Distribution Characteristics and Formation Mechanisms of Highly Mineralized Groundwater in the Hetao Plain, Inner Mongolia
Abstract
1. Introduction
2. Materials and Methods
2.1. Study Area
2.2. Principles of Sample Collection
2.3. Procedure of Sample Collection, Storage and Inspection
3. Results
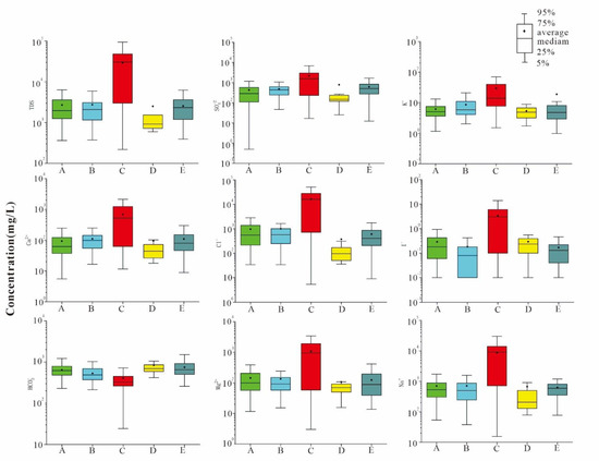
3.1. Spatial Distribution Law of Highly Mineralized Groundwater in Hetao Plain
3.1.1. Highly Mineralized Water Distribution Zone of Valley in Front of Fan in Houtao Plain (A)
3.1.2. Highly Mineralized Water Distribution Zone on the North Bank of Yellow River in Houtao Plain (B)
3.1.3. Highly Mineralized Water (Brine) Distribution Zone of Xishanzui in Houtao Plain (C)
3.1.4. Highly Mineralized Water Distribution Zone of Hasuhai in Hubao Plain (D)
3.1.5. Highly Mineralized Water Distribution Zone of Dalad Banner on the South Bank of Yellow River (E)
3.2. Spatial Distribution Law of Highly Mineralized Groundwater in Hetao Plain
3.2.1. Correlation between Salinity and Major Ions
3.2.2. Analysis Based on Three-Line Diagram (Piper)
4. Discussion
4.1. Indication of Geochemical Indicators
4.1.1. Analysis Based on Gibbs Diagram
4.1.2. The γ(Na+)/γ(Cl−) Coefficient
4.1.3. The Saturation Indexes of the Main Minerals
4.1.4. Relationship between γ (Ca2+ + Mg2+) and γ (SO42−+ HCO3−)
4.2. Isotopic Indication of the Origin of Xishanzui Brine
4.2.1. Oxygen Isotope Indication
4.2.2. Chlorine Isotope Indication
4.3. The Origin of Underground Brine
5. Conclusions
- (1)
- Highly mineralized water with a salinity greater than 3 g/L is widely distributed in the shallow water-bearing layer of Hetao Plain.Its area is about 3.45 × 103 km2, accounting for 11.5% of the area of Hetao Plain. Hetao Plain can be divided into five highly mineralized water distribution zones from west to east and from north to south, namely, highly mineralized water distribution zone in front of fan depression in Houtao Plain, highly mineralized water distribution zone on the north bank of Yellow River in Houtao Plain, highly mineralized water (brine) distribution zone in Xishanzui in Houtao Plain, highly mineralized water distribution zone in Hasuhai in Hubao Plain and highly mineralized water distribution zone in Dalad Banner on the south bank of Yellow River;
- (2)
- In the Hetao Plain, there are five highly mineralized water distribution zones from east to west and from north to south. Saline water with salinity less than 0.3 g/L is the main one, and brine with salinity greater than 10 g/L and up to 70 g/L is only distributed in Xishanzui of Houtao Plain. From the analysis of influencing factors and genesis of highly mineralized water, it can be seen that due to the formation of structural depression in front of fan, the long-term accumulation of water and salt in deep depression zone formed the distribution zone of highly mineralized water in northern plain; the existence of fault structure aggravates salt migration and brine infection, and makes shallow water and soil in the lower reaches of the south of Houtao Plain saline, which is the main reason for the formation of highly mineralized water in Xishanzui of Houtao Plain. Evaporation-concentration in groundwater drainage area and modern continental salinization are the main factors for the formation of other highly mineralized water distribution zones in the basin;
- (3)
- According to the analysis of Piper, Gibbs diagrams of groundwater, the proportion coefficients of various components and the isotopic indications, it can be seen that most of the chemical ions in groundwater in the highly mineralized zone come from evaporation-concentration mainly affected by climate, sedimentary environment, hydrogeological conditions and hydrology. Groundwater in front of fan depression in Houtao plain, north bank of Yellow River and highly mineralized water area in Xishanzui highly mineralized water distribution zone may be recharged by deep marine sedimentary groundwater. The sources of the highly mineralized water in Xishanzui of Houtao Plain are different from those of the highly mineralized water in other zones. Deuterium excess in highly mineralized groundwater indicates that it is of paleo-meteoric origin rather than residual seawater. The δ-D value of the highly mineralized groundwater is lower than the modern average atmospheric precipitation, which indicates that the recharge climate was colder than that of the present, and it is likely that the groundwater was replenished at the end of the Late Pleistocene. The water quality of highly mineralized shallow water in this area is formed by the mixture of deep confined water and shallow water, showing that the deep confined water in this zone can support and replenish the shallow water, and that the brine in Xishanzui highly mineralized water zone in Houtao Plain is influenced by deep underground brine.
Author Contributions
Funding
Institutional Review Board Statement
Informed Consent Statement
Data Availability Statement
Acknowledgments
Conflicts of Interest
References
- Tong, Y.; Li, L.; Wang, X.; Li, Y. Revision of Handbook of Hydrogeology (2nd Edition). J. Groundw. Sci. Eng. 2013, 1, 41–47. [Google Scholar]
- Kulmatov, R.A.; Adilov, S.A.; Khasanov, S. Evaluation of the spatial and temporal changes in groundwater level and mineralization in agricultural lands under climate change in the Syrdarya province, Uzbekistan. IOP Conf. Ser. Earth Environ. Sci. 2020, 614, 012149. [Google Scholar] [CrossRef]
- Choudhury, K.; Saha, D.K.; Chakraborty, P. Geophysical study for saline water intrusion in a coastal alluvial terrain. J. Appl. Geophys. 2001, 46, 189–200. [Google Scholar] [CrossRef]
- Zhang, W.K.; Yu, K.; Li, Y.Z.; Ji, X.Y.; Li, D.; Zhao, Z.; Jiang, X. Research progress of groundwater environment in Hetao Plain. Environ. Chem. 2020, 39, 489–499. [Google Scholar]
- Zhang, H. The migration dynamics and the speciation of arsenic in the Hetao area, Inner Mongolia. Environ. Monit. Assess. 2020, 192, 332. [Google Scholar] [CrossRef] [PubMed]
- Foster, S.; Chilton, J.; Nijsten, G.-J.; Richts, A. Groundwater—A global focus on the ‘local resource’. Curr. Opin. Environ. Sustain. 2013, 5, 685–695. [Google Scholar] [CrossRef]
- Fuoco, I.; De Rosa, R.; Barca, D.; Figoli, A.; Gabriele, B.; Apollaro, C. Arsenic polluted waters: Application of geochemical modelling as a tool to understand the release and fate of the pollutant in crystalline aquifers. J. Environ. Manag. 2022, 301, 113796. [Google Scholar] [CrossRef] [PubMed]
- Chucuya, S.; Vera, A.; Pino-Vargas, E.; Steenken, A.; Mahlknecht, J.; Montalvan, I. Hydrogeochemical Characterization and Identification of Factors Influencing Groundwater Quality in Coastal Aquifers, Case: La Yarada, Tacna, Peru. Int. J. Environ. Res. Public Health 2022, 19, 2815. [Google Scholar] [CrossRef] [PubMed]
- Cunrong, G. Research on the mechanism of arsenic pollution in groundwater in the Hetao Plain, Inner Mongolia, China. Chin. J. Geol. Hazard. Control 1999, 10, 25–32. [Google Scholar]
- Guo, H.; Zhang, B.; Yang, S.; Li, Y.; Stueben, D.; Norra, S.; Wang, J. Role of colloidal particles for hydrogeochemistry in As-affected aquifers of the Hetao Basin, Inner Mongolia. Appl. Geochem. 2009, 43, 227–234. [Google Scholar] [CrossRef]
- He, J.; Ma, T.; Deng, Y.; Yang, H.; Wang, Y. Environmental geochemistry of high arsenic groundwater at western Hetao plain, Inner Mongolia. Front. Earth Sci. 2009, 3, 63. [Google Scholar] [CrossRef]
- Xu, X.; Huang, G.; Qu, Z.; Pereira, L.S. Assessing the groundwater dynamics and impacts of water saving in the Hetao Irrigation District, Yellow River basin. Agric. Manag. Water Qual. 2010, 98, 301–313. [Google Scholar]
- Wang, H.-Y.; Guo, H.-M.; Xiu, W.; Bauer, J.; Sun, G.-X.; Tang, X.-H.; Norra, S. Indications that weathering of evaporite minerals affects groundwater salinity and As mobilization in aquifers of the northwestern Hetao Basin, China. Appl. Geochem. 2019, 109, 104416. [Google Scholar] [CrossRef]
- Zhang, Z.; Guo, H.; Zhao, W.; Liu, S.; Cao, Y.; Jia, Y. Influences of groundwater extraction on flow dynamics and arsenic levels in the western Hetao Basin, Inner Mongolia, China. Hydrogeol. J. 2018, 26, 1499–1512. [Google Scholar] [CrossRef]
- Yu, J.; Jiao, Y.; Yang, W.; Yang, J.; Liu, L. Hydrogeochemical characterization of a possible carbon sink from shallow saline–alkaline groundwater in the eastern Hetao Basin of Inner Mongolia in China. Environ. Sci. Process. Impacts 2021, 23, 344–356. [Google Scholar] [CrossRef] [PubMed]
- Guo, H.; Zhang, Y.; Xing, L.; Jia, Y. Spatial variation in arsenic and fluoride concentrations of shallow groundwater from the town of Shahai in the Hetao basin, Inner Mongolia. Appl. Geochem. 2012, 27, 2187–2196. [Google Scholar] [CrossRef]
- Payen, S.; Basset-Mens, C.; Núñez, M.; Follain, S.; Grünberger, O.; Marlet, S.; Perret, S.; Roux, P. Salinisation impacts in life cycle assessment: A review of challenges and options towards their consistent integration. Int. J. Life Cycle Assess. 2016, 21, 577–594. [Google Scholar] [CrossRef]
- Schuler, M.S.; Cañedo, A.M.; Hintz, W.D.; Dyack, B.; Birk, S.; Relyea, R.A. Regulations are needed to protect freshwater ecosystems from salinization. Philos. Trans. R. Soc. B 2018, 374, 1764. [Google Scholar] [CrossRef] [PubMed]
- Singh, A. Salinization and drainage problems of agricultural land. Irrig. Drain. 2020, 69, 844–853. [Google Scholar] [CrossRef]
- Fuoco, I.; Marini, L.; De Rosa, R.; Figoli, A.; Gabriele, B.; Apollaro, C. Use of reaction path modelling to investigate the evolution of water chemistry in shallow to deep crystalline aquifers with a special focus on fluoride. Sci. Total Environ. 2022, 830, 154566. [Google Scholar] [CrossRef] [PubMed]
- Kohfahl, C.; Rodriguez, M.; Fenk, C.; Menz, C.; Benavente, J.; Hubberten, H.; Meyer, H.; Paul, L.; Knappe, A.; López-Geta, J.A. Characterising flow regime and interrelation between surface-water and ground-water in the Fuente de Piedra salt lake basin by means of stable isotopes, hydrogeochemical and hydraulic data. J. Hydrol. 2008, 351, 170–187. [Google Scholar] [CrossRef]
- Hidalgo, M.C.; Cruz-Sanjulián, J. Groundwater composition, hydrochemical evolution and mass transfer in a regional detrital aquifer (Baza basin, southern Spain). Appl. Geochem. 2001, 16, 745–758. [Google Scholar] [CrossRef]
- Zhang, X.; Jiao, J.J.; Li, H.; Luo, X.; Kuang, X. Effects of Downward Intrusion of Saline Water on Nested Groundwater Flow Systems. Water Resour. Res. 2020, 56, e2020WR028377. [Google Scholar] [CrossRef]
- Scanlon, B. Physical controls on hydrochemical variability in the inner bluegrass karst region of central kentucky. Ground Water. 1989, 27, 639–646. [Google Scholar] [CrossRef]
- Scanlon, B.R.; Thrailkill, J. Chemical similarities among physically distinct spring types in a karst terrain. J. Hydrol. 1987, 89, 259–279. [Google Scholar] [CrossRef]
- Collins, A.G.; Castagno, J.L.; Marcy, V. Potentiometric determination of ammonium nitrogen in oilfield brines. Environ. Sci. Technol. 1969, 3, 274–275. [Google Scholar] [CrossRef]
- Li, P.; Tian, R.; Xue, C.; Wu, J. Progress, opportunities, and key fields for groundwater quality research under the impacts of human activities in China with a special focus on western China. Environ. Sci. Pollut. Res. 2017, 24, 13224–13234. [Google Scholar] [CrossRef]
- Garrels, R.M.; Thompson, M.E. A chemical model for sea water at 25 degrees C and one atmosphere total pressure. Am. J. Sci. 1962, 260, 57–66. [Google Scholar] [CrossRef]
- Nordstrom, D.K.; Ball, J.W.; Donahoe, R.J.; Whittemore, D. Groundwater chemistry and water-rock interactions at Stripa. Geochim. Cosmochim. Acta 1989, 53, 1727–1740. [Google Scholar] [CrossRef]
- Parrone, D.; Ghergo, S.; Frollini, E.; Rossi, D.; Preziosi, E. Arsenic-fluoride co-contamination in groundwater: Background and anomalies in a volcanic-sedimentary aquifer in central Italy. J. Geochem. Exploration 2020, 217, 106590. [Google Scholar] [CrossRef]
- Sun, H.; Huffine, M.; Husch, J.; Sinpatanasakul, L. Na/Cl molar ratio changes during a salting cycle and its application to the estimation of sodium retention in salted watersheds. J. Contam. Hydrol. 2012, 136–137, 96–105. [Google Scholar] [CrossRef] [PubMed]
- Yang, C.L.; Xie, Z.Y.; Pei, S.Q.; Guo, J.Y.; Zhang, L.; Dong, C.Y.; Hao, A.S.; Yang, C.Y.; Liu, C.X. Chemical characteristics of middle permian formation water and hydrocarbon preservation conditions in northwest sichuan. IOP Conf. Ser. Earth Environ. Sci. 2020, 600, 012041. [Google Scholar] [CrossRef]
- Subba, R.N.; Dinakar, A.; Sun, L. Estimation of groundwater pollution levels and specific ionic sources in the groundwater, using a comprehensive approach of geochemical ratios, pollution index of groundwater, unmix model and land use/land cover—A case study. J. Contam. Hydrol. 2022, 248, 103990. [Google Scholar] [CrossRef]
- Li, P.; He, X.; Guo, W. Spatial groundwater quality and potential health risks due to nitrate ingestion through drinking water: A case study in yan’an city on the loess plateau of northwest china. Hum. Ecol. Risk. Assess. 2019, 25, 11–31. [Google Scholar] [CrossRef]
- Fisher, R.S.; William, F.; Mullican, I. Hydrochemical Evolution of Sodium-Sulfate and Sodium-Chloride Groundwater Beneath the Northern Chihuahuan Desert, Trans-Pecos, Texas, USA. Hydrogeol. J. 1997, 5, 4–16. [Google Scholar] [CrossRef]
- Das Sharma, S.; Sujatha, D. Characterization of the water chemistry, sediment (13)C and (18)O compositions of Kolleru Lake-a Ramsar wetland in Andhra Pradesh, India. Environ. Monit. Assess. 2016, 188, 409. [Google Scholar] [CrossRef]
- Li, Y.-P.; Jiang, S.-Y. Major cation/chlorine ratio and stable chlorine isotopic compositions of sediment interstitial water in the Brazos-Trinity Basin IV from the Gulf of Mexico (IODP 308). J. Asian Earth Sci. 2013, 65, 42–50. [Google Scholar] [CrossRef]
- Vengosh, A.; Chivas, A.R.; Starinsky, A.; Kolodny, Y.; Zhang, B.; Zhang, P. Chemical and boron isotope compositions of non-marine brines from the Qaidam Basin, Qinghai, China. Chem. Geol. 1995, 120, 135–154. [Google Scholar] [CrossRef]
- Gao, J.F.; Ding, T.P.; Luo, X.R.; Tian, S.H.; Li, M. δD and δ18O Variations of Water in the Yellow River and Its Environmental Significance. Acta Geol. Sin. 2011, 85, 596–602. [Google Scholar]
- Clark, K.E.; Torres, M.A.; West, A.J.; Hilton, R.G.; New, M.; Horwath, A.B.; Fisher, J.B.; Rapp, J.M.; Robles Caceres, A.; Malhi, Y. The hydrological regime of a forested tropical Andean catchment. Hydrol. Earth Syst. Sci. 2014, 18, 5377–5397. [Google Scholar] [CrossRef]
- Cui, J.; An, S.; Wang, Z.; Fang, C.; Liu, Y.; Yang, H.; Xu, Z.; Liu, S. Using deuterium excess to determine the sources of high-altitude precipitation: Implications in hydrological relations between sub-alpine forests and alpine meadows. J. Hydrol. 2009, 373, 24–33. [Google Scholar] [CrossRef]













| A | B | C | D | E | |
|---|---|---|---|---|---|
| Ca2+ | 0.670 | 0.393 | 0.746 | 0.093 | 0.834 |
| Mg2+ | 0.831 | 0.984 | 0.927 | 0.918 | 0.941 |
| Na+ + K+ | 0.945 | 0.994 | 0.996 | 0.991 | 0.997 |
| Cl− | 0.946 | 0.997 | 0.997 | 0.815 | 0.986 |
| SO42− | 0.156 | 0.945 | 0.791 | 0.994 | 0.608 |
| HCO3− | −0.324 | −0.054 | −0.057 | 0.489 | −0.101 |
| Br− | 0.810 | 0.810 | 0.930 | −0.019 | 0.953 |
| I− | 0.638 | 0.898 | 0.678 | 0.904 | 0.819 |
| F− | −0.024 | 0.413 | −0.154 | 0.371 | −0.094 |
| Fe3+ | 0.142 | 0.307 | −0.264 | 0.165 | −0.119 |
| Fe2+ | 0.411 | 0.428 | −0.354 | 0.002 | −0.043 |
| As | 0.299 | −0.079 | −0.596 | −0.173 | −0.145 |
Publisher’s Note: MDPI stays neutral with regard to jurisdictional claims in published maps and institutional affiliations. |
© 2022 by the authors. Licensee MDPI, Basel, Switzerland. This article is an open access article distributed under the terms and conditions of the Creative Commons Attribution (CC BY) license (https://creativecommons.org/licenses/by/4.0/).
Share and Cite
Dong, Q.; Li, J.; Cheng, Y.; Ren, Y.; Zhang, D.; Wang, D.; Sun, X.; Cao, W. Distribution Characteristics and Formation Mechanisms of Highly Mineralized Groundwater in the Hetao Plain, Inner Mongolia. Water 2022, 14, 3247. https://doi.org/10.3390/w14203247
Dong Q, Li J, Cheng Y, Ren Y, Zhang D, Wang D, Sun X, Cao W. Distribution Characteristics and Formation Mechanisms of Highly Mineralized Groundwater in the Hetao Plain, Inner Mongolia. Water. 2022; 14(20):3247. https://doi.org/10.3390/w14203247
Chicago/Turabian StyleDong, Qiuyao, Jincheng Li, Yanpei Cheng, Yu Ren, Dong Zhang, Dong Wang, Xiaoyue Sun, and Wengeng Cao. 2022. "Distribution Characteristics and Formation Mechanisms of Highly Mineralized Groundwater in the Hetao Plain, Inner Mongolia" Water 14, no. 20: 3247. https://doi.org/10.3390/w14203247
APA StyleDong, Q., Li, J., Cheng, Y., Ren, Y., Zhang, D., Wang, D., Sun, X., & Cao, W. (2022). Distribution Characteristics and Formation Mechanisms of Highly Mineralized Groundwater in the Hetao Plain, Inner Mongolia. Water, 14(20), 3247. https://doi.org/10.3390/w14203247
