was evaluated according to the criteria proposed by the U.S. Geotechnical Engineering Laboratory, based on the irrigation-water quality classification results obtained according to the U.S. Department of Agriculture (USDA) evaluation method, considering the effects of sodium adsorption ratio (SAR; alkali damage) and electrical conductivity (EC; salt damage). High Na+ concentrations in irrigation water can adversely affect the physical properties of soil, where large amounts of Na+ adsorbed onto soil particles lead to soil particle dispersion [33]. If the SAR value is less than 10, the water quality is excellent for irrigation. If the SAR is between 10 and 26, it is suitable for irrigation, and a value higher than 26 indicates that the water is not suitable for irrigation. As shown in Figure 7a, almost all the groundwater sample sites in the study area are located between the C2S1, C2S2, C3S1, and C3S2 regions, while SAR values calculated from the obtained data range from 3.44 to 27.90, with an average value of 7.94, indicating that the shallow groundwater in the study area has very good usability for irrigation.
Figure 7.
USSL (a) and Wilcox (b) diagrams for samples.
Soluble sodium percentage (SSP) determination is also a useful method for assessing irrigation suitability, and the SSP is an important indicator of sodium hazard. The higher the SSP value, the higher the risk of alkali damage. A higher sodium content may affect soil structure, reduce soil permeability, lead to soil compaction, and thus impede gas exchange between the soil and the atmosphere. A high SSP in irrigation water can reduce the permeability of the soil and lead to soil hardening. Safe water will have an SSP <60, while an SSP >60 is unsafe [34,35,36]. The groundwater samples collected in the study area were plotted in a Wilcox diagram. As shown in Figure 7b, almost all the samples were distributed in the excellent-to-good and good-to-permissible areas, and only one sample was plotted in the permissible-to-doubtful area, which indicated that the samples of water in the study area were suitable for agricultural irrigation. Regarding the results shown in the USSL diagram, the high salt and alkali contents of the water samples collected from the study area indicate that the groundwater is suitable for irrigating plants with strong salt tolerance. Reasonable irrigation will not cause harm to the soil or crops.
5. Conclusions
Based on the data obtained on water chemistry, the main hydrochemical processes and water quality of shallow groundwater in rural areas were analyzed. The test results are as follows:
- (1)
- The contents of conventional ions in the study area changed to HCO3− > Cl− > Ca2+ > K+ + Na+ > SO42− > Mg2+; cations are dominated by K+ + Na+ and Ca2+, and anions are dominated by HCO3− and Cl−. The hydrochemical types in the study area are mainly HCO3-Ca-type, HCO3-Mg-type, and HCO3-Na-type.
- (2)
- The hydrochemical fraction of shallow groundwater in the study area is mainly influenced by rock weathering and controlled by the process of water–rock interaction. Silicate weathering plays a major role in hydrogeochemical processes, while Mg2+ and Ca2+ are dominated by the dissolution of silicate minerals and carbonate minerals, where ion exchange most likely has occurred, with evaporation dominating the research area.
- (3)
- Our results for the drinking-water quality evaluation showed that the concentrations of all major ions were within the maximum expected range defined by (WHO 1997) and conformed to the national drinking-water hygiene standards. Regarding the results shown in the USSL and Wilcox diagrams, the high salt and alkali contents of the water samples collected from the study area indicate that the groundwater is suitable for irrigating plants with strong salt tolerance.
Author Contributions
Conceptualization, J.Z. and J.X. (Jiying Xu); methodology, J.Z.; software, H.Z.; validation, S.H. and Y.S.; formal analysis, J.Z. and X.W.; investigation, L.G. and Y.S.; writing—original draft preparation, L.G.; writing—review and editing, L.G.; visualization, L.W. and J.X. (Jiewei Xu); supervision, J.Z.; project administration, Y.S.; funding acquisition, J.Z. All authors have read and agreed to the published version of the manuscript.
Funding
This research was sponsored by the Center for Basic Geology, Suzhou University Scientific Center (2021XJPT55), the Youth Program of the Anhui Natural Science Foundation (2008085QD175), the Doctoral Research Initiation Fund Project of Suzhou University (2017jb01), the Student Innovation and Entrepreneurship Training Program of Suzhou University (ZCXM22-308, KYLXYBXM22-078), the Entrepreneurship Practice Project of Anhui University Students Innovation and Entrepreneurship Training Program (S202110379188), the Entrepreneurship Practice Project of National University Student Innovation and Entrepreneurship Training Program (202210379055S), the Key Scientific Research Projects of the Anhui Provincial Department of Education (KJ2021A1117), and the open research platform project of Suzhou University (2022ykf10).
Data Availability Statement
Not applicable.
Acknowledgments
We sincerely thank the National Coal Mine Water Hazard Control Engineering Research Center (Suzhou University, China) for support and assistance with the experimental conditions.
Conflicts of Interest
The authors declare no conflict of interest.
References
- Abbasnia, A.; Yousefifi, N.; Mahvi, A.H.; Nabizadeh, R.; Radfard, M.; Yousefifi, M.; Alimohammadi, M. Evaluation of groundwater quality using water quality index and its suitability for assessing water for drinking and irrigation purposes: Case study of Sistan and Baluchistan province (Iran). Hum. Ecol. Risk Assess. 2019, 25, 988–1005. [Google Scholar] [CrossRef]
- Adimalla, N.; Wu, J. Groundwater quality and associated health risks in a semi-arid region of south India: Implication to sustainable groundwater management. Hum. Ecol. Risk Assess. Int. J. 2019, 25, 191–216. [Google Scholar] [CrossRef]
- Gowing, J.; Walker, D.; Parkin, G.; Forsythe, N.; Haile, A.T.; Ayenew, D.A. Can shallow groundwater sustain small-scale irrigated agriculture in sub-Saharan Africa? Evidence from N-W Ethiopia. Groundw. Sustain. Dev. 2020, 10, 1–11. [Google Scholar] [CrossRef]
- Kalhor, K.; Ghasemizadeh, R.; Rajic, L.; Alshawabkeh, A. Assessment of groundwater quality and remediation in karst aquifers: A review. Groundw. Sustain. Dev. 2019, 8, 104–121. [Google Scholar] [CrossRef] [PubMed]
- Wang, M.P. Hydrochemical characteristics and influencing factors of shallow groundwater in siyang area, jiangsu province. Geoscience 2014, 28, 1329–1336. (In Chinese) [Google Scholar]
- Jasechko, S.; Perrone, D.; Befus, K.M.; Cardenas, M.B.; Ferguson, G.; Gleeson, T.; Luijendijk, E.; McDonnell, J.J.; Taylor, R.G.; Wada, Y.; et al. Global aquifers dominated by fossil groundwaters but wells vulnerable to modern contamination. Nat. Geosci. 2017, 10, 425–429. [Google Scholar] [CrossRef]
- Kumar, V.; Parihar, R.D.; Sharma, A.; Bakshi, P.; Sidhu, G.P.S.; Bali, A.S.; Karaouzas, I.; Bhardwaj, R.; Thukral, A.K.; Gyasi-Agyei, Y.; et al. Global evaluation of heavy metal content in surface water bodies: A meta-analysis using heavy metal pollution indices and multivariate statistical analyses. Chemosphere 2019, 236, 124364. [Google Scholar] [CrossRef]
- Kim, H.; Ko, J.; Hwang, S. Evaluation of Water Quality Variation and Sediment of a Shallow Artificial Lake (Lake llgam) in Located the Metropolitan Area. J. Ecol. Environ. 2003, 36, 161–171. [Google Scholar]
- Hong, T.T.K.; Giao, N.T. Analysis of Surface Water Quality in Upstream Province of Vietnamese Mekong Delta Using Multivariate Statistics. Water 2022, 14, 1975. [Google Scholar] [CrossRef]
- Panneerselvam, B.; Ravichandran, N.; Kaliyappan, S.P.; Karuppannan, S.; Bidorn, B. Quality and Health Risk Assessment of Groundwater for Drinking and Irrigation Purpose in Semi-Arid Region of India Using Entropy Water Quality and Statistical Techniques. Water 2023, 15, 601. [Google Scholar] [CrossRef]
- Meng, Z.; Yang, Y.; Qin, Z.; Huang, L. Evaluating Temporal and Spatial Variation in Nitrogen Sources along the Lower Reach of Fenhe River (Shanxi Province, China) Using Stable Isotope and Hydrochemical Tracers. Water 2018, 10, 231. [Google Scholar] [CrossRef]
- Torres Lopez, S.; delos Angeles Barrionuevo, M.; Rodriguez-Labajos, B. Water accounts in decision-making processes of urban water management: Benefits, limitations and implications in a real implementation. Sustain. Cities Soc. 2019, 50, 101676. [Google Scholar] [CrossRef]
- Zhang, C.Q.; Wang, X.X.; Chen, X. Chemical characteristics and water quality evaluation of groundwater on the east coast of Laizhou Bay. Environ. Prot. Circ. Econ. 2020, 40, 56–61. [Google Scholar]
- Su, C.W.; Deng, Z.B.; Li, L.P.; Wen, J.X.; Cao, Y.F. Patial pattern and convergence of the development level of China’s water ecological civilization. J. Nat. Resour. 2021, 36, 1282–1301. [Google Scholar]
- Ding, Y.Y.; Chen FLi, Y.Y.; Tang, S.N.; Yu, L.L.; Yang, Y. Compiling background and ideas of The Action Plan for Comprehensive Treatment of Groundwater Overexploitation in North China. China Water Resour. 2020, 13, 22–25. [Google Scholar]
- Liang, Z.; Huang, D.J. Development of Sustainable Utilization of Water Resources in Northern Areas of Anhui Province. J. Bengbu Coll. 2014, 3, 82–86. [Google Scholar]
- Bai, L.; Li, E.K.; Guo, X.W.; Du, K. Evaluation Method for Status and Potential of Mine Water Resources Development and Utilization. Yellow River 2021, 43, 73–78. [Google Scholar]
- Fu, G.S.; Zhou, J.N.; Li, Y.Z.; Jiang, C.J. Comprehensive water quality evaluation of typical areas in the belly of Lixia River based on entropy weight method. Water Resour. Power 2021, 39, 79–82. [Google Scholar]
- Chen, J.; Gui, H.; Li, C.; Wang, C.; Chen, C.; Jiang, Y. Hydrochemical Characteristics and Quality Assessment of Shallow Groundwater in Poultry Farming Sites in Suzhou City, China. Pol. J. Environ. Stud. 2022, 31, 4071–4084. [Google Scholar] [CrossRef]
- Yousefi, M.; Saleh, H.N.; Mohammadi, A.A.; Mahvi, A.H.; Ghadrpoori, M.; Suleimani, H. Data on water quality index for the groundwater in rural area Neyshabur County, Razavi province, Iran. Data Brief 2017, 15, 901–907. [Google Scholar] [CrossRef]
- Asghari, F.B.; Mohammadi, A.A.; Dehghani, M.H.; Yousefi, M. Data on assessment of groundwater quality with application of ArcGIS in Zanjan, Iran. Data Brief 2018, 18, 375–379. [Google Scholar] [CrossRef] [PubMed]
- Toth, J. Groundwater as a geologic agent: An overview of the causes, processes, and manifestations. Hydrogeol. J. 1999, 7, 1–14. [Google Scholar] [CrossRef]
- Dong, W.H.; Su, X.S.; Hou, G.C.; Lin, X.Y.; Liu, F.T. Distribution law of groundwater hydrochemical type in the ordos cretaceous artesi an basin. J. Jilin Univ. (Earth Sci. Ed.) 2007, 2, 288–292. [Google Scholar]
- Yousafzai, A.; Eckstein, Y.; Dahl, P.S. Hydrochemical signatures of deep groundwater circulation in a part of the Himalayan foreland basin. Environ. Earth Sci. 2010, 59, 1079–1098. [Google Scholar] [CrossRef]
- Qian, C.; Wu, X.; Mu, W.P.; Fu, R.Z. Hydrogeo-Chemical Characterization and Suitability Assessment of Ground-water in an Agro-Pastoral Area, Ordos Basin, NW China. Environ. Earth Sci. 2016, 75, 1356. [Google Scholar] [CrossRef]
- Zhang, T.; Cai, W.T.; Li, Y.Z.; Zhang, Z.Y.; Geng, T.T.; Bian, C.; Zhao, M.; Cai, Y.M. Major Ionic Features and Their Possible Controls in the Water of the Niyang River Basin. Environ. Sci. Technol. 2017, 38, 4537–4545. [Google Scholar]
- Hou, Q.Q.; Dong, S.G.; Zhang, M.W. Hydrochemical characteristics and causes of shallow groundwater in Siziwangqi, Inner Mongolia. J. Arid. Land Resour. Environ. 2020, 34, 116–121. [Google Scholar]
- Shen, Z.L.; Zhu, W.H.; Zhong, Z.S. Fundamentals of Hydrogeochemistry; Geological Publishing House: Beijing, China, 1993; pp. 94–123. [Google Scholar]
- Chen, L.W.; Xu, D.Q.; Yin, X.X.; Xie, W.P.; Zeng, W. Analysis on hydrochemistry and its control factors in the concealed coal mining area in North China: A case study of dominant inrush aquifers in Suxian mining area. J. China Coal Soc. 2017, 42, 996–1004. [Google Scholar]
- Craig, H. Isotopic Vaiations in Meteoric Waters. Science 1961, 133, 1702–1703. [Google Scholar] [CrossRef]
- Jiang, Y.Q.; Gui, H.R.; Yu, H.; Wang, M.C.; Fang, H.X.; Wang, C.L.; Chen, C.; Zhang, Y.R.; Huang, Y.H. Hydrochemical Characteristics and Water Quality Evaluation of Rivers in Northern Anhui Province, China. Water 2020, 12, 950. [Google Scholar] [CrossRef]
- Xu, J.Y.; Gui, H.R.; Chen, J.Y.; Li, C.; Li, Y.; Zhao, C.Z.; Guo, Y. Hydrochemical Process and Quality Assessment of Surface Water Around Fuli Abandoned Quarries Area, Northern Anhui Province, China. Pol. J. Environ. Stud. 2022, 31, 1–12. [Google Scholar] [CrossRef] [PubMed]
- Li, P.Y.; Li, X.Y.; Meng, X.Y. Appraising Groundwater Quality and Health Risks from Contamination in a Semiarid Region of Northwest China. Expo. Health 2016, 8, 361–379. [Google Scholar] [CrossRef]
- Eaton, F.M. Significance of carbonates in irrigation waters. Soil Sci. 1950, 69, 123–134. [Google Scholar] [CrossRef]
- Misaghi, F.; Delgosha, F.; Razzaghmanesh, M.; Myers, B. Introducing a water quality index for assessing water for irrigation purposes: A case study of the Ghezel Ozan River. Sci. Total Environ. 2017, 589, 107–116. [Google Scholar] [CrossRef]
- Masoud, A.A.; El-Horiny, M.M.; Atwia, M.G.; Gemail, K.S.; Koike, K. Assessment of groundwater and soil quality degradation using multivariate and geostatistical analyses, Dakhla Oasis, Egypt. J. Afr. Earth Sci. 2018, 142, 64–81. [Google Scholar] [CrossRef]
Disclaimer/Publisher’s Note: The statements, opinions and data contained in all publications are solely those of the individual author(s) and contributor(s) and not of MDPI and/or the editor(s). MDPI and/or the editor(s) disclaim responsibility for any injury to people or property resulting from any ideas, methods, instructions or products referred to in the content. |
© 2023 by the authors. Licensee MDPI, Basel, Switzerland. This article is an open access article distributed under the terms and conditions of the Creative Commons Attribution (CC BY) license (https://creativecommons.org/licenses/by/4.0/).






