Sluice Gate Design and Calibration: Simplified Models to Distinguish Flow Conditions and Estimate Discharge Coefficient and Flow Rate
Abstract
1. Introduction
2. Methods and Materials
2.1. Models
2.1.1. Energy–Momentum Model
2.1.2. Energy–Momentum Model with Loss
2.1.3. Henry’s Model
2.1.4. Swamee’s Model
2.1.5. HEC-RAS Model
2.2. Laboratory Flume and Experiment
2.3. Evaluation Criteria
3. Results
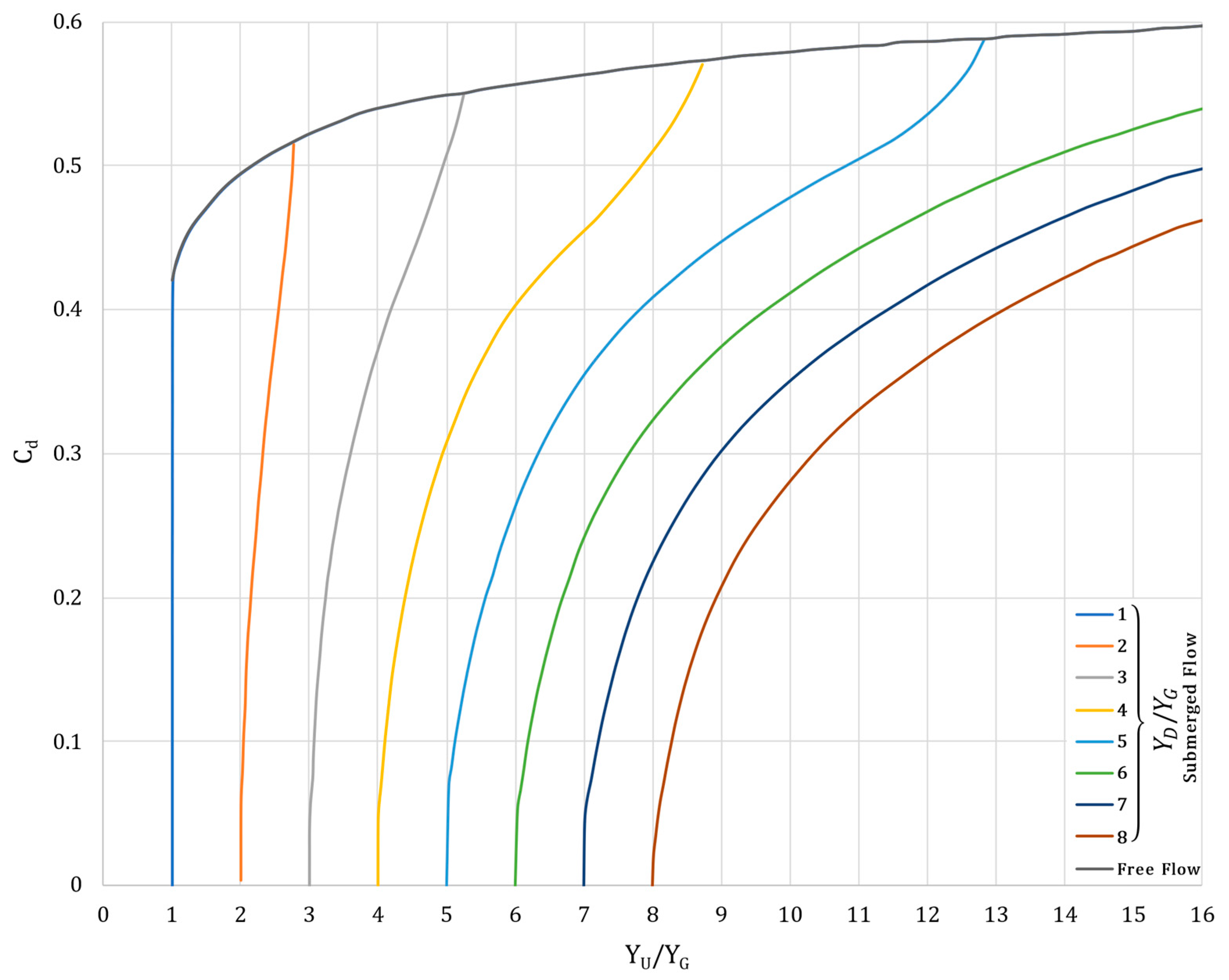
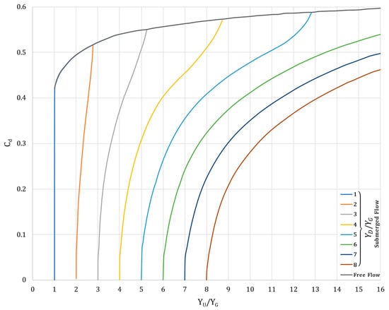
3.1. Flow Regimes’ Distinguishing Conditions
3.2. Discharge Coefficient and Flow Rate
4. Discussion
4.1. Flow Regimes’ Distinguishing Conditions
4.2. Discharge Coefficient and Flow Rate
4.3. New Analytical Equations and Methods for Design Purposes
4.3.1. Determination of Loss Factor for the EML Model
4.3.2. Determination of for the HEC-RAS Model
4.3.3. Analysis of Improvements
5. Conclusions
Author Contributions
Funding
Data Availability Statement
Conflicts of Interest
Nomenclature
| Area of cross-section | (m2) | |
| Area of cross-section | (m2) | |
| Width of the channel/sluice gate | (m) | |
| Coefficient of contraction () | (-) | |
| Coefficient of discharge | (-) | |
| Specific energy of the cross-section | ||
| Energy–Momentum method | ||
| Energy–Momentum method by considering losses | ||
| Free flow | ||
| Gradually varied flow | ||
| Gravitational constant | (m/s2) | |
| Loss factor | ||
| Momentum function of the cross-section | ||
| Mean absolute percentage error | (%) | |
| Mean percentage error | (%) | |
| Volume flow rate (discharge) | (m3/s) | |
| Unit discharge () | (m2/s) | |
| Pearson correlation | ||
| Submerged flow | ||
| Submerged hydraulic jump | ||
| Wetted perimeter | (m) | |
| Partially submerged flow | ||
| Critical depth of flow () | (m) | |
| Downstream depth | (m) | |
| The maximum downstream depth that a free flow could be expected; the conjugated depth of | (m) | |
| Gate’s opening | (m) | |
| Depth of flow at the cross-section | (m) | |
| Depth of the centroid of the cross-sectional area from the top of the water surface for the cross-section | (m) | |
| Initial depth of hydraulic jump | (m) | |
| Secondary depth of hydraulic jump | (m) | |
| The minimum depth of flow after the sluice gate | (m) | |
| The piezometric head | (m) | |
| Upstream depth | (m) | |
| The upstream to downstream depth ratio () | (-) | |
| The ratio of contraction point depth to the upstream depth () | (-) |
Appendix A. Hydraulic Background
References
- White, F.M. Fluid Mechanics, 7th ed.; McGraw-Hill: New York, NY, USA, 2011; ISBN 978-0073529349. [Google Scholar]
- Erbisti, P.C.F. Design of Hydraulic Gates, 2nd ed.; CRC Press/Balkema: Boca Raton, FL, USA, 2014; ISBN 0415659396. [Google Scholar]
- Silva, C.O.; Rijo, M. Flow Rate Measurements under Sluice Gates. J. Irrig. Drain. Eng. 2017, 143, 06017001. [Google Scholar] [CrossRef]
- Sepúlveda Toepfer, C.A. Instrumentation, Model Identification and Control of an Experimental Irrigation Canal. Ph.D. Thesis, Technical University of Catalonia, Barcelona, Spain, 2007. Available online: https://web.archive.org/web/20211214013540/https://www.tdx.cat/bitstream/handle/10803/5951/01_Sepulveda.pdf (accessed on 14 December 2021).
- Lewin, J. Hydraulic Gates and Valves: In Free Surface Flow and Submerged Outlets; Thomas Telford: London, UK, 1995; ISBN 0727720201. [Google Scholar]
- Baume, J.P.; Malaterre, P.O.; Gilles, B.; Benoit, L.G. SIC: A 1D hydrodynamic model for river and irrigation canal modelling and regulation. In Métodos Numéricos em Recursos Hídricos; Associação Brasileira de Recursos Hídricos: Porto Alegre, Brazil, 2005. [Google Scholar]
- Brunner, G.W. HEC-RAS River Analysis System Hydraulic Reference Manual—Version 5.0; no. February; US Army Corps of Engineers Hydrologic Engineering Center: Davis, CA, USA, 2016.
- Kindsvater, C.E. The Hydraulic Jump in Sloping Channels. Trans. Am. Soc. Civ. Eng. 1944, 109, 1107–1120. [Google Scholar] [CrossRef]
- Bradley, J.N.; Peterka, A.J. The hydraulic design of stilling basins: Hydraulic jumps on a horizontal apron (basin i). J. Hydraul. Div. 1957, 83, 1–24. [Google Scholar] [CrossRef]
- Rajaratnam, N.; Subramanya, K. Flow equation for the sluice gate. J. Irrig. Drain. Div. 1967, 93, 167–186. [Google Scholar] [CrossRef]
- Hager, W.H. Classical Hydraulic Jump. In Energy Dissipators and Hydraulic Jump; Kluwer Academic: Dordrecht, The Netherlands, 1992; Volume 8, pp. 5–40. ISBN 0-7923-1508-1. [Google Scholar]
- Mahtabi, G.; Chaplot, B.; Azamathulla, H.M.; Pal, M. Classification of Hydraulic Jump in Rough Beds. Water 2020, 12, 2249. [Google Scholar] [CrossRef]
- Bijankhan, M.; Ferro, V.; Kouchakzadeh, S. New stage-discharge relationships for free and submerged sluice gates. Flow Meas. Instrum. 2012, 28, 50–56. [Google Scholar] [CrossRef]
- Henry, R. Discussion to ‘On submerged jets’. Trans. Am. Soc. Civ. Eng. 1950, 115, 687–694. [Google Scholar]
- Swamee, P.K. Sluice-Gate Discharge Equations. J. Irrig. Drain. Eng. 1992, 118, 56–60. [Google Scholar] [CrossRef]
- Roth, A.; Hager, W.H. Underflow of standard sluice gate. Exp. Fluids 1999, 27, 339–350. [Google Scholar] [CrossRef]
- Lozano, D.; Mateos, L.; Merkley, G.P.; Clemmens, A.J. Field Calibration of Submerged Sluice Gates in Irrigation Canals. J. Irrig. Drain. Eng. 2009, 135, 763–772. [Google Scholar] [CrossRef]
- Habibzadeh, A.; Vatankhah, A.R.; Rajaratnam, N. Role of Energy Loss on Discharge Characteristics of Sluice Gates. J. Hydraul. Eng. 2011, 137, 1079–1084. [Google Scholar] [CrossRef]
- Castro-Orgaz, O.; Lozano, D.; Mateos, L. Energy and Momentum Velocity Coefficients for Calibrating Submerged Sluice Gates in Irrigation Canals. J. Irrig. Drain. Eng. 2010, 136, 610–616. [Google Scholar] [CrossRef][Green Version]
- Castro-Orgaz, O.; Mateos, L.; Dey, S. Revisiting the Energy-Momentum Method for Rating Vertical Sluice Gates under Submerged Flow Conditions. J. Irrig. Drain. Eng. 2013, 139, 325–335. [Google Scholar] [CrossRef]
- Gumus, V.; Simsek, O.; Soydan, N.G.; Akoz, M.S.; Kirkgoz, M.S. Numerical Modeling of Submerged Hydraulic Jump from a Sluice Gate. J. Irrig. Drain. Eng. 2016, 142, 04015037. [Google Scholar] [CrossRef]
- Rady, R.A.E.H. Modeling of flow characteristics beneath vertical and inclined sluice gates using artificial neural networks. Ain Shams Eng. J. 2016, 7, 917–924. [Google Scholar] [CrossRef]
- Boiten, W. Vertical Gates for Distribution of Irrigation Water; Report 30; Delft Hydraulics and Wageningen Agricultural University: Delft, The Netherlands, 1992. [Google Scholar]
- Kubrak, E.; Kubrak, J.; Kiczko, A.; Kubrak, M. Flow measurements using a sluice gate; Analysis of applicability. Water 2020, 12, 819. [Google Scholar] [CrossRef]
- Nasrabadi, M.; Mehri, Y.; Ghassemi, A.; Omid, M.H. Predicting submerged hydraulic jump characteristics using machine learning methods. Water Supply 2021, 21, 4180–4194. [Google Scholar] [CrossRef]
- Lencastre, A. Hidráulica Geral [General Hydraulics]; Edição Luso-Brasileira: Lisbon, Portugal, 1983. (In Portuguese) [Google Scholar]
- YoosefDoost, A.; Lubitz, W.D. Design Guideline for Hydropower Plants Using One or Multiple Archimedes Screws. Processes 2021, 9, 2128. [Google Scholar] [CrossRef]
- YoosefDoost, A.; Lubitz, W.D. Archimedes Screw Design: An Analytical Model for Rapid Estimation of Archimedes Screw Geometry. Energies 2021, 14, 7812. [Google Scholar] [CrossRef]
- Katopodes, N.D. Ideal Fluid Flow. In Free-Surface Flow; Elsevier: Oxford, UK, 2019; pp. 428–515. ISBN 978-0-12-815489-2. [Google Scholar]
- AMS Contraction Coefficient—Glossary of Meteorology. American Meteorological Society, 2012. Available online: https://glossary.ametsoc.org/wiki/Contraction_coefficient (accessed on 26 January 2021).
- Chaudhry, M.H. Open-Channel Flow, 2nd ed.; Springer: Boston, MA, USA, 2008; ISBN 9780387686486. [Google Scholar]
- Lin, C.H.; Yen, J.F.; Tsai, C.T. Influence of Sluice Gate Contraction Coefficient on Distinguishing Condition. J. Irrig. Drain. Eng. 2002, 128, 249–252. [Google Scholar] [CrossRef]
- Henderson, F.M. Open Channel Flow; Macmillan: New York, NY, USA, 1966; ISBN 9780023535109. [Google Scholar]
- Rajaratnam, N.; Subramanya, K. Flow immediately below submerged sluice gate. J. Hydraul. Div. 1967, 93, 57–77. [Google Scholar] [CrossRef]
- YoosefDoost, A.; Lubitz, W.D. Development of an Equation for the Volume of Flow Passing Through an Archimedes Screw Turbine. In Sustaining Tomorrow; Ting, D.S.-K., Vasel-Be-Hagh, A., Eds.; Springer: Cham, Switzerland, 2021; pp. 17–37. ISBN 978-3-030-64715-5. [Google Scholar]
- Hanke, J.E.; Wichern, D. Business Forecasting, 9th ed.; Prentice Hall: London, UK, 2009; ISBN 978-0132301206. Available online: https://www.google.ca/books/edition/Business_Forecasting/WaiOrL8oct4C?hl=en&gbpv=1&printsec=frontcover (accessed on 15 June 2020).
- Kim, S.; Kim, H. A new metric of absolute percentage error for intermittent demand forecasts. Int. J. Forecast. 2016, 32, 669–679. [Google Scholar] [CrossRef]
- Bowerman, B.L.; O’Connell, R.T.; Koehler, A.B. Forecasting, Time Series, and Regression: An Applied Approach, 4th ed.; Duxbury advanced series in statistics and decision sciences; Thomson Brooks/Cole: Belmont, CA, USA, 2005; ISBN 9780534409777. [Google Scholar]
- Sepúlveda, C.; Gómez, M.; Rodellar, J. Benchmark of Discharge Calibration Methods for Submerged Sluice Gates. J. Irrig. Drain. Eng. 2009, 135, 676–682. [Google Scholar] [CrossRef]
- Belaud, G.; Cassan, L.; Baume, J.-P. Calculation of Contraction Coefficient under Sluice Gates and Application to Discharge Measurement. J. Hydraul. Eng. 2009, 135, 1086–1091. [Google Scholar] [CrossRef]
- Moglen, G.E. Fundamentals of Open Channel Flow; CRC Press (Tylor & Francis Group): Boca Raton, FL, USA; London, UK; New York, NY, USA, 2015; ISBN 9781466580077. [Google Scholar]
- Raju, K.G.R. Flow through Open Channels; TATA McGraw-Hill Publishing Company Limited: New Delhi, India, 1981. [Google Scholar]








| Flow Regime | Free Flow | Partially Submerged Flow | Submerged Flow |
|---|---|---|---|
| Condition |
| Flow Rate | Sluice Gate Opening | Weir Height |
|---|---|---|
| 0.5 | 5 | 0 |
| 1.0 | 10 | 10 |
| 1.5 | 15 | 25 |
| 2.0 | 25 | 50 |
| 2.5 | 50 | 100 |
| 3.0 | 100 | 150 |
| Model | Flow | ME (m3/s) | MAE (m3/s) | MPE (%) | MAPE (%) |
|---|---|---|---|---|---|
| EM | F | 1.00 × 10−4 | 3.15 × 10−4 | 12.59 | 20.38 |
| S | 7.19 × 10−7 | 8.32 × 10−5 | −1.65 | 7.01 | |
| EML | F | 6.39 × 10−5 | 3.38 × 10−4 | 11.30 | 21.23 |
| S | −3.39 × 10−5 | 8.18 × 10−5 | −3.54 | 7.25 | |
| Henry | F | 1.31 × 10−4 | 3.44 × 10−4 | 14.28 | 21.99 |
| S | 1.72 × 10−4 | 2.48 × 10−4 | 20.19 | 25.20 | |
| Swamee | F | −1.15 × 10−3 | 1.18 × 10−3 | −53.94 | 57.70 |
| S | −9.72 × 10−4 | 9.72 × 10−4 | −73.59 | 73.59 |
| Flow Regime | Free | Partially Submerged | Submerged | ||||||
|---|---|---|---|---|---|---|---|---|---|
| Method | Cd | MPE (%) | MAPE (%) | Cd | MPE (%) | MAPE (%) | Cd | MPE (%) | MAPE (%) |
| Calibration | 0.506 | 5.6 | 12.26 | 0.688 | −7.18 | 15.04 | 0.363 | 0.97 | 13.30 |
| Dynamic | 0.499 | 3.74 | 10.53 | 0.435 | 3.50 | 21.59 | 0.241 | −61.49 | 61.49 |
| Dynamic (Adj.) | 0.527 | 9.95 | 12.44 | 0.5 | 16.84 | 26.30 | 0.50 | −19.69 | 23.00 |
| Model | Flow | ME (m3/s) | MAE (m3/s) | MPE (%) | MAPE (%) |
|---|---|---|---|---|---|
| EM | F | 1.00 × 10−4 | 3.15 × 10−4 | 12.59 | 20.38 |
| S | 7.19 × 10−7 | 8.32 × 10−5 | −1.65 | 7.01 | |
| EML | F | 5.45 × 10−5 | 2.76 × 10−4 | 5.24 | 18.00 |
| S | −1.11 × 10−5 | 8.13 × 10−5 | −2.00 | 7.03 | |
| Henry | F | 1.31 × 10−4 | 3.44 × 10−4 | 14.28 | 21.99 |
| S | 1.72 × 10−4 | 2.48 × 10−4 | 20.19 | 25.20 | |
| Swamee | F | −1.15 × 10−3 | 1.18 × 10−3 | −53.94 | 57.70 |
| S | −9.72 × 10−4 | 9.72 × 10−4 | −73.59 | 73.59 | |
| HEC-RAS | F | 6.60 × 10−5 | 1.3 × 10−4 | 3.74 | 10.53 |
| PS | −1.54 × 10−5 | 1.57 × 10−4 | 3.50 | 21.59 | |
| S | −8.59 × 10−5 | 1.16 × 10−4 | 19.69 | 23.00 |
Publisher’s Note: MDPI stays neutral with regard to jurisdictional claims in published maps and institutional affiliations. |
© 2022 by the authors. Licensee MDPI, Basel, Switzerland. This article is an open access article distributed under the terms and conditions of the Creative Commons Attribution (CC BY) license (https://creativecommons.org/licenses/by/4.0/).
Share and Cite
Yoosefdoost, A.; Lubitz, W.D. Sluice Gate Design and Calibration: Simplified Models to Distinguish Flow Conditions and Estimate Discharge Coefficient and Flow Rate. Water 2022, 14, 1215. https://doi.org/10.3390/w14081215
Yoosefdoost A, Lubitz WD. Sluice Gate Design and Calibration: Simplified Models to Distinguish Flow Conditions and Estimate Discharge Coefficient and Flow Rate. Water. 2022; 14(8):1215. https://doi.org/10.3390/w14081215
Chicago/Turabian StyleYoosefdoost, Arash, and William David Lubitz. 2022. "Sluice Gate Design and Calibration: Simplified Models to Distinguish Flow Conditions and Estimate Discharge Coefficient and Flow Rate" Water 14, no. 8: 1215. https://doi.org/10.3390/w14081215
APA StyleYoosefdoost, A., & Lubitz, W. D. (2022). Sluice Gate Design and Calibration: Simplified Models to Distinguish Flow Conditions and Estimate Discharge Coefficient and Flow Rate. Water, 14(8), 1215. https://doi.org/10.3390/w14081215

