Estimation of Methane Emissions from Reservoirs Based on Country-Specific Trophic State Assessment in Korea
Abstract
:1. Introduction
2. Methods
2.1. Methodology Based on IPCC Guidelines
2.2. Country-Specific Trophic State Assessment
3. Results and Discussion
3.1. Seasonal Trophic State Assessment of Reservoirs
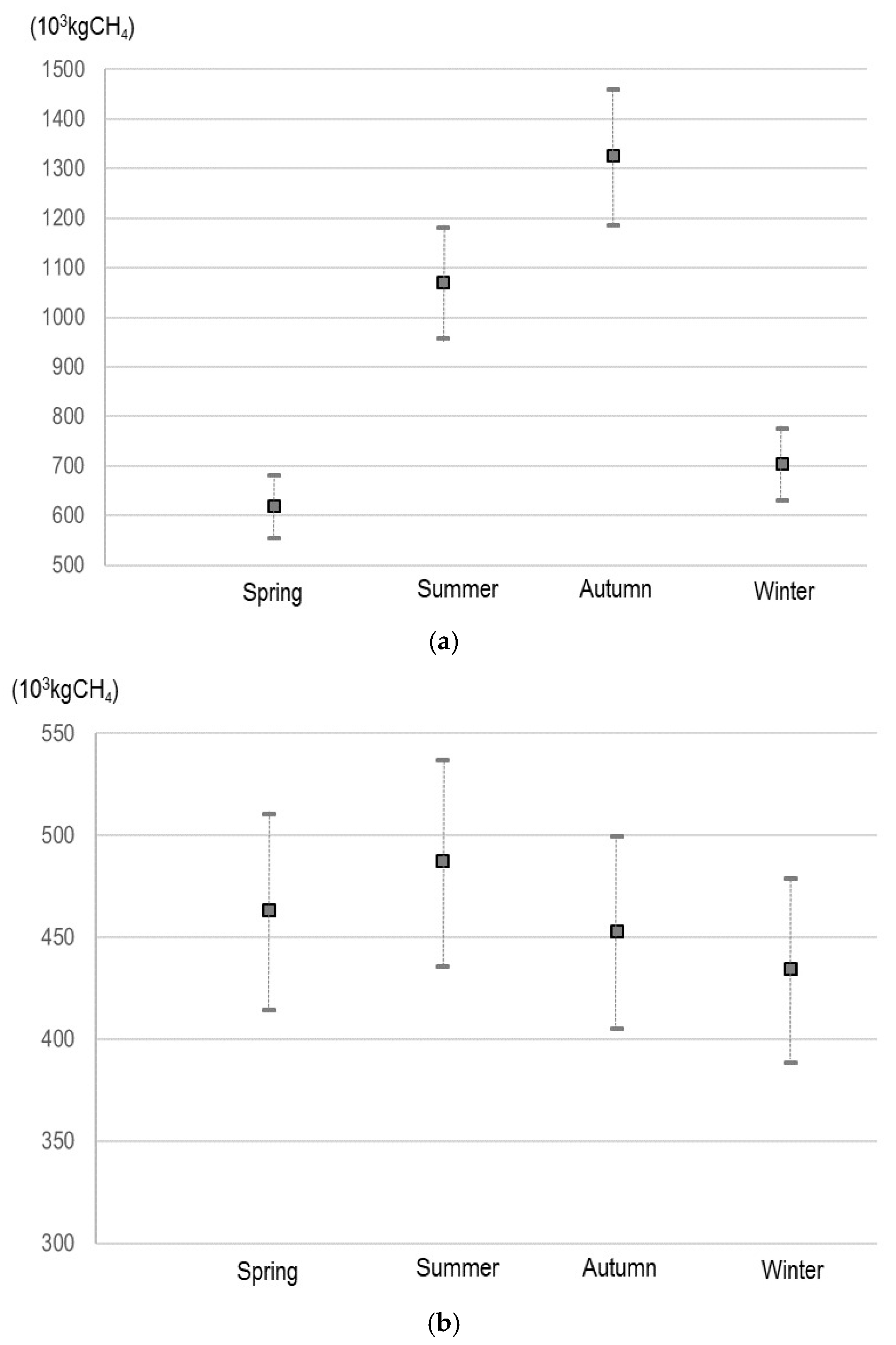
3.2. Estimation and Prediction of Methane Emissions from Reservoirs
4. Conclusions
Author Contributions
Funding
Institutional Review Board Statement
Informed Consent Statement
Data Availability Statement
Conflicts of Interest
Abbreviation
| ANOVA | Analysis of Variance |
| BN | Bunam Reservoir (Name) |
| BR | Boryeong Reservoir (Name) |
| Chl-a | Chlorophyll-a |
| CI | Confidence Interval |
| COD | Chemical Oxygen Demand |
| DH | Daeho Reservoir (Name) |
| GHG | Greenhouse Gas |
| G-Res | Greenhouse Gas Reservoir Tool |
| IPCC | Intergovernmental Panel on Climate Change |
| SD | Secchi Depth |
| SG | Sapgyo Reservoir (Name) |
| SM | Seokmum Reservoir (Name) |
| TI | Trophic Index |
| TJ | Tapjeong Reservoir (Name) |
| TN | Total Nitrogen |
| TP | Total Phosphorus |
| TSI | Trophic State Index |
Nomenclature
| Emission adjustment factor for trophic state in reservoir within a given climate zone | |
| Total area of water surface for reservoir located in climate zone (in hectare) | |
| Methane emission factor from reservoirs more than 20 years old located in climate zone (in kg CH4/year/hectare) | |
| Annual reservoir surface emissions of methane from all reservoirs more than 20 years old (in kg CH4/year) | |
| Annual emissions of methane originating from all reservoirs but emitted their downstream (in kg CH4/year) | |
| Total annual methane emission from all reservoirs more than 20 years old (in kg CH4/year) | |
| Number of reservoirs more than 20 years old in climate zone | |
| Ratio of total downstream emission of methane to the total flux of methane from the reservoir surface | |
| Korean Trophic State Sub-Index based on the measurement of Chl-a | |
| Korean Trophic State Sub-Index based on the measurement of COD | |
| Korean Trophic State Sub-Index based on the measurement of TP | |
| Overall Korean Trophic State Index |
References
- IPCC. 2006 IPCC Guidelines for National Greenhouse Gas Inventories, Chapter 7; Wetlands, Intergovernmental Panel on Climate Change: Geneva, Switzerland, 2006; Volume 4. [Google Scholar]
- Harrison, J.A.; Prairie, Y.T.; Mercier-Blais, S.; Soued, C. Year-2020 Global Distribution and Pathways of Reservoir Methane and Carbon Dioxide Emissions According to the Greenhouse Gas from Reservoirs (G-res) Model. Glob. Biogeochem. Cycles 2021, 35, e2020GB006888. [Google Scholar] [CrossRef]
- IPCC. 2019 Refinement to the 2006 IPCC Guidelines for National Greenhouse Inventories, Chapter 7; Wetlands, Intergovernmental Panel on Climate Change: Geneva, Switzerland, 2019; Volume 4. [Google Scholar]
- Comyn-Platt, E.; Hayman, G.; Huntingford, C.; Chadburn, S.E.; Burke, E.J.; Harper, A.B.; Collins, W.J.; Webber, C.P.; Powell, T.; Cox, P.M.; et al. Carbon Budgets for 1.5 and 2 °C Targets Lowered by Natural Wetland and Permafrost Feedbacks. Nat. Geosci. 2018, 11, 568–573. [Google Scholar] [CrossRef]
- Bridgham, S.; Megonigal, P.; Keller, J.K.; Bliss, N.B. The Carbon Balance of North American Wetlands. Wetlands 2006, 26, 889–916. [Google Scholar] [CrossRef]
- Richards, B.; Craft, C.B. Greenhouse Gas Fluxes from Restored Agricultural Wetlands and Natural Wetlands, Northwestern Indiana. In The Role of Natural and Constructed Wetlands in Nutrient Cycling and Retention on the Landscape; Vymazal, J., Ed.; Springer: Berlin/Heidelberg, Germany, 2015; pp. 17–32. [Google Scholar]
- Zhang, Z.; Zimmermann, N.E.; Stenke, A.; Li, X.; Dodson, E.L.; Zhu, G.; Huang, C.; Poulter, B. Emerging Role of Wetland Methane Emissions in Driving 21st Century Climate Change. Proc. Natl. Acad. Sci. USA 2017, 114, 9647–9652. [Google Scholar] [CrossRef] [PubMed] [Green Version]
- Barros, N.; Cole, J.J.; Tranvik, L.J.; Prairie, Y.T.; Bastviken, D.; Huszar, V.L.M.; del Giorgio, P.; Roland, F. Carbon Emission from Hydroelectric Reservoirs Linked to Reservoir Age and Latitude. Nat. Geosci. 2011, 4, 593–596. [Google Scholar] [CrossRef]
- Bastviken, D.; Tranvik, L.J.; Downing, J.A.; Crill, P.M.; Enrich-Prast, A. Freshwater Methane Emissions Offset the Continental Carbon Sink. Science 2011, 331, 50. [Google Scholar] [CrossRef] [PubMed] [Green Version]
- Cole, J.J.; Prairie, Y.T.; Caraco, N.F.; McDowell, W.H.; Tranvik, L.J.; Striegl, R.G.; Duarte, C.M.; Kortelainen, P.; Downing, J.A.; Middelburg, J.J.; et al. Plumbing the Global Carbon Cycle: Integrating Inland Waters into the Terrestrial Carbon Budget. Ecosystems 2007, 10, 172–185. [Google Scholar] [CrossRef] [Green Version]
- St. Louis, V.L.; Kelly, C.A.; Duchemin, C.A.É.; Rudd, J.W.; Rosenberg, D.M. Reservoir Surfaces as Sources of Greenhouse Gases to the Atmosphere: A Global Estimate. Bioscience 2000, 50, 766–775. [Google Scholar] [CrossRef]
- Beaulieu, J.J.; Waldo, S.; Balz, D.A.; Barnett, W.; Hall, A.; Platz, M.C.; White, K.M. Methane and Carbon Dioxide Emissions from Reservoirs: Controls and Upscaling. J. Geophys. Res. Biogeosci. 2019, 125, e2019JG005474. [Google Scholar] [CrossRef] [PubMed]
- GIR. 2019 National Greenhouse Gas Inventory Report of Korea; Greenhouse Gas Inventory and Research Center (GIR): Chungbuk, Korea, 2019.
- Prairie, Y.; Alm, J.; Harby, A.; Mercier-Blais, S.; Nahas, R. The GHG Reservoir Tool (G-res) Technical Documentation, UNESCO/IHA Research Project on the GHG Status of Freshwater Reservoirs (Version 1.12); The International Hydropower Association: London, UK, 2017. [Google Scholar]
- Park, H.G.; Jang, B.S. Introduction to Large Dams in Korea. J. Korean Soc. Civ. Eng. 2005, 53, 206–218. [Google Scholar]
- Carlson, R.E. A Trophic State Index for Lakes. Limnol. Oceanogr. 1977, 22, 361–369. [Google Scholar] [CrossRef] [Green Version]
- Aizaki, M.; Otsuki, A.; Fukushima, T.; Kawai, T.; Hosomi, M.; Muraoka, K. Application of Modified Carlson’s Trophic State Index to Japanese Lakes and Its Relationships to Other Parameters Related to Trophic State; National Institute for Environmental Studies: Tsukuba, Japan, 1981. [Google Scholar]
- NIER. Water Quality Assessment Method and Index Development; National Institute of Environmental Research: Incheon, Korea, 2006.
- Kim, E.; Sim, K.; Kim, S.; Choi, H.I. Water Quality Assessment for Reservoirs Using the Korean Trophic State Index. J. Korean Soc. Water Environ. 2012, 28, 78–83. [Google Scholar]
- Ahn, D.H.; Han, S.K.; Jo, S.J.; Lim, M. Water Quality Assessment for Geumgang River Area using the Korean Trophic State Index. J. Water Treat. 2013, 21, 13–20. [Google Scholar]
- Oh, H.J.; Jeong, H.G.; Nam, G.S.; Oda, Y.; Dai, W.; Lee, E.H.; Kong, D.; Hwang, S.J.; Chang, K.H. Comparison of Taxon-Based and Trophi-Based Response Patterns of Rotifer Community to Water Quality: Applicability of the Rotifer Functional Group as an Indicator of Water Quality. Anim. Cells Syst. 2017, 21, 133–140. [Google Scholar] [CrossRef]
- Park, J.B.; Gal, B.S.; Lee, C.K.; Hong, S.H.; Choi, M.J.; Seo, H.S. Analysis of the Trophic Characteristics of the So-Oak River Watershed Using the Korean Trophic State Index. J. Wetl. Res. 2018, 20, 330–337. [Google Scholar]
- Kim, B.C.; Kong, D.S. Examination of the Applicability of TOC to Korean Trophic State Index. J. Korean Soc. Water Environ. 2019, 35, 271–277. [Google Scholar]
- Rim, C.S.; Shin, J.K. Cluster and Factor Analyses Using Water Quality Data in the Sapkyo Reservoir Watershed. J. Korea Water Resour. Assoc. 2002, 35, 149–159. [Google Scholar]





| Name (Abbreviation) | Basin Area (ha) | Surface Area (ha) | Water Storage Capacity (103 m3) | Main Use |
|---|---|---|---|---|
| Bunam (BN) | 15,720 | 3560 | 21,100 | Agriculture |
| Boryeong (BR) | 16,360 | 217 | 116,900 | Water Supply |
| Daeho (DH) | 31,215 | 7419 | 112,000 | Agriculture |
| Sapgyo (SG) | 163,950 | 2017 | 84,082 | Agriculture |
| Seokmun (SM) | 1750 | 59 | 975 | Agriculture |
| Tapjeong (TJ) | 21,880 | 636 | 31,927 | Agriculture |
| Range of | Trophic Class | Range (Recommended Value) for Adjustment Factor |
|---|---|---|
| 0~30 | Oligotrophic | 0.7 (0.7) |
| 30~50 | Mesotrophic | 0.7~5.3 (3.0) |
| 50~70 | Eutrophic | 5.3~14.5 (10.0) |
| 70~100+ | Hypertrophic | 14.5~39.4 (25.0) |
| Reservoir | Season | Trophic Class | Interpolated Adjustment Factor | ||
|---|---|---|---|---|---|
| Mean (Std. Error) | |||||
| BN | Spring | 68.57 | (2.63) | Eutrophic | 13.84 |
| Summer | 71.30 | (2.91) | Hypertrophic | 15.58 | |
| Autumn | 70.00 | (1.90) | Eutrophic | 14.50 | |
| Winter | 68.69 | (2.14) | Eutrophic | 13.90 | |
| BR | Spring | 26.81 | (1.30) | Oligotrophic | 0.63 |
| Summer | 31.92 | (1.62) | Mesotrophic | 1.14 | |
| Autumn | 30.68 | (0.94) | Mesotrophic | 0.86 | |
| Winter | 27.07 | (0.71) | Oligotrophic | 0.63 | |
| DH | Spring | 50.81 | (1.08) | Eutrophic | 5.67 |
| Summer | 59.80 | (1.13) | Eutrophic | 9.81 | |
| Autumn | 64.86 | (2.80) | Eutrophic | 12.14 | |
| Winter | 52.49 | (1.40) | Eutrophic | 6.45 | |
| SG | Spring | 71.34 | (2.01) | Hypertrophic | 15.61 |
| Summer | 72.31 | (1.88) | Hypertrophic | 16.42 | |
| Autumn | 70.93 | (1.99) | Hypertrophic | 15.27 | |
| Winter | 70.17 | (1.72) | Hypertrophic | 14.64 | |
| SM | Spring | 62.34 | (2.46) | Eutrophic | 10.98 |
| Summer | 73.74 | (6.11) | Hypertrophic | 17.60 | |
| Autumn | 67.86 | (1.88) | Eutrophic | 13.52 | |
| Winter | 55.60 | (0.73) | Eutrophic | 7.88 | |
| TJ | Spring | 39.19 | (2.63) | Mesotrophic | 2.81 |
| Summer | 50.59 | (1.30) | Eutrophic | 5.57 | |
| Autumn | 51.01 | (1.91) | Eutrophic | 5.76 | |
| Winter | 41.28 | (2.06) | Mesotrophic | 3.29 | |
| Reservoir | Spring | Summer | Autumn | Winter | Total | Per Hectare |
|---|---|---|---|---|---|---|
| BN | 725.0 | 816.2 | 759.6 | 728.2 | 3028.9 | 0.851 |
| BR | 2.0 | 3.6 | 2.7 | 2.0 | 10.4 | 0.048 |
| DH | 619.0 | 1071.0 | 1325.3 | 704.2 | 3719.4 | 0.501 |
| SG | 463.3 | 487.3 | 453.2 | 434.5 | 1838.4 | 0.911 |
| SM | 9.5 | 15.3 | 11.7 | 6.8 | 43.3 | 0.735 |
| TJ | 26.3 | 52.1 | 53.9 | 30.8 | 163.1 | 0.256 |
| Sources of Variation | Sum of Squares | Degree of Freedom | Mean Square | F-Value | p-Value |
|---|---|---|---|---|---|
| Surface Area | 2.22 × 106 | 1 | 2.22 × 106 | 98.7 | <0.001 |
| 266,863 | 1 | 266,863 | 11.9 | 0.002 | |
| Residuals | 472,579 | 21 | 22,504 |
| Predictor | Estimate | Standard Error | 95% CI | t-Value | p-Value | |
|---|---|---|---|---|---|---|
| Lower | Upper | |||||
| Intercept | −320.023 | 115.3802 | −559.9692 | −80.077 | −2.77 | 0.011 |
| Surface Area | 0.123 | 0.0124 | 0.0976 | 0.149 | 9.94 | <0.001 |
| 7.127 | 2.0696 | 2.8230 | 11.431 | 3.44 | 0.002 | |
| Marginal Mean | Standard Error | 95% CI | ||
|---|---|---|---|---|
| Lower | Upper | |||
| 40.4 (1) | 254 | 44.8 | 161 | 347 |
| 56.2 (2) | 367 | 30.6 | 303 | 430 |
| 72.1 (3) | 480 | 44.8 | 386 | 573 |
Publisher’s Note: MDPI stays neutral with regard to jurisdictional claims in published maps and institutional affiliations. |
© 2022 by the authors. Licensee MDPI, Basel, Switzerland. This article is an open access article distributed under the terms and conditions of the Creative Commons Attribution (CC BY) license (https://creativecommons.org/licenses/by/4.0/).
Share and Cite
Chung, Y.; Paik, C.; Kim, Y.J. Estimation of Methane Emissions from Reservoirs Based on Country-Specific Trophic State Assessment in Korea. Water 2022, 14, 562. https://doi.org/10.3390/w14040562
Chung Y, Paik C, Kim YJ. Estimation of Methane Emissions from Reservoirs Based on Country-Specific Trophic State Assessment in Korea. Water. 2022; 14(4):562. https://doi.org/10.3390/w14040562
Chicago/Turabian StyleChung, Yongjoo, Chunhyun Paik, and Young Jin Kim. 2022. "Estimation of Methane Emissions from Reservoirs Based on Country-Specific Trophic State Assessment in Korea" Water 14, no. 4: 562. https://doi.org/10.3390/w14040562
APA StyleChung, Y., Paik, C., & Kim, Y. J. (2022). Estimation of Methane Emissions from Reservoirs Based on Country-Specific Trophic State Assessment in Korea. Water, 14(4), 562. https://doi.org/10.3390/w14040562

