Fish Tissue Contamination with Organic Pollutants and Heavy Metals: Link between Land Use and Ecological Health
Abstract
1. Introduction
2. Materials and Methods
2.1. Study Area
2.2. Land Use and Cover
2.3. Analysis of Water Chemistry
2.4. Assessment of Harmful Chemicals
2.5. Fish Sampling and Allotment of Tolerance and Trophic Guilds
2.6. Multimetric Fish Model: Index of Biotic Integrity (IBI)
2.7. Statistical Analysis
3. Results and Discussion
3.1. Presence of Harmful Chemical Substances in Fish Bodies
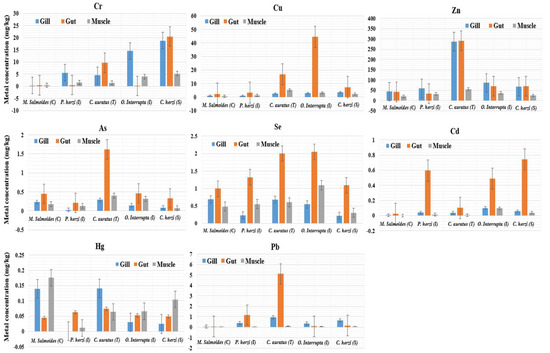
3.2. Metal and Pollutant Loads in Various Fish Species and Vital Organs
3.3. Relationships of Trophic and Tolerance Guilds with Water Quality
3.4. Assessment of Integrity Based on IBI
3.5. River Water Quality and Nutrients
3.6. Impact of Land Use Patterns on Riverine Water Quality
3.7. Empirical Links between Land Use and Riverine Pollutants
3.8. Recommendations
4. Conclusions
Supplementary Materials
Author Contributions
Funding
Data Availability Statement
Acknowledgments
Conflicts of Interest
References
- Barletta, M.; Jaureguizar, A.J.; Baigun, C.; Fontoura, N.F.; Agostinho, A.A.; Almeida-Val, V.M.F.; Val, A.L.; Torres, R.A.; Jimenes-Segura, L.F.; Giarrizzo, T.; et al. Fish and aquatic habitat conservation in South America: A continental overview with emphasis on neotropical systems. J. Fish Biol. 2010, 76, 2118–2176. [Google Scholar] [CrossRef] [PubMed]
- Hellawell, J.M. Toxic substances in rivers and streams. Environ. Pollut. 1988, 50, 61–85. [Google Scholar] [CrossRef] [PubMed]
- Yang, H.J.; Bong, K.M.; Kang, T.-W.; Hwang, S.H.; Na, E.H. Assessing heavy metals in surface sediments of the Seomjin River Basin, South Korea, by statistical and geochemical analysis. Chemosphere 2021, 284, 131400. [Google Scholar] [CrossRef] [PubMed]
- Bae, M.-J.; Park, Y.-S. Biological early warning system based on the responses of aquatic organisms to disturbances: A review. Sci. Total. Environ. 2014, 466–467, 635–649. [Google Scholar] [CrossRef] [PubMed]
- Herman, M.R.; Nejadhashemi, A.P. A review of macroinvertebrate- and fish-based stream health indices. Ecohydrol. Hydrobiol. 2015, 15, 53–67. [Google Scholar] [CrossRef]
- Ali, H.; Khan, E.; Ilahi, I. Environmental Chemistry and Ecotoxicology of Hazardous Heavy Metals: Environmental Persistence, Toxicity, and Bioaccumulation. J. Chem. 2019, 2019, 6730305. [Google Scholar] [CrossRef]
- Beketov, M.A.; Foit, K.; Schäfer, R.B.; Schriever, C.A.; Sacchi, A.; Capri, E.; Biggs, J.; Wells, C.; Liess, M. SPEAR indicates pesticide effects in streams—Comparative use of species- and family-level biomonitoring data. Environ. Pollut. 2009, 157, 1841–1848. [Google Scholar] [CrossRef]
- Brühl, C.A.; Zaller, J.G. Biodiversity Decline as a Consequence of an Inappropriate Environmental Risk Assessment of Pesticides. Front. Environ. Sci. 2019, 7, 2013–2016. [Google Scholar] [CrossRef]
- Sumudumali, R.G.I.; Jayawardana, J.M.C.K. A Review of Biological Monitoring of Aquatic Ecosystems Approaches: With Special Reference to Macroinvertebrates and Pesticide Pollution. Environ. Manag. 2021, 67, 263–276. [Google Scholar] [CrossRef]
- Pandey, L.K.; Park, J.; Son, D.H.; Kim, W.; Islam, M.S.; Choi, S.; Lee, H.; Han, T. Assessment of metal contamination in water and sediments from major rivers in South Korea from 2008 to 2015. Sci. Total. Environ. 2019, 651, 323–333. [Google Scholar] [CrossRef]
- Ahmed, A.; Sara Taha, A.; Sundas, R.Q.; Man-Qun, W. Plants: Ecological Risks and Human Health Implications. Toxics 2021, 9, 42. [Google Scholar]
- Kang, J.-H.; Lee, Y.S.; Ki, S.J.; Lee, Y.G.; Cha, S.M.; Cho, K.H.; Kim, J.H. Characteristics of wet and dry weather heavy metal discharges in the Yeongsan Watershed, Korea. Sci. Total. Environ. 2009, 407, 3482–3493. [Google Scholar] [CrossRef] [PubMed]
- Wang, L.; Lyons, J.; Kanehl, P.; Gatti, R. Influences of Watershed Land Use on Habitat Quality and Biotic Integrity in Wisconsin Streams. Fisheries 1997, 22, 6–12. [Google Scholar] [CrossRef]
- Im, J.K.; Noh, H.R.; Kang, T.; Kim, S.H. Distribution of Heavy Metals and Organic Compounds: Contamination and Associated Risk Assessment in the Han River Watershed, South Korea. Agronomy 2022, 12, 3022. [Google Scholar] [CrossRef]
- Bae, M.-J.; Li, F.; Kwon, Y.-S.; Chung, N.; Choi, H.; Hwang, S.-J.; Park, Y.-S. Concordance of diatom, macroinvertebrate and fish assemblages in streams at nested spatial scales: Implications for ecological integrity. Ecol. Indic. 2014, 47, 89–101. [Google Scholar] [CrossRef]
- Lee, J.H.; Woo, H.J.; Jeong, K.S.; Kang, J.W.; Choi, J.U.; Jeong, E.J.; Park, K.S.; Lee, N.H. Spatial distribution of polycyclic aromatic hydrocarbon and polychlorinated biphenyl sources in the Nakdong River Estuary, South Korea. J. Environ. Sci. Health Part A 2017, 52, 1173–1183. [Google Scholar] [CrossRef]
- Jargal, N.; Atique, U.; Kim, J.Y.; Mamun, M.; An, K.-G. Functional trait analysis and the multi-metric integrity model, based on stream fish indicators, and their relations to chemical water quality. Wat. Air Soil Poll. 2022, 253, 511. [Google Scholar] [CrossRef]
- Moon, W.-K.; Atique, U.; An, K.-G. Ecological risk assessments and eco-toxicity analyses using chemical, biological, physiological responses, DNA damages and gene-level biomarkers in Zebrafish (Danio rerio) in an urban stream. Chemosphere 2020, 239, 124754. [Google Scholar] [CrossRef]
- Amoatey, P.; Baawain, M.S. Effects of pollution on freshwater aquatic organisms. Water Environ. Res. 2019, 91, 1272–1287. [Google Scholar] [CrossRef]
- Grung, M.; Lin, Y.; Zhang, H.; Steen, A.O.; Huang, J.; Zhang, G.; Larssen, T. Pesticide levels and environmental risk in aquatic environments in China—A review. Environ. Int. 2015, 81, 87–97. [Google Scholar] [CrossRef]
- An, K.-G.; Choi, S.-S. An Assessment of Aquatic Ecosystem Health in a Temperate Watershed Using the Index of Biological Integrity. J. Environ. Sci. Health Part A 2003, 38, 1115–1130. [Google Scholar] [CrossRef] [PubMed]
- Atique, U.; An, K.-G. Stream Health Evaluation Using a Combined Approach of Multi-Metric Chemical Pollution and Biological Integrity Models. Water 2018, 10, 661. [Google Scholar] [CrossRef]
- Chen, H.; Burke, J.M.; Mosindy, T.; Fedorak, P.M.; Prepas, E.E. Cyanobacteria and microcystin-LR in a complex lake system representing a range in trophic status: Lake of the Woods, Ontario, Canada. J. Plankton Res. 2009, 31, 993–1008. [Google Scholar] [CrossRef]
- Atique, U.; Lim, B.; Yoon, J.; An, K.-G. Biological Health Assessments of Lotic Waters by Biotic Integrity Indices and their Relations to Water Chemistry. Water 2019, 11, 436. [Google Scholar] [CrossRef]
- Esselman, P.C.; Infante, D.M.; Wang, L.; Cooper, A.R.; Wieferich, D.; Tsang, Y.-P.; Thornbrugh, D.J.; Taylor, W.W. Regional fish community indicators of landscape disturbance to catchments of the conterminous United States. Ecol. Indic. 2013, 26, 163–173. [Google Scholar] [CrossRef]
- Cunha, D.G.F.; Benassi, S.F.; de Falco, P.B.; do Carmo Calijuri, M. Trophic State Evolution and Nutrient Trapping Capacity in a Transboundary Subtropical Reservoir: A 25-Year Study. Environ. Manag. 2016, 57, 649–659. [Google Scholar] [CrossRef]
- Walczak, M.; Reichert, M. Characteristics of selected bioaccumulative substances and their impact on fish health. J. Veter. Res. 2016, 60, 473–480. [Google Scholar] [CrossRef]
- Pacheco-Díaz, R.I.; Schmitter-Soto, J.J.; Schmook, B.; Islebe, G.A.; Weissenberger, H. Land use and biotic integrity in shallow streams of the Hondo River basin, Yucatan Peninsula, Mexico. Rev. Biol. Trop. 2017, 65, 1448. [Google Scholar] [CrossRef]
- Lai, T.M.; Shin, J.-K.; Hur, J. Estimating the Biodegradability of Treated Sewage Samples Using Synchronous Fluorescence Spectra. Sensors 2011, 11, 7382–7394. [Google Scholar] [CrossRef]
- Kim, H.G.; Hong, S. Influence of land cover, point source pollution, and granularity on the distribution of metals, metalloids, and organic matter in the river and stream sediments in the Republic of Korea. Environ. Sci. Pollut. Res. 2023; 1–12, online ahead of print. [Google Scholar] [CrossRef]
- Kim, Y.; Kim, B.-K.; Kim, K. Distribution and speciation of heavy metals and their sources in Kumho River sediment, Korea. Environ. Earth Sci. 2010, 60, 943–952. [Google Scholar] [CrossRef]
- Jayawardana, J.M.C.K.; Gunawardana, W.D.T.M.; Udayakumara, E.P.N.; Westbrooke, M. Land use impacts on river health of Uma Oya, Sri Lanka: Implications of spatial scales. Environ. Monit. Assess. 2017, 189, 192. [Google Scholar] [CrossRef] [PubMed]
- Hapeman, C.J.; Dionigi, C.P.; Zimba, P.V.; McConnell, L.L. Agrochemical and Nutrient Impacts on Estuaries and Other Aquatic Systems. J. Agric. Food Chem. 2002, 50, 4382–4384. [Google Scholar] [CrossRef]
- Loewy, R.M.; Monza, L.B.; Kirs, V.E.; Savini, M.C. Pesticide distribution in an agricultural environment in Argentina. J. Environ. Sci. Health Part B 2011, 46, 37–41. [Google Scholar] [CrossRef]
- Shin, J.-H.; Jo, D.-H.; Kim, Y. Mobility and source apportionment of As and heavy metals in the Taehwa River sediment, South Korea: Anthropogenic and seasonal effects. Environ. Earth Sci. 2021, 80, 79. [Google Scholar] [CrossRef]
- Gao, J.; Liu, L.; Liu, X.; Lu, J.; Zhou, H.; Huang, S.; Wang, Z.; Spear, P.A. Occurrence and distribution of organochlorine pesticides—Lindane, p,p′-DDT, and heptachlor epoxide—In surface water of China. Environ. Int. 2008, 34, 1097–1103. [Google Scholar] [CrossRef]
- Rasmussen, J.J.; Reiler, E.M.; Carazo, E.; Matarrita, J.; Muñoz, A.; Cedergreen, N. Influence of rice field agrochemicals on the ecological status of a tropical stream. Sci. Total. Environ. 2016, 542, 12–21. [Google Scholar] [CrossRef]
- Wang, L.; Robertson, D.M.; Garrison, P.J. Linkages Between Nutrients and Assemblages of Macroinvertebrates and Fish in Wadeable Streams: Implication to Nutrient Criteria Development. Environ. Manag. 2007, 39, 194–212. [Google Scholar] [CrossRef]
- Cui, L.; Ge, J.; Zhu, Y.; Yang, Y.; Wang, J. Concentrations, bioaccumulation, and human health risk assessment of organochlorine pesticides and heavy metals in edible fish from Wuhan, China. Environ. Sci. Pollut. Res. 2015, 22, 15866–15879. [Google Scholar] [CrossRef]
- Tóth, G.; Hermann, T.; Da Silva, M.R.; Montanarella, L. Heavy metals in agricultural soils of the European Union with implications for food safety. Environ. Int. 2016, 88, 299–309. [Google Scholar] [CrossRef]
- Strahler, A.N. Quantitative analysis of watershed geomorphology. EOS Trans. Am. Geophys. Union 1957, 38, 913–920. [Google Scholar] [CrossRef]
- Eaton, A.; Franson, M.A. Standard Methods for the Examination of Water and Wastewater; American Public Health Association: Washington, DC, USA, 2005. [Google Scholar]
- Crumpton, W.G.; Isenhart, T.M.; Mitchell, P.D. Nitrate and organic N analyses with second-derivative spectroscopy. Limnol. Oceanogr. 1992, 37, 907–913. [Google Scholar] [CrossRef]
- Prepas, E.E.; Rigler, F. Improvements in qualifying the phosphorus concentration in lake water. Can. J. Fish. Aquat. Sci. 1982, 39, 822–829. [Google Scholar] [CrossRef]
- APHA. Standard Methods for the Examination of Water and Wastewater, 21st ed.; American Public Health Association (APHA): New York, NY, USA, 2005. [Google Scholar]
- MOE. Standard Methods for the Examination of Water Quality Contamination, 7th ed.; Ministry of Environemnt (MOE): Gwacheon, Korea, 2000; p. 435. (In Korean) [Google Scholar]
- Barbour, M.T.; Faulkner, C.; Gerritsen, J. Rapid Bioassessment Protocols for Use in Streams and Wadeable Rivers: Periphyton. In Benthic Macriinvertebrates, and Fish, 2nd. ed.; EPA 841-B-99-002; EPA Office of Water: Washington, DC, USA, 1999; Volume 337. [Google Scholar]
- An, K.-G.; Kim, D.-S. Response of Reservoir Water Quality to Nutrient Inputs from Streams and In-Lake Fishfarms. Water Air Soil Pollut. 2003, 149, 27–49. [Google Scholar] [CrossRef]
- Karr, J.R. Assessment of Biotic Integrity Using Fish Communities. Fisheries 1981, 6, 21–27. [Google Scholar] [CrossRef]
- An, K.-G.; Jung, S.-H.; Choi, S.-S. An Evaluation on Health Conditions of Pyong-Chang River using the Index of Biological Integrity (IBI) and Qualitative Habitat Evaluation Index (QHEI). Korean J. Limnol. 2001, 34, 153–165. [Google Scholar]
- Atique, U.; Kwon, S.; An, K.-G. Linking weir imprints with riverine water chemistry, microhabitat alterations, fish assemblages, chlorophyll-nutrient dynamics, and ecological health assessments. Ecol. Indic. 2020, 117, 106652. [Google Scholar] [CrossRef]
- Adomako, D.; Nyarko, B.J.B.; Dampare, S.B.; Serfor-Armah, Y.; Osae, S.; Fianko, J.R.; Akaho, E.H.K. Determination of toxic elements in waters and sediments from River Subin in the Ashanti Region of Ghana. Environ. Monit. Assess. 2008, 141, 165–175. [Google Scholar] [CrossRef]
- Tang, X.-Y.; Yang, Y.; Tam, N.F.-Y.; Tao, R.; Dai, Y.-N. Pesticides in three rural rivers in Guangzhou, China: Spatiotemporal distribution and ecological risk. Environ. Sci. Pollut. Res. 2019, 26, 3569–3577. [Google Scholar] [CrossRef]
- Turgut, C. The contamination with organochlorine pesticides and heavy metals in surface water in Küçük Menderes River in Turkey, 2000–2002. Environ. Int. 2014, 29, 29–32. [Google Scholar] [CrossRef]
- Alam, M.A.; Fukumizu, K.; Wang, Y.-P. Influence function and robust variant of kernel canonical correlation analysis. Neurocomputing 2018, 304, 12–29. [Google Scholar] [CrossRef]
- Bi, B.; Liu, X.; Guo, X.; Lu, S. Occurrence and risk assessment of heavy metals in water, sediment, and fish from Dongting Lake, China. Environ. Sci. Pollut. Res. 2018, 25, 34076–34090. [Google Scholar] [CrossRef] [PubMed]
- Guo, W.; Huo, S.; Xi, B.; Zhang, J.; Wu, F. Heavy metal contamination in sediments from typical lakes in the five geographic regions of China: Distribution, bioavailability, and risk. Ecol. Eng. 2015, 81, 243–255. [Google Scholar] [CrossRef]
- Yang, X.; Lu, X. Drastic change in China’s lakes and reservoirs over the past decades. Sci. Rep. 2014, 4, srep06041. [Google Scholar] [CrossRef] [PubMed]
- Zhong, W.; Zhang, Y.; Wu, Z.; Yang, R.; Chen, X.; Yang, J.; Zhu, L. Health risk assessment of heavy metals in freshwater fish in the central and eastern North China. Ecotoxicol. Environ. Saf. 2018, 157, 343–349. [Google Scholar] [CrossRef] [PubMed]
- Santos-Francés, F.; Martínez-Graña, A.M.; Rojo, P.A.; Sánchez, A.G. Geochemical Background and Baseline Values Determination and Spatial Distribution of Heavy Metal Pollution in Soils of the Andes Mountain Range (Cajamarca-Huancavelica, Peru). Int. J. Environ. Res. Public Health 2017, 14, 859. [Google Scholar] [CrossRef] [PubMed]
- Xu, F.; Liu, Z.; Cao, Y.; Qiu, L.; Feng, J.; Xu, F.; Tian, X. Assessment of heavy metal contamination in urban river sediments in the Jiaozhou Bay catchment, Qingdao, China. Catena 2017, 150, 9–16. [Google Scholar] [CrossRef]
- Fu, Z.; Guo, W.; Dang, Z.; Hu, Q.; Wu, F.; Feng, C.; Zhao, X.; Meng, W.; Xing, B.; Giesy, J.P. Refocusing on Nonpriority Toxic Metals in the Aquatic Environment in China. Environ. Sci. Technol. 2017, 51, 3117–3118. [Google Scholar] [CrossRef]
- Kim, J.-J.; Atique, U.; An, K.-G. Long-Term Ecological Health Assessment of a Restored Urban Stream Based on Chemical Water Quality, Physical Habitat Conditions and Biological Integrity. Water 2019, 11, 114. [Google Scholar] [CrossRef]
- Barbour, M.; Gerritsen, J.; Snyder, B.D.; Stribling, J.B. Rapid Bioassessment Protocols for Use in Streams and Wadeable Rivers: Periphyton, Benthic Macroinvertebrates and Fish, 2nd ed.; EPA: Washington, DC, USA, 1991. [Google Scholar]
- USEPA. Nutrient Criteria Technical Guidance Manual: Rivers and Streams; EPA-822-B00-001; EPA: Washington, DC, USA, 2000. [Google Scholar]
- Kim, J.Y.; An, K.-G. Integrated Ecological River Health Assessments, Based on Water Chemistry, Physical Habitat Quality and Biological Integrity. Water 2015, 7, 6378–6403. [Google Scholar] [CrossRef]
- Mamun, M.; An, K.-G. Ecological health assessments of 72 streams and rivers in relation to water chemistry and land-use patterns in South Korea. Turkish J. Fish. Aquat. Sci. 2018, 18, 871–880. [Google Scholar] [CrossRef]
- An, K.-G.; Kim, D.-S.; Kong, D.S.; Kim, S.-D. Integrative Assessments of a Temperate Stream Based on a Multimetric Determination of Biological Integrity, Physical Habitat Evaluations, and Toxicity Tests. Bull. Environ. Contam. Toxicol. 2004, 73, 471–478. [Google Scholar] [CrossRef] [PubMed]
- Mamun; An, K.-G. Stream health assessment using chemical and biological multi-metric models and their relationships with fish trophic and tolerance indicators. Ecol. Indic. 2020, 111, 106055. [Google Scholar] [CrossRef]
- USEPA. National Rivers and Streams Assessment 2013–2014: A Collaborative Survey; United States Environmental Protection Agency: Washington, DC, USA, 2020. [Google Scholar]
- Atique, U.; An, K.-G. Landscape heterogeneity impacts water chemistry, nutrient regime, organic matter and chlorophyll dynamics in agricultural reservoirs. Ecol. Indic. 2020, 110, 105813. [Google Scholar] [CrossRef]
- An, K.-G.; Park, S.S. Influence of Seasonal Monsoon on the Trophic State Deviation in an Asian Reservoir. Water Air Soil Pollut. 2003, 145, 267–287. [Google Scholar] [CrossRef]
- Müller, B.; Berg, M.; Yao, Z.P.; Zhang, X.F.; Wang, D.; Pfluger, A. How polluted is the Yangtze river? Water quality downstream from the Three Gorges Dam. Sci. Total. Environ. 2008, 402, 232–247. [Google Scholar] [CrossRef]
- Gao, Q.; Li, Y.; Cheng, Q.; Yu, M.; Hu, B.; Wang, Z.; Yu, Z. Analysis and assessment of the nutrients, biochemical indexes and heavy metals in the Three Gorges Reservoir, China, from 2008 to 2013. Water Res. 2016, 92, 262–274. [Google Scholar] [CrossRef] [PubMed]
- Cheng, P.; Meng, F.; Wang, Y.; Zhang, L.; Yang, Q.; Jiang, M. The Impacts of Land Use Patterns on Water Quality in a Trans-Boundary River Basin in Northeast China Based on Eco-Functional Regionalization. Int. J. Environ. Res. Public Health 2018, 15, 1872. [Google Scholar] [CrossRef]
- He, C.; Malcolm, S.B.; Dahlberg, K.A.; Fu, B. A conceptual framework for integrating hydrological and biological indicators into watershed management. Landsc. Urban Plan. 2000, 49, 25–34. [Google Scholar] [CrossRef]
- Adeuya, R.; Utt, N.; Frankenberger, J.; Bowling, L.; Kladivko, E.; Brouder, S.; Carter, B. Impacts of drainage water management on subsurface drain flow, nitrate concentration, and nitrate loads in Indiana. J. Soil Water Conserv. 2012, 67, 474–484. [Google Scholar] [CrossRef]
- Bu, H.; Meng, W.; Zhang, Y.; Wan, J. Relationships between land use patterns and water quality in the Taizi River basin, China. Ecol. Indic. 2014, 41, 187–197. [Google Scholar] [CrossRef]
- Kelly, J.R.; Harwell, M.A. Indicators of ecosystem recovery. Environ. Manag. 1990, 14, 527–545. [Google Scholar] [CrossRef]
- Bucci, M.M.H.S.; Da Fonseca Delgado, F.E.; De Oliveira, L.F.C. Water quality and trophic state of a tropical urban reservoir for drinking water supply (Juiz de Fora, Brazil). Lake Reserv. Manag. 2015, 31, 134–144. [Google Scholar] [CrossRef]
- Wong, M.H.; Leung, A.O.W.; Chan, J.K.Y.; Choi, M.P.K. A review on the usage of POP pesticides in China, with emphasis on DDT loadings in human milk. Chemosphere 2005, 60, 740–752. [Google Scholar] [CrossRef]
- Bidleman, T.F.; Jantunen, L.M.; Harner, T.; Wiberg, K.; Wideman, J.L.; Brice, K.; Su, K.; Falconer, R.L.; Aigner, E.J.; Leone, A.D.; et al. Chiral pesticides as tracers of air–surface exchange. Environ. Pollut. 1998, 102, 43–49. [Google Scholar] [CrossRef]
- Kumarasamy, P.; Govindaraj, S.; Vignesh, S.; Rajendran, R.B.; James, R.A. Anthropogenic nexus on organochlorine pesticide pollution: A case study with Tamiraparani river basin, South India. Environ. Monit. Assess. 2012, 184, 3861–3873. [Google Scholar] [CrossRef] [PubMed]
- Tsui, T.-H.; Zhang, L.; Zhang, J.; Dai, Y.; Tong, Y.W. Engineering interface between bioenergy recovery and biogas desulfurization: Sustainability interplays of biochar application. Renew. Sustain. Energy Rev. 2022, 157, 112053. [Google Scholar] [CrossRef]
- Tsui, T.-H.; van Loosdrecht, M.C.M.; Dai, Y.; Tong, Y.W. Machine learning and circular bioeconomy: Building new resource efficiency from diverse waste streams. Bioresour. Technol. 2023, 369, 128445. [Google Scholar] [CrossRef]













| Sampling Site | Species Richness and Tolerance | Trophic Composition | Fish Abundance and Health | ||||||
|---|---|---|---|---|---|---|---|---|---|
| M1: Total Number of Native Fish Species | M2: Number of Riffle Benthic Species | M3: Number of Sensitive Species | M4: Proportion of Individuals Belonging to Tolerant Species | M5: Proportion of Individuals Belonging to Omnivorous Species | M6: Proportion of Individuals Belonging to Native Insectivorous Species | M7: Total Number of Native Individuals | M8: Percent of Individuals with Anomalies | Overall IBI Score (Health Status) | |
| S1 | 12(3) | 3(3) | 5(3) | 14.8(3) | 19.07(5) | 69.02(5) | 63(1) | 0(5) | 28 (good) |
| S2 | 10(3) | 2(1) | 3(1) | 9.17(3) | 45.14(1) | 48.63(5) | 237(3) | 0(5) | 22 (fair) |
| S3 | 15(5) | 4(3) | 7(5) | 18.79(3) | 39.19(3) | 57.95(5) | 84(1) | 0(5) | 30 (good) |
| S4 | 14(3) | 1(1) | 3(1) | 29.76(1) | 42.06(3) | 34.13(3) | 76(1) | 0(5) | 18 (poor) |
| S5 | 14(3) | 3(3) | 4(3) | 26.80(1) | 32.15(3) | 58.33(5) | 62(1) | 0(5) | 24 (fair) |
| S6 | 11(3) | 0(1) | 5(3) | 26.36(1) | 70.97(1) | 27.63(3) | 51(1) | 0(5) | 18 (poor) |
| S7 | 15(5) | 3(3) | 4(3) | 9.64(3) | 10.75(5) | 73.98(5) | 102(3) | 0(5) | 32 (good) |
| S8 | 13(3) | 1(1) | 1(1) | 32.34(1) | 21.47(3) | 69.84(5) | 57(1) | 0.05(3) | 18 (poor) |
| S9 | 10(3) | 1(1) | 1(1) | 44.33(1) | 53.22(1) | 45.00(3) | 45(1) | 0(5) | 16 (poor) |
| S10 | 5(1) | 1(1) | 1(1) | 44.82(1) | 44.99(3) | 54.32(5) | 47(1) | 0(5) | 18 (poor) |
| S11 | 5(1) | 1(1) | 1(1) | 66.28(1) | 44.82(3) | 48.11(5) | 45(1) | 0(5) | 18 (poor) |
| S12 | 10(3) | 2(1) | 0(1) | 47.61(1) | 69.47(1) | 21.44(3) | 37(1) | 0(5) | 16 (poor) |
| S13 | 10(3) | 0(1) | 0(1) | 86.05(1) | 67.27(1) | 4.65(1) | 130(1) | 0.03(3) | 12 (very poor) |
| S14 | 8(3) | 1(1) | 0(1) | 41.96(1) | 54.46(1) | 45.54(5) | 44(1) | 0(5) | 18 (poor) |
| S15 | 7(3) | 1(1) | 4(3) | 22.96(1) | 22.96(3) | 56.91(5) | 67(1) | 0(5) | 22 (Fair) |
| S16 | 15(3) | 2(1) | 2(1) | 48.71(1) | 59.03(1) | 30.97(3) | 167(3) | 0.001(3) | 16 (poor) |
| S17 | 9(3) | 0(1) | 0(1) | 100.00(1) | 100.00(1) | 0.00(1) | 46(1) | 0.001(3) | 12 (very poor) |
| S18 | 5(1) | 0(1) | 0(1) | 98.61(1) | 87.13(1) | 1.39(1) | 44(1) | 0(5) | 12 (very poor) |
| S19 | 5(1) | 2(1) | 0(1) | 77.98(1) | 66.44(1) | 19.64(1) | 17(1) | 0(5) | 12 (very poor) |
| S20 | 7(3) | 2(1) | 3(1) | 17.95(3) | 35.63(3) | 63.47(5) | 85(1) | 0(5) | 20 (fair) |
Disclaimer/Publisher’s Note: The statements, opinions and data contained in all publications are solely those of the individual author(s) and contributor(s) and not of MDPI and/or the editor(s). MDPI and/or the editor(s) disclaim responsibility for any injury to people or property resulting from any ideas, methods, instructions or products referred to in the content. |
© 2023 by the authors. Licensee MDPI, Basel, Switzerland. This article is an open access article distributed under the terms and conditions of the Creative Commons Attribution (CC BY) license (https://creativecommons.org/licenses/by/4.0/).
Share and Cite
Lee, S.-J.; Mamun, M.; Atique, U.; An, K.-G. Fish Tissue Contamination with Organic Pollutants and Heavy Metals: Link between Land Use and Ecological Health. Water 2023, 15, 1845. https://doi.org/10.3390/w15101845
Lee S-J, Mamun M, Atique U, An K-G. Fish Tissue Contamination with Organic Pollutants and Heavy Metals: Link between Land Use and Ecological Health. Water. 2023; 15(10):1845. https://doi.org/10.3390/w15101845
Chicago/Turabian StyleLee, Sang-Jae, Md Mamun, Usman Atique, and Kwang-Guk An. 2023. "Fish Tissue Contamination with Organic Pollutants and Heavy Metals: Link between Land Use and Ecological Health" Water 15, no. 10: 1845. https://doi.org/10.3390/w15101845
APA StyleLee, S.-J., Mamun, M., Atique, U., & An, K.-G. (2023). Fish Tissue Contamination with Organic Pollutants and Heavy Metals: Link between Land Use and Ecological Health. Water, 15(10), 1845. https://doi.org/10.3390/w15101845

