Decolorization and Biodegradability Enhancement of Synthetic Batik Wastewater Containing Reactive Black 5 and Reactive Orange 16 by Ozonation
Abstract
1. Introduction
2. Materials and Methods
2.1. Synthetic Batik Wastewater
2.2. Ozonation Tests
2.3. Biodegradation Tests
2.4. Analytical Procedures
3. Results
3.1. Decolorization of Synthetic Batik Wastewater by Ozonation
3.2. Biodegradation of Synthetic Batik Wastewater
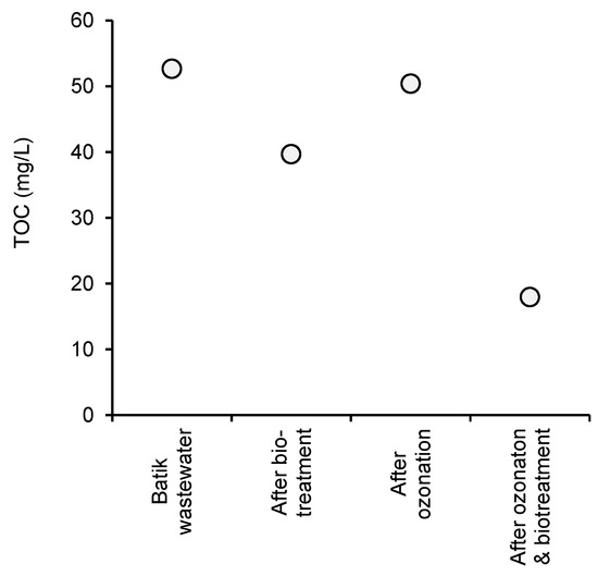
3.3. Evaluation of Total Ozonation and Biodegradation
3.4. Ozonation and Biodegradation Tests for High-Strength Synthetic Batik Wastewater
4. Discussion
5. Conclusions
Supplementary Materials
Author Contributions
Funding
Institutional Review Board Statement
Informed Consent Statement
Data Availability Statement
Conflicts of Interest
References
- Daud, N.M.; Abdullah, S.R.S.; Hasan, H.A.; Ismail, N.; Dhokhikah, Y. Integrated physical-biological treatment system for batik industry wastewater: A review on process selection. Sci. Total Environ. 2022, 819, 152931. [Google Scholar] [CrossRef] [PubMed]
- Fajri, P.Y.N. Spatial Modeling to Determine the Location of Batik Wastewater Treatment Plant (WTP) in Pekalongan City, Central Java; Bogor Agricultural University: Bogor Regency, Indonesia, 2013. (In Indonesian) [Google Scholar]
- Rashidi, H.R.; Sulaiman, N.M.N.; Hashim, N.A.; Hassan, C.R.C.; Emami, S.D. Simulated textile (batik) wastewater pre-treatment through application of a baffle separation tank. Desalination Water Treat. 2016, 57, 151–160. [Google Scholar] [CrossRef]
- Rashidi, H.R.; Sulaiman, N.M.N.; Hashim, N.A. Batik industry synthetic wastewater treatment using nanofiltration membrane. Procedia Eng. 2012, 44, 2010–2012. [Google Scholar] [CrossRef]
- Rashidi, H.R.; Sulaiman, N.M.N.; Hashim, N.A.; Hassan, C.R.C. Synthetic Batik Wastewater Pretreatment Progress by Using Physical Treatment. Adv. Mater. Res. 2013, 627, 394–398. [Google Scholar] [CrossRef]
- Pramugani, A.; Soda, S.; Argo, T.A. Current situation of batik wastewater treatment in Pekalongan city, Indonesia. J. Jpn. Soc. Civil. Eng. 2020, 8, 188–193. [Google Scholar] [CrossRef]
- Wiesburger, J.H. Comments on history and importance of aromatic heterocyclic amines in public health. Mutat. Res. 2002, 506–507, 9–20. [Google Scholar] [CrossRef]
- Karamah, E.F.; Nurcahyani, P.A. Degradation of Blue KN-R dye in batik effluent by an advanced oxidation process using a combination of ozonation and hydrodynamic cavitation. Indones. J. Chem. 2018, 19, 41–47. [Google Scholar] [CrossRef]
- Paździor, K.; Wrębiak, J.; Klepacz-Smółka, A.; Gmurek, M.; Bilińska, L.; Kos, L.; Sójka-Ledakowicz, J.; Ledakowicz, S. Influence of ozonation and biodegradation on toxicity of industrial textile wastewater. J. Environ. Manag. 2017, 195, 166–173. [Google Scholar] [CrossRef] [PubMed]
- Wang, C.; Yediler, A.; Lienert, D.; Wang, Z.; Kettrup, A. Ozonation of an azo dye C.I. Remazol Black 5 and toxicological assessment of its oxidation products. Chemosphere 2003, 52, 1225–1232. [Google Scholar] [CrossRef]
- Venkatesh, S.; Quaff, A.R.; Pandey, N.D.; Venkatesh, K. Impact of ozonation on decolourization and mineralization of azo dyes: Biodegradability enhancement, by-products formation, required energy and cost. Ozone Sci. Eng. 2015, 37, 420–430. [Google Scholar] [CrossRef]
- Venkatesh, S.; Venkatesh, K.; Quaff, A.R. Dye decomposition by combined ozonation and anaerobic treatment: Cost effective technology. J. Appl. Res. Technol. 2017, 15, 340–345. [Google Scholar] [CrossRef]
- Onder, I.; Aydin, O.; Guvenc, A. Decolorization of Reactive Orange 16 and Reactive Black 5 in aqueous solution by ozonation. Environ. Res. Technol. 2018, 1, 6–13. [Google Scholar]
- Suryawan, I.W.K.; Helmy, Q.; Notodarmojo, S. Textile wastewater treatment: Colour and COD removal of reactive black-5 by ozonation. IOP Conf. Ser. Earth Environ. Sci. 2018, 106, 012102. [Google Scholar] [CrossRef]
- Tizaoui, C.; Grima, N. Kinetics of the ozone oxidation of Reactive Orange 16 azo-dye in aqueous solution. Chem. Eng. J. 2011, 173, 463–473. [Google Scholar] [CrossRef]
- Castro, F.D.; Bassin, J.P.; Dezotti, M. Treatment of a simulated textile wastewater containing the Reactive Orange 16 azo dye by a combination of ozonation and moving-bed biofilm reactor: Evaluating the performance, toxicity, and oxidation by-products. Environ. Sci. Pollut. Res. 2017, 24, 6307–6316. [Google Scholar] [CrossRef] [PubMed]
- OECD. OECD Guidelines for the Testing of Chemicals; Organization for Economic Co-Operation and Development: Paris, France, 1994. [Google Scholar]
- Katam, K.; Shimizu, T.; Soda, S.; Bhattacharyya, D. Performance evaluation of two trickling filters removing LAS and caffeine from wastewater: Light reactor (algal–bacterial consortium) vs. dark reactor (bacterial consortium). Sci. Total Environ. 2020, 707, 135987. [Google Scholar] [CrossRef] [PubMed]
- López-López, A.; Pic, J.S.; Debellefontaine, H. Ozonation of azo dye in a semi-batch reactor: A determination of the molecular and radical contributions. Chemosphere 2007, 66, 2120–2126. [Google Scholar] [CrossRef] [PubMed]
- Soda, S.; Shimizu, T.; Yoshino, K.; Nakajima, J. Change of three-dimensional excitation-emission matrix fluorescence spectra of commercial humic acid by ultrafine bubble ozonation and biodegradation. Jpn. J. Water Treat. Biol. 2022, 58, 55–60. [Google Scholar] [CrossRef]
- Chain, E.S.K. Stability of organic matter in leachates. Water Res. 1977, 11, 225–232. [Google Scholar] [CrossRef]











| Dye | Ozonation Conditions | Initial pH and Temperature | Removal | Ref. |
|---|---|---|---|---|
| RB5 2 g/L, 1.2 L | 20.5 mg/L, 20 L/h, 6 h | pH 6.1 | COD 40%, TOC 25% | [10] |
| RB5, 1500 mg/L, 500 mL | Initial 55.5 mg/L and 1.5 L/min, 25 min | pH 10 | COD 50%, Dye 94% | [11] |
| RB5, 1500 mg/L, 1.157 L | 5 g/h, 10 min | pH 10.13 | Color 70%, COD 50% | [12] |
| RB5, 100 mg/L, 2 L | 40.88 mg/min | 20 °C | Color 96.9% (5 h), COD 77.5% (2 h) | [14] |
| RB5, 100 mg/L, 250 mL | 5 g/L, 40 min | pH 2–10, 25 °C | Dye 99.9%, COD 100% | [13] |
| RO16, 90 mg/L, 500 mL | 20–80 g/m3, 400 mL/min, 5–17 min | pH 7 (2,7,11), 20 °C | Dye > 90% | [15] |
| RO16, 25–100 mg/L, 2 L | 51 mg/L, 5 min | pH 6.2–7.8 | Color 97%, TOC 48% | [16] |
| RO16, 100 mg/L, 250 mL | 5 g/L, 70 min | pH 2–10, 25 °C | Dye 99%, COD 100% | [13] |
| Mixture of RB5 and RO16, 48 mg/L each, 2 L | 7.3 g/m3, 4 L/min, 15–30 min | pH 12, 25 °C | Color > 99% (10 min); RB5, RO16 > 99% (5 min); COD 27%; TOC 34% (15 min) | This study |
| Mixture of RB5 and RO16, 96 mg/L each, 2 L | Color > 98% (30 min), TOC 4.3% (30 min) |
Publisher’s Note: MDPI stays neutral with regard to jurisdictional claims in published maps and institutional affiliations. |
© 2022 by the authors. Licensee MDPI, Basel, Switzerland. This article is an open access article distributed under the terms and conditions of the Creative Commons Attribution (CC BY) license (https://creativecommons.org/licenses/by/4.0/).
Share and Cite
Pramugani, A.; Shimizu, T.; Goto, S.; Argo, T.A.; Soda, S. Decolorization and Biodegradability Enhancement of Synthetic Batik Wastewater Containing Reactive Black 5 and Reactive Orange 16 by Ozonation. Water 2022, 14, 3330. https://doi.org/10.3390/w14203330
Pramugani A, Shimizu T, Goto S, Argo TA, Soda S. Decolorization and Biodegradability Enhancement of Synthetic Batik Wastewater Containing Reactive Black 5 and Reactive Orange 16 by Ozonation. Water. 2022; 14(20):3330. https://doi.org/10.3390/w14203330
Chicago/Turabian StylePramugani, Ahsin, Toshiyuki Shimizu, Shinpei Goto, Teti Armiati Argo, and Satoshi Soda. 2022. "Decolorization and Biodegradability Enhancement of Synthetic Batik Wastewater Containing Reactive Black 5 and Reactive Orange 16 by Ozonation" Water 14, no. 20: 3330. https://doi.org/10.3390/w14203330
APA StylePramugani, A., Shimizu, T., Goto, S., Argo, T. A., & Soda, S. (2022). Decolorization and Biodegradability Enhancement of Synthetic Batik Wastewater Containing Reactive Black 5 and Reactive Orange 16 by Ozonation. Water, 14(20), 3330. https://doi.org/10.3390/w14203330
