Effect of Temperature and Acidification on Reinjection of Geothermal Water into Sandstone Geothermal Reservoirs: Laboratory Study
Abstract
:1. Introduction
2. Characteristics of Sandstone Geothermal Reservoirs
3. Methods
3.1. Sample Preparation
3.2. Experimental Design
3.3. Precipitation Quality Analysis
3.4. Major Element Analysis of Water and Ground Rock Specimens
3.5. Calculation of Mineral Volume Changes
4. Results
5. Discussion
5.1. Mineral and Element Migration during Interaction
5.1.1. Mineral Composition Comparison
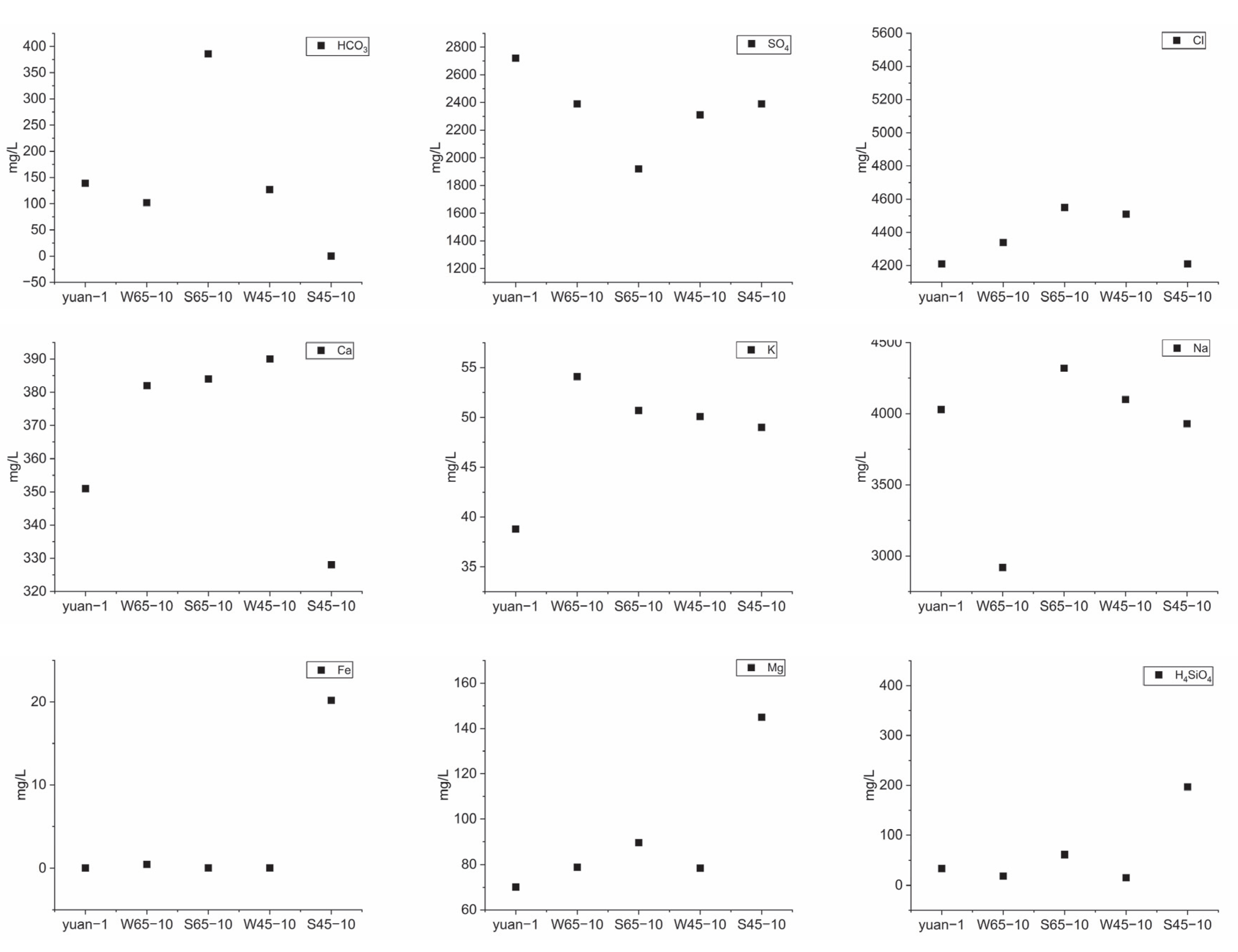
5.1.2. Contents of Major Elements Comparison
5.2. Characteristics of Precipitation Amount over Time
5.3. The Temperature Effect on Water–Rock Interaction
5.3.1. Variation of Composition Content under Different Temperature Conditions
5.3.2. Characteristics of Mineral Composition and Mineral Volume Changes at Different Temperatures
5.4. Effect of Acid on Water–Rock Interaction
5.5. Implications for Sandstone Reinjection Blockage Reduction
6. Conclusions
Supplementary Materials
Author Contributions
Funding
Data Availability Statement
Acknowledgments
Conflicts of Interest
References
- Stefansson, V. Geothermal reinjection experience. Geothermics 1997, 26, 99–139. [Google Scholar] [CrossRef]
- Rybach, L. Geothermal energy: Sustainability. Geothermics 2003, 32, 463–470. [Google Scholar] [CrossRef]
- Kaya, E.; Zarrouk, S.J.; O’Sullivan, M.J. Reinjection in geothermal fields: A review of worldwide experience. Renew. Sustain. Energy Rev. 2011, 15, 47–68. [Google Scholar] [CrossRef]
- Deng, J.; Lin, W.; Xing, L.; Chen, L. The estimation of geothermal reservoir temperature based on integrated multicomponent geothermometry: A case study in the Jizhong depression, North China Plain. Water 2022, 14, 2489. [Google Scholar] [CrossRef]
- Serpen, U.; Aksoy, N.; Ongür, T. Reinjection update of salavatli geothermal Field in Turkey. In Proceedings of the World Geothermal Congress, Melbourne, Australia, 19–25 April 2015. [Google Scholar]
- Kamila, Z.; Kaya, E.; Zarrouk, S.J. Reinjection in geothermal fields: An updated worldwide review 2020. Geothermics 2021, 89, 101970. [Google Scholar] [CrossRef]
- Bi, E.P. Geochemical modelling of the mixing of geothermal water and reinjection water: A case study of Laugaland low-temperature geothermal field in Iceland. Earth Sci. J. China Univ. Geosci. 1998, 23, 631–634, (In Chinese with English Abstract). [Google Scholar]
- Chen, J.; Xu, T.; Jiang, Z.; Feng, B.; Liang, X. Reducing formation damage by artificially controlling the fluid-rock chemical interaction in a double-well geothermal heat production system. Renew. Energy 2020, 149, 455–467. [Google Scholar] [CrossRef]
- Gao, B.Z.; Zeng, M.X. Causes and prevention measures of clogging in the reinjection well of a geothermal double-well system. Hydrogeol. Eng. Geol. 2007, 34, 75–80, (In Chinese with English Abstract). [Google Scholar]
- Lin, L.; Wang, L.C.; Zhao, S.M.; Wang, Y.P.; Hu, Y. A discussion of the factors affecting geothermal reinjection in the geothermal reservoir of porous type in Tianjin. Hydrogeol. Eng. Geol. 2008, 35, 125–128, (In Chinese with English Abstract). [Google Scholar]
- Liu, X.L.; Zhu, J.L. A study of clogging in geothermal reinjection wells in the Neogene sandstone aquifer. Hydrogeol. Eng. Geol. 2009, 5, 138–141, (In Chinese with English Abstract). [Google Scholar]
- Bouwer, H. Artificial recharge of groundwater: Hydrogeology and engineering. Hydrogeol. J. 2002, 10, 121–142. [Google Scholar] [CrossRef]
- Oddo, J.E.; Tomson, M.B. Simplified Calculation of CACO3 Saturation at High Temperatures and Pressures in Brine Solutions. J. Pet. Technol. 1982, 34, 1583–1590. [Google Scholar] [CrossRef]
- Xu, T.; Pruess, K. Numerical Simulation of Infectivity Effects of Mineral Scaling and Clay Swelling in a Fractured Geothermal Reservoir; Report LBNL-55113; Lawrence Berkeley National Lab: Berkeley, CA, USA, 2004.
- Xu, G.F.; Ma, Z.Y.; Zhou, X.; Xi, L.P.; Sun, C.X. Study on the mechanism of chemical clog for the recharging of geopressured themmal water—taking the recharging well No.1 in Xianyang as the example. Geotechical Investig. Sruveying 2013, 6, 40–49, (In Chinese with English Abstract). [Google Scholar]
- Li, Y.M.; Pang, Z.H.; Yang, F.T. CO2-EATER Model on Guantao Formation of Beitang Sag. Sci. Technol. Rev. 2013, 31, 15–20, (In Chinese with English Abstract). [Google Scholar]
- Zheng, X.L.; Guo, J.Q. Studies of mixing and its application in geothermal systems. J. Xi’an Coll. Geol. 1996, 18, 53–57, (In Chinese with English Abstract). [Google Scholar]
- Zheng, L.; Ma, Z.Y.; Zheng, H.J.; He, D.; Li, Y. Comparison of clogging mechanism of pore-type heat storage tail water recharge in Xi’an and Xianyang. Water Resour. Prot. 2015, 31, 6, (In Chinese with English Abstract). [Google Scholar]
- Shandong Provincial Territorial Spatial Ecological Restoration Center. Report on the Project of Geothermal Tailwater Reinjection to Sandstone Geothermal Reservoir, Shandong Provincial Territorial Spatial Ecological Restoration Center: Huimin County, Binzhou, China, 2022; Unpublished Work(Manuscript in preparation).
- The National Infrastructure of Mineral, Rock and Fossil for Science and Technology. Available online: http://www.nimrf.net.cn (accessed on 14 August 2022).
- Orywall, P.; Drüppel, K.; Kuhn, D.; Kohl, T.; Zimmermann, M.C.; Eiche, E. Flow-through experiments on the interaction of sandstone with Ba-rich fluids at geothermal conditions. Geotherm. Energy 2017, 5, 20. [Google Scholar] [CrossRef]
- Yan, Z.W.; Liu, H.L.; Zhang, Z.W. Influences of temperature and PCO2 on the solubility of calcite and dolomite. Carsologica Sin. 2009, 28, 7–10. [Google Scholar]
- Alkhatib, M.; Qutob, M.; Alkhatib, S.E.; Eisenhauer, A. Influence of precipitation rate and temperature on the partitioning of magnesium and strontium in calcite overgrowths. Chem. Geol. 2022, 599, 120841. [Google Scholar] [CrossRef]
- Wigand, M.O.; Carey, J.W.; Schütt, H.; Spangenberg, E.; Erzinger, J. Geochemical effects of CO2 sequestration in sandstones under simulated in situ conditions of deep saline aquifers. Appl. Geochem. 2008, 23, 2735–2745. [Google Scholar] [CrossRef]
- Gunnarsson, I.; Arnόrsson, S. Amorphous silica solubility and the thermodynamic properties of H4SiO4 in the range of 0° to 350 °C at Psat. Geochim. Cosmochim. Acta 2000, 64, 2295–2307. [Google Scholar] [CrossRef]
- Berner, R.A. The solubility of calcite and aragonite in seawater at atmospheric pressure and 34.5% salinity. Am. J. Sci. 1976, 276, 713–730. [Google Scholar] [CrossRef]
- Zhang, L.; Soong, Y.; Dilmore, R.M.; Lopano, C.L. Numerical simulation of porosity and permeability evolution of Mount Simon sandstone under geological carbon sequestration conditions. Chem. Geol. 2015, 403, 1–12. [Google Scholar] [CrossRef]
- Yang, L.; Xu, T.; Yang, B.; Tian, H.; Lei, H. Effects of mineral composition and heterogeneity on the reservoir quality evolution with CO2 intrusion. Geochemistry 2014, 15, 605–618. [Google Scholar]
- Wang, G.L.; Lin, W.J. Main hydro-geothermal systems and their genetic models in China. Acta Geol. Sin. 2020, 94, 1923–1937, (In Chinese with English Abstract). [Google Scholar]
- Lin, W.J.; Wang, G.L.; Gan, H.N.; Zhang, S.S.; Zhao, Z.; Yue, G.F.; Long, X.T. Heat source model for Enhanced Geothermal Systems (EGS) under different geological conditions in China. Gondwana Res. 2022, in press. [CrossRef]
- Diaz, A.R.; Kaya, E.; Zarrouk, S.J. Reinjection in geothermal fields—A worldwide review update. Renew. Sustain. Energy Rev. 2016, 53, 105–162. [Google Scholar] [CrossRef]
- Chen, Z.Y. Modeling water-rock interaction of geothermal reinjection in the Tanggu low-temperature field, Tianjin. Earth Sci. J. China Univ. Geosci. 1998, 23, 513–518, (In Chinese with English Abstract). [Google Scholar]
- He, M.; Zhang, L.; Yuan, Y.M.; Zhang, J.Y.; Gao, Y.H. Study on the Relationship between Re-injection Volume and Temperature of Sandstone Geothermal Reservoir in Nanzhan Area of Dongying City. Shandong Land Resour. 2018, 34, 44–48, (In Chinese with English Abstract). [Google Scholar]
- Ma, Z.Y.; Hou, C.; Xi, L.P.; Yun, P.Q.; Yan, H.; Sun, C.X. Reinjection clogging mechanism of used geothermal water in a super-deep-porous reservoir. Hydrogeol. Eng. Geol. 2013, 40, 133–139, (In Chinese with English Abstract). [Google Scholar]
- Long, X.T.; Xie, H.P.; Deng, X.P.; Wen, X.Y.; Ou, J.; Ou, R.W.; Wang, J.; Liu, F. Geological and Geochemical Characteristics of the Geothermal Resources in Rucheng, China. Lithosphere 2021, 2021, 1357568. [Google Scholar] [CrossRef]
- Lawson, R.; Gresham, T.; Richardson, I.; Siega, F.; Addison, S.; Zealand, N. Long run polymerization experiments at the kawerau geothermal limited power plant. In Proceedings of the 38th New Zealand Geothermal Workshop, Auckland, New Zealand, 23–25 November 2016. [Google Scholar]










| Sample ID | Geothermal Water + Acid (mL) | Core Rock (g) | Temperature (°C) | Time (h) |
|---|---|---|---|---|
| W65-1 | 300 | 30 | 65 | 1 |
| W65-2 | 300 | 30 | 65 | 6 |
| W65-3 | 300 | 30 | 65 | 12 |
| W65-4 | 300 | 30 | 65 | 24 |
| W65-5 | 300 | 30 | 65 | 30 |
| W65-6 | 300 | 30 | 65 | 36 |
| W65-7 | 300 | 30 | 65 | 48 |
| W65-8 | 300 | 30 | 65 | 52 |
| W65-9 | 300 | 30 | 65 | 56 |
| W65-10 | 300 | 30 | 65 | 60 |
| S65-1 | 280 + 20 | 30 | 65 | 1 |
| S65-2 | 280 + 20 | 30 | 65 | 6 |
| S65-3 | 280 + 20 | 30 | 65 | 12 |
| S65-4 | 280 + 20 | 30 | 65 | 24 |
| S65-5 | 280 + 20 | 30 | 65 | 30 |
| S65-6 | 280 + 20 | 30 | 65 | 36 |
| S65-7 | 280 + 20 | 30 | 65 | 48 |
| S65-8 | 280 + 20 | 30 | 65 | 52 |
| S65-9 | 280 + 20 | 30 | 65 | 56 |
| S65-10 | 280 + 20 | 30 | 65 | 60 |
| W45-1 | 300 | 30 | 45 | 1 |
| W45-2 | 300 | 30 | 45 | 6 |
| W45-3 | 300 | 30 | 45 | 12 |
| W45-4 | 300 | 30 | 45 | 24 |
| W45-5 | 300 | 30 | 45 | 30 |
| W45-6 | 300 | 30 | 45 | 36 |
| W45-7 | 300 | 30 | 45 | 48 |
| W45-8 | 300 | 30 | 45 | 52 |
| W45-9 | 300 | 30 | 45 | 56 |
| W45-10 | 300 | 30 | 45 | 60 |
| S45-1 | 280 + 20 | 30 | 45 | 1 |
| S45-2 | 280 + 20 | 30 | 45 | 6 |
| S45-3 | 280 + 20 | 30 | 45 | 12 |
| S45-4 | 280 + 20 | 30 | 45 | 24 |
| S45-5 | 280 + 20 | 30 | 45 | 30 |
| S45-6 | 280 + 20 | 30 | 45 | 36 |
| S45-7 | 280 + 20 | 30 | 45 | 48 |
| S45-8 | 280 + 20 | 30 | 45 | 52 |
| S45-9 | 280 + 20 | 30 | 45 | 56 |
| S45-10 | 280 + 20 | 30 | 45 | 60 |
| Time (h) | Residual Precipitation Amount (g) | |||||||
|---|---|---|---|---|---|---|---|---|
| W65 | S65 | W45 | S45 | |||||
| 0 | - | 30 | - | 30 | - | 30 | - | 30 |
| 1 | W65-1 | 29.51 | S65-1 | 29.4 | W45-1 | 29.15 | S45-1 | 28.52 |
| 6 | W65-2 | 29.88 | S65-2 | 29.12 | W45-2 | 29.22 | S45-2 | 29.34 |
| 12 | W65-3 | 29.59 | S65-3 | 29.63 | W45-3 | 28.91 | S45-3 | 29.23 |
| 24 | W65-4 | 29.57 | S65-4 | 29.35 | W45-4 | 29.24 | S45-4 | 29.1 |
| 30 | W65-5 | 29.55 | S65-5 | 29.34 | W45-5 | 29.49 | S45-5 | 28.99 |
| 36 | W65-6 | 29.38 | S65-6 | 29.36 | W45-6 | 29.23 | S45-6 | 29.39 |
| 48 | W65-7 | 29.42 | S65-7 | 29.22 | W45-7 | 29.11 | S45-7 | 29 |
| 52 | W65-8 | 29.83 | S65-8 | 29.45 | W45-8 | 29.06 | S45-8 | 29.4 |
| 56 | W65-9 | 29.19 | S65-9 | 29.16 | W45-9 | 29.62 | S45-9 | 29.64 |
| 60 | W65-10 | 29.55 | S65-10 | 29.38 | W45-10 | 29.37 | S45-10 | 29.49 |
| Yuan-1 (Water) | W65-10 | S65-10 | W45-10 | S45-10 | |
|---|---|---|---|---|---|
| pH | 7.73 | 7.59 | 7.15 | 7.3 | 4.3 |
| TDS | 9020 | 9310 | 9370 | 9610 | 8890 |
| HCO3 | 139 | 102 | 386 | 127 | 0 |
| H4SiO4 | 33.8 | 18.6 | 61.3 | 15.3 | 197 |
| H₂SiO₃ | 32.9 | 18.4 | 61.1 | 15 | 195 |
| SO4 | 2720 | 2390 | 1920 | 2310 | 2390 |
| Cl | 4210 | 4340 | 4550 | 4510 | 4210 |
| Ca | 351 | 382 | 384 | 390 | 328 |
| K | 38.8 | 54.1 | 50.7 | 50.1 | 49 |
| Na | 4030 | 2920 | 4320 | 4100 | 3930 |
| Mg | 70.1 | 78.9 | 89.6 | 78.5 | 145 |
| Fe | 0.04 | 0.46 | 0.05 | 0.05 | 20.2 |
| Yuan-1 (Rock) | W65-10 | S65-10 | W45-10 | S45-10 | |
|---|---|---|---|---|---|
| Si | 26.65 | 28.19 | 29.98 | 33.47 | 32.41 |
| Ca | 10.91 | 10.71 | 9.59 | 2.08 | 2.17 |
| K | 2.07 | 2.25 | 2.29 | 2.98 | 2.8 |
| Na | 0.751 | 0.797 | 0.791 | 0.984 | 0.828 |
| Mg | 0.552 | 0.398 | 0.314 | 0.499 | 0.627 |
| Fe | 2.87 | 2.03 | 1.79 | 3.01 | 3.31 |
| Yuan-1 (Rock) | W65-10 | S65-10 | W45-10 | S45-10 | |
|---|---|---|---|---|---|
| Quartz | 0.66 | 0.64 | 0.73 | 0.64 | 0.65 |
| Albite | 0.11 | 0.12 | 0.09 | 0.1 | 0.13 |
| Microcline | 0.07 | 0.06 | 0.05 | 0.08 | 0.08 |
| Muscovite | 0.06 | 0.06 | 0.05 | 0.09 | 0.06 |
| Montmorillonite | 0 | 0 | 0 | 0.09 | 0.06 |
| Calcite | 0.1 | 0.12 | 0.08 | 0 | 0.02 |
Publisher’s Note: MDPI stays neutral with regard to jurisdictional claims in published maps and institutional affiliations. |
© 2022 by the authors. Licensee MDPI, Basel, Switzerland. This article is an open access article distributed under the terms and conditions of the Creative Commons Attribution (CC BY) license (https://creativecommons.org/licenses/by/4.0/).
Share and Cite
Gan, H.; Liu, Z.; Wang, X.; Zhang, Y.; Liao, Y.; Zhao, G.; Zhao, J.; Liu, Z. Effect of Temperature and Acidification on Reinjection of Geothermal Water into Sandstone Geothermal Reservoirs: Laboratory Study. Water 2022, 14, 2955. https://doi.org/10.3390/w14192955
Gan H, Liu Z, Wang X, Zhang Y, Liao Y, Zhao G, Zhao J, Liu Z. Effect of Temperature and Acidification on Reinjection of Geothermal Water into Sandstone Geothermal Reservoirs: Laboratory Study. Water. 2022; 14(19):2955. https://doi.org/10.3390/w14192955
Chicago/Turabian StyleGan, Haonan, Zhiming Liu, Xiao Wang, Yu Zhang, Yuzhong Liao, Gui Zhao, Jichu Zhao, and Zhitao Liu. 2022. "Effect of Temperature and Acidification on Reinjection of Geothermal Water into Sandstone Geothermal Reservoirs: Laboratory Study" Water 14, no. 19: 2955. https://doi.org/10.3390/w14192955
APA StyleGan, H., Liu, Z., Wang, X., Zhang, Y., Liao, Y., Zhao, G., Zhao, J., & Liu, Z. (2022). Effect of Temperature and Acidification on Reinjection of Geothermal Water into Sandstone Geothermal Reservoirs: Laboratory Study. Water, 14(19), 2955. https://doi.org/10.3390/w14192955
