Fish Beta Diversity Patterns across Environmental Gradients in 63 European Shallow Lakes: Effects of Turbidity, Nutrient Enrichment, and Exotic Species
Abstract
1. Introduction
2. Materials and Methods
2.1. Study Sites, Environmental Variables, and Fish Sampling
2.2. Categorization of Lakes
2.3. Measures of Beta Diversity
2.4. Measures of Environmental Heterogeneity
2.5. Statistical Analysis
2.5.1. Categorization of Data
2.5.2. W*d-Test and Multivariate Dispersion
2.5.3. Generalized Dissimilarity Modelling (GDM)
3. Results
3.1. Environmental Gradients
3.2. Fish Communities
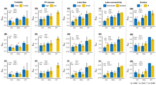
3.3. Location Effects on Beta Diversity Components
3.4. Dispersion Effects on Fish Beta Diversity Components
3.5. Contribution of Environmental Heterogeneity Components to Beta Diversity
4. Discussion
5. Conclusions
Supplementary Materials
Author Contributions
Funding
Data Availability Statement
Acknowledgments
Conflicts of Interest
References
- Fischer, A.G. Latitudinal variations in organic diversity. Evolution 1960, 14, 64–81. [Google Scholar] [CrossRef]
- Gaston, K.J. Global patterns in biodiversity. Nature 2000, 405, 220–227. [Google Scholar] [CrossRef] [PubMed]
- Hillebrand, H. On the generality of the latitudinal diversity gradient. Am. Nat. 2004, 163, 192–211. [Google Scholar] [CrossRef] [PubMed]
- Svenning, J.-C.; Skov, F. Ice age legacies in the geographical distribution of tree species richness in Europe. Glob. Ecol. Biogeogr. 2007, 16, 234–245. [Google Scholar] [CrossRef]
- Schemske, D.W.; Mittelbach, G.G.; Cornell, H.V.; Sobel, J.M.; Roy, K. Is There a Latitudinal Gradient in the Importance of Biotic Interactions? Annu. Rev. Ecol. Evol. Syst. 2009, 40, 245–269. [Google Scholar] [CrossRef]
- Crame, J.A. Evolution of taxonomic diversity gradients in the marine realm: A comparison of Late Jurassic and Recent bivalve faunas. Paleobiology 2002, 28, 184–207. [Google Scholar] [CrossRef]
- Jablonski, D.; Roy, K.; Valentine, J.W. Out of the tropics: Evolutionary dynamics of the latitudinal diversity gradient. Science 2006, 314, 102–106. [Google Scholar] [CrossRef] [PubMed]
- Socolar, J.B.; Gilroy, J.J.; Kunin, W.E.; Edwards, D.P. How Should Beta-Diversity Inform Biodiversity Conservation? Trends Ecol. Evol. 2016, 31, 67–80. [Google Scholar] [CrossRef]
- Trochine, C.; Brucet, S.; Argillier, C.; Arranz, I.; Beklioglu, M.; Benejam, L.; Ferreira, T.; Hesthagen, T.; Holmgren, K.; Jeppesen, E.; et al. Non-native Fish Occurrence and Biomass in 1943 Western Palearctic Lakes and Reservoirs and their Abiotic and Biotic Correlates. Ecosystems 2018, 21, 395–409. [Google Scholar] [CrossRef]
- Qian, H.; Ricklefs, R.E. A latitudinal gradient in large-scale beta diversity for vascular plants in North America. Ecol. Lett. 2007, 10, 737–744. [Google Scholar] [CrossRef]
- Qian, H.; Badgley, C.; Fox, D.L. The latitudinal gradient of beta diversity in relation to climate and topography for mammals in North America. Glob. Ecol. Biogeogr. 2009, 18, 111–122. [Google Scholar] [CrossRef]
- Kraft, N.J.B.; Comita, L.S.; Chase, J.M.; Sanders, N.J.; Swenson, N.G.; Crist, T.O.; Stegen, J.C.; Vellend, M.; Boyle, B.; Anderson, M.J.; et al. Disentangling the Drivers of beta Diversity Along Latitudinal and Elevational Gradients. Science 2011, 333, 1755–1758. [Google Scholar] [CrossRef] [PubMed]
- Leprieur, F.; Tedesco, P.A.; Hugueny, B.; Beauchard, O.; Durr, H.H.; Brosse, S.; Oberdorff, T. Partitioning global patterns of freshwater fish beta diversity reveals contrasting signatures of past climate changes. Ecol. Lett. 2011, 14, 325–334. [Google Scholar] [CrossRef] [PubMed]
- Legendre, P.; Borcard, D.; Peres-Neto, P.R. Analyzing beta diversity: Partitioning the spatial variation of community composition data. Ecol. Monogr. 2005, 75, 435–450. [Google Scholar] [CrossRef]
- Gaston, K.J.; Davies, R.G.; Orme, C.D.L.; Olson, V.A.; Thomas, G.H.; Ding, T.-S.; Rasmussen, P.C.; Lennon, J.J.; Bennett, P.M.; Owens, I.P.F.; et al. Spatial turnover in the global avifauna. Proc. R. Soc. B Biol. Sci. 2007, 274, 1567–1574. [Google Scholar] [CrossRef]
- Buckley, L.B.; Jetz, W. Environmental and historical constraints on global patterns of amphibian richness. Proc. R. Soc. B Biol. Sci. 2007, 274, 1167–1173. [Google Scholar] [CrossRef] [PubMed]
- Anderson, M.J.; Crist, T.O.; Chase, J.M.; Vellend, M.; Inouye, B.D.; Freestone, A.L.; Sanders, N.J.; Cornell, H.V.; Comita, L.S.; Davies, K.F.; et al. Navigating the multiple meanings of beta diversity: A roadmap for the practicing ecologist. Ecol. Lett. 2011, 14, 19–28. [Google Scholar] [CrossRef] [PubMed]
- Rodriguez, P.; Arita, H.T. Beta diversity and latitude in North American mammals: Testing the hypothesis of covariation. Ecography 2004, 27, 547–556. [Google Scholar] [CrossRef]
- Soininen, J.; Lennon, J.J.; Hillebrand, H. A multivariate analysis of beta diversity across organisms and environment. Ecology 2007, 88, 2830–2838. [Google Scholar] [CrossRef]
- Vellend, M. Conceptual synthesis in community ecology. Q. Rev. Biol. 2010, 85, 183–206. [Google Scholar] [CrossRef]
- Leprieur, F.; Olden, J.D.; Lek, S.; Brosse, S. Contrasting patterns and mechanisms of spatial turnover for native and exotic freshwater fish in Europe. J. Biogeogr. 2009, 36, 1899–1912. [Google Scholar] [CrossRef]
- Griffiths, D. Connectivity and vagility determine beta diversity and nestedness in North American and European freshwater fish. J. Biogeogr. 2017, 44, 1723–1733. [Google Scholar] [CrossRef]
- Brucet, S.; Pédron, S.P.; Mehner, T.; Lauridsen, T.L.; Argillier, C.; Winfield, I.J.; Volta, P.; Emmrich, M.; Hesthagen, T.; Holmgren, K.; et al. Fish diversity in European lakes: Geographical factors dominate over anthropogenic pressures. Freshw. Biol. 2013, 58, 1779–1793. [Google Scholar] [CrossRef]
- Werner, E.E.; Hall, D.J. Ontogenetic habitat shifts in bluegill—The foraging rate predation risk trade-off. Ecology 1988, 69, 1352–1366. [Google Scholar] [CrossRef]
- Gliwicz, Z.M.; Jachner, A. Diel migrations of juvenile fish—A ghost of predation past or present. Arch. Hydrobiol. 1992, 124, 385–410. [Google Scholar] [CrossRef]
- Bean, C.W.; Winfield, I.J. Habitat use and activity patterns of roach (Rutilus rutilus (L.)), rudd (Scardinius erythrophthalmus (L.)), perch (Perca fluviatilis L.) and pike (Esox lucius) in the laboratory: The role of predation threat and structural complexity. Ecol. Freshw. Fish 1995, 4, 37–46. [Google Scholar] [CrossRef]
- Jackson, D.A.; Peres-Neto, P.R.; Olden, J.D. What controls who is where in freshwater fish communities—The roles of biotic, abiotic, and spatial factors. Can. J. Fish. Aquat. Sci. 2001, 58, 157–170. [Google Scholar]
- Jepsen, N.; Berg, S. The use of winter refuges by roach tagged with miniature radio transmitters. Hydrobiologia 2002, 483, 167–173. [Google Scholar] [CrossRef]
- Lewin, W.C.; Okun, N.; Mehner, T. Determinants of the distribution of juvenile fish in the littoral area of a shallow lake. Freshw. Biol. 2004, 49, 410–424. [Google Scholar] [CrossRef]
- Jeppesen, E.; Mehner, T.; Winfield, I.J.; Kangur, K.; Sarvala, J.; Gerdeaux, D.; Rask, M.; Malmquist, H.J.; Holmgren, K.; Volta, P.; et al. Impacts of climate warming on the long-term dynamics of key fish species in 24 European lakes. Hydrobiologia 2012, 694, 1–39. [Google Scholar] [CrossRef]
- Lund, S.S.; Landkildehus, F.; Sondergaard, M.; Lauridsen, T.L.; Egemose, S.; Jensen, H.S.; Andersen, F.O.; Johansson, L.S.; Ventura, M.; Jeppesen, E. Rapid changes in fish community structure and habitat distribution following the precipitation of lake phosphorus with aluminium. Freshw. Biol. 2010, 55, 1036–1049. [Google Scholar] [CrossRef]
- Zymaroieva, A.; Bondarev, D.; Kunakh, O.; Svenning, J.-C.; Zhukov, O. Which Fish Benefit from the Combined Influence of Eutrophication and Warming in the Dnipro River (Ukraine)? Fishes 2022, 8, 14. [Google Scholar] [CrossRef]
- Jeppesen, E.; Jensen, J.P.; Sondergaard, M.; Lauridsen, T.; Pedersen, L.J.; Jensen, L. Top-down control in freshwater lakes: The role of nutrient state, submerged macrophytes and water depth. Hydrobiologia 1997, 342, 151–164. [Google Scholar] [CrossRef]
- Burks, R.L.; Lodge, D.M.; Jeppesen, E.; Lauridsen, T.L. Diel horizontal migration of zooplankton: Costs and benefits of inhabiting the littoral. Freshw. Biol. 2002, 47, 343–365. [Google Scholar] [CrossRef]
- Persson, L.; Eklov, P. Prey refuges affecting interactions between piscivorous perch and juvenile perch and roach. Ecology 1995, 76, 70–81. [Google Scholar] [CrossRef]
- Declerck, S.; Vandekerkhove, J.; Johansson, L.; Muylaert, K.; Conde-Porcuna, J.M.; Van der Gucht, K.; Perez-Martinez, C.; Lauridsen, T.; Schwenk, K.; Zwart, G.; et al. Multi-group biodiversity in shallow lakes along gradients of phosphorus and water plant cover. Ecology 2005, 86, 1905–1915. [Google Scholar] [CrossRef]
- Canfield, D.E.; Shireman, J.V.; Colle, D.E.; Haller, W.T.; Watkins, C.E.; Maceina, M.J. Prediction of chlorophyll a concentrations in florida lakes—Importance of aquatic macrophytes. Can. J. Fish. Aquat. Sci. 1984, 41, 497–501. [Google Scholar] [CrossRef]
- Scheffer, M.; Rinaldi, S.; Gragnani, A.; Mur, L.R.; vanNes, E.H. On the dominance of filamentous cyanobacteria in shallow, turbid lakes. Ecology 1997, 78, 272–282. [Google Scholar] [CrossRef]
- Scheffer, M.; Hosper, S.H.; Meijer, M.L.; Moss, B.; Jeppesen, E. Alternative equilibria in shallow lakes. Trends Ecol. Evol. 1993, 8, 275–279. [Google Scholar] [CrossRef]
- Nolby, L.E.; Zimmer, K.D.; Hanson, M.A.; Herwig, B.R. Is the island biogeography model a poor predictor of biodiversity patterns in shallow lakes? Freshw. Biol. 2015, 60, 870–880. [Google Scholar] [CrossRef]
- Carpenter, S.R.; Stanley, E.H.; Vander Zanden, M.J. State of the World’s Freshwater Ecosystems: Physical, Chemical, and Biological Changes. Annu. Rev. Environ. Resour. 2011, 36, 75–99. [Google Scholar] [CrossRef]
- Simberloff, D. How common are invasion-induced ecosystem impacts? Biol. Invasions 2011, 13, 1255–1268. [Google Scholar] [CrossRef]
- De Meester, L.; Declerck, S.; Janse, J.H.; Dagevos, J.J.; Portielje, R.; Lammens, E.; Jeppesen, E.; Lauridsen, T.; Schwenk, K.; Muylaert, K.; et al. Biodiversity in European shallow lakes: A multilevel-multifactorial field study. Wetl. Funct. Biodivers. Conserv. Restor. 2006, 191, 149–167. [Google Scholar]
- Fick, S.E.; Hijmans, R.J. WorldClim 2: New 1-km spatial resolution climate surfaces for global land areas. Int. J. Climatol. 2017, 37, 4302–4315. [Google Scholar] [CrossRef]
- Dunn, O. Multiple comparisons using rank sums. Technometrics 1964, 6, 241–252. [Google Scholar] [CrossRef]
- Benjamini, Y.; Hochberg, Y. Controlling false discovery rate: A practical and powerful approach to multiple testing. J. R. Stat. Soc. Ser. B 1995, 57, 289–300. [Google Scholar] [CrossRef]
- Dinno, A. Dunn.Test: Dunn’s Test of Multiple Comparisons Using Rank Sums; R Package Version 1.3.5; R Foundation for Statistical Computing: Vienna, Austria, 2017. [Google Scholar]
- Baselga, A. Partitioning the turnover and nestedness components of beta diversity. Glob. Ecol. Biogeogr. 2010, 19, 134–143. [Google Scholar] [CrossRef]
- Anderson, M.J.; Ellingsen, K.E.; McArdle, B.H. Multivariate dispersion as a measure of beta diversity. Ecol. Lett. 2006, 9, 683–693. [Google Scholar] [CrossRef]
- Warton, D.I.; Wright, S.T.; Wang, Y. Distance-based multivariate analyses confound location and dispersion effects. Methods Ecol. Evol. 2012, 3, 89–101. [Google Scholar] [CrossRef]
- Hamidi, B.; Wallace, K.; Vasu, C.; Alekseyenko, A.V. W*d-test: Multivariate analysis of variance. Microbiome 2019, 7, 51. [Google Scholar] [CrossRef]
- Anderson, M.J. Distance-based tests for homogeneity of multivariate dispersions. Biometrics 2006, 62, 245–253. [Google Scholar] [CrossRef]
- Oksanen, J.; Blanchet, F.G.; Michael, F.; Roeland, K.; Legendre, P.; McGlinn, D.; Minchin, P.R.; O’Hara, R.B.; Simpson, G.L.; Solymos, P.; et al. vegan: Community Ecology Package; R Package Version 2.4-4; R Foundation for Statistical Computing: Vienna, Austria, 2019. [Google Scholar]
- Fitzpatrick, M.C.; Mokany, K.; Manion, G.; Lisk, M.; Ferrier, S.; Nieto-Lugilde, D. gdm: Generalized Dissimilarity Modeling; R Package Version 1.4; R Foundation for Statistical Computing: Vienna, Austria, 2020. [Google Scholar]
- Mokany, K.; Ware, C.; Woolley, S.N.C.; Ferrier, S.; Fitzpatrick, M.C. A working guide to harnessing generalized dissimilarity modelling for biodiversity analysis and conservation assessment. Glob. Ecol. Biogeogr. 2022, 31, 802–821. [Google Scholar] [CrossRef]
- Fitzpatrick, M.C.; Sanders, N.J.; Ferrier, S.; Longino, J.T.; Weiser, M.D.; Dunn, R. Forecasting the future of biodiversity: A test of single- and multi-species models for ants in North America. Ecography 2011, 34, 836–847. [Google Scholar] [CrossRef]
- Wickham, H. ggplot2: Elegant Graphics for Data Analysis; Springer: New York, NY, USA, 2009. [Google Scholar]
- R Core Team. R: A Language and Environment for Statistical Computing; R Foundation for Statistical Computing: Vienna, Austria, 2022. [Google Scholar]
- Nogueira, C.; Buckup, P.A.; Menezes, N.A.; Oyakawa, O.T.; Kasecker, T.P.; Neto, M.B.R.; da Silva, J.M.C. Restricted-range fishes and the conservation of Brazilian freshwaters. PLoS ONE 2010, 5, e11390. [Google Scholar] [CrossRef] [PubMed]
- Willig, M.R.; Kaufman, D.M.; Stevens, R.D. Latitudinal gradients of biodiversity: Pattern, process, scale, and synthesis. Annu. Rev. Ecol. Evol. Syst. 2003, 34, 273–309. [Google Scholar] [CrossRef]
- Jeppesen, E.; Meerhoff, M.; Holmgren, K.; Gonzalez-Bergonzoni, I.; Teixeira-de Mello, F.; Declerck, S.A.J.; De Meester, L.; Sondergaard, M.; Lauridsen, T.L.; Bjerring, R.; et al. Impacts of climate warming on lake fish community structure and potential effects on ecosystem function. Hydrobiologia 2010, 646, 73–90. [Google Scholar] [CrossRef]
- Hawkins, B.A.; Field, R.; Cornell, H.V.; Currie, D.J.; Guegan, J.F.; Kaufman, D.M.; Kerr, J.T.; Mittelbach, G.G.; Oberdorff, T.; O’Brien, E.M.; et al. Energy, water, and broad-scale geographic patterns of species richness. Ecology 2003, 84, 3105–3117. [Google Scholar] [CrossRef]
- Griffiths, D. Pattern and process in the ecological biogeography of European freshwater fish. J. Anim. Ecol. 2006, 75, 734–751. [Google Scholar] [CrossRef] [PubMed]
- Paneque Salgado, P.; Vargas Molina, J. Drought, social agents and the construction of discourse in Andalusia. Environ. Hazards 2015, 14, 224–235. [Google Scholar] [CrossRef]
- Cresswell-Clay, N.; Ummenhofer, C.C.; Thatcher, D.L.; Wanamaker, A.D.; Denniston, R.F.; Asmerom, Y.; Polyak, V.J. Twentieth-century Azores High expansion unprecedented in the past 1200 years. Nat. Geosci. 2022, 15, 548–553. [Google Scholar] [CrossRef]
- Cardoso, M.M.L.; Sousa, W.; Brasil, J.; Costa, M.R.A.; Becker, V.; Attayde, J.L.; Menezes, R.F. Prolonged drought increases environmental heterogeneity and plankton dissimilarity between and within two semiarid shallow lakes over time. Hydrobiologia 2022, 849, 3995–4014. [Google Scholar] [CrossRef]
- Bozelli, R.L.; Thomaz, S.M.; Padial, A.A.; Lopes, P.M.; Bini, L.M. Floods decrease zooplankton beta diversity and environmental heterogeneity in an Amazonian floodplain system. Hydrobiologia 2015, 753, 233–241. [Google Scholar] [CrossRef]
- Brasil, J.; Santos, J.B.O.; Sousa, W.; Menezes, R.F.; Huszar, V.L.M.; Attayde, J.L. Rainfall leads to habitat homogenization and facilitates plankton dispersal in tropical semiarid lakes. Aquat. Ecol. 2020, 54, 225–241. [Google Scholar] [CrossRef]
- Loreau, M. Biodiversity and ecosystem functioning: Recent theoretical advances. Oikos 2000, 91, 3–17. [Google Scholar] [CrossRef]
- Williams, S.E.; Marsh, H.; Winter, J. Spatial scale, species diversity, and habitat structure: Small mammals in Australian tropical rain forest. Ecology 2002, 83, 1317–1329. [Google Scholar] [CrossRef]
- Tews, J.; Brose, U.; Grimm, V.; Tielborger, K.; Wichmann, M.C.; Schwager, M.; Jeltsch, F. Animal species diversity driven by habitat heterogeneity/diversity: The importance of keystone structures. J. Biogeogr. 2004, 31, 79–92. [Google Scholar] [CrossRef]
- Hewitt, J.E.; Thrush, S.E.; Halliday, J.; Duffy, C. The importance of small-scale habitat structure for maintaining beta diversity. Ecology 2005, 86, 1619–1626. [Google Scholar] [CrossRef]
- Lotze, H.K.; Reise, K.; Worm, B.; van Beusekom, J.; Busch, M.; Ehlers, A.; Heinrich, D.; Hoffmann, R.C.; Holm, P.; Jensen, C.; et al. Human transformations of the Wadden Sea ecosystem through time: A synthesis. Helgol. Mar. Res. 2005, 59, 84–95. [Google Scholar] [CrossRef]
- Balata, D.; Piazzi, L.; Benedetti-Cecchi, L. Sediment disturbance and loss of beta diversity on subtidal rocky reefs. Ecology 2007, 88, 2455–2461. [Google Scholar] [CrossRef]
- Thrush, S.F.; Hewitt, J.E.; Cummings, V.J.; Norkko, A.; Chiantore, M. β-diversity and species accumulation in Antarctic coastal benthos: Influence of habitat, distance and productivity on ecological connectivity. PLoS ONE 2010, 5, e11899. [Google Scholar] [CrossRef]
- Declerck, S.A.J.; Coronel, J.S.; Legendre, P.; Brendonck, L. Scale dependency of processes structuring metacommunities of cladocerans in temporary pools of High-Andes wetlands. Ecography 2011, 34, 296–305. [Google Scholar] [CrossRef]
- Stein, A.; Gerstner, K.; Kreft, H. Environmental heterogeneity as a universal driver of species richness across taxa, biomes and spatial scales. Ecol. Lett. 2014, 17, 866–880. [Google Scholar] [CrossRef] [PubMed]
- Passy, S.I.; Blanchet, F.G. Algal communities in human-impacted stream ecosystems suffer beta-diversity decline. Divers. Distrib. 2007, 13, 670–679. [Google Scholar] [CrossRef]
- Leibold, M.A.; Holyoak, M.; Mouquet, N.; Amarasekare, P.; Chase, J.M.; Hoopes, M.F.; Holt, R.D.; Shurin, J.B.; Law, R.; Tilman, D.; et al. The metacommunity concept: A framework for multi-scale community ecology. Ecol. Lett. 2004, 7, 601–613. [Google Scholar] [CrossRef]
- Baselga, A.; Leprieur, F. Comparing methods to separate components of beta diversity. Methods Ecol. Evol. 2015, 6, 1069–1079. [Google Scholar] [CrossRef]
- Menezes, R.F.; Borchsenius, F.; Svenning, J.-C.; Davidson, T.A.; Søndergaard, M.; Lauridsen, T.L.; Landkildehus, F.; Jeppesen, E. Homogenization of fish assemblages in different lake depth strata at local and regional scales. Freshw. Biol. 2015, 60, 745–757. [Google Scholar] [CrossRef]
- MacArthur, R.H.; Wilson, E.O. The Theory of Island Biogeography; Princeton University Press: Princeton, NJ, USA, 1967. [Google Scholar]
- Bertness, M.D.; Ewanchuk, P.J.; Silliman, B.R. Anthropogenic modification of New England salt marsh landscapes. Proc. Natl. Acad. Sci. USA 2002, 99, 1395–1398. [Google Scholar] [CrossRef]
- Stevens, C.J.; Dise, N.B.; Mountford, J.O.; Gowing, D.J. Impact of nitrogen deposition on the species richness of grasslands. Science 2004, 303, 1876–1879. [Google Scholar] [CrossRef]
- Donohue, I.; Jackson, A.L.; Pusch, M.T.; Irvine, K. Nutrient enrichment homogenizes lake benthic assemblages at local and regional scales. Ecology 2009, 90, 3470–3477. [Google Scholar] [CrossRef]
- De Schrijver, A.; De Frenne, P.; Ampoorter, E.; Van Nevel, L.; Demey, A.; Wuyts, K.; Verheyen, K. Cumulative nitrogen input drives species loss in terrestrial ecosystems. Glob. Ecol. Biogeogr. 2011, 20, 803–816. [Google Scholar] [CrossRef]
- Wengrat, S.; Padial, A.A.; Jeppesen, E.; Davidson, T.A.; Bicudo, D.C.; Costa-bo, L.F.S. Paleolimnological records reveal biotic homogenization driven by eutrophication in tropical reservoirs. J. Paleolimnol. 2018, 60, 299–309. [Google Scholar] [CrossRef]
- Thompson, P.L.; Rayfield, B.; Gonzalez, A. Loss of habitat and connectivity erodes species diversity, ecosystem functioning, and stability in metacommunity networks. Ecography 2017, 40, 98–108. [Google Scholar] [CrossRef]
- King, K.B.S.; Bremigan, M.T.; Infante, D.; Cheruvelil, K.S. Surface water connectivity affects lake and stream fish species richness and composition. Can. J. Fish. Aquat. Sci. 2021, 78, 433–443. [Google Scholar] [CrossRef]
- Penha, J.; Landeiro, V.L.; Ortega, J.C.G.; Mateus, L. Interchange between flooding and drying, and spatial connectivity control the fish metacommunity structure in lakes of the Pantanal wetland. Hydrobiologia 2017, 797, 115–126. [Google Scholar] [CrossRef]
- Araújo, C.V.M.; Silva, D.C.V.R.; Gomes, L.E.T.; Acayaba, R.D.; Montagner, C.C.; Moreira-Santos, M.; Ribeiro, R.; Pompêo, M.L.M. Habitat fragmentation caused by contaminants: Atrazine as a chemical barrier isolating fish populations. Chemosphere 2018, 193, 24–31. [Google Scholar] [CrossRef]
- Shurin, J.B.; Allen, E.G. Effects of competition, predation, and dispersal on species richness at local and regional scales. Am. Nat. 2001, 158, 624–637. [Google Scholar] [CrossRef] [PubMed]
- Pysek, P.; Hulme, P.E.; Simberloff, D.; Bacher, S.; Blackburn, T.M.; Carlton, J.T.; Dawson, W.; Essl, F. Scientists’ warning on invasive alien species. Biol. Rev. 2020, 95, 1511–1534. [Google Scholar] [CrossRef] [PubMed]
- Baiser, B.; Olden, J.D.; Record, S.; Lockwood, J.L.; McKinney, M.L. Pattern and process of biotic homogenization in the New Pangaea. Proc. R. Soc. Lond. Ser. B Biol. Sci. 2012, 279, 4772–4777. [Google Scholar] [CrossRef]
- Pool, T.K.; Olden, J.D. Taxonomic and functional homogenization of an endemic desert fish fauna. Divers. Distrib. 2012, 18, 366–376. [Google Scholar] [CrossRef]
- Menezes, R.F.; Attayde, J.L.; Lacerot, G.; Kosten, S.; Coimbra e Souza, L.; Costa, L.S.; van Nes, E.H.; Jeppesen, E. Lower biodiversity of native fish but only marginally altered plankton biomass in tropical lakes hosting introduced piscivorous Cichla cf. ocellaris. Biol. Invasions 2012, 14, 1353–1363. [Google Scholar] [CrossRef]
- Zaret, T.M.; Paine, R.T. Species introduction in a tropical lake. Science 1973, 182, 449–455. [Google Scholar] [CrossRef] [PubMed]
- Rahel, F.J. Homogenization of fish faunas across the United States. Science 2000, 288, 854–856. [Google Scholar] [CrossRef]
- Rahel, F.J. Homogenization of freshwater faunas. Annu. Rev. Ecol. Syst. 2002, 33, 291–315. [Google Scholar] [CrossRef]
- Brito, M.F.G.; Daga, V.S.; Vitule, J.R.S. Fisheries and biotic homogenization of freshwater fish in the Brazilian semiarid region. Hydrobiologia 2020, 847, 3877–3895. [Google Scholar] [CrossRef]
- Gavioli, A.; Milardi, M.; Soininen, J.; Castaldelli, G.; Anna, E. Diversity patterns of native and exotic fish species suggest homogenization processes, but partly fail to highlight extinction threats. Divers. Distrib. 2019, 25, 983–994. [Google Scholar] [CrossRef]
- Moi, D.A.; Alves, D.C.; Figueiredo, B.R.S.; Antiqueira, P.A.P.; Teixeira de Mello, F.; Jeppesen, E.; Romero, G.Q.; Mormul, R.P.; Bonecker, C.C. Non-native fishes homogenize native fish communities and reduce ecosystem multifunctionality in tropical lakes over 16 years. Sci. Total Environ. 2021, 769, 144524. [Google Scholar] [CrossRef]
- Blanc, M.J.-L.; Gaudet, P.; Banarescu, J.-C.H. European Inland Water fish. A Multilingual Catalogue; Fishing News (Books) Ltd.: London, UK, 1971. [Google Scholar]
- Doadrio, I.; Elvira, B.; Bernat, Y. Cyprinidae. In Peces continentales españoles: Inventario y clasificación de zonas fluviales; Coleccion, T., Doadrio, Y., Elvira, I., Bernat, B., Eds.; ICONA: Madrid, Spain, 1991; pp. 31–79. [Google Scholar]
- Kottelat, M.J.F. Handbook of European Freshwater Fishes; Publications Kottelat, Cornol and Freyhof: Berlin, Germany, 2007. [Google Scholar]
- Page, L.M.; Burr, B. A Field Guide to Freshwater Fishes of North America north of Mexico; Houghton Mifflin Harcourt: Boston, MA, USA, 2011. [Google Scholar]
- Verreycken, H.; Anseeuw, D.; Van Thuyne, G.; Quataert, P.; Belpaire, C. The non-indigenous freshwater fishes of Flanders (Belgium): Review, status and trends over the last decade. J. Fish Biol. 2007, 71, 160–172. [Google Scholar] [CrossRef]
- Welcomme, R.L. International Introductions of Inland Aquatic Species; FAO—Food and Agriculture Organisation of the United Nations: Rome, Italy, 1988. [Google Scholar]






| β-Diversity Components | GD | EHlim | EHphy | EHres | EHclim |
|---|---|---|---|---|---|
| βbray | |||||
| Turbid | 13.11 | - | - | 0.94 | 16.13 |
| Clear | 2.47 | - | - | 1.06 | 3.38 |
| High TP | - | - | - | - | - |
| Low TP | 6.78 | 3.32 | - | - | 5.93 |
| Large lakes | 6.91 | - | - | 0.64 | 5.32 |
| Small lakes | 9.13 | - | - | - | 20.74 |
| Connected lakes | 0.46 | - | - | - | 7.08 |
| Isolated lakes | 5.43 | - | - | - | - |
| +Exotics | 4.06 | - | - | 0.89 | - |
| −Exotics | 0.86 | - | - | - | 4.94 |
| +Exotics (AR) | 1.09 | - | - | - | 3.07 |
| βsør | |||||
| Turbid | 9.00 | - | - | - | 6.25 |
| Clear | 2.70 | - | - | - | 2.64 |
| High TP | - | - | - | - | - |
| Low TP | 6.71 | 2.12 | - | - | 4.81 |
| Large lakes | 8.17 | - | - | 0.83 | - |
| Small lakes | 1.46 | - | 2.75 | - | 8.44 |
| Connected lakes | 2.88 | - | - | - | 4.53 |
| Isolated lakes | 5.03 | - | - | - | 3.04 |
| +Exotics | 2.86 | - | - | 0.43 | 2.41 |
| −Exotics | 1.33 | - | - | - | - |
| +Exotics (AR) | 1.45 | - | - | 0.49 | 2.24 |
| βsim | |||||
| Turbid | 7.23 | - | - | 0.31 | 6.82 |
| Clear | 2.80 | - | - | - | 1.84 |
| High TP | - | - | - | - | - |
| Low TP | 5.89 | 2.24 | - | - | 4.41 |
| Large lakes | 8.05 | - | - | - | 2.58 |
| Small lakes | 0.86 | - | - | - | 5.98 |
| Connected lakes | 3.08 | - | - | - | 4.34 |
| Isolated lakes | 4.27 | - | - | - | - |
| +Exotics | 2.29 | - | - | 0.36 | 1.37 |
| −Exotics | 0.73 | - | - | - | 3.25 |
| +Exotics (AR) | 1.23 | - | - | - | 1.79 |
Disclaimer/Publisher’s Note: The statements, opinions and data contained in all publications are solely those of the individual author(s) and contributor(s) and not of MDPI and/or the editor(s). MDPI and/or the editor(s) disclaim responsibility for any injury to people or property resulting from any ideas, methods, instructions or products referred to in the content. |
© 2023 by the authors. Licensee MDPI, Basel, Switzerland. This article is an open access article distributed under the terms and conditions of the Creative Commons Attribution (CC BY) license (https://creativecommons.org/licenses/by/4.0/).
Share and Cite
Menezes, R.F.; Svenning, J.-C.; Fu, H.; De Meester, L.; Lauridsen, T.L.; Søndergaard, M.; Conde-Porcuna, J.M.; Jeppesen, E. Fish Beta Diversity Patterns across Environmental Gradients in 63 European Shallow Lakes: Effects of Turbidity, Nutrient Enrichment, and Exotic Species. Water 2023, 15, 1831. https://doi.org/10.3390/w15101831
Menezes RF, Svenning J-C, Fu H, De Meester L, Lauridsen TL, Søndergaard M, Conde-Porcuna JM, Jeppesen E. Fish Beta Diversity Patterns across Environmental Gradients in 63 European Shallow Lakes: Effects of Turbidity, Nutrient Enrichment, and Exotic Species. Water. 2023; 15(10):1831. https://doi.org/10.3390/w15101831
Chicago/Turabian StyleMenezes, Rosemberg Fernandes, Jens-Christian Svenning, Hui Fu, Luc De Meester, Torben Linding Lauridsen, Martin Søndergaard, José María Conde-Porcuna, and Erik Jeppesen. 2023. "Fish Beta Diversity Patterns across Environmental Gradients in 63 European Shallow Lakes: Effects of Turbidity, Nutrient Enrichment, and Exotic Species" Water 15, no. 10: 1831. https://doi.org/10.3390/w15101831
APA StyleMenezes, R. F., Svenning, J.-C., Fu, H., De Meester, L., Lauridsen, T. L., Søndergaard, M., Conde-Porcuna, J. M., & Jeppesen, E. (2023). Fish Beta Diversity Patterns across Environmental Gradients in 63 European Shallow Lakes: Effects of Turbidity, Nutrient Enrichment, and Exotic Species. Water, 15(10), 1831. https://doi.org/10.3390/w15101831

