Development of Vitamin B6-Mediated Biochar with Nano Zero-Valent Iron Coating for Oxytetracycline Removal through Adsorption and Degradation under Harsh Acidic Conditions
Abstract
:1. Introduction
2. Materials and Methods
2.1. Materials
2.2. nZVI/B6@BC Fabrication
2.3. Biochar Characterization
2.4. OTC Removal Performance
2.5. OTC Adsorption on BC and B6@BC
2.6. OTC Degradation Pathway Analysis
3. Results and Discussion
3.1. Characterization of Biochar Composite
3.2. OTC Removal Performance
3.3. Adsorption Contribution and Mechanism of BC and B6@BC
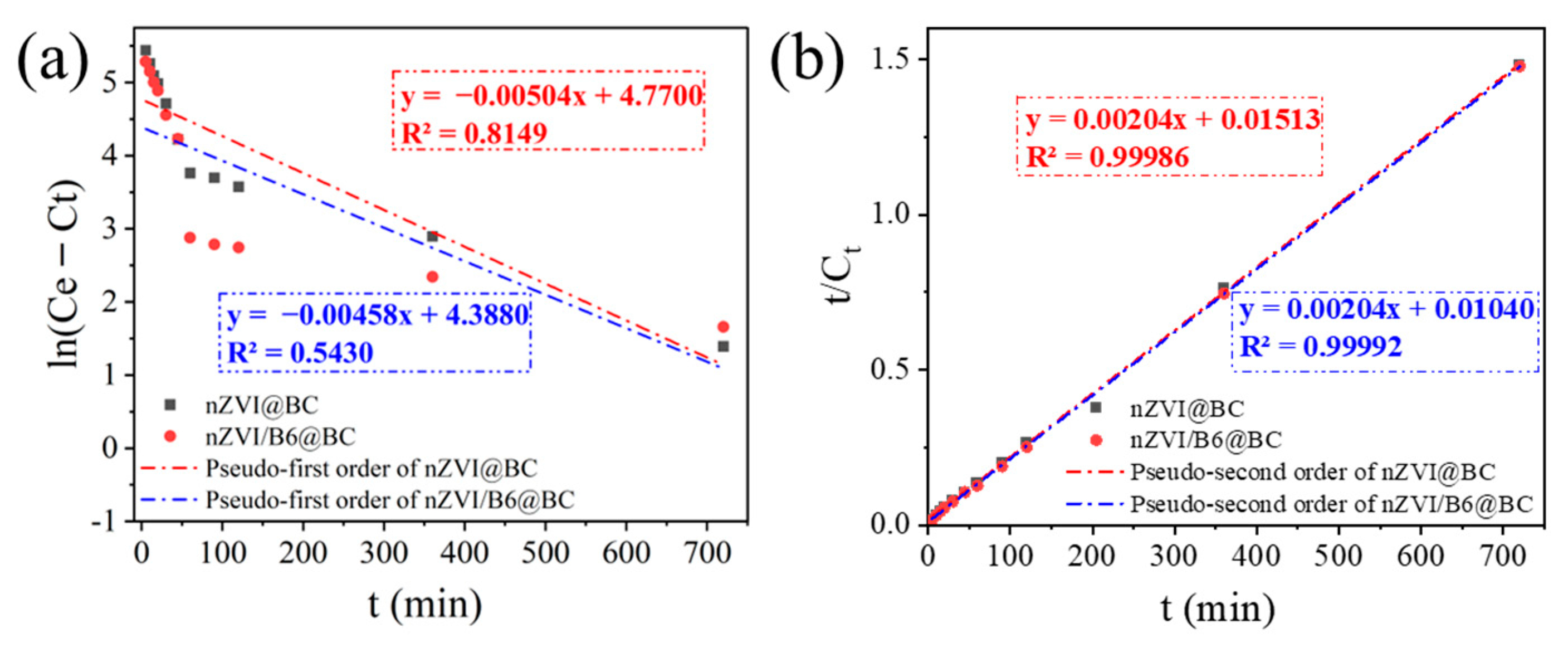
3.4. Degradation Contribution and Mechanism of nZVI@BC and nZVI/B6@BC
4. Conclusions
Supplementary Materials
Author Contributions
Funding
Informed Consent Statement
Data Availability Statement
Acknowledgments
Conflicts of Interest
References
- Langbehn, R.K.; Michels, C.; Soares, H.M. Antibiotics in wastewater: From its occurrence to the biological removal by environmentally conscious technologies. Environ. Pollut. 2021, 275, 116603. [Google Scholar] [CrossRef] [PubMed]
- Zhang, Z.H.; Gao, P.; Cheng, J.Q.; Liu, G.H.; Zhang, X.Q.; Feng, Y.J. Enhancing anaerobic digestion and methane production of tetracycline wastewater in EGSB reactor with GAC/NZVI mediator. Water Res. 2018, 136, 54–63. [Google Scholar] [CrossRef] [PubMed]
- Lu, Z.-Y.; Ma, Y.-L.; Zhang, J.-T.; Fan, N.-S.; Huang, B.-C.; Jin, R.-C. A critical review of antibiotic removal strategies: Performance and mechanisms. J. Water Process Eng. 2020, 38, 101681. [Google Scholar] [CrossRef]
- Xue, X.D.; Fang, C.R.; Zhuang, H.F. Adsorption behaviors of the pristine and aged thermoplastic polyurethane microplastics in Cu(II)-OTC coexisting system. J. Hazard. Mater. 2021, 407, 124835. [Google Scholar] [CrossRef]
- Chen, H.; Luo, H.J.; Lan, Y.C.; Dong, T.T.; Hu, B.J.; Wang, Y.P. Removal of tetracycline from aqueous solutions using polyvinylpyrrolidone (PVP-K30) modified nanoscale zero valent iron. J. Hazard. Mater. 2011, 192, 44–53. [Google Scholar] [CrossRef] [PubMed]
- Han, Q.F.; Song, C.; Sun, X.; Zhao, S.; Wang, S.G. Spatiotemporal distribution, source apportionment and combined pollution of antibiotics in natural waters adjacent to mariculture areas in the Laizhou Bay, Bohai Sea. Chemosphere 2021, 279, 130381. [Google Scholar] [CrossRef]
- Liu, G.; Thomsen, L.E.; Olsen, J.E. Antimicrobial-induced horizontal transfer of antimicrobial resistance genes in bacteria: A mini-review. J. Antimicrob. Chemother. 2022, 77, 556–567. [Google Scholar] [CrossRef]
- Lerminiaux, N.A.; Cameron, A.D.S. Horizontal transfer of antibiotic resistance genes in clinical environments. Can. J. Microbiol. 2019, 65, 34–44. [Google Scholar] [CrossRef]
- Qiu, X.W.; Zhou, G.X.; Wang, H.J. Nanoscale zero-valent iron inhibits the horizontal gene transfer of antibiotic resistance genes in chicken manure compost. J. Hazard. Mater. 2022, 422, 126883. [Google Scholar] [CrossRef]
- Yuan, Q.; Zhang, D.; Yu, P.; Sun, R.; Javed, H.; Wu, G.; Alvarez, P.J.J. Selective Adsorption and Photocatalytic Degradation of Extracellular Antibiotic Resistance Genes by Molecularly-Imprinted Graphitic Carbon Nitride. Environ. Sci. Technol. 2020, 54, 4621–4630. [Google Scholar] [CrossRef]
- Zhang, P.; Huang, G.; An, C.; Fu, H.; Gao, P.; Yao, Y.; Chen, X. An integrated gravity-driven ecological bed for wastewater treatment in subtropical regions: Process design, performance analysis, and greenhouse gas emissions assessment. J. Clean. Prod. 2019, 212, 1143–1153. [Google Scholar] [CrossRef]
- Hameed, R.; Lei, C.; Lin, D. Adsorption of organic contaminants on biochar colloids: Effects of pyrolysis temperature and particle size. Environ. Sci. Pollut. Res. Int. 2020, 27, 18412–18422. [Google Scholar] [CrossRef]
- Zhang, H.; Song, X.; Zhang, J.; Liu, Y.; Zhao, H.; Hu, J.; Zhao, J. Performance and mechanism of sycamore flock based biochar in removing oxytetracycline hydrochloride. Bioresour. Technol. 2022, 350, 126884. [Google Scholar] [CrossRef]
- Zhang, P.; Sun, H.; Yu, L.; Sun, T. Adsorption and catalytic hydrolysis of carbaryl and atrazine on pig manure-derived biochars: Impact of structural properties of biochars. J. Hazard. Mater. 2013, 244–245, 217–224. [Google Scholar] [CrossRef]
- Ramanayaka, S.; Kumar, M.; Etampawala, T.; Vithanage, M. Macro, colloidal and nanobiochar for oxytetracycline removal in synthetic hydrolyzed human urine. Environ. Pollut. 2020, 267, 115683. [Google Scholar] [CrossRef]
- Liang, G.; Wang, Z.; Yang, X.; Qin, T.; Xie, X.; Zhao, J.; Li, S. Efficient removal of oxytetracycline from aqueous solution using magnetic montmorillonite-biochar composite prepared by one step pyrolysis. Sci. Total Environ. 2019, 695, 133800. [Google Scholar] [CrossRef]
- Saremi, F.; Miroliaei, M.R.; Shahabi Nejad, M.; Sheibani, H. Adsorption of tetracycline antibiotic from aqueous solutions onto vitamin B6-upgraded biochar derived from date palm leaves. J. Mol. Liq. 2020, 318, 114126. [Google Scholar] [CrossRef]
- Ahmad, S.; Liu, X.; Tang, J.; Zhang, S. Biochar-supported nanosized zero-valent iron (nZVI/BC) composites for removal of nitro and chlorinated contaminants. Chem. Eng. J. 2022, 431, 133187. [Google Scholar] [CrossRef]
- Tarekegn, M.M.; Hiruy, A.M.; Dekebo, A.H. Nano zero valent iron (nZVI) particles for the removal of heavy metals (Cd(2+), Cu(2+) and Pb(2+)) from aqueous solutions. RSC Adv. 2021, 11, 18539–18551. [Google Scholar] [CrossRef]
- Li, Q.; Zhao, S.; Wang, Y. Mechanism of Oxytetracycline Removal by Coconut Shell Biochar Loaded with Nano-Zero-Valent Iron. Int. J. Environ. Res. Public Health 2021, 18, 13107. [Google Scholar] [CrossRef]
- Nguyen, C.H.; Tran, M.L.; Tran, T.T.V.; Juang, R.S. Efficient removal of antibiotic oxytetracycline from water by Fenton-like reactions using reduced graphene oxide-supported bimetallic Pd/nZVI nanocomposites. J. Taiwan Inst. Chem. Eng. 2021, 119, 80–89. [Google Scholar] [CrossRef]
- Wu, Y.W.; Yue, Q.Y.; Gao, Y.; Ren, Z.F.; Gao, B.Y. Performance of bimetallic nanoscale zero-valent iron particles for removal of oxytetracycline. J. Environ. Sci.-China 2018, 69, 173–182. [Google Scholar] [CrossRef] [PubMed]
- Gadipelly, C.; Pérez-González, A.; Yadav, G.D.; Ortiz, I.; Ibáñez, R.; Rathod, V.K.; Marathe, K.V. Pharmaceutical Industry Wastewater: Review of the Technologies for Water Treatment and Reuse. Ind. Eng. Chem. Res. 2014, 53, 11571–11592. [Google Scholar] [CrossRef]
- Xiang, W.; Wan, Y.; Zhang, X.; Tan, Z.; Xia, T.; Zheng, Y.; Gao, B. Adsorption of tetracycline hydrochloride onto ball-milled biochar: Governing factors and mechanisms. Chemosphere 2020, 255, 127057. [Google Scholar] [CrossRef]
- Punamiya, P.; Sarkar, D.; Rakshit, S.; Datta, R. Effectiveness of Aluminum-based Drinking Water Treatment Residuals as a Novel Sorbent to Remove Tetracyclines from Aqueous Medium. J. Environ. Qual. 2013, 42, 1449–1459. [Google Scholar] [CrossRef]
- Leal, J.F.; Santos, E.B.H.; Esteves, V.I. Oxytetracycline in intensive aquaculture: Water quality during and after its administration, environmental fate, toxicity and bacterial resistance. Rev. Aquac. 2018, 11, 1176–1194. [Google Scholar] [CrossRef]
- Radoman, T.S.; Džunuzović, J.V.; Grgur, B.N.; Gvozdenović, M.M.; Jugović, B.Z.; Miličević, D.S.; Džunuzović, E.S. Improvement of the epoxy coating properties by incorporation of polyaniline surface treated TiO 2 nanoparticles previously modified with vitamin B6. Prog. Org. Coat. 2016, 99, 346–355. [Google Scholar] [CrossRef]
- Wang, X.; Lian, W.; Sun, X.; Ma, J.; Ning, P. Immobilization of NZVI in polydopamine surface-modified biochar for adsorption and degradation of tetracycline in aqueous solution. Front. Environ. Sci. Eng. 2018, 12, 9. [Google Scholar] [CrossRef]
- Wang, S.; Zhao, M.; Zhou, M.; Li, Y.C.; Wang, J.; Gao, B.; Sato, S.; Feng, K.; Yin, W.; Igalavithana, A.D.; et al. Biochar-supported nZVI (nZVI/BC) for contaminant removal from soil and water: A critical review. J. Hazard. Mater. 2019, 373, 820–834. [Google Scholar] [CrossRef]
- Liu, W.-J.; Jiang, H.; Yu, H.-Q. Emerging applications of biochar-based materials for energy storage and conversion. Energy Environ. Sci. 2019, 12, 1751–1779. [Google Scholar] [CrossRef]
- Zhang, Y.; Xu, Q.; Sun, M.; Xiong, C.; Wang, P.; Chen, Z.; Sun, G.; Guan, J.; Ding, Z.; Li, M.; et al. Insights into vitamin B3, B6 and C as inhibitor of steel reinforcement: A DFT + U study. Constr. Build. Mater. 2021, 294, 123571. [Google Scholar] [CrossRef]
- Atinafu, D.G.; Jin Chang, S.; Kim, K.-H.; Kim, S. Tuning surface functionality of standard biochars and the resulting uplift capacity of loading/energy storage for organic phase change materials. Chem. Eng. J. 2020, 394, 125049. [Google Scholar] [CrossRef]
- Tran, M.L.; Nguyen, C.H.; Tran, T.T.V.; Juang, R.S. One-pot synthesis of bimetallic Pt/nZVI nanocomposites for enhanced removal of oxytetracycline: Roles of morphology changes and Pt catalysis. J. Taiwan Inst. Chem. Eng. 2020, 111, 130–140. [Google Scholar] [CrossRef]
- Zhang, H.; Wang, J.; Zhou, B.; Zhou, Y.; Dai, Z.; Zhou, Q.; Chriestie, P.; Luo, Y. Enhanced adsorption of oxytetracycline to weathered microplastic polystyrene: Kinetics, isotherms and influencing factors. Environ. Pollut. 2018, 243, 1550–1557. [Google Scholar] [CrossRef]









Publisher’s Note: MDPI stays neutral with regard to jurisdictional claims in published maps and institutional affiliations. |
© 2022 by the authors. Licensee MDPI, Basel, Switzerland. This article is an open access article distributed under the terms and conditions of the Creative Commons Attribution (CC BY) license (https://creativecommons.org/licenses/by/4.0/).
Share and Cite
Xin, Y.; Zhang, P.; Shen, J.; Ren, S. Development of Vitamin B6-Mediated Biochar with Nano Zero-Valent Iron Coating for Oxytetracycline Removal through Adsorption and Degradation under Harsh Acidic Conditions. Water 2022, 14, 2734. https://doi.org/10.3390/w14172734
Xin Y, Zhang P, Shen J, Ren S. Development of Vitamin B6-Mediated Biochar with Nano Zero-Valent Iron Coating for Oxytetracycline Removal through Adsorption and Degradation under Harsh Acidic Conditions. Water. 2022; 14(17):2734. https://doi.org/10.3390/w14172734
Chicago/Turabian StyleXin, Yuelin, Peng Zhang, Jian Shen, and Shaojie Ren. 2022. "Development of Vitamin B6-Mediated Biochar with Nano Zero-Valent Iron Coating for Oxytetracycline Removal through Adsorption and Degradation under Harsh Acidic Conditions" Water 14, no. 17: 2734. https://doi.org/10.3390/w14172734
APA StyleXin, Y., Zhang, P., Shen, J., & Ren, S. (2022). Development of Vitamin B6-Mediated Biochar with Nano Zero-Valent Iron Coating for Oxytetracycline Removal through Adsorption and Degradation under Harsh Acidic Conditions. Water, 14(17), 2734. https://doi.org/10.3390/w14172734
