Accounting for Climate Change in Extreme Sea Level Estimation
Abstract
1. Introduction
2. Materials and Methods
2.1. Data
2.2. Extreme Value Inference
2.3. Existing Methodology
2.4. Incorporating Interannual Variations to Skew Surge Distribution
2.5. Spatial Pooling
2.5.1. Improved Inference by Pooling
2.5.2. Spatial Independence Diagnostics
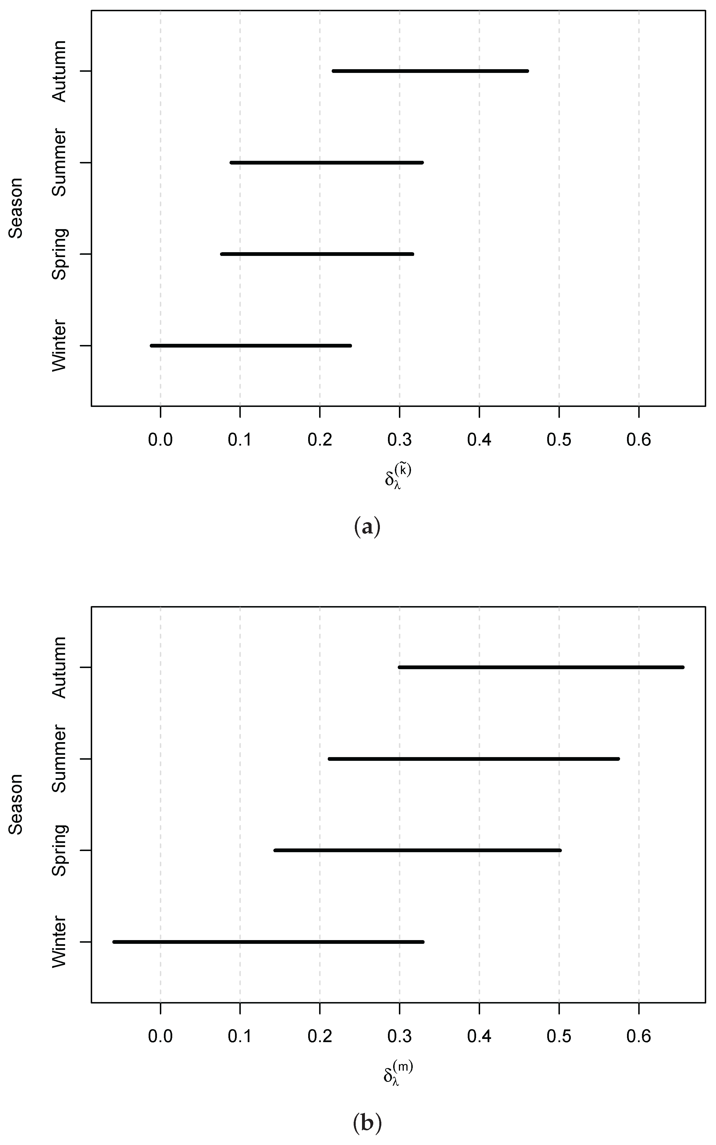
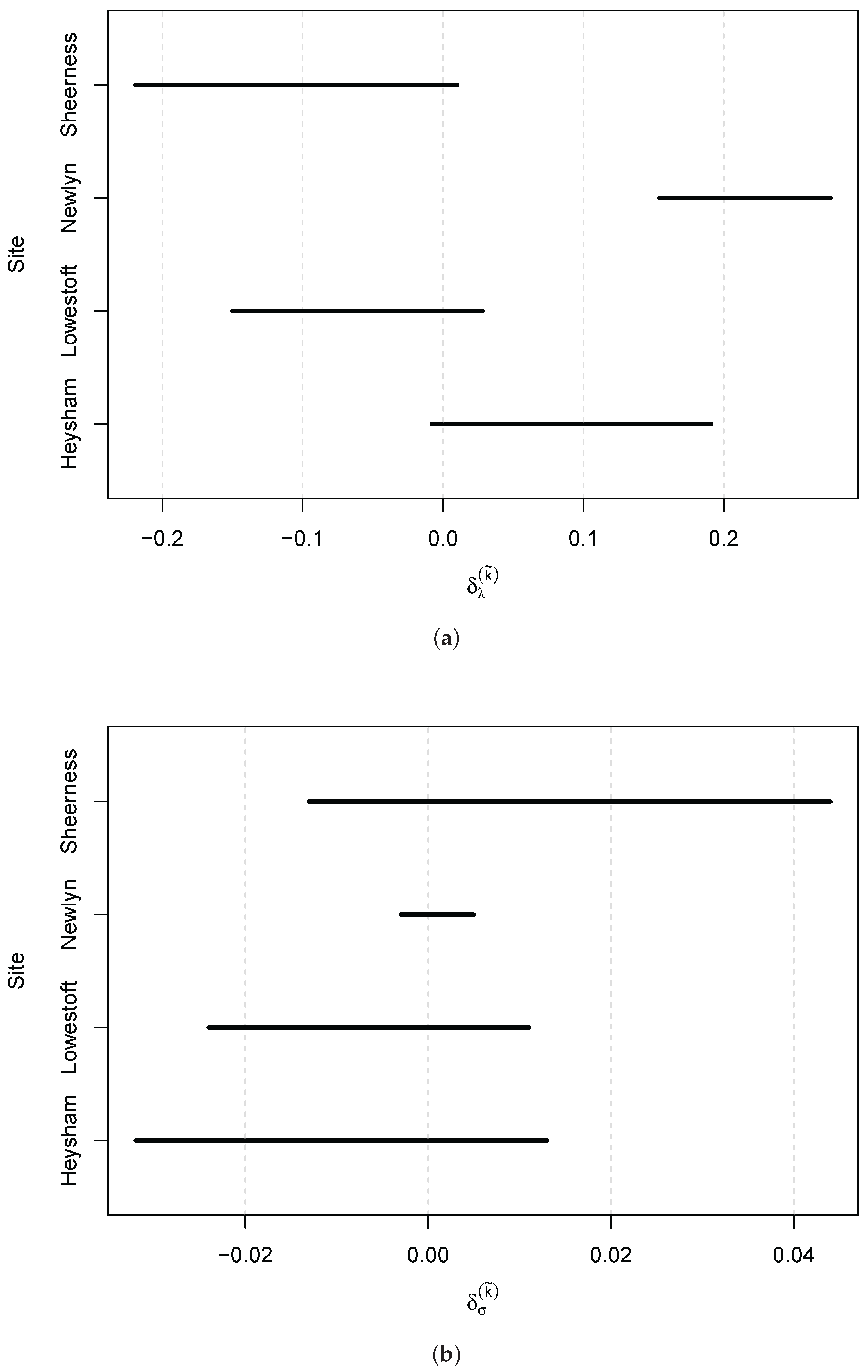
3. Results
3.1. Introduction
3.2. Single-Site Analysis
3.3. Return Level Estimation
3.4. Spatial Pooling
4. Discussion
Author Contributions
Funding
Institutional Review Board Statement
Informed Consent Statement
Data Availability Statement
Acknowledgments
Conflicts of Interest
References
- Zsamboky, M.; Fernández-Bilbao, A.; Smith, D.; Knight, J.; Allan, J. Impacts of Climate Change on Disadvantaged UK Coastal Communities; Joseph Rowntree Foundation: York, UK, 2011; pp. 1–63. [Google Scholar]
- Seneviratne, S.; Nicholls, N.; Easterling, D.; Goodess, C.M.; Kanae, S.; Kossin, J.; Luo, Y.; Marengo, J.; McInnes, K.; Rahimi, M.; et al. Changes in climate extremes and their impacts on the natural physical environment. In Managing the Risks of Extreme Events and Disasters to Advance Climate Change Adaptation; A Special Report of Working Groups I and II of the Intergovernmental Panel on Climate Change, (IPCC); Field, C.B., Barros, V., Stocker, T.F., Qin, D., Dokken, D.J., Ebi, K.L., Mastrandrea, M.D., Mach, K.J., Plattner, G.K., Allen, S.K., et al., Eds.; Cambridge University Press: Cambridge, UK; New York, NY, USA, 2012; Volume 3, pp. 109–230. [Google Scholar]
- Seneviratne, S.I.; Zhang, X.; Adnan, M.; Badi, W.; Dereczynski, C.; Di Luca, A.; Ghosh, S.; Iskandar, I.; Kossin, J.; Lewis, S.; et al. Weather and Climate Extreme Events in a Changing Climate. In Climate Change 2021: The Physical Science Basis; Contribution of Working Group I to the Sixth Assessment Report of the Intergovernmental Panel on Climate, Change; Masson-Delmotte, V., Zhai, P., Pirani, A., Connors, S.L., Péan, C., Berger, S., Caud, N., Chen, Y., Goldfarb, L., Gomis, M.I., et al., Eds.; Cambridge University Press: Cambridge, UK; New York, NY, USA, 2021; Volume 11, pp. 1513–1766. [Google Scholar] [CrossRef]
- Morice, C.P.; Kennedy, J.J.; Rayner, N.A.; Winn, J.; Hogan, E.; Killick, R.; Dunn, R.; Osborn, T.; Jones, P.; Simpson, I. An updated assessment of near-surface temperature change from 1850: The HadCRUT5 data set. J. Geophys. Res. Atmos. 2021, 126, e2019JD032361. [Google Scholar] [CrossRef]
- Egbert, G.D.; Ray, R.D. Tidal prediction. J. Mar. Res. 2017, 75, 189–237. [Google Scholar] [CrossRef]
- Pugh, D.; Woodworth, P. Sea-Level Science: Understanding Tides, Surges, Tsunamis and Mean Sea-Level Changes; Cambridge University Press: Cambridge, UK, 2014. [Google Scholar]
- Williams, J.; Horsburgh, K.J.; Williams, J.A.; Proctor, R.N. Tide and skew surge independence: New insights for flood risk. Geophys. Res. Lett. 2016, 43, 6410–6417. [Google Scholar] [CrossRef]
- Howard, T.; Williams, S.D.P. Towards using state-of-the-art climate models to help constrain estimates of unprecedented UK storm surges. Nat. Hazards Earth Syst. Sci. 2021, 21, 3693–3712. [Google Scholar] [CrossRef]
- Woodworth, P.L.; Player, R. The Permanent Service for Mean Sea Level: An Update to the 21st Century. J. Coast. Res. 2003, 19, 287–295. [Google Scholar]
- Wahl, T.; Haigh, I.D.; Woodworth, P.L.; Albrecht, F.; Dillingh, D.; Jensen, J.; Nicholls, R.J.; Weisse, R.; Wöppelmann, G. Observed mean sea level changes around the North Sea coastline from 1800 to present. Earth-Sci. Rev. 2013, 124, 51–67. [Google Scholar] [CrossRef]
- Calafat, F.M.; Wahl, T.; Tadesse, M.G.; Sparrow, S.N. Trends in Europe storm surge extremes match the rate of sea-level rise. Nature 2022, 603, 841–845. [Google Scholar] [CrossRef]
- Weiss, J.; Bernardara, P. Comparison of local indices for regional frequency analysis with an application to extreme skew surges. Water Resour. Res. 2013, 49, 2940–2951. [Google Scholar] [CrossRef]
- Wong, T.E.; Sheets, H.; Torline, T.; Zhang, M. Evidence for Increasing Frequency of Extreme Coastal Sea Levels. Front. Clim. 2022, 4. [Google Scholar] [CrossRef]
- Woodworth, P.L.; Menéndez, M.; Roland Gehrels, W. Evidence for century-timescale acceleration in mean sea levels and for recent changes in extreme sea levels. Surv. Geophys. 2011, 32, 603–618. [Google Scholar] [CrossRef]
- D’Arcy, E.; Tawn, J.A.; Joly, A.; Sifnioti, D.E. Accounting for Seasonality in Extreme Sea Level Estimation. arXiv 2022, arXiv:2207.09870. [Google Scholar] [CrossRef]
- Coles, S.G. An Introduction to Statistical Modeling of Extreme Values; Springer: London, UK, 2001. [Google Scholar]
- Environment Agency. Coastal Flood Boundary Conditions for the UK: Update 2018. Technical Summary Report. 2018. Available online: https://environment.data.gov.uk/dataset/6e856bda-0ca9-404f-93d7-566a2378a7a8 (accessed on 1 October 2021).
- Leadbetter, M.; Lindgren, G.; Rootzén, H. Extremes and Related Properties of Random Sequences and Processes; Springer: New York, NY, USA, 1983. [Google Scholar]
- Ferro, C.A.T.; Segers, J. Inference for clusters of extreme values. J. R. Stat. Soc. Ser. B 2003, 65, 545–556. [Google Scholar] [CrossRef]
- Smith, R.L.; Weissman, I. Estimating the extremal index. J. R. Stat. Soc. Ser. B 1994, 56, 515–528. [Google Scholar] [CrossRef]
- Ledford, A.W.; Tawn, J.A. Diagnostics for dependence within time series extremes. J. R. Stat. Soc. Ser. B 2003, 65, 521–543. [Google Scholar] [CrossRef]
- Smith, R.L.; Tawn, J.A.; Coles, S.G. Markov chain models for threshold exceedances. Biometrika 1997, 84, 249–268. [Google Scholar] [CrossRef]
- Fawcett, L.; Walshaw, D. Improved estimation for temporally clustered extremes. Environmetrics 2007, 18, 173–188. [Google Scholar] [CrossRef]
- Graff, J. Concerning the recurrence of abnormal sea levels. Coast. Eng. 1978, 2, 177–187. [Google Scholar] [CrossRef]
- Coles, S.G.; Heffernan, J.; Tawn, J.A. Dependence Measures for Extreme Value Analyses. Extremes 1999, 2, 339–365. [Google Scholar] [CrossRef]
- Tawn, J.A. An extreme-value theory model for dependent observations. J. Hydrol. 1988, 101, 227–250. [Google Scholar] [CrossRef]
- Dixon, M.J.; Tawn, J.A. The effect of non-stationarity on extreme sea-level estimation. J. R. Stat. Soc. Ser. C 1999, 48, 135–151. [Google Scholar] [CrossRef]
- Pugh, D.; Vassie, J. Extreme sea levels from tide and surge probability. Coast. Eng. 1978, 16, 911–930. [Google Scholar]
- Tawn, J.A. Estimating probabilities of extreme sea-levels. J. R. Stat. Soc. Ser. C 1992, 41, 77–93. [Google Scholar] [CrossRef]
- Batstone, C.; Lawless, M.; Tawn, J.A.; Horsburgh, K.; Blackman, D.; McMillan, A.; Worth, D.; Laeger, S.; Hunt, T. A UK best-practice approach for extreme sea-level analysis along complex topographic coastlines. Ocean. Eng. 2013, 71, 28–39. [Google Scholar] [CrossRef]
- Baranes, H.; Woodruff, J.; Talke, S.; Kopp, R.; Ray, R.; DeConto, R. Tidally driven interannual variation in extreme sea level frequencies in the Gulf of Maine. J. Geophys. Res. Ocean. 2020, 125, e2020JC016291. [Google Scholar] [CrossRef]
- Eastoe, E.F.; Tawn, J.A. Modelling non-stationary extremes with application to surface level ozone. J. R. Stat. Soc. Ser. C 2009, 58, 25–45. [Google Scholar] [CrossRef]
- Northrop, P.J.; Attalides, N.; Jonathan, P. Cross-validatory extreme value threshold selection and uncertainty with application to ocean storm severity. J. R. Stat. Soc. Ser. C 2017, 66, 93–120. [Google Scholar] [CrossRef]
- Wadsworth, J.L. Exploiting Structure of Maximum Likelihood Estimators for Extreme Value Threshold Selection. Technometrics 2016, 58, 116–126. [Google Scholar] [CrossRef]
- Davison, A.C.; Padoan, S.A.; Ribatet, M. Statistical modeling of spatial extremes. Stat. Sci. 2012, 27, 161–186. [Google Scholar] [CrossRef]
- Dixon, M.J.; Tawn, J.A.; Vassie, J.M. Spatial modelling of extreme sea-levels. Environmetrics 1998, 9, 283–301. [Google Scholar] [CrossRef]
- Huser, R.; Genton, M.G. Non-stationary dependence structures for spatial extremes. J. Agric. Biol. Environ. Stat. 2016, 21, 470–491. [Google Scholar] [CrossRef]
- Southworth, H.; Heffernan, J.E.; Metcalfe, P.D. Texmex: Statistical Modelling of Extreme Values, R Package Version 2.4.8. 2020. Available online: https://cran.r-project.org/web/packages/texmex (accessed on 1 July 2022).
- Araújo, I.B.; Pugh, D.T. Sea levels at Newlyn 1915–2005: Analysis of trends for future flooding risks. J. Coast. Res. 2008, 24, 203–212. [Google Scholar] [CrossRef]




| Location | Observation Period | % Missing | HAT (m) | MSL Trend (mm/yr) | |
|---|---|---|---|---|---|
| Heysham | N, W | 1964–2016 | 17 | 10.72 | 1.52 |
| Lowestoft | N, E | 1964–2020 | 4 | 2.92 | 2.27 |
| Newlyn | N, W | 1915–2016 | 17 | 6.10 | 1.73 |
| Sheerness | N, E | 1980–2016 | 19 | 6.26 | 1.81 |
| Heysham | Lowestoft | Newlyn | Sheerness | |
|---|---|---|---|---|
| Model | ||||
| AIC | 12,234.21 | 15,312.08 | 24,498.77 | 9286.58 |
| BIC | 12,275.89 | 15,354.88 | 24,543.93 | 9326.94 |
| Model | ||||
| 0.091 (−0.008, 0.191) | −0.061 (−0.150, 0.028) | 0.215 (0.154,0.276) | −0.114 (−0.219, −0.010) | |
| AIC | 12,232.89 | 15,312.26 | 24,453.12 | 9283.96 |
| BIC | 12,282.91 | 15,363.61 | 24,507.31 | 9332.40 |
| Model | ||||
| 0.161 (−0.033, 0.335) | 0.063 (−0.106, 0.232) | 0.114 (−0.011, 0.238) | −0.032 (−0.228, 0.164) | |
| 0.034 (−0.161, 0.230) | −0.141 (−0.322, 0.040) | 0.197 (0.077, 0.316) | −0.250 (−0.468, −0.032) | |
| 0.207 (0.013, 0.400) | −0.094 (−0.266, 0.078) | 0.209 (0.089, 0.328) | −0.189 (−0.405, 0.026) | |
| −0.047 (−0.261, 0.167) | −0.081 (−0.264, 0.102) | 0.338 (0.217, 0.460) | −0.021 (−0.221, 0.178) | |
| AIC | 12,235.30 | 15,315.29 | 24,452.52 | 9286.48 |
| BIC | 12,310.32 | 15,392.33 | 24,533.80 | 9359.14 |
| Model | ||||
| 0.204 (0.074, 0.334) | −0.012 (−0.12, 0.427) | 0.336 (0.245, 0.427) | −0.164 (−0.304, −0.024) | |
| AIC | 12,227.14 | 15,314.04 | 24,451.34 | 9283.20 |
| BIC | 12,277.16 | 15,365.39 | 24,505.53 | 9331.64 |
| Model | ||||
| 0.256 (−0.002, 0.514) | 0.103 (−0.107, 0.312) | 0.135 (−0.058, 0.329) | −0.079 (−0.340, 0.181) | |
| 0.111 (−0.143, 0.365) | −0.067 (−0.282, 0.149) | 0.322 (0.144, 0.501) | −0.374 (−0.672, −0.076) | |
| 0.416 (0.167, 0.665) | −0.048 (−0.259, 0.163) | 0.393 (0.212, 0.574) | −0.273 (−0.568, 0.022) | |
| 0.010 (−0.274, 0.293) | −0.040 (−0.262, 0.182) | 0.478 (0.300, 0.655) | 0.008 (−0.253, 0.269) | |
| AIC | 12,227.92 | 15,318.49 | 24,450.27 | 9284.69 |
| BIC | 12,302.94 | 15,395.53 | 24,531.56 | 9357.34 |
| Heysham | Lowestoft | Newlyn | Sheerness | |
|---|---|---|---|---|
| Model | ||||
| AIC | −3091.53 | −3672.07 | −10,152.63 | −2974.317 |
| BIC | −3064.77 | −3644.20 | −10,122.42 | −2948.854 |
| Model | ||||
| −0.009 (−0.032, 0.013) | −0.006 (−0.024, 0.011) | 0.001 (−0.003, 0.005) | 0.016 (−0.013, 0.044) | |
| AIC | −3088.558 | −3670.55 | −10,150.80 | −2973.05 |
| BIC | −3056.448 | −3637.11 | −10,114.54 | −2942.50 |
| Model | ||||
| 0.022 (−0.034, 0.078) | −0.041 (−0.090, 0.007) | 0.004 (−0.009, 0.016) | 0.023 (−0.032, 0.078) | |
| 0.022 (−0.014, 0.059) | −0.030 (−0.055, −0.006) | 0.006 (−0.002, 0.014) | −0.001 (−0.036, 0.035) | |
| −0.025 (−0.051, 0.001) | 0.012 (−0.010, 0.034) | −0.003 (−0.009, 0.003) | 0.023 (−0.010, 0.055) | |
| −0.035 (−0.079, 0.008) | −0.015 (−0.053, 0.023) | 0.001 (−0.008, 0.011) | 0.008 (−0.039, 0.054) | |
| AIC | −3095.28 | −3674.12 | −10,146.27 | −2971.19 |
| BIC | −3047.12 | −3623.96 | −10,091.89 | −2925.36 |
| Model | ||||
| −0.011 (−0.033, 0.011) | −0.008 (−0.026, 0.009) | −0.001 (−0.008, 0.006) | 0.006 (−0.020, 0.032) | |
| AIC | −3088.42 | −3670.90 | −10,149.07 | −2972.43 |
| BIC | −3056.32 | −3637.46 | −10,112.82 | −2941.87 |
| Model | ||||
| 0.036 (−0.027, 0.099) | −0.050 (−0.105, 0.004) | −0.0003 (-0.021, 0.020) | 0.025 (-0.042, 0.091) | |
| 0.029 (−0.012, 0.070) | −0.037 (−0.061, −0.012) | 0.005 (−0.008, 0.018) | −0.015 (−0.054, 0.023) | |
| −0.027 (−0.054, −0.00009) | 0.017 (−0.006, 0.039) | −0.003 (−0.013, 0.006) | 0.013 (−0.018, 0.045) | |
| −0.030 (−0.081, 0.021) | −0.024 (−0.066, 0.017) | −0.005 (−0.021, 0.010) | −0.006 (−0.053, 0.040) | |
| AIC | −3093.73 | −3677.95 | −10145.39 | −2970.79 |
| BIC | −3045.56 | −3627.79 | −10091.01 | −2924.96 |
| Heysham | Lowestoft | Newlyn | Sheerness | |||||||||
|---|---|---|---|---|---|---|---|---|---|---|---|---|
| 1 | 100 | 10,000 | 1 | 100 | 10,000 | 1 | 100 | 10,000 | 1 | 100 | 10,000 | |
| −0.19 C | 10.61 | 11.52 | 12.45 | 3.47 | 4.60 | 5.81 | 6.07 | 6.55 | 6.94 | 6.41 | 7.17 | 7.98 |
| −0.92 C | 10.63 | 11.56 | 12.50 | 3.49 | 4.61 | 5.83 | 6.09 | 6.57 | 6.95 | 6.42 | 7.18 | 7.99 |
| −1.92 C | 10.65 | 11.60 | 12.55 | 3.50 | 4.63 | 5.85 | 6.11 | 6.60 | 6.97 | 6.44 | 7.19 | 8.00 |
| Heysham–Lowestoft | Heysham–Newlyn | Heysham–Sheerness | Lowestoft–Newlyn | Lowestoft–Sheerness | Newlyn–Sheerness | |||||||||||||
|---|---|---|---|---|---|---|---|---|---|---|---|---|---|---|---|---|---|---|
| lag | −1 | 0 | 1 | −1 | 0 | 1 | −1 | 0 | 1 | −1 | 0 | 1 | −1 | 0 | 1 | −1 | 0 | 1 |
| Observations | ||||||||||||||||||
| 0.133 | 0.160 | 0.309 | 0.287 | 0.322 | 0.259 | 0.153 | 0.149 | 0.298 | 0.089 | 0.040 | 0.034 | 0.155 | 0.510 | 0.238 | 0.137 | 0.168 | 0.196 | |
| 0.095 | 0.129 | 0.270 | 0.127 | 0.145 | 0.076 | 0.092 | 0.111 | 0.259 | 0.017 | 0 | 0 | 0.145 | 0.509 | 0.200 | 0.054 | 0.077 | 0.121 | |
| 0.200 | 0.251 | 0.424 | 0.249 | 0.276 | 0.160 | 0.195 | 0.224 | 0.412 | 0.040 | −0.018 | −0.055 | 0.274 | 0.645 | 0.344 | 0.120 | 0.158 | 0.237 | |
| Transform to Uniform (0,1) | ||||||||||||||||||
| 0.103 | 0.130 | 0.289 | 0.285 | 0.318 | 0.244 | 0.108 | 0.102 | 0.262 | 0.086 | 0.036 | 0.028 | 0.143 | 0.523 | 0.228 | 0.139 | 0.173 | 0.200 | |
| 0.026 | 0.040 | 0.180 | 0.103 | 0.122 | 0.053 | 0.056 | 0.036 | 0.173 | 0 | 0 | 0 | 0.095 | 0.494 | 0.174 | 0.003 | 0.016 | 0.050 | |
| 0.069 | 0.100 | 0.321 | 0.215 | 0.236 | 0.114 | 0.123 | 0.084 | 0.313 | −0.012 | −0.107 | −0.134 | 0.198 | 0.634 | 0.316 | 0.003 | 0.035 | 0.114 | |
Publisher’s Note: MDPI stays neutral with regard to jurisdictional claims in published maps and institutional affiliations. |
© 2022 by the authors. Licensee MDPI, Basel, Switzerland. This article is an open access article distributed under the terms and conditions of the Creative Commons Attribution (CC BY) license (https://creativecommons.org/licenses/by/4.0/).
Share and Cite
D’Arcy, E.; Tawn, J.A.; Sifnioti, D.E. Accounting for Climate Change in Extreme Sea Level Estimation. Water 2022, 14, 2956. https://doi.org/10.3390/w14192956
D’Arcy E, Tawn JA, Sifnioti DE. Accounting for Climate Change in Extreme Sea Level Estimation. Water. 2022; 14(19):2956. https://doi.org/10.3390/w14192956
Chicago/Turabian StyleD’Arcy, Eleanor, Jonathan A. Tawn, and Dafni E. Sifnioti. 2022. "Accounting for Climate Change in Extreme Sea Level Estimation" Water 14, no. 19: 2956. https://doi.org/10.3390/w14192956
APA StyleD’Arcy, E., Tawn, J. A., & Sifnioti, D. E. (2022). Accounting for Climate Change in Extreme Sea Level Estimation. Water, 14(19), 2956. https://doi.org/10.3390/w14192956

