Effect of Medium Pressure Ultraviolet/Chlorine Advanced Oxidation on the Production of Disinfection by-Products from Seven Model Benzene Precursors
Abstract
Highlights
- MPUV/chlorine increased the chlorine demand and DBPFP of benzoic acid and nitrobenzene.
- MPUV/chlorine showed no further activation on active DBP precursors.
- MPUV/chlorine at pH 6 showed greater impact on precursors’ DBPFP than at pH 8.
- MPUV/chlorine increased the BSF of THMs in the presence of bromine.
Abstract
1. Introduction
2. Materials and Methods
2.1. Chemicals and Materials
2.2. Experimental Procedures
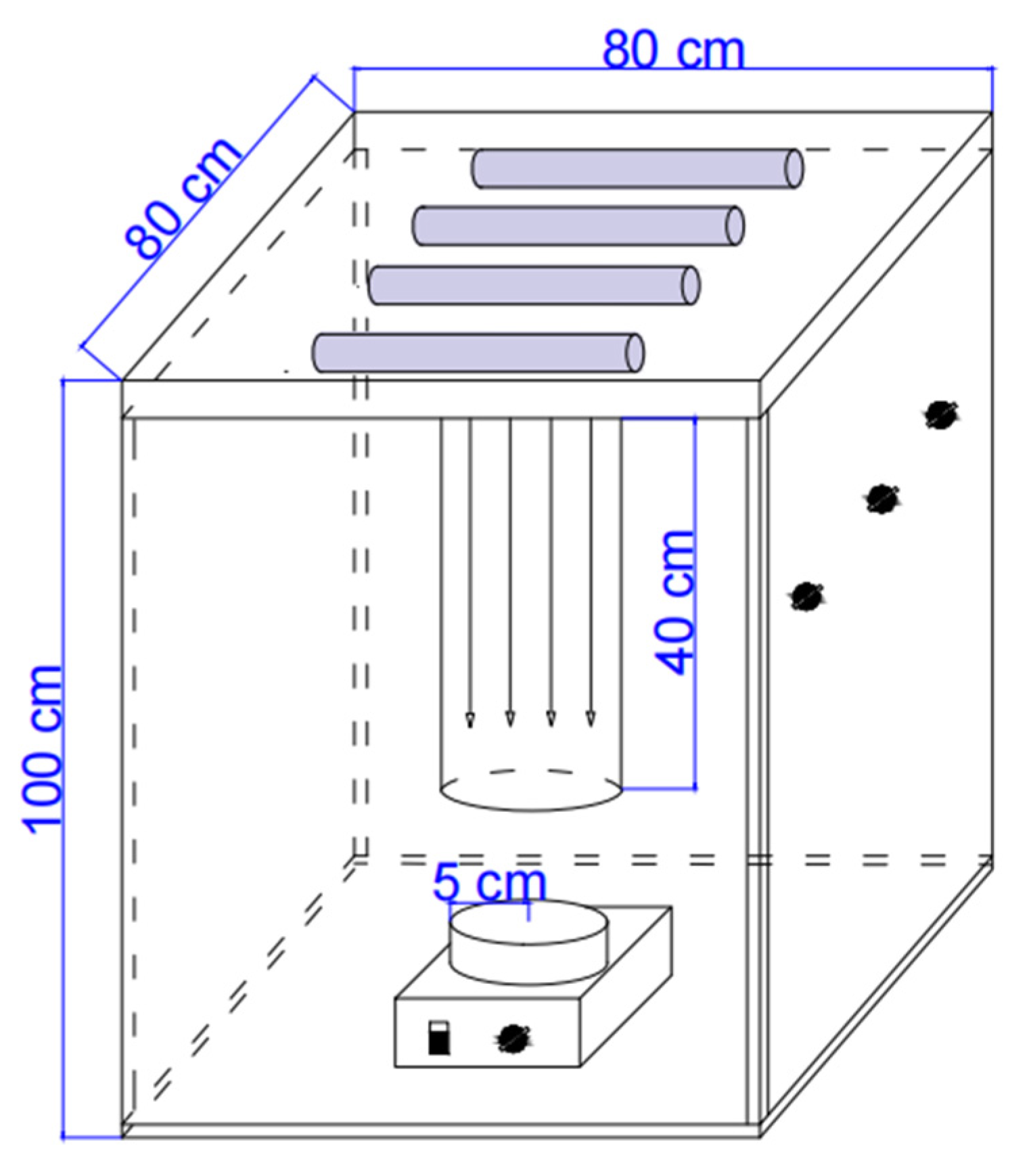
2.2.1. Short-Term Oxidation in the UV Reactor
2.2.2. DBP Formation Potential Tests
2.3. Analytical Methods
3. Results and Discussion
3.1. Chlorine Demand
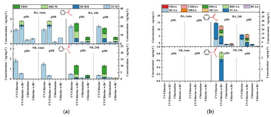
3.2. Effect of MPUV/Chlorine Oxidation on DBP Formation from Seven Benzene Precursors
3.2.1. Effect of MPUV/Chlorine Oxidation on DBP Formation from Inert Benzene Precursors without Bromide
3.2.2. Effects of Bromide on DBP Formation from Inert Benzene Precursors
3.3. Effect of MPUV/Chlorine Oxidation on DBP Formation from Reactive Benzene Precursors
3.3.1. Effect of MPUV/Chlorine Oxidation on DBP Formation from Reactive Benzene Precursors without Bromide
3.3.2. Effect of Bromide on DBP Formation from Reactive Benzene Precursors
3.4. Relationship between MPUV/Chlorine-Induced Chlorine Demand Changes and Corresponding DBPFP Changing Trends of Model Precursors
4. Conclusions
Supplementary Materials
Author Contributions
Funding
Acknowledgments
Conflicts of Interest
Abbreviations
References
- Miklos, D.B.; Wang, W.L.; Linden, K.G.; Drewes, J.E.; Hübner, U. Comparison of UV-AOPs (UV/H2O2, UV/PDS and UV/Chlorine) for TOrC removal from municipal wastewater effluent and optical surrogate model evaluation. Chem. Eng. J. 2019, 362, 537–547. [Google Scholar] [CrossRef]
- Zhang, Y.L.; Wang, W.L.; Lee, M.Y.; Yang, Z.W.; Wu, Q.Y.; Huang, N.; Hu, H.Y. Promotive effects of vacuum-UV/UV (185/254 nm) light on elimination of recalcitrant trace organic contaminants by UV-AOPs during wastewater treatment and reclamation: A review. Sci. Total Environ. 2022, 818, 151776. [Google Scholar] [CrossRef]
- VVaranasi, L.; Coscarelli, E.; Khaksari, M.; Mazzoleni, L.R.; Minakata, D. Transformations of dissolved organic matter induced by UV photolysis, Hydroxyl radicals, chlorine radicals, and sulfate radicals in aqueous-phase UV-Based advanced oxidation processes. Water Res. 2018, 135, 22–30. [Google Scholar] [CrossRef]
- Wang, J.; Deng, J.; Du, E.; Guo, H. Reevaluation of radical-induced differentiation in UV-based advanced oxidation processes (UV/hydrogen peroxide, UV/peroxydisulfate, and UV/chlorine) for metronidazole removal: Kinetics, mechanism, toxicity variation, and DFT studies. Sep. Purif. Technol. 2022, 3, 121905. [Google Scholar] [CrossRef]
- Laat, J.D.; Stefan, M.I. UV/chlorine process. In Advanced Oxidation Processes for Water Treatment; Stefan, M.I., Ed.; IWA Publishing: London, UK, 2018; Chapter 9. [Google Scholar]
- Guo, K.; Wu, Z.; Chen, C.; Fang, J. UV/Chlorine process: An efficient advanced oxidation process with multiple radicals and functions in water treatment. Acc. Chem. Res. 2022, 55, 286–297. [Google Scholar] [CrossRef]
- Fang, J.; Fu, Y.; Shang, C. The roles of reactive species in micropollutant degradation in the UV/free chlorine system. Environ. Sci. Technol. 2014, 48, 1859–1868. [Google Scholar] [CrossRef] [PubMed]
- Lei, Y.L.; Cheng, S.; Luo, N.; Yang, X.; An, T. Rate constants and of mechanisms for the reactions of Cl and Cl2- with trace organic contaminants. Environ. Sci. Technol. 2019, 55, 11170–11182. [Google Scholar] [CrossRef]
- Gao, Y.Q.; Zhang, J.; Li, C.; Tian, F.X.; Gao, N.Y. Comparative evaluation of metoprolol degradation by UV/chlorine and UV/H2O2 processes. Chemosphere 2020, 243, 125325. [Google Scholar] [CrossRef] [PubMed]
- Guo, K.; Wu, Z.; Yan, S.; Yao, B.; Song, W.; Hua, Z.; Zhang, X.; Kong, X.; Li, X.; Fang, J. Comparison of the UV/chlorine and UV/H2O2 processes in the degradation of PPCPs in simulated drinking water and wastewater: Kinetics, radical mechanism and energy requirements. Water Res. 2018, 147, 184–194. [Google Scholar] [CrossRef]
- Pai, C.-W.; Wang, G.-S. Treatment of PPCPs and disinfection by-product formation in drinking water through advanced oxidation processes: Comparison of UV, UV/Chlorine, and UV/H2O2. Chemosphere 2021, 287, 132171. [Google Scholar] [CrossRef] [PubMed]
- Watts, M.J.; Linden, K.G. Chlorine photolysis and subsequent OH radical production during UV treatment of chlorinated water. Water Res. 2007, 41, 2871–2878. [Google Scholar] [CrossRef] [PubMed]
- Wang, D.; Bolton, J.R.; Andrews, S.A.; Hofmann, R. Formation of disinfection by-products in the ultraviolet/chlorine advanced oxidation process. Sci. Total Environ. 2015, 518–519, 49–57. [Google Scholar] [CrossRef]
- Bulman, D.M.; Remucal, C.K. Role of reactive halogen species in disinfection byproduct formation during chlorine photolysis. Environmental Sci. Technol. 2020, 54, 9629–9639. [Google Scholar] [CrossRef] [PubMed]
- Wang, C.; Moore, N.; Bircher, K.; Andrews, S.; Hofmann, R. Full-scale comparison of UV/H2O2 and UV/Cl2 advanced oxidation: The degradation of micropollutant surrogates and the formation of disinfection byproducts. Water Res. 2019, 161, 448–458. [Google Scholar] [CrossRef] [PubMed]
- Yang, X.; Sun, J.; Fu, W.; Shang, C.; Li, Y.; Chen, Y.; Gan, W.; Fang, J. PPCP degradation by UV/chlorine treatment and its impact on DBP formation potential in real waters. Water Res. 2016, 98, 309–318. [Google Scholar] [CrossRef]
- Hua, Z.; Li, D.; Wu, Z.; Wang, D.; Cui, Y.; Huang, X.; Fang, J.; An, T. DBP formation and toxicity alteration during UV/chlorine treatment of wastewater and the effects of ammonia and bromide. Water Res. 2021, 188, 116549. [Google Scholar] [CrossRef]
- Luo, Y.; Feng, L.; Liu, Y.; Zhang, L. Disinfection by-products formation and acute toxicity variation of hospital wastewater under different disinfection processes. Sep. Purif. Technol. 2020, 238, 116405. [Google Scholar] [CrossRef]
- Li, T.; Jiang, Y.; An, X.; Liu, H.; Hu, C.; Qu, J. Transformation of humic acid and halogenated byproduct formation in UV/chlorine processes. Water Res. 2016, 102, 421–427. [Google Scholar] [CrossRef]
- Shah, A.D.; Dotson, A.D.; Linden, K.G.; Mitch, W.A. Impact of UV disinfection combined with chlorination/chloramination on the formation of halonitromethanes and haloacetonitriles in drinking water. Environ. Sci. Technol. 2011, 45, 3657–3664. [Google Scholar] [CrossRef]
- Wang, W.-L.; Zhang, X.; Wu, Q.-Y.; Du, Y.; Hu, H.-Y. Degradation of natural organic matter by UV/chlorine oxidation: Molecular decomposition, formation of oxidation byproducts and cytotoxicity. Water Res. 2017, 124, 251–258. [Google Scholar] [CrossRef]
- Bolton, R.J.; Hofmann, J.R.; Ding, W.; Andrews, A.S. UV/chlorine control of drinking water taste and odour at pilot and full-scale. Chemosphere: Environ. Toxicol. Risk Assess. 2015, 136, 239–244. [Google Scholar]
- Wu, Z.; Guo, K.; Fang, J.; Yang, X.; Xiao, H.; Hou, S.; Kong, X.; Shang, C.; Yang, X.; Meng, F.; et al. Factors affecting the roles of reactive species in the degradation of micropollutants by the UV/chlorine process. Water Res. 2017, 126, 351–360. [Google Scholar] [CrossRef] [PubMed]
- Wang, C.; Ying, Z.; Ma, M.; Huo, M.; Yang, W. Degradation of micropollutants by UV chlorine treatment in reclaimed water: pH effects, formation of disinfectant byproducts, and toxicity assay. Water 2019, 11, 2639. [Google Scholar] [CrossRef]
- Bolton, J.R.; Linden, K.G. Standardization of methods for fluence (UV dose) determination in bench-scale UV experiments. J. Environ. Eng. 2003, 129, 209–215. [Google Scholar] [CrossRef]
- Chuang, Y.H.; Szczuka, A.; Shabani, F.; Munoz, J.; Aflaki, R.; Hammond, S.D.; Mitch, W.A. Pilot-scale comparison of microfiltration/reverse osmosis and ozone/biological activated carbon with UV/hydrogen peroxide or UV/free chlorine AOP treatment for controlling disinfection byproducts during wastewater reuse. Water Res. 2019, 152, 215–225. [Google Scholar] [CrossRef]
- Summers, R.; Hooper, S.; Shukairy, H.; Solarik, G.; Owen, D. Assessing DBP yield: Uniform formation conditions. J. Am. Water Work. Assoc. 1996, 88, 80–93. [Google Scholar] [CrossRef]
- APHA; AWWA; WEF. Standard Methods for the Examination of Water and Wastewater, 21st ed.; 4500-Cl, G. DPD Colorimmetric Method; American Public Health Association: Washington, DC, USA, 2005; pp. 4–67. [Google Scholar]
- Munch, D.; Hautman, D. Method 551.1: Determination of Chlorination Disinfection Byproducts, Chlorinated Solvents, and Halogenated Pesticides/Herbicides in Drinking Water by Liquid-Liquid Extraction and Gas Chromatography with Electron-Capture Detection; National Exposure Research Laboratory Office of Research and Development U.S. Environmental Protection Agency: Cincinnati, OH, USA, 1995.
- Hodgeson, J.; Collins, J.; Barth, R. Method 552.2. Determination of Haloacetic Acids in Drinking Water by Liquid Liquid Extraction and Gas Chromatography with Electron Capture Detection; Technical Support Center Office of Ground Water and Drinking Water U. S. Environmental Protection Agency: Cincinnati, OH, USA, 1995.
- Bulman, D.M.; Mezyk, S.P.; Remucal, C.K. The impact of pH and Irradiation wavelength on the production of reactive oxidants during chlorine photolysis. Environ. Sci. Technol. 2019, 53, 4450–4459. [Google Scholar] [CrossRef]
- An, Z.; Li, M.; Huo, Y.; Jiang, J.; Zhou, Y.; Jin, Z.; Xie, J.; Zhan, J.; He, M. The pH-dependent contributions of radical species during the removal of aromatic acids and bases in light/chlorine systems. Chem. Eng. J. 2022, 433, 133493. [Google Scholar] [CrossRef]
- Cheng, S.; Zhang, X.; Yang, X.; Shang, C.; Song, W.; Fang, J.; Pan, Y. The multiple role of bromide ion in PPCPs degradation under UV/Chlorine treatment. Environ. Sci. Technol. 2018, 52, 1806–1816. [Google Scholar] [CrossRef]
- Guo, K.; Wu, Z.; Shang, C.; Yao, B.; Hou, S.; Yang, X.; Song, W. Radical chemistry and structural relationships of PPCP degradation by UV/chlorine treatment in simulated drinking water. Environ. Sci. Technol. 2017, 51, 10431–10439. [Google Scholar] [CrossRef]
- Zhao, Q.; Shang, C.; Zhang, X.; Ding, G.; Yang, X. Formation of halogenated organic byproducts during medium-pressure UV and chlorine coexposure of model compounds, NOM and bromide. Water Res. 2011, 45, 6545–6554. [Google Scholar] [CrossRef] [PubMed]
- Liang, L.; Singer, P.C. Factors influencing the formation and relative distribution of haloacetic acids and trihalomethanes in drinking water. Environ. Sci. Technol. 2003, 37, 2920–2928. [Google Scholar] [CrossRef] [PubMed]
- Deng, L.; Huang, C.H.; Wang, Y.L. Effects of combined UV and chlorine treatment on the formation of trichloronitromethane from amine precursors. Environ. Sci. Technol. 2014, 48, 2697–2705. [Google Scholar] [CrossRef] [PubMed]
- Kumar, K.; Margerum, D.W. ChemInform abstract: Kinetics and mechanism of general-acid-assisted oxidation of bromide by hypochlorite and hypochlorous acid. ChemInform 1987, 18, 2706–2711. [Google Scholar] [CrossRef]
- Langsa, M.; Heitz, A.; Joll, C.A.; von Gunten, U.; Allard, S. Mechanistic aspects of the formation of adsorbable organic bromine during chlorination of bromide-containing synthetic waters. Environ. Sci. Technol. 2017, 51, 5146–5155. [Google Scholar] [CrossRef]
- Guo, K.; Zheng, S.; Zhang, X.; Zhao, L.; Ji, S.; Chen, C.; Wu, Z.; Wang, D.; Fang, J. Roles of bromine radicals and hydroxyl radicals in the degradation of micropollutants by the UV/bromine process. Environ. Sci. Technol. 2020, 54, 6415–6426. [Google Scholar] [CrossRef]
- Zhu, Y.; Li, W.; Shu, S.; Wang, Q.; Gao, N. Effects of MPUV/chlorine oxidation and coexisting bromide, ammonia, and nitrate on DBP formation potential of five typical amino acids. Sci. Total Environ. 2022, 821, 153221. [Google Scholar] [CrossRef]
- Vermeulen, A.; Welvaert, K.; Vercammen, J. Evaluation of a dedicated gas chromatography–mass spectrometry method for the analysis of phenols in water. J. Chromatogr. A 2005, 1071, 41–46. [Google Scholar] [CrossRef]
- Bond, T.; Henriet, O.; Goslan, E.H.; Parsons, S.A.; Jefferson, B. Disinfection byproduct formation and fractionation behavior of natural organic matter surrogates. Environ. Sci. Technol. 2009, 43, 5982–5989. [Google Scholar] [CrossRef]
- Xiang, Y.; Gonsior, M.; Schmitt-Kopplin, P.; Shang, C. Influence of the UV/H2O2 advanced oxidation process on dissolved organic matter and the connection between elemental composition and disinfection byproduct formation. Environ. Sci. Technol. 2020, 54, 14964–14973. [Google Scholar] [CrossRef]
- Li, J.; Zhang, Z.; Xiang, Y.; Jiang, J.; Yin, R. Role of UV-based advanced oxidation processes on NOM alteration and DBP formation in drinking water treatment: A state-of-the-art review. Chemosphere 2022, 311, 136870. [Google Scholar] [CrossRef]
- Buxton, G.V.; Greenstock, C.L.; Helman, W.P.; Ross, A.B. Critical Review of rate constants for reactions of hydrated electrons, hydrogen atoms and hydroxyl radicals (⋅OH/⋅O in Aqueous Solution. J. Phys. Chem. Ref. Data 1988, 17, 513–886. [Google Scholar] [CrossRef]
- Minakata, D.; Kamath, D.; Maetzold, S. Mechanistic insight into the reactivity of chlorine-derived radicals in the aqueous-phase UV chlorine advanced oxidation process: Quantum mechanical calculations. Environ. Sci. Technol. 2017, 51, 6918–6926. [Google Scholar] [CrossRef] [PubMed]
- Alfassi, Z.B.; Huie, R.E.; Mosseri, S.; Neta, P. Kinetics of one-electron oxidation by the ClO radical. Int. J. Radiat. Appl. Instrumentation. Part C Radiat. Phys. Chem. 1988, 32, 85–88. [Google Scholar] [CrossRef]







| Name (Symbol) | Molecular Formula | Structure | Substituted Groups |
|---|---|---|---|
| Benzoic acid (BA) | C7H6O2 | ![]() | -COOH |
| Nitrobenzene (NB) | C6H5NO2 | ![]() | -NO2 |
| Phenol (PN) | C6H5OH | ![]() | -OH |
| Resorcinol (RSC) | C6H6O2 | ![]() | -OH, -OH |
| o-chlorophenol (2-MCP) | C6H5ClO | ![]() | -OH, -Cl |
| p-chlorophenol (4-MCP) | C6H5ClO | ![]() | -OH, -Cl |
| 2,4,6-trichlorophenol (2,4,6-TCP) | C6H3Cl3O | ![]() | -OH, -Cl, -Cl, -Cl |
| Model Precursors | pH 6 (mg Cl/mg C) | pH 8 (mg Cl/mg C) | ||||||
|---|---|---|---|---|---|---|---|---|
| Ambient | Bromide-spiked | Ambient | Bromide-spiked | |||||
| Cl2 alone | UV/Chlorine | Cl2 alone | UV/Chlorine | Cl2 alone | UV/Chlorine | Cl2 alone | UV/Chlorine | |
| BA | 0.05 ± 0.0 | 0.37 ± 0.0 | 0.01 ± 0.0 | 0.38 ± 0.0 | 0.02 ± 0.0 | 0.96 ± 0.1 | 0.01 ± 0.0 | 0.98 ± 0.1 |
| NB | 0.01 ± 0.0 | 0.33 ± 0.0 | 0.01 ± 0.0 | 0.30 ± 0.0 | 0.01 ± 0.0 | 0.63 ± 0.0 | 0.01 ± 0.0 | 0.66 ± 0.0 |
| PN | 0.13 ± 0.0 | 0.93 ± 0.1 | 0.12 ± 0.0 | 0.98 ± 0.1 | 0.2 ± 0.0 | 1.34 ± 0.1 | 0.24 ± 0.0 | 1.47 ± 0.2 |
| RSC | 3.34 ± 0.3 | 3.38 ± 0.3 | 3.30 ± 0.3 | 3.37 ± 0.3 | 3.30 ± 0.2 | 3.37 ± 0.3 | 3.30 ± 0.3 | 3.37 ± 0.4 |
| 2-MCP | 0.23 ± 0.0 | 1.07 ± 0.0 | 0.53 ± 0.0 | 1.37 ± 0.0 | 0.27 ± 0.0 | 1.53 ± 0.1 | 0.55 ± 0.0 | 1.65 ± 0.1 |
| 4-MCP | 0.10 ± 0.0 | 1.33 ± 0.1 | 0.08 ± 0.0 | 1.57 ± 0.1 | 0.13 ± 0.0 | 1.73 ± 0.1 | 0.17 ± 0.0 | 1.83 ± 0.1 |
| 2,4,6-TCP | 0.20 ± 0.0 | 0.70 ± 0.0 | 0.23 ± 0.0 | 1.37 ± 0.1 | 0.17 ± 0.0 | 1.15 ± 0.1 | 0.21 ± 0.0 | 1.37 ± 0.1 |
| Model Precursors | pH 6 (mg Cl/mg C) | pH 8 (mg Cl/mg C) | ||||||
|---|---|---|---|---|---|---|---|---|
| Ambient | Bromide-spiked | Ambient | Bromide-spiked | |||||
| Cl2 alone | UV/Chlorine | Cl2 alone | UV/Chlorine | Cl2 alone | UV/Chlorine | Cl2 alone | UV/Chlorine | |
| BA | 0.05 ± 0.0 | 2.07 ± 0.1 | 0.12 ± 0.0 | 2.07 ± 0.1 | 0.02 ± 0.0 | 1.50 ± 0.1 | 0.10 ± 0.0 | 1.50 ± 0.1 |
| NB | 0.01 ± 0.0 | 0.97 ± 0.1 | 0.01 ± 0.0 | 1.01 ± 0.0 | 0.01 ± 0.0 | 1.23 ± 0.1 | 0.01 ± 0.0 | 1.29 ± 0.1 |
| PN | 6.71 ± 0.3 | 6.47 ± 0.2 | 7.42 ± 0.2 | 6.89 ± 0.2 | 6.90 ± 0.2 | 6.66 ± 0.2 | 7.68 ± 0.1 | 6.78 ± 0.2 |
| RSC | 6.11 ± 0.2 | 6.32 ± 0.3 | 6.27 ± 0.2 | 6.31 ± 0.3 | 6.30 ± 0.1 | 6.45 ± 0.0 | 6.42 ± 0.0 | 6.54 ± 0.1 |
| 2-MCP | 6.87 ± 0.3 | 6.72 ± 0.1 | 7.40 ± 0.2 | 7.22 ± 0.1 | 7.59 ± 0.2 | 6.81 ± 0.2 | 7.93 ± 0.2 | 7.36 ± 0.1 |
| 4-MCP | 7.19 ± 0.2 | 6.65 ± 0.2 | 7.14 ± 0.2 | 7.2 ± 0.1 | 7.29 ± 0.3 | 6.76 ± 0.0 | 7.63 ± 0.1 | 7.14 ± 0.2 |
| 2,4,6-TCP | 6.72 ± 0.2 | 6.17 ± 0.1 | 6.71 ± 0.1 | 6.22 ± 0.2 | 6.10 ± 0.0 | 6.30 ± 0.1 | 6.43 ± 0.1 | 6.25 ± 0.0 |
| Benzene Derivatives | Cl/Br(mg/mg-C) | UV/Cl/Br(mg/mg-C) | ||||||
|---|---|---|---|---|---|---|---|---|
| PH6 | PH8 | PH6 | PH8 | |||||
| THM | HAA | THM | HAA | THM | HAA | THM | HAA | |
| BA | 1.85 | 0.73 | 1.78 | 1.00 | 2.03 | 0.81 | 1.93 | 1.04 |
| NB | 1.76 | 0.00 | 2.00 | 0.00 | 2.55 | 0.48 | 2.45 | 0.00 |
| PN | 1.13 | 0.74 | 1.19 | 0.77 | 1.33 | 0.75 | 1.26 | 0.78 |
| RSC | 0.28 | 1.08 | 0.33 | 1.04 | 0.56 | 1.10 | 0.47 | 1.06 |
| 2-MCP | 1.25 | 0.38 | 1.33 | 0.34 | 1.47 | 0.44 | 1.51 | 0.47 |
| 4-MCP | 1.30 | 0.26 | 1.20 | 0.27 | 1.44 | 0.28 | 1.33 | 0.28 |
| 2,4,6-TCP | 1.39 | 0.29 | 1.21 | 0.28 | 1.52 | 0.35 | 1.23 | 0.35 |
Publisher’s Note: MDPI stays neutral with regard to jurisdictional claims in published maps and institutional affiliations. |
© 2022 by the authors. Licensee MDPI, Basel, Switzerland. This article is an open access article distributed under the terms and conditions of the Creative Commons Attribution (CC BY) license (https://creativecommons.org/licenses/by/4.0/).
Share and Cite
Li, W.; Shu, S.; Zhu, Y.; Wu, L.; Wang, Q.; Gao, N. Effect of Medium Pressure Ultraviolet/Chlorine Advanced Oxidation on the Production of Disinfection by-Products from Seven Model Benzene Precursors. Water 2022, 14, 3775. https://doi.org/10.3390/w14223775
Li W, Shu S, Zhu Y, Wu L, Wang Q, Gao N. Effect of Medium Pressure Ultraviolet/Chlorine Advanced Oxidation on the Production of Disinfection by-Products from Seven Model Benzene Precursors. Water. 2022; 14(22):3775. https://doi.org/10.3390/w14223775
Chicago/Turabian StyleLi, Wanting, Shihu Shu, Yanping Zhu, Linjing Wu, Qiongfang Wang, and Naiyun Gao. 2022. "Effect of Medium Pressure Ultraviolet/Chlorine Advanced Oxidation on the Production of Disinfection by-Products from Seven Model Benzene Precursors" Water 14, no. 22: 3775. https://doi.org/10.3390/w14223775
APA StyleLi, W., Shu, S., Zhu, Y., Wu, L., Wang, Q., & Gao, N. (2022). Effect of Medium Pressure Ultraviolet/Chlorine Advanced Oxidation on the Production of Disinfection by-Products from Seven Model Benzene Precursors. Water, 14(22), 3775. https://doi.org/10.3390/w14223775







