The Application and Improvement of Soil–Water Characteristic Curves through In Situ Monitoring Data in the Plains
Abstract
1. Introduction
2. Materials and Methods
2.1. Study Area
2.1.1. Design of Closed Small Watershed
2.1.2. Fine Monitoring of the Whole Process
2.1.3. Basic Characteristics of the BTQ Field Soil
2.2. Study Method
2.2.1. The van Genuchten (VG) Model
2.2.2. Numerical Code (HYDRUS-1D)
2.2.3. Numerical Inversion of VG Model Parameters
3. Results
3.1. Soil Water Dynamics in the Field
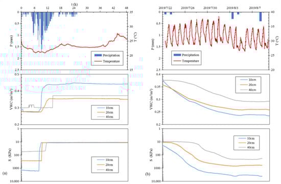
3.1.1. Meteorological and Hydrological Characteristics
3.1.2. Dynamic Analysis of Soil Water Content and Suction
3.1.3. Drying and Wetting Cycle of Soil
3.2. Results of Parameter Inversion
3.3. Soil Water Dynamic Simulation
4. Discussion
4.1. Influencing Factors of Soil Water Movement
4.2. Accuracy of VG Model Parameter Inversion
4.3. Application of Soil–Water Characteristic Curve
5. Conclusions
Author Contributions
Funding
Institutional Review Board Statement
Informed Consent Statement
Data Availability Statement
Acknowledgments
Conflicts of Interest
References
- Smith, A.; Tetzlaff, D.; Gelbrecht, J.; Kleine, L.; Soulsby, C. Riparian wetland rehabilitation and beaver re-colonization impacts on hydrological processes and water quality in a lowland agricultural catchment. Sci. Total Env. 2020, 699, 134302. [Google Scholar] [CrossRef] [PubMed]
- Yu, L.; Rozemeijer, J.; van Breukelen, B.M.; Ouboter, M.; van der Vlugt, C.; Broers, H.P. Groundwater impacts on surface water quality and nutrient loads in lowland polder catchments: Monitoring the greater Amsterdam area. Hydrol. Earth Syst. Sci. 2018, 22, 487–508. [Google Scholar] [CrossRef]
- Glavan, M.; Cvejic, R.; Tratnik, M.; Pintar, M. Geospatial Analysis of Water Resources for Sustainable Agricultural Water Use in Slovenia. In Current Perspectives in Contaminant Hydrology and Water Resources Sustainability; InTech: Rijeka, Croatia, 2013; pp. 199–219. [Google Scholar]
- De Carlo, L.; Perkins, K.; Caputo, M.C. Evidence of Preferential Flow Activation in the Vadose Zone via Geophysical Monitoring. Sensors 2021, 21, 1358. [Google Scholar] [CrossRef]
- Doudill, A.J.; Heathwaite, A.L.; homas, D.S.G.T. Soil water movement and nutrient cycling in semi-arid rangeland_ vegetation change and system resilience. Hydrol. Process. 1998, 12, 443–459. [Google Scholar]
- Pu, H.; Song, W.; Wu, J. Using Soil Water Stable Isotopes to Investigate Soil Water Movement in a Water Conservation Forest in Hani Terrace. Water 2020, 12, 3520. [Google Scholar] [CrossRef]
- Touma, J.; Vachaud, G. Air and water flow in a sealed, ponded vertical soil column experiment and model. Soil Sci. 1984, 137, 181–187. [Google Scholar] [CrossRef]
- Wang, Z.; Feyen, J.; Nielsen, D.R.; van Genuchten, M.T. Two-phase flow infiltration equations accounting for air entrapment effects. Water Resour. Res. 1997, 33, 2759–2767. [Google Scholar] [CrossRef]
- Han, D.; Zhou, T. Soil water movement in the unsaturated zone of an inland arid region: Mulched drip irrigation experiment. J. Hydrol. 2018, 559, 13–29. [Google Scholar] [CrossRef]
- Zhao, T.; Zhu, Y.; Wu, J.; Ye, M.; Mao, W.; Yang, J. Quantitative Estimation of Soil-Ground Water Storage Utilization during the Crop Growing Season in Arid Regions with Shallow Water Table Depth. Water 2020, 12, 3351. [Google Scholar] [CrossRef]
- Kumar, C.P.; Seth, S.M. Derivation of Soil Moisture Retention Characteristics from Saturated Hydraulic Conductivity. Natl. Inst. Hydrol. 2001, 49, 653–657. [Google Scholar]
- Xiang, J.; Xu, Y.; Yuan, J.; Wang, Q.; Wang, J.; Deng, X. Multifractal Analysis of River Networks in an Urban Catchment on the Taihu Plain, China. Water 2019, 11, 2283. [Google Scholar] [CrossRef]
- Uhlenbrook, S. Catchment hydrology—A science in which all processes are preferential. Hydrol. Process. 2006, 20, 3581–3585. [Google Scholar] [CrossRef]
- De Carlo, L.; Battilani, A.; Solimando, D.; Caputo, M.C. Application of time-lapse ERT to determine the impact of using brackish wastewater for maize irrigation. J. Hydrol. 2020, 582, 124465. [Google Scholar] [CrossRef]
- Kalbus, E.; Reinstorf, F.; Schirmer, M. Measuring methods for groundwater–surface water interactions. Hydrol. Earth Syst. Sci. 2006, 10, 873–887. [Google Scholar] [CrossRef]
- Sophocleous, M. Interactions between groundwater and surface water: The state of the science. Hydrogeol. J. 2002, 10, 52–67. [Google Scholar] [CrossRef]
- Winter, T.C. Recent advances in understanding the interaction of groundwater and surface water. Rev. Geophys. 1995, 33, 985–994. [Google Scholar] [CrossRef]
- Fredlund, D.G.; Xing, A. Equations for the soil-water characteristic curve. Can. Geotech J. 1994, 31, 521–532. [Google Scholar] [CrossRef]
- Habasimbi, P.; Nishimura, T. Soil Water Characteristic Curve of an Unsaturated Soil under Low Matric Suction Ranges and Different Stress Conditions. Int. J. Geosci. 2019, 10, 39–56. [Google Scholar] [CrossRef]
- Huyakorn, P.S.; Thomas, S.D. Techniques for Making Finite Elements Competitve in Modeling Flow. Water Resour. Res. 1984, 20, 1099–1135. [Google Scholar] [CrossRef]
- Jordan, P. Hillslope hydrology and stability. Can. Water Resour. J./Rev. Can. Des Ressour. Hydr. 2014, 40, 126–127. [Google Scholar] [CrossRef]
- Wosten, J.H.M.; Genuchten, M.T.V. Using Texture and Other Soil Properties to Predict the Unsaturated Soil Hydraulic Functions. Soil Sci. Am. J. 1988, 52, 1762–1770. [Google Scholar] [CrossRef]
- Heshmati, A.A.; Motahari, M.R. Identification of key parameters on soil water characteristic curve. Life Sci. J. 2012, 9, 1532–1537. [Google Scholar]
- Cresswell, H.P.; Green, T.W.; McKenzie, N.J. The Adequacy of Pressure Plate Apparatus for Determining Soil Water Retention. Soil Sci. Soc. Am. J. 2008, 72, 41–49. [Google Scholar] [CrossRef]
- Bittelli, M.; Flury, M. Errors in Water Retention Curves Determined with Pressure Plates. Soil Sci. Soc. Am. J. 2009, 73, 1453–1460. [Google Scholar] [CrossRef]
- McQUEEN, I.S.; Miller, R.F. Calibration and evalution of a wide-range gravimetricmethod for measuring mois. Soil Sci. 1968, 106, 225–231. [Google Scholar] [CrossRef]
- Bordoni, M.; Bittelli, M.; Valentino, R.; Chersich, S.; Meisina, C. Improving the estimation of complete field soil water characteristic curves through field monitoring data. J. Hydrol. 2017, 552, 283–305. [Google Scholar] [CrossRef]
- Zhao, Y.; Wang, W.; Wang, Z.; Li, L.C. Physico-empirical methods for estimating soil water characteristic curve under different particle size. In Proceedings of the IOP Conference Series: Earth and Environmental Science, Kaohsiung City, Taiwan, 17–21 July 2018; p. 012018. [Google Scholar]
- Gupta, S.C.; Larson, W.E. Estimating Soil Water Retention Characteristics From Particle Size. Water Resour. Res. 1979, 15, 1633–1635. [Google Scholar] [CrossRef]
- Vereecken, H.; Maes, J.; Feyen, J.; Darius, P. Estimating the Soil Moisture Retention Characteristic from Texture, Bulk Density, and Carbon Content. Soil Sci. 1989, 148, 389–403. [Google Scholar] [CrossRef]
- Schaap, M.G.; Leij, F.J.; Genuchten, M.T.v. Neural Network Analysis for Hierarchical Prediction of Soil Hydraulic Properties. Soil Sci. Am. J. 1998, 62, 847–855. [Google Scholar] [CrossRef]
- Lalit, M.; Arya, L.F.J.; Genuchten, M.T.v.; Shouse, P.J. Scaling Parameter to Predict the Soil Water Characteristic from Particle Size Distribution Data. Soil Sci. Am. J. 1999, 63, 510–519. [Google Scholar]
- Tyler, S.W.; Wheatcraft, S.W. Fractal Processes in Soil Water Retention. Water Resour. Res. 1990, 26, 1047–1054. [Google Scholar] [CrossRef]
- Liu, J.; Xu, S.; LIU, H. A review of development in estimating soil water retention characteristics from soil data. J. Hydraul. Eng. 2004, 2, 68–76. [Google Scholar]
- Brooks, R.H.; Corey, A.T. Hydraulic properties of porous media and their relation to drainage design. Trans. ASAE 1964, 7, 26–28. [Google Scholar]
- Brooks, R.H.; Corey, A.T. Properties of porous media affecting fluid flow. J. Irrig. Drain. Eng. 1966, 92, 61–88. [Google Scholar] [CrossRef]
- Van Genuchten, M.T. A Closed-form Equation for Predicting the Hydraulic Conductivity of Unsaturated Soils. Soil Sci. Soc. Am. J. 1980, 44, 892–898. [Google Scholar] [CrossRef]
- Gardner, W.R. Some steady-state solutions of the unsaturated moistureflow equation with application to evaporation from a water table. US Dcpariment Agric. 1957, 85, 228–232. [Google Scholar]
- Russo, D. Determining Soil Hydraulic Properties by Parameter Estimation. Water Resour. Res. 1988, 24, 453–459. [Google Scholar] [CrossRef]
- Whisler, F.D.; Watson, K.K. One-dimensional gravity drainage of uniform columns of porous materials. J. Hydrol. 1968, 6, 277–296. [Google Scholar] [CrossRef]
- Zachmann, D.W.; Chateau, P.C.D.; Klute, A. Simultaneous approximation of water capacity and soil hydraulic conductivity by parameter identification. Soil Sci. 1982, 134, 0038–0075X. [Google Scholar] [CrossRef]
- Šimůnek, J.; van Genuchten, M.T. Estimating Unsaturated Soil Hydraulic Properties from Tension Disc Infiltrometer Data by Numerical Inversion. Water Resour. Res. 1996, 32, 2683–2696. [Google Scholar] [CrossRef]
- Dane, J.H.; Hruska, S. In-Situ Determination of Soil Hydraulic Properties during Drainage. Soil Sci. Soc. Am. J. 1983, 47, 619–624. [Google Scholar] [CrossRef]
- Topp, G.C.; Davis, J.L.; Annan, A.P. Electromagnetic determination of soil water content: Measurements in coaxial transmission lines. Water Resour. Res. 1980, 16, 574–582. [Google Scholar] [CrossRef]
- Nolz, R.; Kammerer, G. Evaluating a sensor setup with respect to near-surface soil water monitoring and determination of in-situ water retention functions. J. Hydrol. 2017, 549, 301–312. [Google Scholar] [CrossRef]
- Chai, J.; Khaimook, P. Prediction of soil-water characteristic curves using basic soil properties. Transp. Geotech. 2020, 22, 100295. [Google Scholar] [CrossRef]
- Mohammadzadeh-Habili, J.; Heidarpour, M. Application of the Green–Ampt model for infiltration into layered soils. J. Hydrol. 2015, 527, 824–832. [Google Scholar] [CrossRef]
- Sochan, A.; Bieganowski, A.; Ryżak, M.; Dobrowolski, R.; Bartmiński, P. Comparison of soil texture determined by two dispersion units of Mastersizer 2000. Int. Agrophysics 2012, 26, 99–102. [Google Scholar] [CrossRef]
- Carneiro, J.d.S.; Nogueira, R.M.; Martins, M.A.; ValladÃo, D.M.d.S.; Pires, E.M. The oven-drying method for determination of water contentin Brazil nut. Orig. Artic. 2018, 34, 595–602. [Google Scholar]
- Zhang, Y.; Li, H.; Abdelhady, A.; Yang, J. Comparative laboratory measurement of pervious concrete permeability using constant-head and falling-head permeameter methods. Constr. Build. Mater. 2020, 263, 120614. [Google Scholar] [CrossRef]
- Šimůnek, J.; Genuchten, M.T.v.; Šejna, M. Development and Applications of the HYDRUS and STANMOD Software Packages and Related Codes. Vadose Zone J. 2008, 7, 587–600. [Google Scholar] [CrossRef]
- Jiri, J.S.; Saito, H.; Sakai, M.; Genuchten, M.T.V. The HYDRUS-1D Software Package for Simulating the One-Dimensional Movement of Water, Heat, and Multiple Solutes in Variably-Saturated Media; CSIRO: Canberra, Australia, 2008.
- Iiyama, I. Differences between field-monitored and laboratory-measured soil moisture characteristics. Soil Sci. Plant Nutr. 2016, 62, 416–422. [Google Scholar] [CrossRef][Green Version]
- Wang, J.-P.; Ren, X.-L.; Cai, T.; Zhang, P.; Zhang, J.-C. Study of soil evaporation influenced by introducing different depths of rainwater. Agric. Res. Arid. Areas 2019, 37, 59–63. [Google Scholar]
- Carsel, R.F.; Parrish, R.S. Developing Joint Probability Distributions of Soil Water Retention Characteristics. Water Resour. Res. 1988, 24, 755–769. [Google Scholar]
- Zhou, T.; Han, C.; Qiao, L.; Ren, C.; Wen, T.; Zhao, C. Seasonal dynamics of soil water content in the typical vegetation and its response to precipitation in a semi-arid area of Chinese Loess Plateau. J. Arid. Land 2021, 13, 1015–1025. [Google Scholar] [CrossRef]
- Wang, J.; Huang, Y.; Long, H.; Hou, S.; Xing, A.; Sun, Z. Simulations of water movement and solute transport through different soil texture configurations under negative-pressure irrigation. Hydrol. Process. 2017, 31, 2599–2612. [Google Scholar] [CrossRef]
- Li, X.; Shao, M.a.; Zhao, C.; Jia, X. Spatial variability of soil water content and related factors across the Hexi Corridor of China. J. Arid. Land 2018, 11, 123–134. [Google Scholar] [CrossRef]
- Zhang, H.; Jiang, C.; Li, L.; Zhu, L. Parameter sensitivity analysis of VG model in the varying-head infiltration based on HYDRUS-1D simulation. J. Hohai Univ. 2019, 47, 32–40. [Google Scholar]
- Tao, G.; Li, J.; Zhuang, X.; Xiao, H.; Cui, X.; Xu, W. Determination of the residual water content of SWCC based on the soil moisture evaporation properties and micro pore characteristics. Yantu Lixue/Rock Soil Mech. 2018, 39, 1256–1262. [Google Scholar]
- Sorbino, G.; Nicotera, M.V. Unsaturated soil mechanics in rainfall-induced flow landslides. Eng. Geol. 2013, 165, 105–132. [Google Scholar] [CrossRef]
- Wu, Y.; Yang, A.; Zhao, Y.; Liu, Z. Simulation of soil water movement under biochar application based on the hydrus-1D in the black soil region of China. Appl. Ecol. Environ. Res. 2019, 12, 4183–4192. [Google Scholar] [CrossRef]
- Wang, X.; Li, Y.; Si, B.; Ren, X.; Chen, J. Simulation of Water Movement in Layered Water-Repellent Soils using HYDRUS-1D. Soil Sci. Soc. Am. J. 2018, 82, 1101–1112. [Google Scholar] [CrossRef]
- Bashir, R.; Sharma, J.; Stefaniak, H. Effect of hysteresis of soil-water characteristic curves on infiltration under different climatic conditions. Can. Geotech. J. 2016, 53, 273–284. [Google Scholar] [CrossRef]
- Brocca, L.; Ciabatta, L.; Massari, C.; Camici, S.; Tarpanelli, A. Soil Moisture for Hydrological Applications: Open Questions and New Opportunities. Water 2017, 9, 140. [Google Scholar] [CrossRef]
- van der Velde, Y.; Rozemeijer, J.C.; de Rooij, G.H.; van Geer, F.C.; Broers, H.P. Field-Scale Measurements for Separation of Catchment Discharge into Flow Route Contributions. Vadose Zone J. 2010, 9, 25–35. [Google Scholar] [CrossRef]









| Depth (cm) | Clay (%) | Silt (%) | Sand (%) | γ (g/cm3) | OM (g/kg) | θS (cm3/cm3) | Ks (mm/h) |
|---|---|---|---|---|---|---|---|
| 0–10 | 27.4 (2.18) | 59.6 (3.35) | 13 (1.14) | 1.52 (0.5) | 19.5 (2.45) | 0.473 (0.02) | 1.90 (0.11) |
| 10–20 | 29.6 (2.06) | 64.2 (1.18) | 6.2 (2.42) | 1.56 (0.08) | 8.03 (3.71) | 0.401 (0.02) | 1.74 (0.13) |
| 20–40 | 28.3 (1.98) | 64.3 (0.83) | 7.4 (0.86) | 1.43 (0.21) | 11.9 (4.21) | 0.426 (0.07) | 1.36 (0.2) |
| 40–60 | 31.6 (3.93) | 61.0 (1.08) | 7.4 (1.69) | 1.45 (0.10) | 27.7 (4.89) | 0.445 (0.05) | 0.95 (0.18) |
| 60–80 | 34.9 (1.08) | 59.5 (0.86) | 5.6 (0.97) | 1.54 (0.09) | 24.7 (4.34) | 0.434 (0.04) | 0.86 (0.08) |
| Depth (cm) | θr (m3/m3) | θs (m3/m3) | α (kPa−1) | n | RMSE (m3/m3) | R2 | |
|---|---|---|---|---|---|---|---|
| Silty clay loam (reference) [55] | 0.089 | 0.43 | 0.19 | 1.23 | |||
| Field soil wetting | 0–10 | 0.158 | 0.454 | 0.19 | 1.32 | 0.014 | 0.842 |
| 10–20 | 0.135 | 0.400 | 0.13 | 1.21 | 0.009 | 0.847 | |
| 20–40 | 0.048 | 0.441 | 0.11 | 1.18 | 0.013 | 0.787 | |
| Field soil drying | 0–10 | 0.134 | 0.451 | 0.14 | 1.26 | 0.014 | 0.949 |
| 10–20 | 0.046 | 0.400 | 0.09 | 1.13 | 0.012 | 0.937 | |
| 20–40 | 0.016 | 0.440 | 0.10 | 1.16 | 0.010 | 0.807 | |
| Laboratory observation | 0–10 | 0.207 | 0.468 | 0.04 | 1.49 | - | - |
| 10–20 | 0.196 | 0.406 | 0.03 | 1.47 | - | - | |
| 20–40 | 0.232 | 0.445 | 0.04 | 1.58 | - | - |
| Event Code | Start Time | P mm | T h | I mm h−1 | PMAX mm h−1 |
|---|---|---|---|---|---|
| A1 | 2018/05/24 8:00 | 28.7 | 48 | 0.598 | 16.0 |
| A2 | 2018/11/05 8:00 | 36.4 | 96 | 0.379 | 4.5 |
| A3 | 2018/11/16 8:00 | 18.8 | 48 | 0.392 | 2.4 |
| A4 | 2019/06/17 8:00 | 64.0 | 120 | 0.533 | 7.1 |
| A5 | 2020/03/24 8:00 | 49.7 | 120 | 0.414 | 8.0 |
| A6 | 2020/04/18 8:00 | 35.2 | 48 | 0.733 | 8.3 |
| Event Code | P (mm) | 10 cm | 20 cm | 40 cm | |||
|---|---|---|---|---|---|---|---|
| Field (Laboratory) | Field (Laboratory) | Field (Laboratory) | |||||
| RMSE (m3/m3) | R | RMSE (m3/m3) | R | RMSE (m3/m3) | R | ||
| A1 | 28.7 | 0.003 (0.006) | 0.983 (0.898) | 0.005 (0.002) | 0.89 (0.924) | 0.002 (0.005) | 0.714 (0.838) |
| A2 | 36.4 | 0.007 (0.026) | 0.997 (0.980) | 0.017 (0.027) | 0.639 (0.705) | 0.004 (0.006) | 0.833 (0.299) |
| A3 | 18.8 | 0.017 (0.027) | 0.889 (0.869) | 0.008 (0.014) | 0.927 (0.882) | 0.004 (0.003) | 0.050 (0.077) |
| A4 | 64 | 0.017 (0.020) | 0.985 (0.823) | 0.017 (0.008) | 0.959 (0.927) | 0.027 (0.038) | 0.842 (0.848) |
| A5 | 49.7 | 0.029 (0.029) | 0.962 (0.981) | 0.045 (0.048) | 0.789 (0.654) | 0.033 (0.023) | 0.468 (0.043) |
| A6 | 35.2 | 0.015 (0.042) | 0.990 (0.808) | 0.014 (0.020) | 0.981 (0.882) | 0.009 (0.010) | 0.62 (0.505) |
| Mean | 0.015 (0.025) | 0.968 (0.895) | 0.018 (0.020) | 0.864 (0.819) | 0.013 (0.014) | 0.588 (0.435) | |
Publisher’s Note: MDPI stays neutral with regard to jurisdictional claims in published maps and institutional affiliations. |
© 2022 by the authors. Licensee MDPI, Basel, Switzerland. This article is an open access article distributed under the terms and conditions of the Creative Commons Attribution (CC BY) license (https://creativecommons.org/licenses/by/4.0/).
Share and Cite
Zhang, P.; Chen, G.; Wu, J.; Wang, C.; Zheng, S.; Yu, Y.; Li, Y.; Li, X. The Application and Improvement of Soil–Water Characteristic Curves through In Situ Monitoring Data in the Plains. Water 2022, 14, 4012. https://doi.org/10.3390/w14244012
Zhang P, Chen G, Wu J, Wang C, Zheng S, Yu Y, Li Y, Li X. The Application and Improvement of Soil–Water Characteristic Curves through In Situ Monitoring Data in the Plains. Water. 2022; 14(24):4012. https://doi.org/10.3390/w14244012
Chicago/Turabian StyleZhang, Pingnan, Gang Chen, Jinning Wu, Chuanhai Wang, Shiwei Zheng, Yue Yu, Youlin Li, and Xiaoning Li. 2022. "The Application and Improvement of Soil–Water Characteristic Curves through In Situ Monitoring Data in the Plains" Water 14, no. 24: 4012. https://doi.org/10.3390/w14244012
APA StyleZhang, P., Chen, G., Wu, J., Wang, C., Zheng, S., Yu, Y., Li, Y., & Li, X. (2022). The Application and Improvement of Soil–Water Characteristic Curves through In Situ Monitoring Data in the Plains. Water, 14(24), 4012. https://doi.org/10.3390/w14244012

