Effect Analysis of Supporting Structure and Surface Settlement on Deep Foundation Pit by Rainstorm: A Case Study in Zhengzhou
Abstract
1. Introduction
2. Engineering Overview
2.1. Engineering Background
2.2. Risk Analysis of 20 July Heavy Rainstorm in Zhengzhou
2.3. Analysis of Monitoring Data
3. Establishment of the Numerical Model
3.1. Basic Assumptions of Model Establishment
- (1)
- The ground surface at the back of the supporting structure is horizontal and the strata are evenly distributed;
- (2)
- The soil is isotropic;
- (3)
- The reinforcement and concrete of the supporting structure are considered as a whole, and the bored pile is simplified as a 0.9m thick diaphragm wall for simulation according to the idea of the equal cross-sectional moment of inertia;
- (4)
- The supporting structure of the foundation pit is an ideal elastic body, and the leakage between retaining piles is not considered;
- (5)
- The foundation pit is divided into four times of excavation, the first excavation to the first strut 0.5 m, the second excavation to the second strut 0.5 m, the third excavation to the third strut 0.5 m, and the fourth excavation to the bottom of the pit.
3.2. Determination of Model Size and Parameters
3.3. Selection of Soil Constitutive
3.4. Analysis of the Simulation Results
4. Deformation and Stress Analysis of Foundation Pit before and after Rainfall
4.1. Deformation and Stress Characteristics of Foundation Pit Excavation
- (1)
- Area Ⅰ, In the Rankine active earth pressure zone, the soil displacement is mainly manifested as the squeezing into the pit and the soil subsidence;
- (2)
- Area Ⅱ, In the Rankine passive earth pressure zone, the soil displacement in this area mainly shows upward uplift due to the influence of excavation unloading and extrusion of the supporting structures on both sides.
4.2. Deformation and Stress Analysis of Foundation Pit after Rainfall
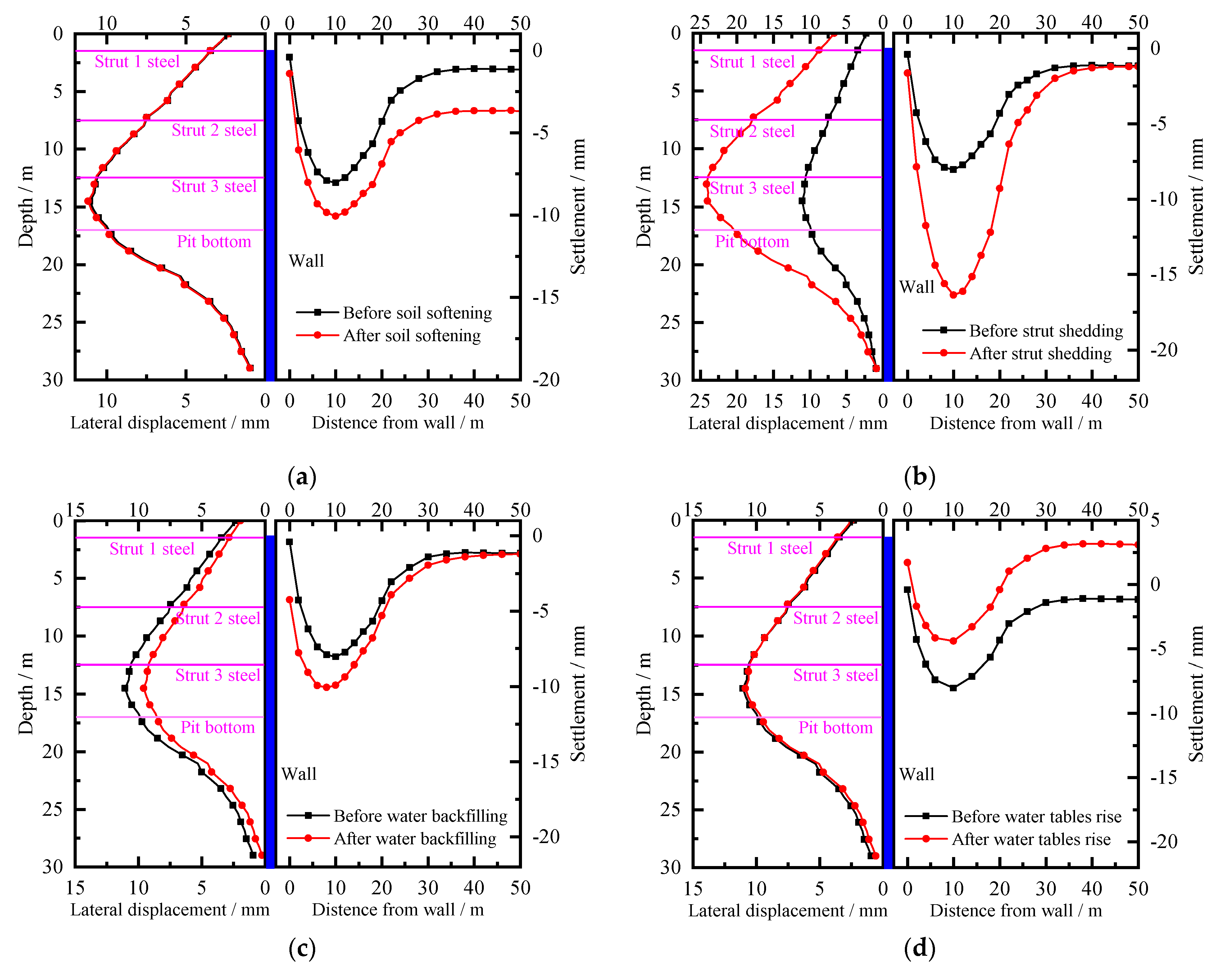
5. Analysis of Effect Factors of Rainfall on Foundation Pit
5.1. Effect of Soil Softening
5.2. Effect of Water Load
5.3. Effect of the Steel Strut Falls Off
5.4. Effect of Foundation Pit Backfill Water
5.5. Effect of Rising Water Tables
5.6. Analysis of Prevention and Control Measures
6. Conclusions
- (1)
- The results of simulating the rainfall effect on the deep foundation pit by the finite element software was good, the stress and strain states of the soil and supporting structure could be obtained in the simulation, while the results of the simulation were in good agreement with the monitoring data, which shows that the reliability of the numerical simulation and the calculation results can provide a reference for similar projects.
- (2)
- The 20 July heavy rainstorm in Zhengzhou city caused the typical foundation pit to undergo a signification change in the supporting structure and surface settlement. Under the failure of the first- and second-layer steel strut, the soil subsidence range had a signification increase. Under the failure of the third layer steel strut, the supporting effect of the supporting structure on the soil weakened, which led to the maximum bending moment and maximum displacement of the supporting structure to increase and move up in difference degrees.
- (3)
- The main factors affecting the deep foundation pit by heavy rain were the steel strut falling off and water filling in the whole pit, while the influence of the rise in the water tables, water load, and soil softening had a low effect. Among them, the backfill water increased the water pressure in the inner side of the supporting structure, which weakened the soil and the water pressure difference on both sides of the supporting structure. This weakened the deformation of the supporting structure and caused the steel strut to fall off; furthermore, the failure of the strut led to a greater deformation of the foundation pit.
- (4)
- When the foundation pit engineering suffers from a rainstorm, there is a positive significance in raising the retaining wall outside the foundation pit to prevent water accumulation. When the water accumulation is too deep, the retaining wall should be broken and guided recharge could weaken the deformation of the supporting structure, but the connection between the steel support and enclosing purlin should be strengthened in time before the recharge.
Author Contributions
Funding
Data Availability Statement
Conflicts of Interest
References
- China Association of Metros. Available online: https://www.camet.org.cn/ (accessed on 20 May 2022).
- Troncone, A.; Pugliese, L.; Conte, E. Rainfall Threshold for Shallow Landslide Triggering Due to Rising Water Table. Water 2022, 14, 2966. [Google Scholar] [CrossRef]
- Liu, C.; Ji, F.; Zheng, G.; Liu, T.; Liu, Y. Measurement and mechanism of influences of rainfall on supporting structures of foundation pits in soft soils. Chin. J. Geotech. Eng. 2020, 42, 447–456. [Google Scholar] [CrossRef]
- Meng, X.F.; Liao, H.J.; Zhang, J.W. Infiltration Law of Water in Undisturbed Loess and Backfill. Water 2020, 12, 2388. [Google Scholar] [CrossRef]
- Li, Y.L.; Chen, B.; Ma, C.; Zhou, F.P. Study on the stability of the foundation pit slope under rainfall infiltration conditions based on ABAQUS. Chin. J. Appl. Mech. 2017, 34, 155–161+203–204. [Google Scholar] [CrossRef]
- Ren, D.X.; Xue, P.; Ye, F.; Zhou, X.Y.; Gao, X.F.; Luo, D.L. Shallow slope stability analysis of cohesive soil foundation pit under rainfall infiltration. J. Chengdu Univ. Technol. 2022, 49, 204–212. [Google Scholar] [CrossRef]
- Cui, F.Z. Study on the Stability and Controlling Technology of Earth Deep Foundation Pit under Strong Rainfall. Doctoral Dissertation, China University of Mining and Technology, Beijing, China, 2016. [Google Scholar]
- Sorbino, G.; Nicotera, M.V. Unsaturated soil mechanics in rainfall-induced flow landslides. Eng. Geol. 2013, 165, 105–132. [Google Scholar] [CrossRef]
- Tang, C.-S.; Gong, X.-P.; Shen, Z.; Cheng, Q.; Inyang, H.; Lv, C.; Shi, B. Soil micro-penetration resistance as an index of its infiltration processes during rainfall. J. Rock Mech. Geotech. 2022, 14, 1580–1587. [Google Scholar] [CrossRef]
- Nagy-Göde, F.K.; Török, Á. Rainfall-Induced or Lake-Water-Level-Controlled Landslide? An Example from the Steep Slopes of Lake Balaton, Hungary. Water 2022, 14, 1169. [Google Scholar] [CrossRef]
- Yao, Z.; Yang, J.; Zhang, P.; Zhang, Y.; Liu, L.; Zhao, D. The Response Mechanisms of Topographic Changes in Small Loess Watershed under Rainstorm. Sustainability 2022, 14, 10472. [Google Scholar] [CrossRef]
- Wang, J.X.; Liu, X.T.; Wu, Y.B.; Liu, S.L.; Wu, L.G.; Lou, R.X.; Lu, J.S.; Yin, Y. Field experiment and numerical simulation of coupling non-Darcy flow caused by curtain and pumping well in foundation pit dewatering. J. Hydrol. 2017, 549, 277–293. [Google Scholar] [CrossRef]
- Dong, H.; Huang, R.Q.; Gao, Q.F. Rainfall infiltration performance and its relation to mesoscopic structural properties of a gravelly soil slope. Eng. Geol. 2017, 230, 1–10. [Google Scholar] [CrossRef]
- Yeh, P.T.; Lee, K.Z.Z.; Chang, K.T. 3D Effects of permeability and strength anisotropy on the stability of weakly cemented rock slopes subjected to rainfall infiltration. Eng. Geol. 2020, 266, 105459. [Google Scholar] [CrossRef]
- Cho, S.E. Prediction of shallow landslide by surficial stability analysis considering rainfall infiltration. Eng. Geol. 2017, 231, 126–138. [Google Scholar] [CrossRef]
- Kim, Y.; Jeong, S.; Kim, J. Coupled infiltration model of unsaturated porous media for steady rainfall. Soils Found. 2016, 56, 1071–1081. [Google Scholar] [CrossRef]
- Doležalová, M. Tunnel complex unloaded by a deep excavation. Comput. Geotech. 2001, 28, 469–493. [Google Scholar] [CrossRef]
- Shen, S.L.; Wu, Y.X.; Xu, Y.S.; Hino, T.; Wu, H.N. Evaluation of hydraulic parameters from pumping tests in multi-aquifers with vertical leakage in Tianjin. Comput. Geotech. 2015, 68, 196–207. [Google Scholar] [CrossRef]
- Gao, X.; Tian, W.-p.; Zhang, Z. Analysis of Deformation Characteristics of Foundation-Pit Excavation and Circular Wall. Sustainability 2020, 12, 3164. [Google Scholar] [CrossRef]
- Sun, Y.; Li, Z. Study on Design and Deformation Law of Pile-Anchor Support System in Deep Foundation Pit. Sustainability 2022, 14, 12190. [Google Scholar] [CrossRef]
- Su, T.; Zhou, Y.; Wang, Z.; Ye, S. Large Scale Model Test Study of Foundation Pit Supported by Pile Anchors. Appl. Sci. 2022, 12, 9792. [Google Scholar] [CrossRef]
- Zeng, C.-F.; Xue, X.-L.; Li, M.-K. Use of cross wall to restrict enclosure movement during dewatering inside a metro pit before soil excavation. Tunn. Undergr. Space Technol. 2021, 112, 103909. [Google Scholar] [CrossRef]
- Sun, Y.; Zhou, S.; Luo, Z. Basal-heave analysis of pit-in-pit braced excavations in soft clays. Comput. Geotech. 2017, 81, 294–306. [Google Scholar] [CrossRef]
- Guo, P.P.; Gong, X.N.; Wang, Y.X. Displacement and force analyses of braced structure of deep excavation considering unsymmetrical surcharge effect. Comput. Geotech. 2019, 113, 103102. [Google Scholar] [CrossRef]
- Zeng, C.F.; Zheng, G.; Zhou, X.F.; Xue, X.L.; Zhou, H.Z. Behaviours of wall and soil during pre-excavation dewatering under different foundation pit widths. Comput. Geotech. 2019, 115, 103169. [Google Scholar] [CrossRef]
- Xie, Z.F.; Shen, S.L.; Arulrajah, A.; Horpibulsuk, S. Environmentally sustainable groundwater control during dewatering with barriers: A case study in Shanghai. Undergr. Space 2021, 6, 12–23. [Google Scholar] [CrossRef]
- Zhou, N.Q.; Vermeer, P.A.; Lou, R.X.; Tang, Y.Q.; Jiang, S.M. Numerical simulation of deep foundation pit dewatering and optimization of controlling land subsidence. Eng. Geol. 2010, 114, 251–260. [Google Scholar] [CrossRef]
- Xu, X.B.; Hu, Q.; Huang, T.M.; Chen, Y.; Shen, W.M.; Hu, M.Y. Seepage failure of a foundation pit with confined aquifer layers and its reconstruction. Eng. Fail. Anal. 2022, 138, 106366. [Google Scholar] [CrossRef]
- Li, Z.; Luo, Z.J.; Xu, C.H.; Tan, J.Z. 3D fluid-solid full coupling numerical simulation of soil deformation induced by shield tunnelling. Tunn. Undergr. Space Technol. 2019, 90, 174–182. [Google Scholar] [CrossRef]
- Cheng, Y.C.; Zhang, R.H.; Wang, K.H.; Ai, Z.Y. Time-dependent behavior of retaining piles during pre-excavation dewatering in multi-layered saturated soils. Comput. Geotech. 2021, 137, 104300. [Google Scholar] [CrossRef]
- Wang, K.W.; Yang, X.H.; Liu, X.M.; Liu, C.M. A simple analytical infiltration model for short-duration rainfall. J. Hydrol. 2017, 555, 141–154. [Google Scholar] [CrossRef]
- Shen, S.-L.; Wu, Y.-X.; Misra, A. Calculation of head difference at two sides of a cut-off barrier during excavation dewatering. Comput. Geotech. 2017, 91, 192–202. [Google Scholar] [CrossRef]
- Li, X.B.; Hou, X.M.; Li, Y.D. A finite element method for calculating the influence radius of foundation pit dewatering. Rock Soil Mech. 2021, 42, 574–580. [Google Scholar] [CrossRef]
- Wang, D.; Wang, G.F.; Lu, L.H.; Cao, Z.L.; Xu, Q.W. Suitable constitutive model of pit in thick alluvial clay along Huanghe River. J. Civ. Environ. Eng. 2019, 41, 36–47. [Google Scholar] [CrossRef]
- Hamidi, A.; Tourchi, S.; Kardooni, F. A critical state based thermo-elasto-plastic constitutive model for structured clays. J. Rock Mech. Geotech. 2017, 9, 1094–1103. [Google Scholar] [CrossRef]
- Ye, G.-l.; Ye, B. Investigation of the overconsolidation and structural behavior of Shanghai clays by element testing and constitutive modeling. Undergr. Space 2016, 1, 62–77. [Google Scholar] [CrossRef]
- Li, P.; Chen, Y.M.; Shen, Y. Simplified analysis method of pit rebound deformation. J. PLA Univ. Sci. Technol. (Nat. Sci. Ed.) 2012, 13, 88–91. [Google Scholar]
- Xu, Z.H.; Wang, W.D. Selection of soil constitutive models for numerical analysis of deep excavations in close proximity to sensitive properties. Rock Soil Mech. 2010, 31, 258–264+326. [Google Scholar] [CrossRef]
- Huang, A.J.; Wang, D.Y.; Wang, Z.X. Rebound effects of running tunnels underneath an excavation. Tunn. Undergr. Space Technol. 2006, 21, 399. [Google Scholar] [CrossRef]
- Kouretzis, G.P.; Sheng, D.; Wang, D. Numerical simulation of cone penetration testing using a new critical state constitutive model for sand. Comput. Geotech. 2014, 56, 50–60. [Google Scholar] [CrossRef]
- Chen, J.F.; Sun, H.; Shi, Z.M. Estimation of parameters of modified cam-clay model coupling biot theory. J. Tongji Univ. 2003, 05, 544–548. [Google Scholar]
- Jia, J.; Xie, X.L. Unloading Deformation Mechanism of Deep-large Excavationin Shanghai Clay Area. J. Shanghai Jiaotong Univ. 2009, 43, 1005–1010. [Google Scholar] [CrossRef]
- Sun, Z.H.; Jiang, C.; Xin, Q.M.; Shao, L.F. Study of the rainfall effect on soil-water characteristics and stability of deep excavation in unsaturated silty clay. Geotech. Investig. Surv. 2021, 49, 6–12+47. [Google Scholar]













| Monitoring Data | Maximum Deformation/mm | Deformation Rate mm/Day | Working Condition |
|---|---|---|---|
| July 18 | 10.15 | -- | Rainfall |
| July 19 | 10.43 | 0.28 | Rainfall |
| Heavy rain, site flooded, foundation pit recharge water | |||
| July 23 | 16.73 | 2.10 | Hydrops dissipated |
| July 24 | 16.80 | 0.07 | Hydrops dissipated |
| July 25 | 17.36 | 0.56 | Hydrops dissipated |
| July 26 | 17.20 | -0.16 | Hydrops dissipated |
| July 27 | 17.94 | 0.74 | Foundation pit precipitation |
| Strata | |||||
|---|---|---|---|---|---|
| Miscellaneous fill | 18.00 | 8.00 | 10.00 | 0.32 | 5.50 |
| Clayey silt | 18.50 | 13.00 | 22.00 | 0.28 | 6.70 |
| Silt | 19.00 | 3.00 | 28.00 | 0.23 | 11.00 |
| Silty clay | 19.25 | 21.00 | 13.50 | 0.3 | 13.00 |
| Silt | 19.50 | 3.00 | 30.00 | 0.23 | 20.00 |
| Fine sand | 20.00 | 2.00 | 32.00 | 0.23 | 25.00 |
| Silty clay | 20.50 | 31.50 | 15.60 | 0.28 | 18.00 |
| Step | Time | Rain Progress |
|---|---|---|
| Step 1 | July 17 to 16:00 on 20 July | Soil softening |
| Step 2 | 16:00 on 20 July to 20:00 on 20 July | Water load is generated on the surface |
| Step 3 | 20:00 on 20 July to 04:00 on 21 July | Foundation pit recharge water |
| Step 4 | 04:00 on 21 July to 04:30 on 21 July | Steel strut is shedding |
| Step 5 | 04:30 on 21 July to 06:00 on 21 July | Fill the foundation pit with water |
| Step 6 | 06:00 on 21 July to July 23 | The groundwater is rises and the water load dissipates |
| Working Condition | Maximal Displacement/mm | Displacement of Pile Top/mm |
|---|---|---|
| Working condition 1 | 11.05 | 2.33 |
| Working condition 2 | 11.30 | 2.93 |
| Working condition 3 | 11.00 | 2.35 |
| Working condition 4 | 11.21 | 2.46 |
Publisher’s Note: MDPI stays neutral with regard to jurisdictional claims in published maps and institutional affiliations. |
© 2022 by the authors. Licensee MDPI, Basel, Switzerland. This article is an open access article distributed under the terms and conditions of the Creative Commons Attribution (CC BY) license (https://creativecommons.org/licenses/by/4.0/).
Share and Cite
Wang, X.; Xiao, J.; Zhang, T.; Lin, Y. Effect Analysis of Supporting Structure and Surface Settlement on Deep Foundation Pit by Rainstorm: A Case Study in Zhengzhou. Water 2022, 14, 3654. https://doi.org/10.3390/w14223654
Wang X, Xiao J, Zhang T, Lin Y. Effect Analysis of Supporting Structure and Surface Settlement on Deep Foundation Pit by Rainstorm: A Case Study in Zhengzhou. Water. 2022; 14(22):3654. https://doi.org/10.3390/w14223654
Chicago/Turabian StyleWang, Xiaorui, Jianhang Xiao, Tao Zhang, and Yunhong Lin. 2022. "Effect Analysis of Supporting Structure and Surface Settlement on Deep Foundation Pit by Rainstorm: A Case Study in Zhengzhou" Water 14, no. 22: 3654. https://doi.org/10.3390/w14223654
APA StyleWang, X., Xiao, J., Zhang, T., & Lin, Y. (2022). Effect Analysis of Supporting Structure and Surface Settlement on Deep Foundation Pit by Rainstorm: A Case Study in Zhengzhou. Water, 14(22), 3654. https://doi.org/10.3390/w14223654
