Speciation Distribution Characteristic and Ecological Risk of Heavy Metals in Surface Sediments of Cascading Hydropower Dams in Lancang River
Abstract
1. Introduction
2. Methods
2.1. Study Area and Survey Methods
2.2. Speciation Analysis of Heavy Metals
2.3. Data Analysis
2.3.1. Ratio of Secondary Phase and Primary Phase (RSP)
2.3.2. Statistical Analysis
3. Results and Analysis
3.1. Grain Size and Distribution Pattern of Surface Sediments
3.2. Speciation of Heavy Metals in Surface Sediments
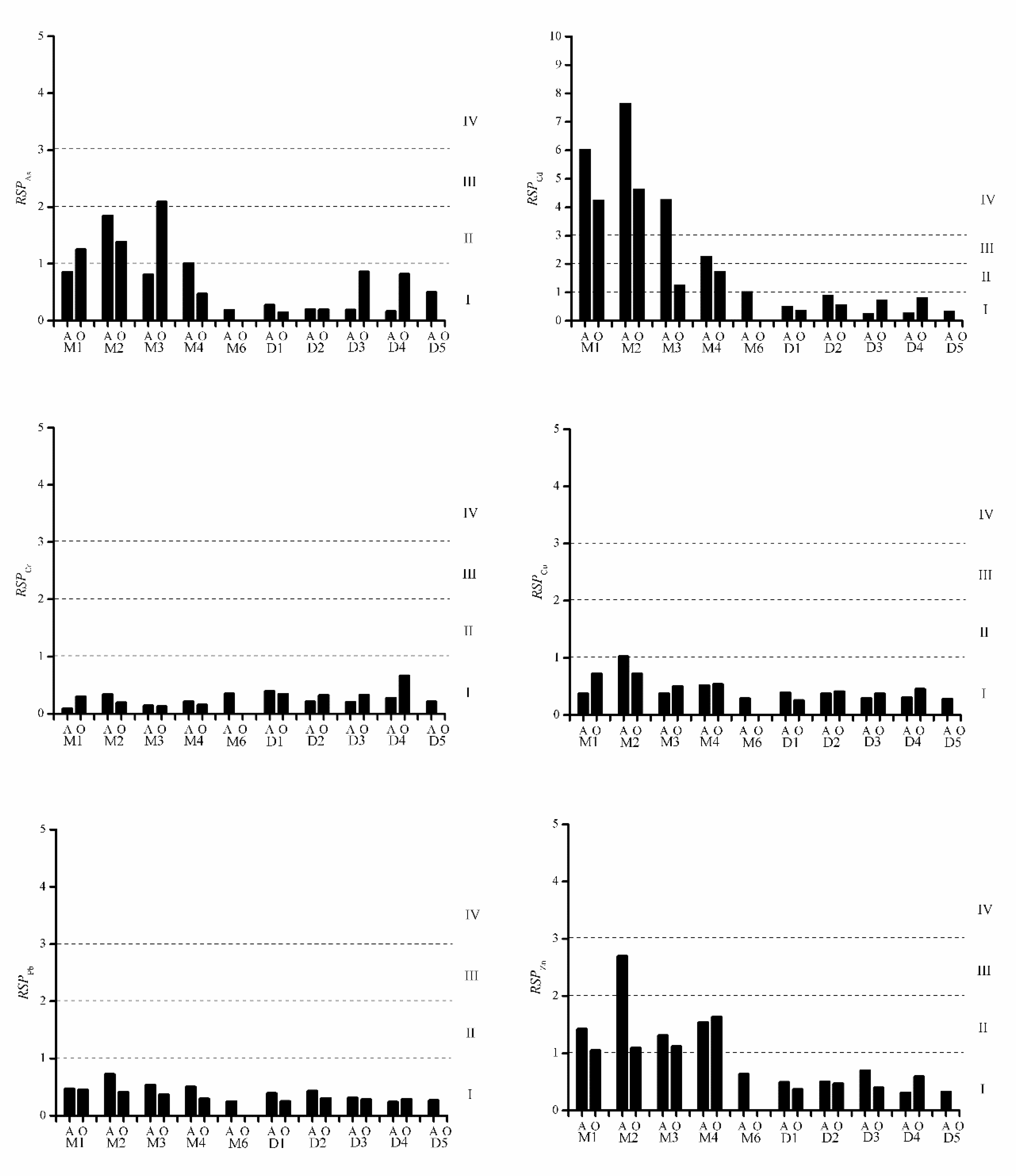
3.3. Ratio of Secondary Phase and Primary Phase (RSP) Analysis
3.4. Correlation Analysis
3.5. Principal Component Analysis (PCA)
4. Discussion
4.1. Deposit Environmental and Habitat Change before and after Cascading Dams
4.2. Contamination Characteristic Change of Heavy Metals in Cascading Dams
4.3. Source Identification of Heavy Metals in Surface Sediment of Cascading Dams
5. Conclusions
Author Contributions
Funding
Data Availability Statement
Conflicts of Interest
References
- Guo, X.J.; Zhu, X.S.; Yang, Z.J.; Ma, J.; Xiao, S.B.; Ji, D.B.; Liu, D.F. Impacts of cascade reservoirs on the longitudinal variability of fine sediment characteristics: A case study of the Lancang and Nu Rivers. J. Hydrol. 2020, 581, 124343. [Google Scholar] [CrossRef]
- Li, J.P.; Dong, S.K.; Yang, Z.F.; Peng, M.C.; Liu, S.L.; Li, X.Y. Effects of cascade hydropower dams on the structure and distribution of riparian and upland vegetation along the middle-lower Lancang-Mekong River. For. Ecol. Manag. 2012, 284, 251–259. [Google Scholar] [CrossRef]
- McCartney, M.P.; Sullivan, C.; Acreman, M.C. Ecosystem impacts of large dams. In Background Paper No. 2 Prepared for IUCN/UNEP/WCD; Center for Ecology and Hydrology: Wallingford, UK, 2000. [Google Scholar]
- Poff, N.L.R.; Allan, J.D.; Bain, M.B.; Karr, J.R.; Prestegaard, K.L.; Richter, B.D.; Sparks, R.E.; Stromberg, J.C. The natural flow regime. Bioscience 1997, 47, 769–784. [Google Scholar] [CrossRef]
- Cui, T.; Tian, F.Q.; Yang, T.; Wen, J.; Khan, M.Y.A. Development of a comprehensive framework for assessing the impacts of climate change and dam construction on flow regimes. J. Hydrol. 2020, 590, 125358. [Google Scholar] [CrossRef]
- Nilsson, C.; Reidy, C.A.; Dynesius, M.; Revenga, C. Fragment and flow regulation of the world’s large river system. Science 2005, 308, 405–408. [Google Scholar] [CrossRef] [PubMed]
- Wang, C. Research conception of ecological protection and restoration of high dams and large reservoirs construction and hydropower cascade development in Southwestern China. Adv. Eng. Sci. 2017, 49, 1–8. [Google Scholar]
- Kummu, M.; Lu, X.X.; Wang, J.J.; Varis, O. Basin-wide sediment trapping efficiency of emerging reservoirs along the Mekong. Geomorphology 2010, 119, 181–197. [Google Scholar] [CrossRef]
- Zhang, C.P.; Liu, T.; Yang, Z.Y.; Wu, P.; Zhang, K.X.; Chen, S. Study on antimony and arsenic cycling, transformation and contrasting mobility in river-type reservoir. Appl. Geochem. 2022, 136, 105132. [Google Scholar] [CrossRef]
- Zhu, R.M.; Zhang, P.L.; Zhang, X.X.; Yang, M.; Zhao, R.Q.; Liu, W.; Li, Z.Y. Fabrication of synergistic sites on an oxygen-rich covalent organic framework for efficient removal of Cd(II) and Pb(II) from water. J. Haz. Mat. 2022, 424, 127301. [Google Scholar] [CrossRef]
- Marina, C.B.; Rubén, L.L.; Fátima, S.G.; Rubén, E.G. Biosorption of Cu(II) ions as a method for the effective use of activated carbon from grape stalk waste: RMS optimization and kinetic studies. Energ. Source. Part A 2022, 44, 4706–4726. [Google Scholar]
- Bing, H.; Zhou, J.; Wu, Y.H.; Wang, X.X.; Sun, H.Y.; Li, R. Current state, sources, and potential risk of heavy metals in sediments of Three Gorges Reservoir, China. Environ. Pollut. 2016, 214, 485–496. [Google Scholar] [CrossRef] [PubMed]
- Gao, Q.; Li, Y.; Cheng, Q.Y.; Yu, M.X.; Hu, B.; Wang, Z.G.; Yu, Z.Q. Analysis and assessment of the nutrients, biochemical indexes and heavy metals in the Three Gorges Reservoir, China, from 2008 to 2013. Water Res. 2016, 92, 262–274. [Google Scholar] [CrossRef] [PubMed]
- Dong, J.W.; Xia, X.H.; Liu, Z.X.; Zhang, X.T.; Chen, Q.W. Variations in concentrations and bioavailability of heavy metals in rivers during sediment suspension-deposition event induced by dams: Insights from sediment regulation of the Xiaolangdi Reservoir in the Yellow River. J. Soils Sediments. 2019, 19, 403–414. [Google Scholar] [CrossRef]
- Dong, J.W.; Xia, X.H.; Zhang, Z.M.; Liu, Z.X.; Zhang, X.T.; Li, H.S. Variations in concentrations and bioavailability of heavy metals in rivers caused by water conservancy projects: Insights from water regulation of the Xiaolangdi Reservoir in the Yellow River. J. Environ. Sci. 2018, 74, 79–87. [Google Scholar] [CrossRef]
- Cheng, Y.; Zhao, F.X.; Wu, J.K.; Gao, P.Y.; Wang, Y.C.; Wang, J. Migration characteristics of arsenic in sediments under the influence of cascade reservoirs in Lancang River basin. J. Hydrol. 2022, 606, 127424. [Google Scholar] [CrossRef]
- Wang, C.; Liu, S.L.; Zhao, Q.H.; Deng, L.; Dong, S.K. Spatial variation and contamination assessment of heavy metals in sediments in the Manwan Reservoir, Lancang River. Ecotoxicol. Environ. Saf. 2012, 82, 32–39. [Google Scholar] [CrossRef]
- Zhao, C.; Dong, S.K.; Liu, S.L.; Isange, S.; Li, J.P.; Liu, Q.; An, N.N. Distribution and environmental risk assessment of heavy metals and nutrients in sediments of upstream and downstream of Manwan Dam. Acta Sci. Circumst. 2014, 34, 2417–2425. [Google Scholar]
- Saleem, M.; Iqbal, J.; Akhter, G.; Shah, M.H. Fractionation, bioavailability, contamination and environmental risk of heavy metals in the sediments from a freshwater reservoir, Pakistan. J. Geochem. Explor. 2018, 184, 199–208. [Google Scholar] [CrossRef]
- Li, X.M.; Zhou, M. Characteristics and contamination assessment of heavy metals in surface sediments of East Lake, Wuhan. Environ. Sci. Technol. 2016, 39, 161–169. [Google Scholar]
- Wang, M.; Wang, S.; Tang, Q.H.; Zhang, H.J.; Luo, G.; Wei, G.F.; Peng, L.; Yang, H.W. Characteristics of sediment nutrients loading and heavy metals pollution in three important reservoirs from the west coast of Guangdong Province, South China. Ecol. Environ. Sci. 2014, 23, 834–841. [Google Scholar]
- Cüce, H.; Kalipci, E.; Ustaoğlu, F.; Dereli, M.A.; Türkmen, A. Integrated spatial distribution and multivariate statistical analysis for assessment of ecotoxicological and health risks of sediment metal contamination, Ömerli Dam (Istanbul, Turkey). Water Air Soil Pollut. 2022, 233, 199. [Google Scholar] [CrossRef]
- Varol, M.; Ustaoğlu, F.; Tokatlı, C. Ecological risks and controlling factors of trace elements in sediments of dam lakes in the Black Sea Region (Turkey). Environ. Res. 2022, 205, 112478. [Google Scholar] [CrossRef] [PubMed]
- Yüksel, B.; Ustaoğlu, F.; Tokatli, C.; Islam, M.S. Ecotoxicological risk assessment for sediments of Çavuşlu stream in Giresun, Turkey: Association between garbage disposal facility and metallic accumulation. Environ. Sci. Pollut. Res. Int. 2022, 29, 17223–17240. [Google Scholar] [CrossRef] [PubMed]
- Ustaoğlu, F.; Kükrer, S.; Taş, B.; Topaldemir, H. Evaluation of metal accumulation in Terme River sediments using ecological indices and a bioindicator species. Environ. Sci. Pollut. Res. Int. 2022, 29, 47399–47415. [Google Scholar] [CrossRef] [PubMed]
- Li, J.P.; Dong, S.K.; Peng, M.C. The structure of benthic macrofauna and bioassessment of water quality in cascade dammed reservoir of Lancang River. Acta Sci. Circumst. 2018, 38, 2931–2940. [Google Scholar]
- Dore, J.; Yu, X.G. Yunnan Hydropower Expansion: Update on China’s Energy Industry Reforms and the Nu, Lancang and Jinsha Hydropower Dams; Working Paper; Chiang Mai University’s Unit for Social and Environment Research, and Green Watershed: Chiang Mai, Thailand, 2004. [Google Scholar]
- Li, J.P.; Dong, S.K.; Liu, S.L.; Yang, Z.F.; Peng, M.C.; Zhao, C. Effects of cascading hydropower dams on the composition, biomass and biological integrity of phytoplankton assemblages in the middle Lancang-Mekong River. Eco. Eng. 2013, 60, 316–324. [Google Scholar] [CrossRef]
- Wentworth, C.K. A scale of grade and class terms for clastic sediments. J. Geol. 1922, 30, 377–392. [Google Scholar] [CrossRef]
- Ure, A.M.; Quevauviller, P.; Muntau, H.; Griepink, B. An account of the improvement and harmonization of extraction techniques undertaken under the auspices of the BCR of the Commission of the European Communities. Int. J. Environ. Anal. Chem. 1993, 51, 135–151. [Google Scholar] [CrossRef]
- Amrane, C.; Bouhidel, K.E. Analysis and speciation of heavy metals in the water, sediments, and drinking water plant sludge of a deep and sulfate-rich Algerian reservoir. Environ. Monit. Assess. 2019, 191, 73. [Google Scholar] [CrossRef]
- Dong, S.K.; Zhao, C.; Liu, S.L.; Yang, Z.F.; Isange, S.; An, N.N. Speciation and pollution of heavy metals in sediment from middle Lancang-Mekong River influenced by dams. Acta Sci. Circumst. 2016, 36, 466–474. [Google Scholar]
- Liang, L. Morphological Classification of Heavy Metals in River Sediments. Master’s Thesis, Shandong University, Jinan, China, 2006. [Google Scholar]
- Chen, M.; Cai, Q.Y.; Xu, H.; Zhao, L.; Zhao, Y.H. Research process of risk assessment of heavy metals pollution in water body sediment. Ecol. Environ. Sci. 2015, 24, 1069–1074. [Google Scholar]
- Chen, R.; Xu, X.P.; Ding, B. Influence of sediment retaining in Manwan reservoir on sedimentation in Dachaoshan reservoir. Yangtze River 2007, 38, 106–108. [Google Scholar]
- Majumdar, A.; Shrivastava, A.; Sarkar, S.R.; Sathyavelu, S.; Barla, A.; Bose, S. Hydrology, sedimentation and mineralisation: A wetland ecology perspective. Clim. Chang. Environ. Sustain. 2020, 8, 134–151. [Google Scholar] [CrossRef]
- Li, J.P.; Cheng, D.M.; Zhao, A.D.; Liu, S.L.; Xuan, H. Effects of cascading hydropower dam operation on benthic macroinvertebrate assemblages and sediments in the Lancang River. J. Coastal Res. 2020, 104, 465–472. [Google Scholar] [CrossRef]
- Fu, K.D.; Wang, C.; Su, B.; Li, D.X.; Yang, W.H.; Li, M.Y.; Lu, J.X.; Li, D. Distribution and pollution assessment of heavy metals in sand sediment of reservoir along the middle and lower reaches of Lancang River. Ecol. Econ. 2016, 32, 163–168. [Google Scholar]
- Zhou, W.L.; Ma, B.J.; Cheng, L.; Zhang, Y.; Liu, J.; Li, W. Occurrence and risk assessment of heavy metals in Sanmenxia Reservoir. Yellow River 2018, 40, 91–96. [Google Scholar]
- Xiang, Y.X.; Wang, X.; Shan, B.Q.; Zhao, Y.; Tang, W.Z.; Shu, L.M.; Cao, Y. Spatial distribution, fractionation and ecological risk of heavy metals in surface sediments from Baiyangdian Lake. Acta Sci. Circumst. 2020, 40, 2237–2246. [Google Scholar]





| As | Cd | Cr | Cu | Pb | Zn | Fe | |
|---|---|---|---|---|---|---|---|
| As | 1.000 | ||||||
| Cd | 0.584 * | 1.000 | |||||
| Cr | 0.403 | 0.142 | 1.000 | ||||
| Cu | 0.645 ** | 0.722 ** | 0.580 * | 1.000 | |||
| Pb | 0.741 ** | 0.673 ** | 0.592 ** | 0.821 ** | 1.000 | ||
| Zn | 0.384 | 0.872 ** | 0.065 | 0.660 ** | 0.601 ** | 1.000 | |
| Fe | 0.272 | 0.019 | 0.601 ** | 0.521 * | 0.383 | −0.022 | 1.000 |
| Heavy Metals | Rotated Component Matrix | |
|---|---|---|
| Component 1 | Component 2 | |
| As | 0.649 | 0.433 |
| Cd | 0.962 | −0.008 |
| Cr | 0.147 | 0.876 |
| Cu | 0.756 | 0.567 |
| Pb | 0.754 | 0.539 |
| Zn | 0.921 | −0.106 |
| Fe | −0.105 | 0.871 |
| Eigenvalues | 4.082 | 1.610 |
| % of variance | 58.314 | 23.001 |
| Cumulative % | 58.314 | 81.316 |
| Dam | Habitat | As (Mean) | Cd (Mean) | Cr (Mean) | Cu (Mean) | Pb (Mean) | Zn (Mean) | ||||||
|---|---|---|---|---|---|---|---|---|---|---|---|---|---|
| 2013 | 2016 | 2013 | 2016 | 2013 | 2016 | 2013 | 2016 | 2013 | 2016 | 2013 | 2016 | ||
| Manwan (M) | Lacustrine zone | 0.66 | 1.34 | 9.49 | 5.64 | 0.16 | 0.23 | 2.12 | 0.71 | 4.58 | 0.52 | 1.48 | 1.57 |
| Transitional zone | 0.55 | 1.10 | 10.67 | 2.39 | 0.13 | 0.16 | 2.38 | 0.48 | 4.15 | 0.43 | 2.67 | 1.40 | |
| Riverine zone | 0.59 | 0.19 | 4.00 | 1.03 | 0.10 | 0.35 | 1.21 | 0.29 | 1.43 | 0.25 | 1.27 | 0.64 | |
| Dachaoshan (D) | Lacustrine zone | 0.87 | 0.31 | 5.06 | 0.57 | 0.19 | 0.30 | 1.09 | 0.35 | 2.00 | 0.33 | 0.56 | 0.49 |
| Transitional zone | 0.84 | 0.50 | 3.91 | 0.55 | 0.20 | 0.47 | 1.23 | 0.38 | 2.16 | 0.27 | 0.50 | 0.45 | |
| Riverine zone | 0.48 | 0.50 | 3.72 | 0.34 | 0.20 | 0.21 | 1.33 | 0.28 | 1.32 | 0.27 | 0.87 | 0.32 | |
Publisher’s Note: MDPI stays neutral with regard to jurisdictional claims in published maps and institutional affiliations. |
© 2022 by the authors. Licensee MDPI, Basel, Switzerland. This article is an open access article distributed under the terms and conditions of the Creative Commons Attribution (CC BY) license (https://creativecommons.org/licenses/by/4.0/).
Share and Cite
Li, J.; Zhao, A.; Xuan, H.; You, X. Speciation Distribution Characteristic and Ecological Risk of Heavy Metals in Surface Sediments of Cascading Hydropower Dams in Lancang River. Water 2022, 14, 3248. https://doi.org/10.3390/w14203248
Li J, Zhao A, Xuan H, You X. Speciation Distribution Characteristic and Ecological Risk of Heavy Metals in Surface Sediments of Cascading Hydropower Dams in Lancang River. Water. 2022; 14(20):3248. https://doi.org/10.3390/w14203248
Chicago/Turabian StyleLi, Jinpeng, Aidong Zhao, Hao Xuan, and Xiaoguang You. 2022. "Speciation Distribution Characteristic and Ecological Risk of Heavy Metals in Surface Sediments of Cascading Hydropower Dams in Lancang River" Water 14, no. 20: 3248. https://doi.org/10.3390/w14203248
APA StyleLi, J., Zhao, A., Xuan, H., & You, X. (2022). Speciation Distribution Characteristic and Ecological Risk of Heavy Metals in Surface Sediments of Cascading Hydropower Dams in Lancang River. Water, 14(20), 3248. https://doi.org/10.3390/w14203248

