Behavioural Responses and Mortality of Mozambique Tilapia Oreochromis mossambicus to Three Commonly Used Macadamia Plantation Pesticides
Abstract
1. Introduction
2. Materials and Methods
2.1. Pesticide Background
2.2. Fish Sampling
2.3. Experimental Design
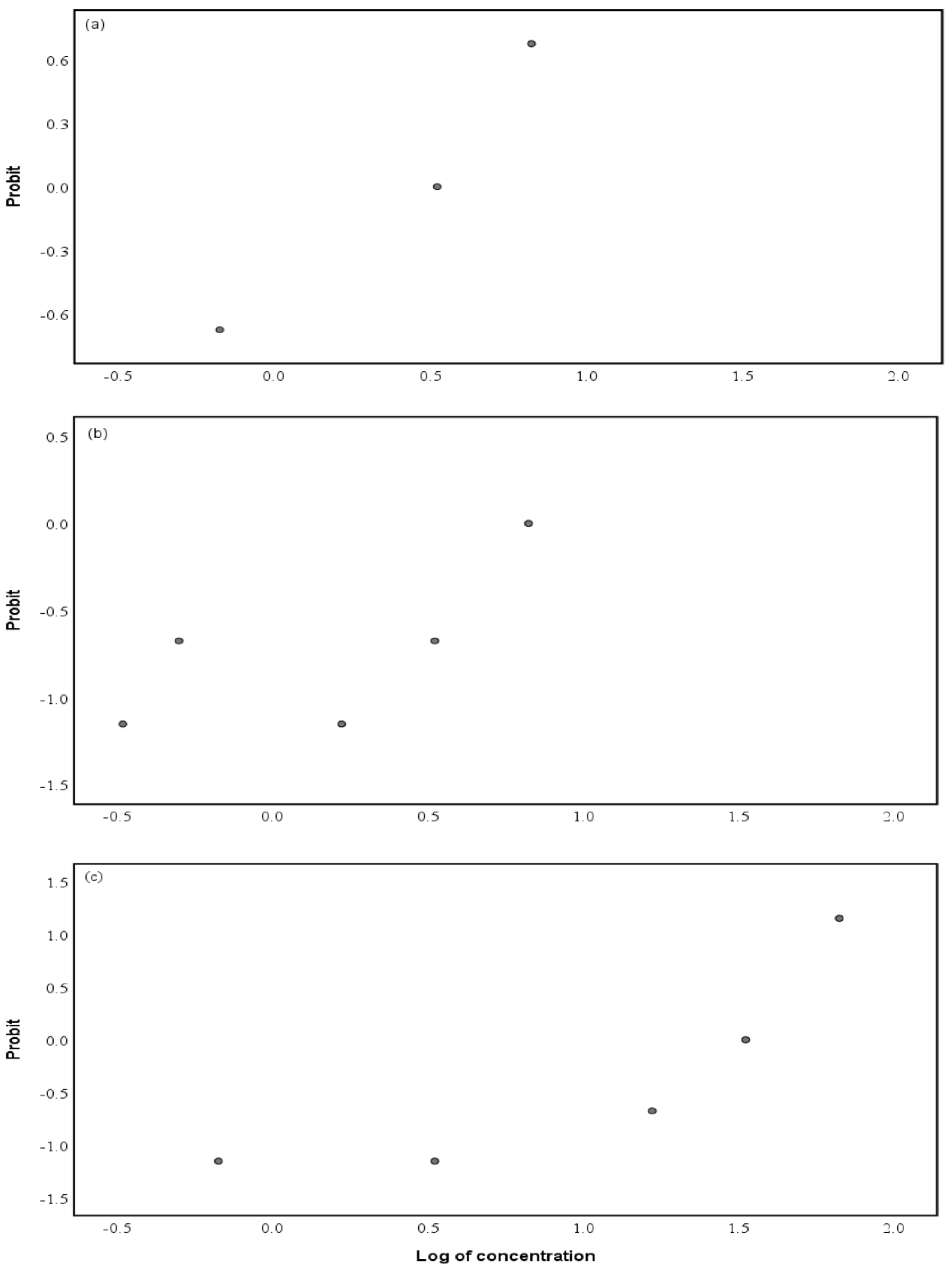
3. Data Analyses
4. Results
5. Discussion
Supplementary Materials
Author Contributions
Funding
Institutional Review Board Statement
Data Availability Statement
Acknowledgments
Conflicts of Interest
References
- Dudgeon, D. Multiple Threats Imperil Freshwater Biodiversity in the Anthropocene. Curr. Biol. 2019, 29, R960–R967. [Google Scholar] [CrossRef] [PubMed]
- Reid, A.J.; Carlson, A.K.; Creed, I.F.; Eliason, E.J.; Gell, P.A.; Johnson, P.T.J.; Kidd, K.A.; MacCormack, T.J.; Olden, J.D.; Ormerod, S.J. Emerging Threats and Persistent Conservation Challenges for Freshwater Biodiversity. Bio. Rev. 2019, 94, 849–873. [Google Scholar] [CrossRef] [PubMed]
- Wasserman, R.J.; Dalu, T. Tropical freshwater wetlands: An introduction. In Fundamentals of Tropical Freshwater Wetlands; Dalu, T., Wasserman, R.J., Eds.; Elsevier: Cambridge, MA, USA, 2022; pp. 1–22. [Google Scholar] [CrossRef]
- Weber, G.; Christmann, N.; Thiery, A.-C.; Martens, D.; Kubiniok, J. Pesticides in Agricultural Headwater Streams in Southwestern Germany and Effects on Macroinvertebrate Populations. Sci. Total Environ. 2018, 619, 638–648. [Google Scholar] [CrossRef] [PubMed]
- Knillmann, S.; Orlinskiy, P.; Kaske, O.; Foit, K.; Liess, M. Indication of Pesticide Effects and Recolonization in Streams. Sci. Total Environ. 2018, 630, 1619–1627. [Google Scholar] [CrossRef]
- Holvoet, K.; van Griensven, A.; Seuntjens, P.; Vanrolleghem, P.A. Sensitivity Analysis for Hydrology and Pesticide Supply towards the River in SWAT. Phys. Chem. Earth Parts A/B/C 2005, 30, 518–526. [Google Scholar] [CrossRef]
- Köck-Schulmeyer, M.; Villagrasa, M.; de Alda, M.L.; Céspedes-Sánchez, R.; Ventura, F.; Barceló, D. Occurrence and Behavior of Pesticides in Wastewater Treatment Plants and Their Environmental Impact. Sci. Total Environ. 2013, 458, 466–476. [Google Scholar] [CrossRef]
- Cruzeiro, C.; Amaral, S.; Rocha, E.; Rocha, M.J. Determination of 54 Pesticides in Waters of the Iberian Douro River Estuary and Risk Assessment of Environmentally Relevant Mixtures Using Theoretical Approaches and Artemia Salina and Daphnia Magna Bioassays. Ecotoxicol. Environ. Saf. 2017, 145, 126–134. [Google Scholar] [CrossRef]
- Morrissey, C.A.; Mineau, P.; Devries, J.H.; Sanchez-Bayo, F.; Liess, M.; Cavallaro, M.C.; Liber, K. Neonicotinoid Contamination of Global Surface Waters and Associated Risk to Aquatic Invertebrates: A Review. Environ. Int. 2015, 74, 291–303. [Google Scholar] [CrossRef]
- Lykogianni, M.; Bempelou, E.; Karamaouna, F.; Aliferis, K.A. Do Pesticides Promote or Hinder Sustainability in Agriculture? The Challenge of Sustainable Use of Pesticides in Modern Agriculture. Sci. Total Environ. 2021, 795, 148625. [Google Scholar] [CrossRef]
- Macadamias South Africa (SAMAC). An Overview of the South African Macadamia Industry [Online]. 2020. Available online: https://samac.org.za/Industry-Overview/ (accessed on 15 November 2021).
- Sattler, C.; Kächele, H.; Verch, G. Assessing the Intensity of Pesticide Use in Agriculture. Agric. Ecosyst. Environ. 2007, 119, 299–304. [Google Scholar] [CrossRef]
- Baker, R.; Caffier, D.; Choiseul, J.W.; de Clercq, P.; Dormannsné-Simon, E.; Gerowitt, B.; Karadjova, O.E.; Lövei, G.; Oude, A.; Lansink, D.M. Pest Risk Assessment and Additional Evidence Provided by South Africa on Guignardia Citricarpa Kiely, Citrus Black Spot Fungus–CBS. Scientific Opinion of the Panel on Plant Health, European Food Safety Authority. EFSA. J. 2008, 925, 1–108. [Google Scholar] [CrossRef]
- Dalu, T.; Tavengwa, N.T. (Eds.) Emerging Freshwater Pollutants: Analysis, Fate and Regulation; Elsevier: Cambridge, MA, USA, 2022. [Google Scholar] [CrossRef]
- Riise, G.; Lundekvam, H.; Wu, Q.L.; Haugen, L.E.; Mulder, J. Loss of Pesticides from Agricultural Fields in SE Norway–Runoff through Surface and Drainage Water. Environ. Geochem. Health. 2004, 26, 269–276. [Google Scholar] [CrossRef] [PubMed]
- Kruawal, K.; Sacher, F.; Werner, A.; Müller, J.; Knepper, T.P. Chemical Water Quality in Thailand and Its Impacts on the Drinking Water Production in Thailand. Sci. Total Environ. 2005, 340, 57–70. [Google Scholar] [CrossRef] [PubMed]
- Jaipieam, S.; Visuthismajarn, P.; Sutheravut, P.; Siriwong, W.; Thoumsang, S.; Borjan, M.; Robson, M. Organophosphate Pesticide Residues in Drinking Water from Artesian Wells and Health Risk Assessment of Agricultural Communities, Thailand. Hum. Ecol. Risk Assess. 2009, 15, 1304–1316. [Google Scholar] [CrossRef] [PubMed]
- Moreira-Santos, M.; Ribeiro, R.; Araújo, C.V.M. What If Aquatic Animals Move Away from Pesticide-Contaminated Habitats before Suffering Adverse Physiological Effects? A Critical Review. Crit. Rev. Environ. Sci. Technol. 2019, 49, 989–1025. [Google Scholar] [CrossRef]
- Wasserman, R.J.; Noyon, M.; Avery, T.S.; Froneman, P.W. Trophic Level Stability-Inducing Effects of Predaceous Early Juvenile Fish in an Estuarine Mesocosm Study. PLoS ONE 2013, 8, e61019. [Google Scholar] [CrossRef]
- Broadhurst, C.L.; Wang, Y.; Crawford, M.A.; Cunnane, S.C.; Parkington, J.E.; Schmidt, W.F. Brain-Specific Lipids from Marine, Lacustrine, or Terrestrial Food Resources: Potential Impact on Early African Homo Sapiens. Comp. Biochem. Physiol. B Biochem. Biol. 2002, 131, 653–673. [Google Scholar] [CrossRef]
- Ellender, B.R.; Marr, S.M.; Weyl, O.L.F.; Zengeya, T.; Wasserman, R.J.; Alexander, M.E.; Ivey, P.; Woodford, D.J. Evaluating Invasion Risk for Freshwater Fishes in South Africa. Afr. Biodivers. Conserv. 2017, 47, 1–10. [Google Scholar] [CrossRef]
- Schlenk, D. Pesticide Biotransformation in Fish. In Biochemistry and Molecular Biology of Fishes; Elsevier: Amsterdam, The Netherlands, 2005; Volume 6, pp. 171–190. [Google Scholar]
- Banaee, M. Adverse Effect of Insecticides on Various Aspects of Fish’s Biology and Physiology. In Insecticides—Basic and Other Applications; IntechOpen: London, UK, 2012; Volume 6, pp. 101–126. [Google Scholar] [CrossRef][Green Version]
- Banaee, M. Physiological Dysfunction in Fish after Insecticides Exposure. In Insecticides-Development of Safer and More Effective Technologies; IntechOpen: London, UK, 2013; pp. 103–142. [Google Scholar] [CrossRef]
- Oti, E.E.; Chude, L.A. Acute Toxicity of Inorganic Fertilizer to African Freshwater Catfish; Clarias Gariepinus and Tilapia Guineensis Fingerlings. Niger-Delta Biol. 1997, 2, 60–62. [Google Scholar]
- Rekha, R.; Gautam, R.K.; Kalpana, G.; Suneel, K. Nuvan Intoxication Leads Protein Alteration in Kidney of Labeo Rohita. J. Exp. Zool. 2008, 11, 113–115. [Google Scholar]
- Jordaan, M.S.; Dalu, T.; Wasserman, R.J.; Slabbert, E.; Weyl, O.L.F. Unexpected Survival of Sharptooth Catfish Clarias gariepinus (Burchell 1822) during Acute Rotenone Toxicity Trials Will Complicate Management of Invasions. Biol. Invasions. 2017, 19, 1739–1744. [Google Scholar] [CrossRef]
- Tejeda-Vera, R.; López-López, E.; Sedeño-Díaz, J.E. Biomarkers and Bioindicators of the Health Condition of Ameca splendens and Goodea atripinnis (Pisces: Goodeaidae) in the Ameca River, Mexico. Environ. Int. 2007, 33, 521–531. [Google Scholar] [CrossRef] [PubMed]
- Nortjé, G.P.; Botha, A.; Schoeman, S.P.; Botha, B.M. The Successes of Stinkbug Research and the Stinkbug Working Group in the Southern African Avocado and Macadamia Industries. In Proceedings of the South African Avocado Growers’ Association Annual Research Symposium, Tzaneen, South Africa, 15–16 February 2017. [Google Scholar]
- Pheiffer, W.; Pieters, R.; Quinn, L.P.; Smit, N.J. Polycyclic Aromatic Hydrocarbons (PAHs) in the Aquatic Ecosystems of Soweto and Lenasia/Polisikliese Aromatiese Koolwaterstowwe (PAK’s) in Die Akwatiese Ekosisteem van Soweto En Lenasia. Suid-Afrik. Tydskr. Nat. Tegnol. 2014, 33, 1. [Google Scholar] [CrossRef][Green Version]
- Mbedzi, R.; Dalu, T.; Wasserman, R.J.; Murungweni, F.; Cuthbert, R.N. Functional Response Quantifies Microplastic Uptake by a Widespread African Fish Species. Sci. Total Environ. 2020, 700, 134522. [Google Scholar] [CrossRef]
- Organisation for Economic Cooperation and Development (OECD). OECD Environmental Health and Safety Publications Series for Testing and Assessments; Test No. 50; OECD Environment Directorate: Paris, France, 2005. [Google Scholar]
- He, L.-M.; Troiano, J.; Wang, A.; Goh, K. Environmental Chemistry, Ecotoxicity, and Fate of Lambda-Cyhalothrin. Rev. Environ. Contam. Toxicol. 2008, 195, 71–91. [Google Scholar] [CrossRef]
- Zoumenou, B.G.Y.M.; Aïna, M.P.; Imorou Toko, I.; Igout, A.; Douny, C.; Brose, F.; Schiffers, B.; Gouda, I.; Chabi Sika, K.; Kestemont, P. Occurrence of Acetamiprid Residues in Water Reservoirs in the Cotton Basin of Northern Benin. Bull. Environ. Contam. Toxicol. 2019, 102, 7–12. [Google Scholar] [CrossRef]
- Werner, I.; Deanovic, L.A.; Connor, V.; de Vlaming, V.; Bailey, H.C.; Hinton, D.E. Insecticide-caused Toxicity to Ceriodaphnia Dubia (CLADOCERA) in the Sacramento–San Joaquin River Delta, California, USA. Environ. Toxicol. Chem. Int. J. 2000, 19, 215–227. [Google Scholar] [CrossRef]
- Booth, A.J.; Moss, S.; Weyl, O.L.F. Effect of Rotenone on Gill-Respiring and Plastron-Respiring Insects. Afr. J. Aquat. Sci. 2015, 40, 95–100. [Google Scholar] [CrossRef]
- SPSS Incorporated. SPSS Version 16.0; SPSS Inc.: Chicago, IL, USA, 2007; Available online: https://www.uni-muenster.de/imperia/md/content/ziv/service/software/spss/handbuecher/englisch/spss_brief_guide_16.0.pdf (accessed on 20 September 2021).
- Scherer, E. Behavioural Responses as Indicators of Environmental Alterations: Approaches, Results, Developments. J. Appl. Ichthyol. 1992, 8, 122–131. [Google Scholar] [CrossRef]
- Legradi, J.B.; di Paolo, C.; Kraak, M.H.S.; van der Geest, H.G.; Schymanski, E.L.; Williams, A.J.; Dingemans, M.M.L.; Massei, R.; Brack, W.; Cousin, X. An Ecotoxicological View on Neurotoxicity Assessment. Environ. Sci. Eur. 2018, 30, 1–34. [Google Scholar] [CrossRef]
- Bownik, A.; Kowalczyk, M.; Bańczerowski, J. Lambda-Cyhalothrin Affects Swimming Activity and Physiological Responses of Daphnia Magna. Chemosphere 2019, 216, 805–811. [Google Scholar] [CrossRef]
- Halse, S.A.; Pearson, G.B.; Kaý, W.R. Arid Zone Networks in Time And Space: Waterbird Use. Int. J. Environ. Sci. 1998, 24, 207–222. [Google Scholar]
- Montemurro, N.; Grieco, F.; Lacertosa, G.; Visconti, A. Chlorpyrifos Decline Curves and Residue Levels from Different Commercial Formulations Applied to Oranges. J. Agric. Food Chem. 2002, 50, 5975–5980. [Google Scholar] [CrossRef] [PubMed]
- Boone, M.D.; Semlitsch, R.D. Interactions of an Insecticide with Competition and Pond Drying in Amphibian Communities. Ecol. Appl. 2002, 12, 307–316. [Google Scholar] [CrossRef]
- Camargo, J.A.; Alonso, Á. Ecological and Toxicological Effects of Inorganic Nitrogen Pollution in Aquatic Ecosystems: A Global Assessment. Environ. Int. 2006, 32, 831–849. [Google Scholar] [CrossRef] [PubMed]
- Majumder, R.; Kaviraj, A. Acute and Sublethal Effects of Organophosphate Insecticide Chlorpyrifos on Freshwater Fish Oreochromis Niloticus. Drug Chem. Toxicol. 2019, 42, 487–495. [Google Scholar] [CrossRef] [PubMed]
- Puglisi, E. Response of Microbial Organisms (Aquatic and Terrestrial) to Pesticides. EFSA Support. Publ. 2012, 9, 359E. [Google Scholar] [CrossRef]
- Soares, P.R.L.; de Andrade, A.L.C.; Santos, T.P.; da Silva, S.C.B.L.; da Silva, J.F.; dos Santos, A.R.; da Silva Souza, E.H.L.; da Cunha, F.M.; Teixeira, V.W.; Cadena, M.R.S. Acute and Chronic Toxicity of the Benzoylurea Pesticide, Lufenuron, in the Fish, Colossoma Macropomum. Chemosphere 2016, 161, 412–421. [Google Scholar] [CrossRef]
- Chandrasekera, W.U.; Premaratna, K.D.S. Toxic Effects of Trebon, a Synthetic Pyrethroid Based Insecticide Formulation, on Oreochromis mossambicus (Family: Cichlidae). Sri Lanka J. Aquat. Sci. 2016, 21, 35–49. [Google Scholar] [CrossRef][Green Version]
- Pandya, P.; Parikh, P.; Ambegaonkar, A. Evaluating the Toxic Potential of Agrochemicals on the Hypothalamic-pituitary-thyroid Axis in Tilapia (Oreochromis mossambicus). J. Appl. Ichthyol. 2020, 36, 203–211. [Google Scholar] [CrossRef]
- Ghayyur, S.; Tabassum, S.; Ahmad, M.S.; Akhtar, N.; Khan, M.F. Effect of Chlorpyrifos on Hematological and Seral Biochemical Components of Fish Oreochromis mossambicus. Pak. J. Zool. 2019, 51, 801–1202. [Google Scholar] [CrossRef]
- Shafiei, T.M.; Costa, H.H. The Susceptibility and Resistance of Fry and Fingerlings of Oreochromis mossambicus Peters to Some Pesticides Commonly Used in Sri Lanka. J. Appl. Ichthyol. 1990, 6, 73–80. [Google Scholar] [CrossRef]
- Basirun, A.A.; Ahmad, S.A.; Yasid, N.A.; Sabullah, M.K.; Daud, H.M.; Sha’arani, S.; Khalid, A.; Shukor, M.Y. Toxicological Effects and Behavioural and Biochemical Responses of Oreochromis mossambicus Gills and Its Cholinesterase to Copper: A Biomarker Application. Int. J. Environ. Sci. Technol. 2019, 16, 887–898. [Google Scholar] [CrossRef]
- Kumar, N.; Prabhu, P.A.J.; Pal, A.K.; Remya, S.; Aklakur, M.; Rana, R.S.; Gupta, S.; Raman, R.P.; Jadhao, S.B. Anti-Oxidative and Immuno-Hematological Status of Tilapia (Oreochromis mossambicus) during Acute Toxicity Test of Endosulfan. Pestic. Biochem. Physiol. 2011, 99, 45–52. [Google Scholar] [CrossRef]
- Parithabhanu, A.; Khusnumabegam, K.J. The Influence of Tannery Effluent on Biochemical Constituents in the Blood of the Fish Oreochromis mossambicus (Bloch). Int. J. Pure. Appl Zool. 2013, 1, 227–230. [Google Scholar]
- Kane, A.S.; Salierno, J.D.; Gipson, G.T.; Molteno, T.C.A.; Hunter, C. A Video-Based Movement Analysis System to Quantify Behavioral Stress Responses of Fish. Water. Res. 2004, 38, 3993–4001. [Google Scholar] [CrossRef]
- Saxena, O.P.; Parashari, A. Toxicity of Cadmium to Channa Punctatus. Bull. Pure. Appl. Sci. 1982, 1, 42–44. [Google Scholar]
- Miller, L.C.; Tainter, M.L. Estimation of the ED50 and Its Error by Means of Logarithmic-Probit Graph Paper. Exp. Biol. Med. 1944, 57, 261–264. [Google Scholar] [CrossRef]
- Mishra, A.; Devi, Y. Histopathological Alterations in the Brain (Optic Tectum) of the Fresh Water Teleost Channa Punctatus in Response to Acute and Subchronic Exposure to the Pesticide Chlorpyrifos. Acta Histochem. 2014, 116, 176–181. [Google Scholar] [CrossRef]
- Sharma, N. Analysis of Lactate Dehydrogenase & ATPase Activity in Fish, Gambusia Affinis at Different Period of Exposureto Chlorpyrifos. Int. J. Chem. 2014, 4, 39–41. [Google Scholar] [CrossRef]
- Sánchez-Bayo, F. Insecticides Mode of Action in Relation to Their Toxicity to Non-Target Organisms. J. Environ. Anal. Toxicol. 2012, 4, S4-002. [Google Scholar]
- Van den Brink, P.J.; Klein, S.L.; Rico, A. Interaction between Stress Induced by Competition, Predation, and an Insecticide on the Response of Aquatic Invertebrates. Environ. Toxicol. Chem. 2017, 36, 2485–2492. [Google Scholar] [CrossRef] [PubMed]


| Treatment | Group | Concentrations |
|---|---|---|
| K1 | Karate Zeon 10 CS | 0.7 µL |
| K2 | Karate Zeon 10 CS | 3.3 µL |
| K3 | Karate Zeon 10 CS | 6.7 µL |
| K4 | Karate Zeon 10 CS | 10 µL |
| K5 | Karate Zeon 10 CS | 16.7 µL |
| K6 | Karate Zeon 10 CS | 80 µL |
| K7 | Karate Zeon 10 CS | 100 µL |
| K8 | Karate Zeon 10 CS | 150 µL |
| K9 | Karate Zeon 10 CS | 200 µL |
| M1 | Mulan 20 SP | 0.3 mg |
| M2 | Mulan 20 SP | 0.5 mg |
| M3 | Mulan 20 SP | 1.7 mg |
| M4 | Mulan 20 SP | 3.3 mg |
| M5 | Mulan 20 SP | 6.7 mg |
| M6 | Mulan 20 SP | 100 mg |
| M7 | Mulan 20 SP | 300 mg |
| M8 | Mulan 20 SP | 500 mg |
| M9 | Mulan 20 SP | 1000 mg |
| P1 | Pyrinex 250 CS | 0.7 µL |
| P2 | Pyrinex 250 CS | 3.3 µL |
| P3 | Pyrinex 250 CS | 16.7 µL |
| P4 | Pyrinex 250 CS | 33.3 µL |
| P5 | Pyrinex 250 CS | 66.7 µL |
| P6 | Pyrinex 250 CS | 1250 µL |
| P7 | Pyrinex 250 CS | 2250 µL |
| P8 | Pyrinex 250 CS | 4500 µL |
| P9 | Pyrinex 250 CS | 8750 µL |
| C | Control | No chemicals |
| Behaviour | Karate Zeon 10 CS | Mulan 20 SP | Pyrinex 250 CS |
|---|---|---|---|
| p | p | p | |
| Swimming | 0.013 | 0.004 | <0.001 |
| Vertical | <0.001 | 0.225 | <0.001 |
| Motionless | 0.005 | 0.161 | 0.691 |
| Surface | 0.001 | <0.001 | 0.304 |
| Loss of equilibrium | 0.134 | 0.439 | 0.007 |
| Mortality | <0.001 | 0.057 | 0.069 |
| Treatment | Karate Zeon 10 CS | Mulan 20 SP | Pyrinex 250 CS | |||||||||
|---|---|---|---|---|---|---|---|---|---|---|---|---|
| 1.5 h (%) | 3 h (%) | 6 h (%) | 24 h (%) | 1.5 h (%) | 3 h (%) | 6 h (%) | 24 h (%) | 1.5 h (%) | 3 h (%) | 6 h (%) | 24 h (%) | |
| C | 0 | 0 | 0 | 0 | 0 | 0 | 0 | 0 | 0 | 0 | 0 | 0 |
| 1 | 0 | 0 | 0 | 25 | 0 | 0 | 0 | 12.5 | 0 | 0 | 12.5 | 12.5 |
| 2 | 0 | 0 | 0 | 50 | 0 | 0 | 0 | 25 | 0 | 0 | 12.5 | 12.5 |
| 3 | 0 | 0 | 0 | 75 | 0 | 0 | 12.5 | 12.5 | 0 | 0 | 12.5 | 25 |
| 4 | 0 | 0 | 0 | 100 | 0 | 0 | 25 | 25 | 0 | 0 | 25 | 50 |
| 5 | 0 | 25 | 62.5 | 100 | 0 | 12.5 | 25 | 50 | 0 | 0 | 12.5 | 12.5 |
| 6 | 100 | 0 | 0 | 0 | 100 | 0 | 0 | 0 | 100 | 0 | 0 | 0 |
| 7 | 100 | 0 | 0 | 0 | 100 | 0 | 0 | 0 | 100 | 0 | 0 | 0 |
| 8 | 100 | 0 | 0 | 0 | 100 | 0 | 0 | 0 | 100 | 0 | 0 | 0 |
| 9 | 100 | 0 | 0 | 0 | 100 | 0 | 0 | 0 | 100 | 0 | 0 | 0 |
| Treatment | Karate Zeon 10 CS | Mulan 20 SP | Pyrinex 250 CS | |||
|---|---|---|---|---|---|---|
| 24 h (%) | 48 h (%) | 24 h (%) | 48 h (%) | 24 h (%) | 48 h (%) | |
| C | 100 | 100 | 100 | 100 | 100 | 100 |
| 1 | 75 | 62.5 | 87.5 | 87.5 | 87.5 | 87.5 |
| 2 | 50 | 37.5 | 75 | 75 | 87.5 | 75 |
| 3 | 25 | 12.5 | 87.5 | 87.5 | 75 | 75 |
| 4 | 0 | 0 | 75 | 75 | 50 | 50 |
| 5 | 0 | 0 | 50 | 37.5 | 12.5 | 0 |
| 6 | 0 | 0 | 0 | 0 | 0 | 0 |
| 7 | 0 | 0 | 0 | 0 | 0 | 0 |
| 8 | 0 | 0 | 0 | 0 | 0 | 0 |
| 9 | 0 | 0 | 0 | 0 | 0 | 0 |
| Groups | p | Lower Limit | Upper Limit | LD50 |
|---|---|---|---|---|
| Karate Zeon 10 CS | 0.897 | 0.8 µL | 3.7 µL | 2.1 µL |
| Mulan 20 SP | 0.701 | 2.4 mg | 13.5 mg | 5.2 mg |
| Pyrinex 250 CS | 0.684 | 8.8 µL | 54.1 µL | 21.5 µL |
Publisher’s Note: MDPI stays neutral with regard to jurisdictional claims in published maps and institutional affiliations. |
© 2022 by the authors. Licensee MDPI, Basel, Switzerland. This article is an open access article distributed under the terms and conditions of the Creative Commons Attribution (CC BY) license (https://creativecommons.org/licenses/by/4.0/).
Share and Cite
Mutshekwa, T.; Cuthbert, R.N.; Mugwedi, L.; Wasserman, R.J.; Dondofema, F.; Dalu, T. Behavioural Responses and Mortality of Mozambique Tilapia Oreochromis mossambicus to Three Commonly Used Macadamia Plantation Pesticides. Water 2022, 14, 1257. https://doi.org/10.3390/w14081257
Mutshekwa T, Cuthbert RN, Mugwedi L, Wasserman RJ, Dondofema F, Dalu T. Behavioural Responses and Mortality of Mozambique Tilapia Oreochromis mossambicus to Three Commonly Used Macadamia Plantation Pesticides. Water. 2022; 14(8):1257. https://doi.org/10.3390/w14081257
Chicago/Turabian StyleMutshekwa, Thendo, Ross N. Cuthbert, Lutendo Mugwedi, Ryan J. Wasserman, Farai Dondofema, and Tatenda Dalu. 2022. "Behavioural Responses and Mortality of Mozambique Tilapia Oreochromis mossambicus to Three Commonly Used Macadamia Plantation Pesticides" Water 14, no. 8: 1257. https://doi.org/10.3390/w14081257
APA StyleMutshekwa, T., Cuthbert, R. N., Mugwedi, L., Wasserman, R. J., Dondofema, F., & Dalu, T. (2022). Behavioural Responses and Mortality of Mozambique Tilapia Oreochromis mossambicus to Three Commonly Used Macadamia Plantation Pesticides. Water, 14(8), 1257. https://doi.org/10.3390/w14081257

