Comparison of Numerical Methods in Simulating Lake–Groundwater Interactions: Lake Hampen, Western Denmark
Abstract
1. Introduction
2. Materials and Methods
2.1. Study Area
2.2. Methods and Data
2.2.1. The LAK3 Method
2.2.2. The SLM Method
2.2.3. Model Setup
3. Results
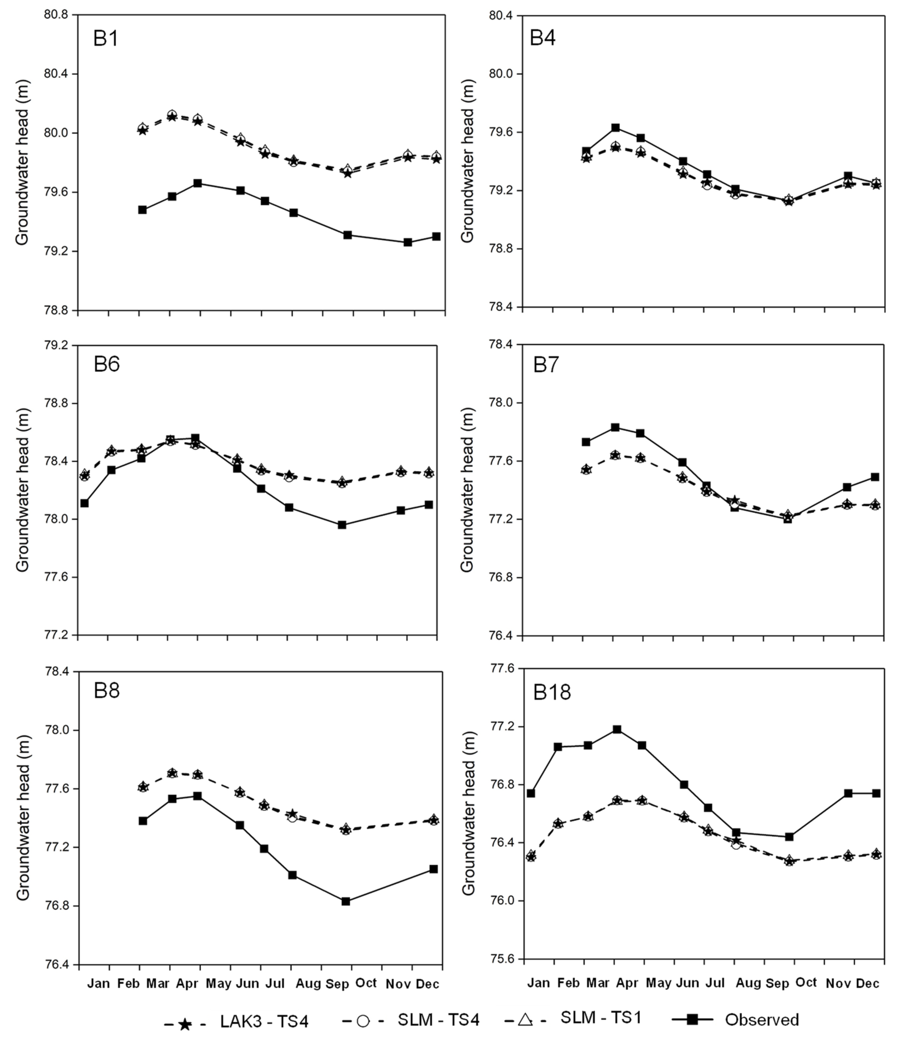
3.1. Simulated Groundwater Head
3.2. Simulated Lake Level and Surface Area
3.3. Simulated Water Balance
4. Discussion and Conclusions
4.1. SLM as a New Lake–Groundwater Simulation Tool
4.2. Savings in Computational Time
Author Contributions
Funding
Institutional Review Board Statement
Informed Consent Statement
Data Availability Statement
Acknowledgments
Conflicts of Interest
References
- Dimova, N.T.; Burnett, W.C.; Chanton, J.P.; Corbett, J.E. Application of radon-222 to investigate groundwater discharge into small shallow lakes. J. Hydrol. 2013, 486, 112–122. [Google Scholar] [CrossRef]
- Erik, J. Focused groundwater discharge of phosphorus to a eutrophic seepage lake (Lake Væng, Denmark): Implications for lake ecological state and restoration. Hydrogeol. J. 2013, 21, 1787–1802. [Google Scholar] [CrossRef]
- Zhou, S.Q.; Kang, S.C.; Chen, F.; Joswiak, D.R. Water balance observations reveal significant subsurface water seepage from Lake Nam Co, south-central Tibetan Plateau. J. Hydrol. 2013, 491, 89–99. [Google Scholar] [CrossRef]
- Pöschke, F.; Nützmann, G.; Engesgaard, P.; Lewandowski, J. How does the groundwater influence the water balance of a lowland lake? A field study from Lake Stechlin, north-eastern Germany. Limnologica 2018, 68, 17–25. [Google Scholar] [CrossRef]
- Rossman, N.R.; Zlotnik, V.A.; Rowe, C.M. Simulating lake and wetland areal coverage under future groundwater recharge projections: The Nebraska Sand Hills system. J. Hydrol. 2019, 576, 185–196. [Google Scholar] [CrossRef]
- Kidmose, J.; Engesgaard, P.; Ommen, D.A.O.; Nilsson, B.; Flindt, M.R.; Andersen, F.O. The Role of Groundwater for Lake-Water Quality and Quantification of N Seepage. Groundwater 2015, 53, 709–721. [Google Scholar] [CrossRef] [PubMed]
- Lewandowski, J.; Meinikmann, K.; Nutzmann, G.; Rosenberry, D.O. Groundwater–the disregarded component in lake water and nutrient budgets. Part 2: Effects of groundwater on nutrients. Hydrol. Process. 2015, 29, 2922–2955. [Google Scholar] [CrossRef]
- Chen, J.; Qian, H. Characterizing replenishment water, lake water and groundwater interactions by numerical modelling in arid regions: A case study of Shahu Lake. Hydrol. Sci. J. 2017, 62, 104–113. [Google Scholar] [CrossRef]
- Urrutia, J.; Herrera, C.; Custodio, E.; Jodar, J.; Medina, A. Groundwater recharge and hydrodynamics of complex volcanic aquifers with a shallow saline lake: Laguna Tuyajto, Andean Cordillera of northern Chile. Sci. Total Environ. 2019, 697, 134116. [Google Scholar] [CrossRef]
- Zhang, B.; Lu, C.Y.; Wang, J.H.; Sun, Q.Y.; He, X.; Cao, G.L.; Zhao, Y.; Yan, L.J.; Gong, B.Y. Using storage of coal-mining subsidence area for minimizing flood. J. Hydrol. 2019, 572, 571–581. [Google Scholar] [CrossRef]
- Schneider, R.L.; Negley, T.L.; Wafer, C. Factors influencing groundwater seepage in a large, mesotrophic lake in New York. J. Hydrol. 2005, 310, 1–16. [Google Scholar] [CrossRef]
- Mccobb Timothy, D.; Briggs Martin, A.; Leblanc Denis, R.; Day-Lewis Frederick, D.; Johnson Carole, D. Evaluating long-term patterns of decreasing groundwater discharge through a lake-bottom permeable reactive barrier. J. Environ. Manag. 2018, 220, 233. [Google Scholar] [CrossRef]
- Tirado-Conde, J.; Engesgaard, P.; Karan, S.; Muller, S.; Duque, C. Evaluation of Temperature Profiling and Seepage Meter Methods for Quantifying Submarine Groundwater Discharge to Coastal Lagoons: Impacts of Saltwater Intrusion and the Associated Thermal Regime. Water 2019, 11, 1648. [Google Scholar] [CrossRef]
- Campodonico, V.A.; Dapena, C.; Pasquini, A.I.; Lecomte, K.L.; Piovano, E.L. Hydrogeochemistry of a small saline lake: Assessing the groundwater inflow using environmental isotopic tracers (Laguna del Plata, Mar Chiquita system, Argentina). J. S. Am. Earth Sci. 2019, 95, 102305. [Google Scholar] [CrossRef]
- Smith, R.L.; Repert, D.A.; Stoliker, D.L.; Kent, D.B.; Song, B.; LeBlanc, D.R.; McCobb, T.D.; Bohlke, J.K.; Hyun, S.P.; Moon, H.S. Seasonal and spatial variation in the location and reactivity of a nitrate-contaminated groundwater discharge zone in a lakebed. J. Geophys. Res.-Biogeosci. 2019, 124, 2186–2207. [Google Scholar] [CrossRef]
- Kidmose, J.; Engesgaard, P.; Nilsson, B.; Laier, T.; Looms, M.C. Spatial Distribution of Seepage at a Flow-Through Lake: Lake Hampen, Western Denmark. Vadose Zone J. 2011, 10, 110–124. [Google Scholar] [CrossRef]
- Nisbeth, C.S.; Kidmose, J.; Weckstrom, K. Dissolved inorganic geogenic phosphorus load to a groundwater-fed lake: Implications of terrestrial phosphorus cycling by groundwater. Water 2019, 11, 2213. [Google Scholar] [CrossRef]
- Tecklenburg, C.; Blume, T. Identifying, characterizing and predicting spatial patterns of lacustrine groundwater discharge. Hydrol. Earth Syst. Sci. 2017, 21, 5043–5063. [Google Scholar] [CrossRef]
- Abbo, H.; Shavit, U.; Markel, D.; Rimmer, A. A numerical study on the influence of fractured regions on lake/groundwater interaction; the Lake Kinneret (Sea of Galilee) case. J. Hydrol. 2003, 238, 225–243. [Google Scholar] [CrossRef]
- Ala-Aho, P.; Rossi, P.M.; Isokangas, E.; Kløve, B. Fully integrated surface-subsurface flow modelling of groundwater-lake interaction in an esker aquifer: Model verification with stable isotopes and airborne thermal imaging. J. Hydrol. 2015, 522, 391–406. [Google Scholar] [CrossRef]
- Yihdego, Y.; Webb, J.A.; Leahy, P. Modelling of lake level under climate change conditions: Lake Purrumbete in southeastern Australia. Environ. Earth Sci. 2015, 73, 3855–3872. [Google Scholar] [CrossRef]
- Smerdon, B.D.; Mendoza, C.A.; Devito, K.J. Simulations of fully coupled lake-groundwater exchange in a subhumid climate with an integrated hydrologic model. Water Resour. Res. 2007, 43, WO1416. [Google Scholar] [CrossRef]
- Sacks, L.A.; Herman, J.S.; Konikow, L.F.; Vela, A.L. Seasonal dynamics of groundwater-lake interactions at Doñana National Park, Spain. J. Hydrol. 1992, 136, 123–154. [Google Scholar] [CrossRef]
- Dogan, A.; Karaguzel, R.; Soyaslan, I.I. Modelling of lake—Groundwater interaction in Turkey. Water Manag. 2008, 161, 277–287. [Google Scholar] [CrossRef]
- Hunt, R. Ground water-lake interaction modeling using the LAK3 package for MODFLOW 2000. Groundwater 2005, 41, 114. [Google Scholar] [CrossRef]
- Yihdego, Y.; Reta, G.; Becht, R. Human impact assessment through a transient numerical modeling on the UNESCO World Heritage Site, Lake Naivasha, Kenya. Environ. Earth Sci. 2017, 76, 9. [Google Scholar] [CrossRef]
- Cheng, X.X.; Anderson, M.P. Numerical simulation of ground-water interaction with lakes allowing for fluctuating lake levels. Groundwater 1993, 31, 929–933. [Google Scholar] [CrossRef]
- Merritt, M.L.; Konikow, L.F. Documentation of a Computer Program to Simulate Lake-Aquifer Interaction Using the MODFLOW Ground-Water Flow Model and the MOC3D Solute-Transport Model; U.S. Geological Survey: Reston, VA, USA, 2000. [CrossRef]
- Hunt, R.J.; Haitjema, H.M.; Krohelski, J.T.; Feinstein, D.T. Simulating ground water-lake interactions:Approaches and insights. Groundwater 2003, 41, 227–237. [Google Scholar] [CrossRef]
- Lu, C.; Zhang, B.; He, X.; Cao, G.; Sun, Q.; Yan, L.; Qin, T.; Li, T.; Li, Z. Simulation of lake-groundwater interaction under steady-state flow. Groundwater 2020, 59, 90–99. [Google Scholar] [CrossRef]
- Maxwell, R.M.; Putti, M.; Meyerhoff, S.; Delfs, J.O. Surface-subsurface model intercomparison: A first set of benchmark results to diagnose integrated hydrology and feedbacks. Water Resour. Res. 2014, 50, 1531–1549. [Google Scholar] [CrossRef]
- Finsterle, S.; Lanyon, B.; Åkesson, M. Conceptual uncertainties in modelling the interaction between engineered and natural barriers of nuclear waste repositories in crystalline rocks. Geol. Soc. Lond. Spec. Publ. 2019, 482, 261–283. [Google Scholar] [CrossRef]
- Van Loon, A.F.; Van Huijgevoort, M.H.J.; Van Lanen, H.A.J. Evaluation of drought propagation in an ensemble mean of large-scale hydrological models. Hydrol. Earth Syst. Sci. 2012, 16, 4057–4078. [Google Scholar] [CrossRef]
- Elsawwaf, M.; Feyen, J.; Batelaan, O.; Bakr, M. Groundwater–surface water interaction in lake Nasser, Southern Egypt. Hydrol Process. 2014, 28, 414–430. [Google Scholar] [CrossRef]
- Jarsjo, J.; Tornqvist, R.; Su, Y. Climate-driven change of nitrogen retention–attenuation near irrigated fields: Multi-model projections for Central Asia. Environ. Earth Sci. 2017, 76, 117. [Google Scholar] [CrossRef][Green Version]
- Jarsjo, J.; Andersson-Skold, Y.; Froberg, M.; Pietron, J.; Borgstrom, R.; Lov, A.; Kleja, D.B. Projecting impacts of climate change on metal mobilization at contaminated sites: Controls by the groundwater level. Sci. Total Environ. 2020, 712, 135560. [Google Scholar] [CrossRef]
- Beigi, E.; Tsai, F.T.C. Comparative study of climate-change scenarios on groundwater recharge, southwestern Mississippi and southeastern Louisiana, USA. Hydrogeol. J. 2015, 23, 789–806. [Google Scholar] [CrossRef]
- Sayeed, M.; Mahinthakumar, G.K. Efficient parallel implementation of hybrid optimization approaches for solving groundwater inverse problems. J. Comput. Civil Eng. 2005, 19, 329–340. [Google Scholar] [CrossRef]
- Deng, X.M.; Cai, X.C.; Zou, J. Two-level space–time domain decomposition methods for three-dimensional unsteady inverse source problems. J. Sci. Comput. 2016, 67, 86–882. [Google Scholar] [CrossRef]









| LAK3-TS4 | SLM-TS4 | SLM-TS1 | ||
|---|---|---|---|---|
| Groundwater head | RMSE 1 (m) | 0.289 | 0.291 | 0.292 |
| MAE 2 (m) | 0.234 | 0.235 | 0.235 | |
| Lake level | RMSE (m) | 0.049 | 0.048 | 0.049 |
| MAE (m) | 0.039 | 0.036 | 0.037 | |
| Computational time | (s) | 291 | 312 | 195 |
| LAK3-TS4 | SLM-TS4 | SLM-TS1 | ||
|---|---|---|---|---|
| In (mil. m3/year) | Recharge | 11.713 | 11.711 | 11.711 |
| Stream Leakage | 0.039 | 0.035 | 0.039 | |
| Lake Seepage | 1.677 | 1.650 | 1.655 | |
| Head Dep Bounds | 1.257 | 1.258 | 1.250 | |
| Total | 14.686 | 14.655 | 14.655 | |
| Out (mil. m3/year) | Lake Seepage | 2.425 | 2.403 | 2.441 |
| Stream Leakage | 0.031 | 0.031 | 0.032 | |
| Head Dep Bounds | 11.623 | 11.635 | 11.664 | |
| Total | 14.079 | 14.068 | 14.137 | |
| Storage Change (m3/year) | 0.602 | 0.595 | 0.522 | |
| In-Out-ΔS | 0.005 | −0.009 | −0.004 | |
| Water Balance Error (%) | 0.035 | 0.062 | 0.029 | |
| Source/Sink Term | LAK3-TS4 | SLM-TS4 | SLM-TS1 | |
|---|---|---|---|---|
| In (mil. m3/year) | P | 0.967 | 0.967 | 0.967 |
| Qsi | 0.363 | 0.361 | 0.370 | |
| Rnf | 0 | 0 | 0 | |
| 2.425 | 2.403 | 2.441 | ||
| Total | 3.755 | 3.731 | 3.778 | |
| Out (mil. m3/year) | E | 0.523 | 0.523 | 0.523 |
| 1.677 | 1.650 | 1.655 | ||
| W | 0 | 0 | 0 | |
| Qso | 1.544 | 1.550 | 1.594 | |
| Total | 3.745 | 3.723 | 3.772 | |
| Storage Change (mil. m3/year) | 0.01 | 0.008 | 0.006 | |
| In-Out-ΔS | 0.01 | 0.008 | 0.006 | |
| Water Balance Error (%) | 0 | 0 | 0 | |
Publisher’s Note: MDPI stays neutral with regard to jurisdictional claims in published maps and institutional affiliations. |
© 2022 by the authors. Licensee MDPI, Basel, Switzerland. This article is an open access article distributed under the terms and conditions of the Creative Commons Attribution (CC BY) license (https://creativecommons.org/licenses/by/4.0/).
Share and Cite
Lu, C.; He, X.; Zhang, B.; Wang, J.; Kidmose, J.; Jarsjö, J. Comparison of Numerical Methods in Simulating Lake–Groundwater Interactions: Lake Hampen, Western Denmark. Water 2022, 14, 3054. https://doi.org/10.3390/w14193054
Lu C, He X, Zhang B, Wang J, Kidmose J, Jarsjö J. Comparison of Numerical Methods in Simulating Lake–Groundwater Interactions: Lake Hampen, Western Denmark. Water. 2022; 14(19):3054. https://doi.org/10.3390/w14193054
Chicago/Turabian StyleLu, Chuiyu, Xin He, Bo Zhang, Jianhua Wang, Jacob Kidmose, and Jerker Jarsjö. 2022. "Comparison of Numerical Methods in Simulating Lake–Groundwater Interactions: Lake Hampen, Western Denmark" Water 14, no. 19: 3054. https://doi.org/10.3390/w14193054
APA StyleLu, C., He, X., Zhang, B., Wang, J., Kidmose, J., & Jarsjö, J. (2022). Comparison of Numerical Methods in Simulating Lake–Groundwater Interactions: Lake Hampen, Western Denmark. Water, 14(19), 3054. https://doi.org/10.3390/w14193054

