137Cs Sediment Profiles as a Tracer of Marine Sedimentation Processes in a Semi-Enclosed Bay Affected by Anthropogenic Releases—Example of Kaštela Bay (Adriatic Sea, Croatia)
Abstract
1. Introduction
2. Materials and Methods
2.1. Study Area
2.2. Sampling
2.3. Gamma–Spectrometry
2.4. Determination of Grain Size Composition
2.5. Determination of Organic Matter Mass Fractions
2.6. Statistical Analysis
3. Results
3.1. 137Cs Massic Activities in Sediment and 137Cs Depth Profiles
3.2. Sediment Grain Size
3.3. Organic Matter in Sediment
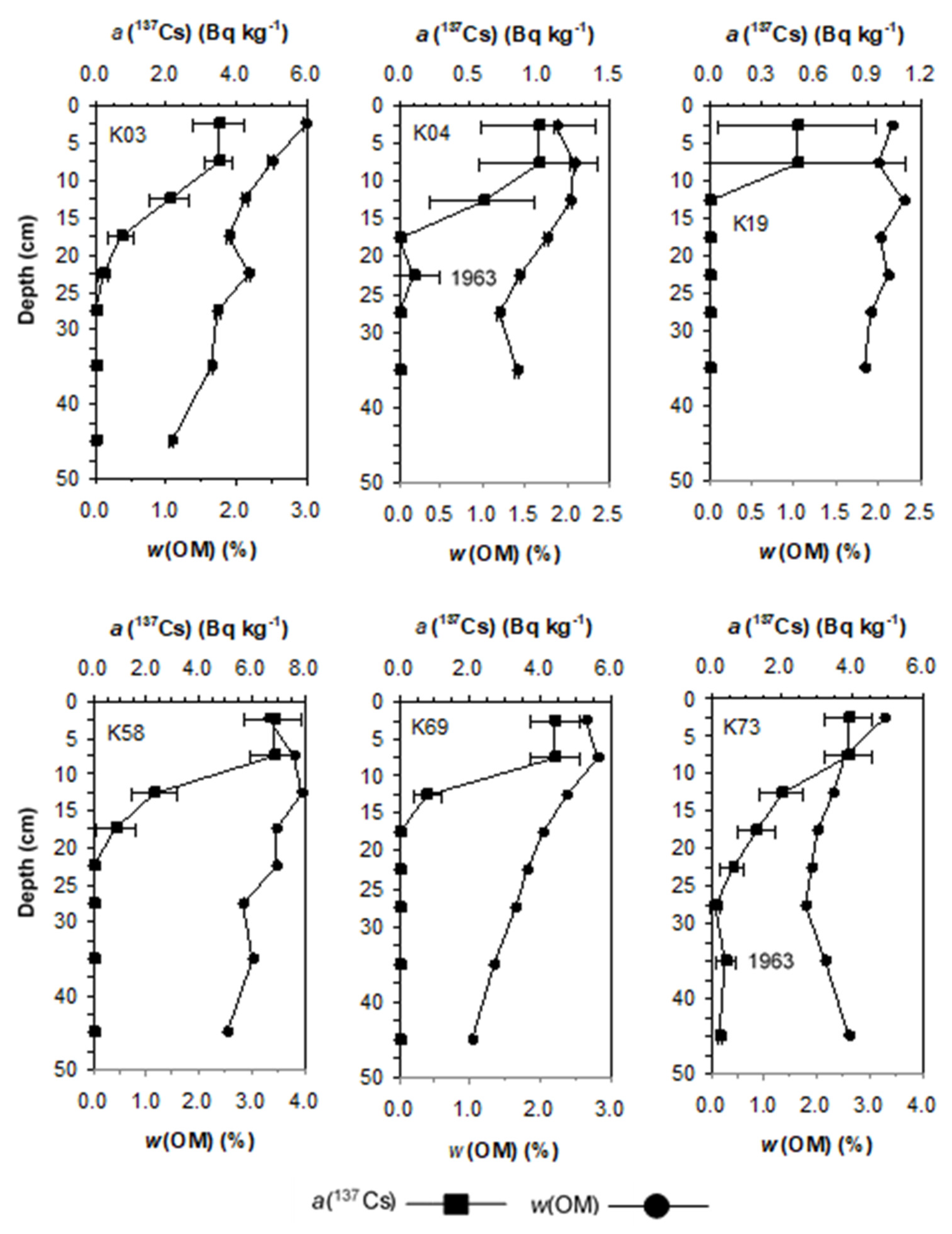
3.4. Organic Matter Mass Fractions vs. 137Cs Massic Activities
4. Discussion
4.1. Types of Sedimentation, Processes and Influences Reflected by 137Cs Depth Profiles
4.1.1. Undisturbed, Uniform, and Regular Sedimentation
4.1.2. Undisturbed, Slow Sedimentation
4.1.3. Eastward Increasing Sedimentation Rate in Profiles in Sequence
4.1.4. Fast Sedimentation and/or Sediment Mixing
4.1.5. Increased Sedimentation and Subsequent Increased Material Input in the Uppermost Profile Segments
4.1.6. Post-Depositional Processes
4.1.7. Post-Depositional Processes or Increased Sand Load, Sediment Sliding or Slumping
4.1.8. Physical Reworking Due to Anthropogenic Influence
4.2. Absence of 137Cs in Sediment
4.3. Future Research Direction
5. Conclusions
Author Contributions
Funding
Data Availability Statement
Acknowledgments
Conflicts of Interest
References
- Masson, O.; Baeza, A.; Bieringer, J.; Brudecki, K.; Bucci, S.; Cappai, M.; Carvalho, F.P.; Connan, O.; Cosma, C.; Dalheimer, A.; et al. Tracking of Airborne Radionuclides from the Damaged Fukushima Dai-Ichi Nuclear Reactors by European Networks. Environ. Sci. Technol. 2011, 45, 7670–7677. [Google Scholar] [CrossRef] [PubMed]
- Thakur, P.; Ballard, S.; Nelson, R. Radioactive fallout in the United States due to the Fukushima nuclear plant accident. J. Environ. Monit. 2012, 14, 1317–1324. [Google Scholar] [CrossRef] [PubMed]
- Yoshida, N.; Kanda, J. Tracking the Fukushima Radionuclides. Science 2012, 336, 1115–1116. [Google Scholar] [CrossRef] [PubMed]
- Ayçik, G.A.; Çetaku, D.; Erten, H.N.; Salihoğlu, I. Dating of Black Sea sediments from Romanian coast using natural 210Pb and fallout 137Cs. J. Radioanal. Nucl. Chem. 2004, 259, 177–180. [Google Scholar] [CrossRef]
- Papastefanou, C. Radioactive nuclides as tracers of environmental processes. J. Radioanal. Nucl. Chem. 2006, 267, 315–320. [Google Scholar] [CrossRef]
- Saxena, D.P.; Joos, P.; van Grieken, R.; Subramanian, V. Sedimentation rate of the floodplain sediments of the Yamuna river basin (tributary of the river Ganges, India) by using 210Pb and 137Cs techniques. J. Radioanal. Nucl. Chem. 2002, 251, 399–408. [Google Scholar] [CrossRef]
- Børretzen, P.; Salbu, B. Fixation of Cs to marine sediments estimated by a stochastic modelling approach. J. Environ. Radioact. 2002, 61, 1–20. [Google Scholar] [CrossRef]
- Gascó, C.; Antón, M.P.; Pozuelo, M.; Meral, J.; González, A.M.; Papucci, C.; Delfanti, R. Distributions of Pu, Am and Cs in margin sediments from the western Mediterranean (Spanish coast). J. Environ. Radioact. 2002, 59, 75–89. [Google Scholar] [CrossRef]
- Garcia-Orellana, J.; Pates, J.M.; Masqué, P.; Bruach, J.M.; Sanchez-Cabeza, J.A. Distribution of artificial radionuclides in deep sediments of the Mediterranean Sea. Sci. Total Environ. 2009, 407, 887–898. [Google Scholar] [CrossRef]
- Park, G.; Lin, X.J.; Kim, W.; Kang, H.D.; Lee, H.L.; Kim, Y.; Doh, S.H.; Kim, D.S.; Yun, S.G.; Kim, C.K. Properties of 137Cs in marine sediments off Yangnam, Korea. J. Environ. Radioact. 2004, 77, 285–299. [Google Scholar] [CrossRef]
- Avery, S.V. Fate of Caesium in the Environment: Distribution between the Abiotic and Biotic Components of Aquatic and Terrestrial Ecosystems. J. Environ. Radioact. 1996, 30, 139–171. [Google Scholar] [CrossRef]
- Ahn, Y.S.; Mizugaki, S.; Nakamura, F.; Nakamura, Y. Historical change in lake sedimentation in Lake Takkobu, Kushiro Mire, northern Japan over last 300 years. Geomorphology 2006, 78, 321–334. [Google Scholar] [CrossRef]
- Kotilainen, A.T.; Kotilainen, M.M.; Vartti, V.-P.; Hutri, K.-L.; Virtasalo, J.J. Chernobyl still with us: 137Caesium activity contents in seabed sediments from the Gulf of Bothnia, northern Baltic Sea. Mar. Pollut. Bull. 2021, 172, 112924. [Google Scholar] [CrossRef] [PubMed]
- Kumar, B.; Rai, S.P.; Nachiappan, R.P.; Kumar, U.S.; Singh, S.; Diwedi, V.K. Sedimentation rate in North Indian lakes estimated using 137Cs and 210Pb dating techniques. Curr. Sci. 2007, 92, 1416–1420. [Google Scholar]
- Pavičić-Hamer, D.; Barišić, D.; Šimunac, B.; Petrinec, B.; Štrok, M. 137Cs distribution in the northern Adriatic Sea. J. Radioanal. Nucl. Chem. 2016, 309, 989–998. [Google Scholar] [CrossRef]
- Petrinec, B.; Franić, Z.; Ilijanić, N.; Miko, S.; Štrok, M.; Smodiš, B. Estimation of sedimentation rate in the middle and south Adriatic Sea using 137Cs. Radiat. Prot. Dosim. 2012, 151, 102–111. [Google Scholar] [CrossRef] [PubMed][Green Version]
- San Miguel, E.G.; Bolívar, J.P.; García-Tenorio, R. Vertical distribution of Th-isotope ratios, 210Pb, 226Ra and 137Cs in sediment cores from an estuary affected by anthropogenic releases. Sci. Total Environ. 2004, 318, 143–157. [Google Scholar] [CrossRef]
- Schell, W.R.; Barnes, R.S. Environmental isotope and anthropogenic tracers of recent lake sedimentation. In Handbook of Environmental Isotope Geochemistry: The Terrestrial Environment, 1st ed.; Fritz, P., Fontes, J.C., Eds.; Elsevier: Amsterdam, The Nederlands, 1986; Volume 2/B, pp. 169–206. [Google Scholar]
- Yao, S.C.; Li, S.J.; Zhang, H.C. 210Pb and 137Cs dating of sediments from Zigetang Lake, Tibetan Plateau. J. Radioanal. Nucl. Chem. 2008, 278, 55–58. [Google Scholar] [CrossRef]
- Li, Y.; Zhang, W.; Lin, B.; Sun, J.; Feng, H. Radionuclides: Properties, Behaviour and Potential Health Effects, 1st ed.; Nova Science Publishers, Inc.: New York, NY, USA, 2020; pp. 83–96. [Google Scholar]
- Abril, J.M. Difficulties in interpreting fast mixing in the radiometric dating of sediments using 210Pb and 137Cs. J. Paleolimnol. 2003, 30, 407–414. [Google Scholar] [CrossRef]
- Lovrenčić Mikelić, I.; Oreščanin, V.; Škaro, K. Variation of sedimentation rate in the semi-enclosed bay determined by 137Cs distribution in sediment (Kaštela Bay, Croatia). J. Environ. Radioact. 2017, 166, 112–125. [Google Scholar] [CrossRef]
- Bogner, D. Superficial Sediments and Impact of Their Physico–Chemical Properties on the Distribution of Heavy Metals in the Kastela Bay (in Croatian). Master’s Thesis, Faculty of Science, Zagreb, Croatia, 27 June 1996. [Google Scholar]
- Bogner, D.; Odžak, N.; Juračić, M.; Barić, A.; Tibljaš, D. Heavy metals in sediments of the Kaštela Bay. In Water Pollution IV: Modelling, Measuring and Prediction, 1st ed.; Rajar, R., Brebbia, C.A., Eds.; Computational Mechanics Publications: Southampton, UK, 1997; pp. 87–94. [Google Scholar]
- Bogner, D.; Juracic, M.; Odžak, N.; Baric, A. Trace metals in fine grained sediments of the Kaštela Bay, Adriatic Sea. Water Sci. Technol. 1998, 38, 169–175. [Google Scholar] [CrossRef]
- Kljaković–Gašpić, Z.; Odžak, N.; Ujević, I.; Zvonarić, T.; Horvat, M.; Barić, A. Biomonitoring of mercury in polluted coastal area using transplanted mussels. Sci. Total Environ. 2006, 368, 199–209. [Google Scholar] [CrossRef] [PubMed]
- Kwokal, Ž.; Frančišković-Bilinski, S.; Bilinski, H.; Branica, M. A comparison of anthropogenic mercury pollution in Kaštela Bay (Croatia) with pristine estuaries in Öre (Sweden) and Krka (Croatia). Mar. Pollut. Bull. 2002, 44, 1152–1157. [Google Scholar] [CrossRef]
- Mikac, N.; Foucher, D.; Kwokal, Ž.; Barišić, D. Mercury and Radionuclides in Sediments of the Kaštela Bay (Croatia)—Evaluation of the Sediment Pollution History. Croat. Chem. Acta 2006, 79, 85–93. [Google Scholar]
- Odžak, N.; Zvonarić, T.; Gašpić, Z.K.; Horvat, M.; Barić, A. Biomonitoring of mercury in the Kaštela Bay using transplanted mussels. Sci. Total Environ. 2000, 261, 61–68. [Google Scholar] [CrossRef]
- Tudor, M.; Zvonarić, T.; Horvat, M.; Stegnar, P. Vertical transport of mercury by settling particles in Kaštela Bay. Acta Adriat. 1991, 32, 753–763. [Google Scholar]
- Ujević, I.; Odžak, N.; Barić, A. Relationship between Mn, Cr, Pb and Cd concentrations, granulometric composition and organic matter content in the marine sediments from a contaminated coastal area. Fresenius Environ. Bull. 1998, 7, 183–189. [Google Scholar]
- Ujević, I.; Odžak, N.; Barić, A. Trace metal accumulation in different grain size fractions of the sediments from a semi-enclosed bay heavily contaminated by urban and industrial wastewaters. Water Res. 2000, 34, 3055–3061. [Google Scholar] [CrossRef]
- Orescanin, V.; Barisic, D.; Lovrencic, I.; Mikelic, L.; Rozmaric-Macefat, M.; Pavlovic, G.; Lulic, S. The influence of fly and bottom ash deposition on the quality of Kastela Bay sediments. Environ. Geol. 2005, 49, 53–64. [Google Scholar] [CrossRef]
- Barić, A.; Marasović, I.; Gačić, M. Eutrophication phenomenon with special reference to the Kaštela Bay. Chem. Ecol. 1992, 6, 51–68. [Google Scholar] [CrossRef]
- Marasović, I.; Ninčević, Ž.; Kušpilić, G.; Marinović, S.; Marinov, S. Long-term changes of basic biological and chemical parameters at two stations in the middle Adriatic. J. Sea Res. 2005, 54, 3–14. [Google Scholar] [CrossRef]
- Al-Zamel, A.Z.; Bou-Rabee, F.; Al-Sarawi, M.A.; Olszewski, M.; Bem, H. Determination of the sediment deposition rates in the Kuwait Bay using 137Cs and 210Pb. Nukleonika 2006, 51 (Suppl. S2), S39–S44. [Google Scholar]
- Andersen, T.J.; Mikkelsen, O.A.; Møller, A.L.; Pejrup, M. Deposition and mixing depths on some European intertidal mudflats based on 210Pb and 137Cs activities. Cont. Shelf Res. 2000, 20, 1569–1591. [Google Scholar] [CrossRef]
- Frignani, M.; Sorgente, D.; Langone, L.; Albertazzi, S.; Ravaioli, M. Behavior of Chernobyl radiocesium in sediments of the Adriatic Sea off the Po River delta and the Emilia-Romagna coast. J. Environ. Radioact. 2004, 71, 299–312. [Google Scholar] [CrossRef]
- Lu, X.; Matsumoto, E. Recent sedimentation rates derived from 210Pb and 137Cs methods in Ise Bay, Japan. Estuar. Coast. Shelf Sci. 2005, 65, 83–93. [Google Scholar] [CrossRef]
- Pfitzner, J.; Brunskill, G.; Zagorskis, I. 137Cs and excess 210Pb deposition patterns in estuarine and marine sediment in the central region of the Great Barrier Reef Lagoon, north-eastern Australia. J. Environ. Radioact. 2004, 76, 81–102. [Google Scholar] [CrossRef]
- Tudor, M. Mercury Distribution and Residence Time in the Sea and Sediment of the Kastela Bay (in Croatian). Ph.D. Thesis, Faculty of Science, Zagreb, Croatia, 1993. [Google Scholar]
- Barić, A. Ecological problems of the Kastela Bay and how to solve them (in Croatian). Hrvat. Vodoprivreda 1995, 34, 33–36. [Google Scholar]
- Mikelić, I.L.; Oreščanin, V.; Barišić, D. 40K, 226Ra, 232Th, 238U and 137Cs relationships and behavior in sedimentary rocks and sediments of a karstic coastal area (Kaštela Bay, Croatia) and related rocks and sediments’ differentiation. Environ. Sci. Pollut. Res. 2021, 28, 51497–51510. [Google Scholar] [CrossRef]
- Lovrenčić Mikelić, I.; Barišić, D. Radiological risks from 40 K, 226Ra and 232Th in urbanised and industrialised karstic coastal area (Kaštela Bay, Croatia). Environ. Sci. Pollut. Res. 2022, 29, 54632–54640. [Google Scholar] [CrossRef]
- Marinčić, S.; Magaš, N.; Borović, I. Basic Geological Map of Yugoslavia, Sheet SPLIT. 1:100 000; Federal Geological Institute: Belgrade, SFR Yugoslavia, 1971. [Google Scholar]
- Shepard, F.P. Nomenclature based on sand-silt-clay relations. J. Sediment. Petrol. 1954, 24, 151–158. [Google Scholar]
- Folk, R.L. The distinction between grain size and mineral composition in sedimentary rock nomenclature. J. Geol. 1954, 62, 344–356. [Google Scholar] [CrossRef]
- Franić, Z.; Marović, G.; Lokobauer, N.; Senčar, J. Radiocaesium activity concentrations in milk in the Republic of Croatia and dose assessment. Environ. Monit. Assess. 1998, 51, 695–704. [Google Scholar] [CrossRef]
- Bogner, D.; Matijević, A. Variety of physical-chemical characteristics of Holocene sediments from the middle Adriatic Sea. Acta Adriat. 2016, 57, 3–16. [Google Scholar]
- Baskaran, M.; Asbill, S.; Santschi, P.; Brooks, J.; Champ, M.; Adkinson, D.; Colmer, M.R.; Makeyev, V. Pu, Cs-137 and excess Pb-210 in Russian arctic sediments. Earth Planet. Sci. Lett. 1996, 140, 243–257. [Google Scholar] [CrossRef]
- Papaefthymiou, H.; Papatheodorou, G.; Moustakli, A.; Christodoulou, D.; Geraga, M. Natural radionuclides and 137Cs distributions and their relationships with sedimentological processes in Patras Harbour, Greece. J. Environ. Radioact. 2007, 94, 55–74. [Google Scholar] [CrossRef] [PubMed]
- Rubio, L.; Linares-Rueda, A.; Dueñas, C.; Fernández, M.C.; Clavero, V.; Niell, F.X.; Fernández, J.A. Sediment accumulation rate and radiological characterisation of the sediment of Palmones River estuary (southern Spain). J. Environ. Radioact. 2003, 65, 267–280. [Google Scholar] [CrossRef]
- Boust, D. Distribution and inventories of some artificial and naturally occurring radionuclides in medium to coarse-grained sediments of the channel. Cont. Shelf Res. 1999, 19, 1959–1975. [Google Scholar] [CrossRef]
- Tissot, B.P.; Welte, D.H. Petroleum Formation and Occurrence, 1st ed.; Springer: Berlin/Heidelberg, Germany, 1978; pp. 55–62. [Google Scholar]
- Margeta, J. CAMP ”Kaštela bay”, Croatia. In Proceedings of the MAP/METAP Workshop ”Coastal Area Management Programmes: Improving the Implementation”, 1st ed.; UNEP-MAP/PAP: Split, Croatia, 2002; pp. 59–74. [Google Scholar]
- Alfirević, S. Contribution on the knowledge of the Kastela Bay geology (in Croatian). Acta Adriat. 1980, 21, 43–53. [Google Scholar]
- Ergül, H.A.; Topcuoğlu, S.; Ölmez, E.; Kirbaşoğlu, Ç. Radionuclides in a sediment trap and bottom sediment samples from the eastern Turkish coast of the Black Sea. J. Radioanal. Nucl. Chem. 2006, 268, 133–136. [Google Scholar] [CrossRef]
- Wei, T.; Chen, Z.; Duan, L.; Gu, J.; Saito, Y.; Zhang, W.; Wang, Y.; Kanai, Y. Sedimentation rates in relation to sedimentary processes of the Yangtze Estuary, China. Estuar. Coast. Shelf Sci. 2007, 71, 37–46. [Google Scholar] [CrossRef]










| Sampling Station | Latitude (N) | Longitude (E) | Sea Bottom Depth (m) | Sampling Station | Latitude (N) | Longitude (E) | Sea Bottom Depth (m) |
|---|---|---|---|---|---|---|---|
| K03 | 43°32.525′ | 16°21.713′ | 22.0 | K46 | 43°30.386′ | 16°20.206′ | 26.0 |
| K04 | 43°32.535′ | 16°22.442′ | 16.0 | K52 | 43°29.855′ | 16°20.938′ | 22.0 |
| K12 | 43°32.009′ | 16°20.177′ | 22.0 | K53 | 43°29.830′ | 16°21.703′ | 37.0 |
| K13 | 43°31.993′ | 16°20.917′ | 30.0 | K55 | 43°29.820′ | 16°23.165′ | 45.0 |
| K14 | 43°32.000′ | 16°21.707′ | 32.0 | K58 | 43°29.824′ | 16°25.315′ | 41.0 |
| K15 | 43°31.986′ | 16°22.431′ | 33.0 | K59 | 43°29.291′ | 16°23.884′ | 50.0 |
| K16 | 43°32.002′ | 16°23.203′ | 32.0 | K60 | 43°31.738′ | 16°27.988′ | 12.0 |
| K17 | 43°31.980′ | 16°23.868′ | 33.0 | K63 | 43°30.054′ | 16°25.344′ | 14.0 |
| K18 | 43°32.040′ | 16°24.431′ | 30.0 | K69 | 43°30.358′ | 16°23.344′ | 33.0 |
| K19 | 43°32.008′ | 16°25.160′ | 14.0 | K72 | 43°32.802′ | 16°23.795′ | 4.0 |
| K22 | 43°32.006′ | 16°27.539′ | 16.0 | K73 | 43°32.526′ | 16°24.171′ | 15.0 |
| K23 | 43°31.990′ | 16°27.975′ | 10.0 | K84 | 43°32.926′ | 16°22.404′ | 4.0 |
| K25 | 43°31.445′ | 16°18.517′ | 11.5 | K86 | 43°31.460′ | 16°16.724′ | 2.0 |
| K37 | 43°30.911′ | 16°19.361′ | 14.0 | K88 | 43°31.269′ | 16°15.954′ | 1.5 |
| K38 | 43°30.868′ | 16°20.169′ | 13.5 | K90 | 43°32.699′ | 16°25.117′ | 3.0 |
| K40 | 43°30.915′ | 16°21.704′ | 38.0 | KC | 43°32.236′ | 16°19.957′ | 12.0 |
| K42 | 43°30.900′ | 16°23.185′ | 37.0 | KK | 43°30.588′ | 16°22.712′ | 50.0 |
| K45 | 43°30.966′ | 16°25.408′ | 8.0 |
| Statistical Parameter | Otliers Not Excluded | Otliers Excluded |
|---|---|---|
| 2.50 | 2.39 | |
| Median | 1.45 | 1.40 |
| Minimum | 0.10 | 0.10 |
| Maximum | 9.80 | 8.00 |
| 1. quartile | 0.50 | 0.50 |
| 3. quartile | 4.40 | 4.25 |
| SD | 2.44 | 2.29 |
| N | 206 | 203 |
| Segment | Segment Depth (cm) | Gravel (%) | Sand (%) | Silt (%) | Clay (%) | Mz (μm) | Md (μm) |
|---|---|---|---|---|---|---|---|
| KC01 | 0–5 | 16.0 | 57.5 | 23.5 | 3.0 | 274.20 | 435.27 |
| KC02 | 5–10 | 7.5 | 66.5 | 21.0 | 5.0 | 168.79 | 233.26 |
| KC03 | 10–15 | 11.5 | 61.5 | 20.0 | 7.0 | 193.89 | 307.78 |
| KC04 | 15–20 | 10.5 | 61.0 | 23.5 | 5.0 | 180.91 | 250.00 |
| KC05 | 20–25 | 10.0 | 60.0 | 21.0 | 9.0 | 150.38 | 203.06 |
| KC06 | 25–30 | 9.0 | 59.5 | 24.0 | 7.5 | 150.38 | 189.46 |
| KK01 | 0–5 | 0.0 | 6.5 | 57.5 | 36.0 | 6.65 | 7.29 |
| KK02 | 5–10 | 0.0 | 6.5 | 57.5 | 36.0 | 6.57 | 6.35 |
| KK03 | 10–15 | 0.0 | 6.5 | 57.5 | 36.0 | 6.57 | 6.35 |
| KK04 | 15–20 | 0.0 | 4.5 | 60.0 | 35.5 | 6.35 | 6.35 |
| KK05 | 20–25 | 0.0 | 5.0 | 57.5 | 37.5 | 5.92 | 5.92 |
| KK06 | 25–30 | 0.0 | 6.0 | 56.5 | 37.5 | 6.49 | 5.92 |
| KK07 | 30–40 | 0.5 | 3.5 | 57.5 | 38.5 | 6.13 | 5.92 |
| KK08 | 40–50 | 0.5 | 3.5 | 56.5 | 39.5 | 5.92 | 5.92 |
| Sampling Station | Grain Size | Comment | ||
|---|---|---|---|---|
| G | S | CS | ||
| K03 | + | + | + | Sediment predominantly sand and clay, gravels found in segments K0307 and K0308 |
| K04 | + | – | ||
| K12 | + | – | ||
| K13 | + | – | ||
| K14 | + | – | ||
| K15 | + | – | ||
| K16 | + | – | ||
| K17 | + | – | ||
| K18 | + | – | ||
| K19 | + | + | + | Mostly sand and gravel, some clay and silt, upper segments are more coarse-grained |
| K22 | + | Possible bioturbation, worm colony found | ||
| K23 | + | Plenty of cement found | ||
| K25 | + | Plenty of shell debris found | ||
| K37 | + | – | ||
| K38 | + | – | ||
| K40 | + | – | ||
| K42 | + | – | ||
| K45 | + | – | ||
| K46 | + | + | Rich in organic matter | |
| K52 | + | + | Upper segments are more coarse-grained | |
| K53 | + | – | ||
| K55 | + | – | ||
| K58 | + | – | ||
| K59 | + | – | ||
| K60 | + | Watery mud, unpleasant odour | ||
| K63 | + | + | Upper segments are sandier, plenty of organic matter found (grasses), some stones found | |
| K69 | + | – | ||
| K72 | + | Plenty of shell debris found | ||
| K73 | + | + | Fly ash found in segments K7301 and K7308 | |
| K84 | + | Plenty of fine shell debris and a larger shell found | ||
| K86 | + | Plenty of shells, mixed sediment due to shells collecting | ||
| K88 | + | + | – | |
| K90 | + | Black sediment | ||
| Statistical Parameter | All Samples | All Samples, EVs Excluded | Only Samples with Detected 137Cs, EVs Excluded | Only Samples with No Detected 137Cs |
|---|---|---|---|---|
| 3.41 | 3.02 | 3.13 | 1.70 | |
| Median | 3.18 | 3.13 | 3.20 | 1.73 |
| Minimum | 1.01 | 1.01 | 1.02 | 1.01 |
| Maximum | 20.2 | 5.63 | 5.63 | 2.32 |
| SD | 2.27 | 0.96 | 0.91 | 0.37 |
| N | 222 | 214 | 198 | 16 |
Publisher’s Note: MDPI stays neutral with regard to jurisdictional claims in published maps and institutional affiliations. |
© 2022 by the authors. Licensee MDPI, Basel, Switzerland. This article is an open access article distributed under the terms and conditions of the Creative Commons Attribution (CC BY) license (https://creativecommons.org/licenses/by/4.0/).
Share and Cite
Lovrenčić Mikelić, I.; Cukrov, N.; Oreščanin, V.; Škaro, K.; Barišić, D. 137Cs Sediment Profiles as a Tracer of Marine Sedimentation Processes in a Semi-Enclosed Bay Affected by Anthropogenic Releases—Example of Kaštela Bay (Adriatic Sea, Croatia). Water 2022, 14, 2655. https://doi.org/10.3390/w14172655
Lovrenčić Mikelić I, Cukrov N, Oreščanin V, Škaro K, Barišić D. 137Cs Sediment Profiles as a Tracer of Marine Sedimentation Processes in a Semi-Enclosed Bay Affected by Anthropogenic Releases—Example of Kaštela Bay (Adriatic Sea, Croatia). Water. 2022; 14(17):2655. https://doi.org/10.3390/w14172655
Chicago/Turabian StyleLovrenčić Mikelić, Ivanka, Neven Cukrov, Višnja Oreščanin, Krunoslav Škaro, and Delko Barišić. 2022. "137Cs Sediment Profiles as a Tracer of Marine Sedimentation Processes in a Semi-Enclosed Bay Affected by Anthropogenic Releases—Example of Kaštela Bay (Adriatic Sea, Croatia)" Water 14, no. 17: 2655. https://doi.org/10.3390/w14172655
APA StyleLovrenčić Mikelić, I., Cukrov, N., Oreščanin, V., Škaro, K., & Barišić, D. (2022). 137Cs Sediment Profiles as a Tracer of Marine Sedimentation Processes in a Semi-Enclosed Bay Affected by Anthropogenic Releases—Example of Kaštela Bay (Adriatic Sea, Croatia). Water, 14(17), 2655. https://doi.org/10.3390/w14172655

