Contaminant Fate and Transport Modeling in Distribution Systems: EPANET-C
Abstract
:1. Introduction
2. Conceptual Background
3. Mathematical Modelling
4. EPANET-C Function Directories
5. EPANET-C–MATLAB Interface
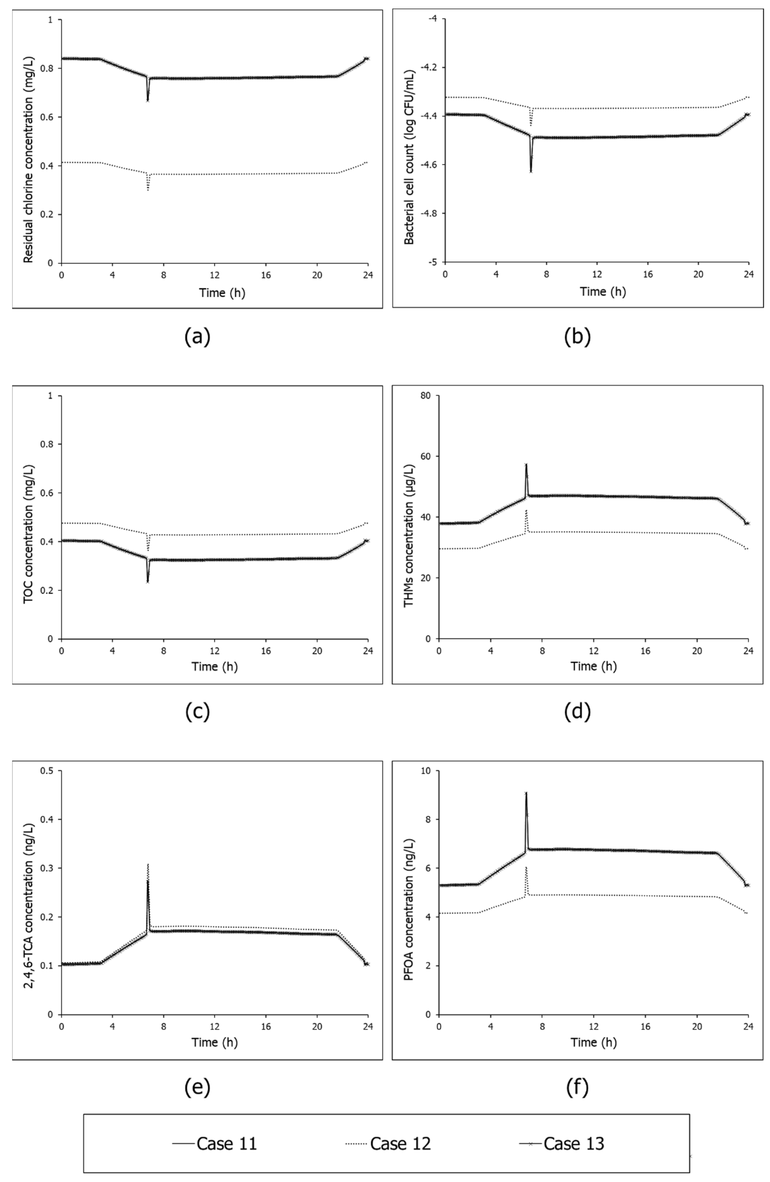
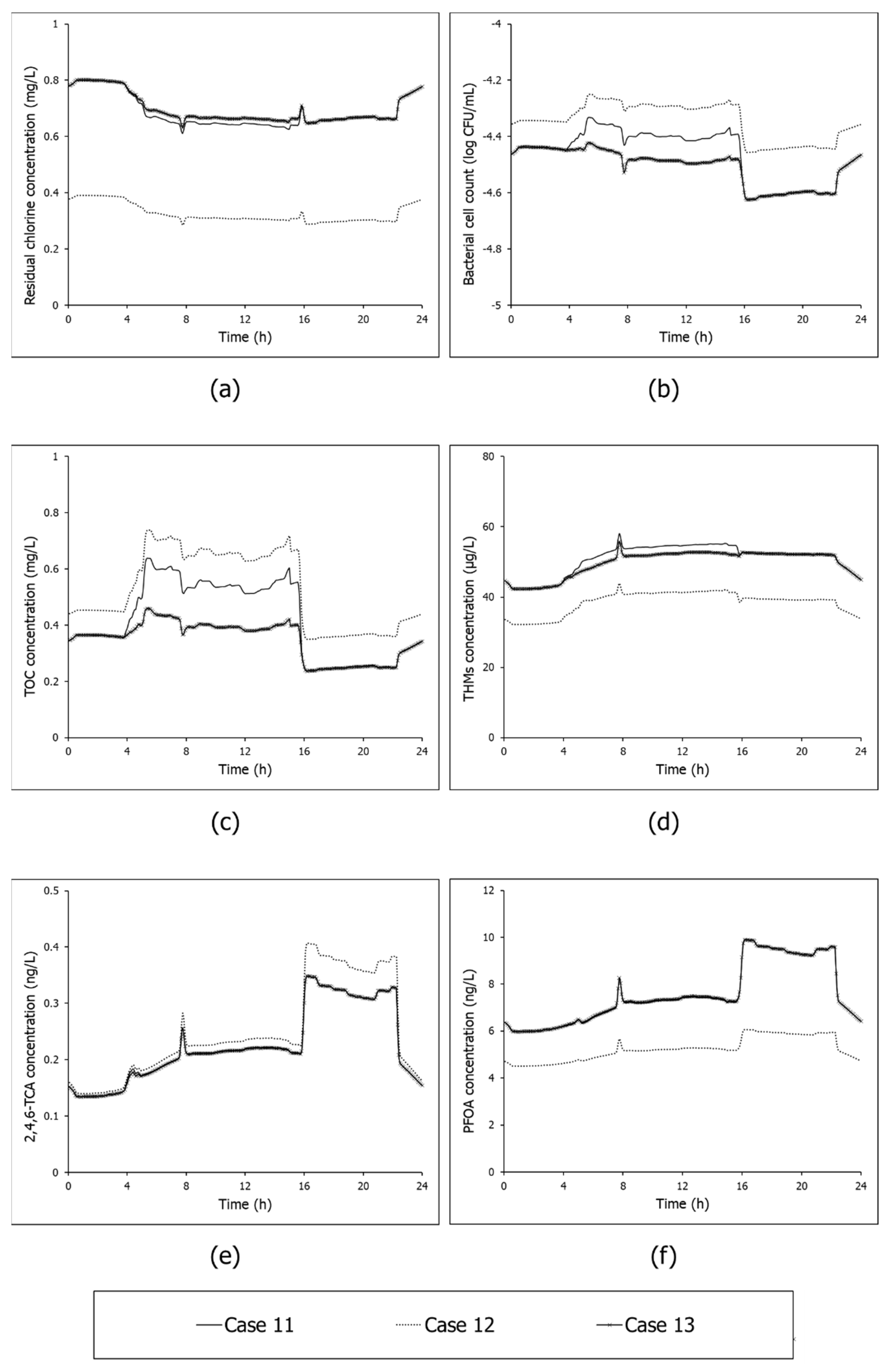
6. Case Studies
7. Results and Discussion
7.1. Test Network 1
7.2. Test Network 2
8. Limitations of the Study and Future Scope
9. Conclusions
Supplementary Materials
Author Contributions
Funding
Institutional Review Board Statement
Informed Consent Statement
Data Availability Statement
Conflicts of Interest
References
- Liang, J.L.; Dziuban, E.J.; Craun, G.F.; Hill, V.; Moore, M.R.; Gelting, R.J.; Calderon, R.L.; Beach, M.J.; Roy, S.L. Surveillance for waterborne disease and outbreaks associated with drinking water and water not intended for drinking—United States, 2003–2004. Morb. Mortal. Wkly. Rep. Surveill. Summ. 2006, 55, 31–65. [Google Scholar]
- Gavriel, A.A.; Landre, J.P.B.; Lamb, A.J. Incidence of mesophilic Aeromonas within a public drinking water supply in north-east Scotland. J. Appl. Microbiol. 1998, 84, 383–392. [Google Scholar] [CrossRef] [PubMed]
- Yokoyama, K. Our recent experiences with sarin poisoning cases in Japan and pesticide users with references to some selected chemicals. Neurotoxicology 2007, 28, 364–373. [Google Scholar] [CrossRef] [PubMed]
- Lifshitz, R.; Ostfeld, A. Clustering for Real-Time Response to Water Distribution System Contamination Event Intrusions. J. Water Resour. Plan. Manag. 2019, 145, 04018091. [Google Scholar] [CrossRef]
- Clark, R.M. The USEPA’s distribution system water quality modelling program: A historical perspective. Water Environ. J. 2015, 29, 320–330. [Google Scholar] [CrossRef]
- Liou, C.P.; Kroon, J.R. Modeling the Propagation of Waterborne Substances in Distribution Networks. J. Am. Water Work. Assoc. 1987, 79, 54–58. [Google Scholar] [CrossRef]
- Grayman, W.M.; Clark, R.M.; Males, R.M. Modeling Distribution-System Water Quality: Dynamic Approach. J. Water Resour. Plan. Manag. 1988, 114, 295–312. [Google Scholar] [CrossRef]
- Abhijith, G.R.; Mohan, S. Random Walk Particle Tracking embedded Cellular Automata model for predicting temporospatial variations of chlorine in water distribution systems. Environ. Process. 2020, 7, 271–296. [Google Scholar] [CrossRef]
- Rossman, L.A.; Boulos, P.F.; Altman, T. Discrete Volume-Element Method for Network Water-Quality Models. J. Water Resour. Plan. Manag. 1993, 119, 505–517. [Google Scholar] [CrossRef] [Green Version]
- Boulos, P.F.; Altman, T.; Jarrige, P.A.; Collevati, F. An event-driven method for modelling contaminant propagation in water networks. Appl. Math. Model. 1994, 18, 84–92. [Google Scholar] [CrossRef]
- Axworthy, D.H.; Karney, B.W. Modeling Low Velocity/High Dispersion Flow in Water Distribution systems. J. Water Resour. Plan. Manag. 1996, 122, 218–221. [Google Scholar] [CrossRef]
- Helbling, D.E.; VanBriesen, J.M. Modeling Residual Chlorine Response to a Microbial Contamination Event in Drinking Water Distribution Systems. J. Environ. Eng. 2009, 135, 918–927. [Google Scholar] [CrossRef]
- Aisopou, A.; Stoianov, I.; Graham, N.J.D. Modelling Chlorine Transport under Unsteady-State Hydraulic Conditions. Water Distrib. Syst. Anal. 2010, 2010, 613–625. [Google Scholar] [CrossRef]
- Monteiro, L.; Figueiredo, D.; Dias, S.; Freitas, R.; Covas, D.; Menaia, J.; Coelho, S.T. Modeling of chlorine decay in drinking water supply systems using EPANET MSX. Procedia Eng. 2014, 70, 1192–1200. [Google Scholar] [CrossRef] [Green Version]
- Monteiro, L.; Carneiro, J.; Covas, D.I.C. Modelling chlorine wall decay in a full-scale water supply system. Urban Water J. 2020, 17, 754–762. [Google Scholar] [CrossRef]
- Kim, H.; Kim, S.; Koo, J. Modelling chlorine decay in a pilot scale water distribution system subjected to transient. Procedia Eng. 2015, 119, 370–378. [Google Scholar] [CrossRef]
- Lu, C.; Biswas, P.; Clark, R.M. Simultaneous transport of substrates, disinfectants and microorganisms in water pipes. Water Res. 1995, 29, 881–894. [Google Scholar] [CrossRef]
- Servais, P.; Laurent, P.; Billen, G.; Gatel, D. Development of a Model of BDOC and Bacterial Biomass Fluctuations in Distribution Systems. Rev. Sci. Eau 1995, 8, 427–462. [Google Scholar]
- Ohar, Z.; Ostfeld, A.; Lahav, O.; Birnhack, L. Modelling heavy metal contamination events in water distribution systems. Procedia Eng. 2015, 119, 328–336. [Google Scholar] [CrossRef] [Green Version]
- Klosterman, S.; Murray, R.; Szabo, J.; Hall, J.; Uber, J. Modeling and simultation of arsenate fate and transport in a distribution system simulator. In Water Distribution Systems Analysis 2010, Proceedings of the 12th Annual Conference on Water Distribution Systems Analysis (WDSA), Tucson, AZ, USA, 12–15 September 2010; American Society of Civil Engineers: Reston, VA, USA, 2012; pp. 655–669. [Google Scholar] [CrossRef] [Green Version]
- Burkhardt, J.B.; Szabo, J.; Klosterman, S.; Hall, J.; Murray, R. Modeling fate and transport of arsenic in a chlorinated distribution system. Environ. Model. Softw. 2017, 93, 322–331. [Google Scholar] [CrossRef] [Green Version]
- Abokifa, A.A.; Biswas, P. Modeling Soluble and Particulate Lead Release into Drinking Water from Full and Partially Replaced Lead Service Lines. Environ. Sci. Technol. 2017, 51, 3318–3326. [Google Scholar] [CrossRef] [PubMed]
- Munavalli, G.R.; MohanKumar, M.S. Dynamic simulation of multicomponent reaction transport in water distribution systems. Water Res. 2004, 38, 1971–1988. [Google Scholar] [CrossRef] [PubMed]
- Abhijith, G.R.; Ostfeld, A. Model-based investigation of the formation, transmission, and health risk of perfluorooctanoic acid, a member of PFASs group, in drinking water distribution systems. Water Res. 2021, 204, 117626. [Google Scholar] [CrossRef] [PubMed]
- Abhijith, G.R.; Ostfeld, A. Modeling the Response of Nonchlorinated, Chlorinated, and Chloraminated Water Distribution Systems toward Arsenic Contamination. J. Environ. Eng. 2021, 147, 04021045. [Google Scholar] [CrossRef]
- Dukan, S.; Levi, Y.; Piriou, P.; Guyon, F.; Villon, P. Dynamic modelling of bacterial growth in drinking water networks. Water Res. 1996, 30, 1991–2002. [Google Scholar] [CrossRef]
- Bois, F.Y.; Fahmy, T.; Block, J.C.; Gatel, D. Dynamic modeling of bacteria in a pilot drinking-water distribution system. Water Res. 1997, 31, 3146–3156. [Google Scholar] [CrossRef]
- Zhang, W.; Miller, C.T.; DiGiano, F.A. Bacterial Regrowth Model for Water Distribution Systems Incorporating Alternating Split-Operator Solution Technique. J. Environ. Eng. 2004, 130, 932–941. [Google Scholar] [CrossRef]
- Abokifa, A.A.; Yang, Y.J.; Lo, C.S.; Biswas, P. Investigating the role of biofilms in trihalomethane formation in water distribution systems with a multicomponent model. Water Res. 2016, 104, 208–219. [Google Scholar] [CrossRef]
- Chen, G.; Long, T.; Bai, Y. Water quality model with axial dispersion solved by Eulerian-Lagrangian operator-splitting method in water distribution system. Water Sci. Technol. Water Supply 2017, 18, 831–842. [Google Scholar] [CrossRef]
- Abhijith, G.R.; Mohan, S. Cellular Automata-based Mechanistic Model for Analyzing Microbial Regrowth and Trihalomethanes Formation in Water Distribution Systems. J. Environ. Eng. 2021, 147, 04020145. [Google Scholar] [CrossRef]
- Abhijith, G.R.; Kadinski, L.; Ostfeld, A. Modeling Bacterial Regrowth and Trihalomethane Formation in Water Distribution Systems. Water 2021, 13, 463. [Google Scholar] [CrossRef]
- Abhijith, G.R.; Ostfeld, A. Modeling the Formation and Propagation of 2,4,6-trichloroanisole, a Dominant Taste and Odor Compound, in Water Distribution Systems. Water 2021, 13, 638. [Google Scholar] [CrossRef]
- Rossman, L.A. EPANET 2: Users Manual; United States Environmental Protection Agency: Washington, DC, USA, 2000.
- Shang, F.; Uber, J.G.; Rossman, L.A. EPANET Multi-Species Extension User’s Manual; United States Environmental Protection Agency: Washington, DC, USA, 2007; p. 115.
- Ostfeld, A.; Uber, J.G.; Salomons, E.; Berry, J.W.; Hart, W.E.; Phillips, C.A.; Watson, J.-P.; Dorini, G.; Jonkergouw, P.; Kapelan, Z.; et al. The Battle of the Water Sensor Networks (BWSN): A Design Challenge for Engineers and Algorithms. J. Water Resour. Plan. Manag. 2008, 134, 556–568. [Google Scholar] [CrossRef] [Green Version]
- Huck, P.M. Measurement of biodegradable organic matter and bacterial growth potential in drinking water. J. Am. Water Work. Assoc. 1990, 82, 78–86. [Google Scholar] [CrossRef]
- Clark, R.M.; Sivaganesan, M. Predicting Chlorine Residuals in Drinking Water: Second Order Model. J. Water Resour. Plan. Manag. 2002, 128, 152–161. [Google Scholar] [CrossRef]
- Sohn, J.; Amy, G.; Cho, J.; Lee, Y.; Yoon, Y. Disinfectant decay and disinfection by-products formation model development: Chlorination and ozonation by-products. Water Res. 2004, 38, 2461–2478. [Google Scholar] [CrossRef]
- Tsitsifli, S.; Kanakoudis, V. Determining hazards’ prevention critical control points in water supply systems. Environ. Sci. Proc. 2020, 2, 53. [Google Scholar] [CrossRef]
- Peter, A.; Von Gunten, U. Taste and odour problems generated in distribution systems: A case study on the formation of 2,4,6-trichloroanisole. J. Water Supply Res. Technol. AQUA 2009, 58, 386–394. [Google Scholar] [CrossRef]
- Chen, X.; Luo, Q.; Yuan, S.; Wei, Z.; Song, H.; Wang, D.; Wang, Z. Simultaneous determination of ten taste and odor compounds in drinking water by solid-phase microextraction combined with gas chromatography-mass spectrometry. J. Environ. Sci. 2013, 25, 2313–2323. [Google Scholar] [CrossRef]
- Nystrom, A.; Grimvall, A.; Krantz-Rulcker, C.; Savenhed, R.; Akerstrand, K. Drinking water off-flavour caused by 2,4,6-trichloroanisole. Water Sci. Technol. 1992, 25, 241–249. [Google Scholar] [CrossRef]
- Zhang, N.; Xu, B.; Qi, F.; Kumirska, J. The occurrence of haloanisoles as an emerging odorant in municipal tap water of typical cities in China. Water Res. 2016, 98, 242–249. [Google Scholar] [CrossRef] [PubMed]
- Malleret, L.; Bruchet, A.; Hennion, M.C. Picogram determination of “earthy-musty” odorous compounds in water using modified closed loop stripping analysis and large volume injection GC/MS. Anal. Chem. 2001, 73, 1485–1490. [Google Scholar] [CrossRef]
- Richardson, S.D.; DeMarini, D.M.; Kogevinas, M.; Fernandez, P.; Marco, E.; Lourencetti, C.; Ballesté, C.; Heederik, D.; Meliefste, K.; McKague, A.B.; et al. What’s in the pool? a comprehensive identification of disinfection by-products and assessment of mutagenicity of chlorinated and brominated swimming pool water. Environ. Health Perspect. 2010, 118, 1523–1530. [Google Scholar] [CrossRef] [PubMed] [Green Version]
- Lennard, L. Methyltransferases. In Comprehensive Toxicology, 2nd ed.; McQueen, C.A., Ed.; Elsevier: Oxford, UK, 2010; pp. 435–457. ISBN 978-0-08-046884-6. [Google Scholar]
- Zhang, K.; Luo, Z.; Zhang, T.; Mao, M.; Fu, J. Study on formation of 2,4,6-trichloroanisole by microbial O-methylation of 2,4,6-trichlorophenol in lake water. Environ. Pollut. 2016, 219, 228–234. [Google Scholar] [CrossRef] [PubMed]
- Buck, R.C.; Franklin, J.; Berger, U.; Conder, J.M.; Cousins, I.T.; De Voogt, P.; Jensen, A.A.; Kannan, K.; Mabury, S.A.; van Leeuwen, S.P.J. Perfluoroalkyl and polyfluoroalkyl substances in the environment: Terminology, classification, and origins. Integr. Environ. Assess. Manag. 2011, 7, 513–541. [Google Scholar] [CrossRef]
- USEPA. Drinking Water Health Advisory for Perfluorooctanoic Acid (PFOA); USEPA: Washington, DC, USA, 2016.
- Xiao, F.; Hanson, R.A.; Golovko, S.A.; Golovko, M.Y.; Arnold, W.A. PFOA and PFOS Are Generated from Zwitterionic and Cationic Precursor Compounds during Water Disinfection with Chlorine or Ozone. Environ. Sci. Technol. Lett. 2018, 5, 382–388. [Google Scholar] [CrossRef]
- Rożej, A.; Cydzik-Kwiatkowska, A.; Kowalska, B.; Kowalski, D. Structure and microbial diversity of biofilms on different pipe materials of a model drinking water distribution systems. World J. Microbiol. Biotechnol. 2015, 31, 37–47. [Google Scholar] [CrossRef] [Green Version]
- Bertelli, C.; Courtois, S.; Rosikiewicz, M.; Piriou, P.; Aeby, S.; Robert, S.; Loret, J.F.; Greub, G. Reduced chlorine in drinking water distribution systems impacts bacterial biodiversity in biofilms. Front. Microbiol. 2018, 9, 1–11. [Google Scholar] [CrossRef] [Green Version]
- Joannis, C.; Delia, M.L.; Riba, J.P. Comparison of four methods for quantification of biofilms in biphasic cultures. Biotechnol. Tech. 1998, 12, 777–782. [Google Scholar] [CrossRef] [Green Version]
- Péquignot, C.; Larroche, C.; Gros, J.B. A spectrophotometric method for determination of bacterial biomass in the presence of a polymer. Biotechnol. Tech. 1998, 12, 899–903. [Google Scholar] [CrossRef]
- Kim, D.; Chung, S.; Lee, S.; Choi, J. Relation of microbial biomass to counting units for Pseudomonas aeruginosa. Afr. J. Microbiol. Res. 2012, 6, 4620–4622. [Google Scholar] [CrossRef]
- Rossman, L.A.; Clark, R.M.; Grayman, W.M. Modeling Chlorine Residuals in Drinking-Water Distribution Systems. J. Environ. Eng. 1994, 120, 803–820. [Google Scholar] [CrossRef]
- Horn, H.; Reiff, H.; Morgenroth, E. Simulation of growth and detachment in biofilm systems under defined hydrodynamic conditions. Biotechnol. Bioeng. 2003, 81, 607–617. [Google Scholar] [CrossRef] [PubMed]
- Schrottenbaum, I.; Uber, J.; Ashbolt, N.; Murray, R.; Janke, R.; Szabo, J.; Boccelli, D. Simple Model of Attachment and Detachment of Pathogens in Water Distribution System Biofilms. In Proceedings of the World Environmental and Water Resources Congress 2009, Kansas City, MO, USA, 17–21 May 2009; ASCE: Reston, VA, USA, 2009; pp. 145–157. [Google Scholar]
- Eliades, D.G.; Kyriakou, M.; Vrachimis, S.G.; Polycarpou, M.M. EPANET-MATLAB Toolkit: An Open-Source Software for Interfacing EPANET with MATLAB. In Proceedings of the Computing and Control for the Water Industry CCWI 2016, Amsterdam, The Netherlands, 7–9 November 2016; pp. 1–8. [Google Scholar]
- Prévost, M.; Rompré, A.; Coallier, J.; Servais, P.; Laurent, P.; Clément, B.; Lafrance, P. Suspended bacterial biomass and activity in full-scale drinking water distribution systems: Impact of water treatment. Water Res. 1998, 32, 1393–1406. [Google Scholar] [CrossRef]
- Vasconcelos, J.J.; Rossman, L.A.; Grayman, W.M.; Boulos, P.F.; Clark, R.M. Kinetics of chlorine decay. J. Am. Water Work. Assoc. 1997, 89, 54–65. [Google Scholar] [CrossRef]
- Prest, E.I.; Hammes, F.; van Loosdrecht, M.C.M.; Vrouwenvelder, J.S. Biological stability of drinking water: Controlling factors, methods, and challenges. Front. Microbiol. 2016, 7, 1–24. [Google Scholar] [CrossRef]
- Zhang, K.; Cao, C.; Zhou, X.; Zheng, F.; Sun, Y.; Cai, Z.; Fu, J. Pilot investigation on formation of 2,4,6-trichloroanisole via microbial O-methylation of 2,4,6-trichlorophenol in drinking water distribution system: An insight into microbial mechanism. Water Res. 2018, 131, 11–21. [Google Scholar] [CrossRef]
- Backe, W.J.; Day, T.C.; Field, J.A. Zwitterionic, cationic, and anionic fluorinated chemicals in aqueous film forming foam formulations and groundwater from U.S. military bases by nonaqueous large-volume injection HPLC-MS/MS. Environ. Sci. Technol. 2013, 47, 5226–5234. [Google Scholar] [CrossRef]
- Barzen-Hanson, K.A.; Roberts, S.C.; Choyke, S.; Oetjen, K.; McAlees, A.; Riddell, N.; McCrindle, R.; Ferguson, P.L.; Higgins, C.P.; Field, J.A. Discovery of 40 Classes of Per- and Polyfluoroalkyl Substances in Historical Aqueous Film-Forming Foams (AFFFs) and AFFF-Impacted Groundwater. Environ. Sci. Technol. 2017, 51, 2047–2057. [Google Scholar] [CrossRef]
- Boiteux, V.; Dauchy, X.; Bach, C.; Colin, A.; Hemard, J.; Sagres, V.; Rosin, C.; Munoz, J.F. Concentrations and patterns of perfluoroalkyl and polyfluoroalkyl substances in a river and three drinking water treatment plants near and far from a major production source. Sci. Total Environ. 2017, 583, 393–400. [Google Scholar] [CrossRef]
- Evans, S.; Andrews, D.; Stoiber, T.; Naidenko, O. PFAS Contamination of Drinking Water Far More Prevalent than Previously Reported—New Detections of ‘Forever Chemicals’ in New York, D.C., Other Major Cities. Available online: https://www.ewg.org/research/national-pfas-testing/ (accessed on 26 March 2021).
- USEPA. National Primary Drinking Water Guidelines. Available online: https://www.epa.gov/sites/production/files/2016-06/documents/npwdr_complete_table.pdf (accessed on 22 February 2021).
- Abhijith, G.R.; Ostfeld, A. Examining the Longitudinal Dispersion of Solutes Inside Water Distribution Systems. J. Water Resour. Plan. Manag. 2022, 148, 04022022. [Google Scholar] [CrossRef]
- Kiene, L.; Lu, W.; Levi, Y. Relative importance of the phenomena responsible for chlorine decay in drinking water distribution systems. Water Sci. Technol. 1998, 38, 219–227. [Google Scholar]
- Camper, A.K. Factors Limiting Microbial Growth in Distribution Systems: Laboratory and Pilot-Scale Experiments; AWWA Research Foundation and AWWA: Denver, CO, USA, 1996; ISBN 1583210512. [Google Scholar]
- Billen, G.; Servais, P.; Ventresque, C. Functioning of biological filters used in drinking-water treatment—The Chabrol model. J. Water Supply Res. Technol. 1992, 41, 231–241. [Google Scholar]
- Clark, R.M. Chlorine demand and TTHM formation kinetics: A second-order model. J. Environ. Eng. 1998, 124, 16–24. [Google Scholar] [CrossRef]








| S. No. | Notation | EPANET-C Module Title | Reacting Constituents |
|---|---|---|---|
| 1 | 1 | Microbial regrowth model | Chlorine, planktonic bacteria, biofilm bacteria, TOC, and BDOC |
| 2 | 2 | Trihalomethanes formation model | Chlorine, TOC, and THMs |
| 3 | 3 | 2,4,6-trichloroanisole formation model | Chlorine, planktonic bacteria, TOC, BDOC, 2,4,6-TCP, and 2,4,6-TCA |
| 4 | 4 | PFOA formation model | Chlorine, TOC, PFOAB, PFOAAmS, and PFOA |
| 5 | 12 | Microbial regrowth and trihalomethanes formation model | Chlorine, planktonic bacteria, biofilm bacteria, TOC, BDOC, and THMs |
| 6 | 13 | Microbial regrowth and 2,4,6-trichloroanisole formation model | Chlorine, planktonic bacteria, biofilm bacteria, TOC, BDOC, 2,4,6-TCP, and 2,4,6-TCA |
| 7 | 14 | Microbial regrowth and PFOA formation model | Chlorine, planktonic bacteria, biofilm bacteria, TOC, BDOC, PFOAB, PFOAAmS, and PFOA |
| 8 | 23 | Trihalomethanes and 2,4,6-trichloroanisole formation model | Chlorine, planktonic bacteria, TOC, BDOC, THMs, 2,4,6-TCP, and 2,4,6-TCA |
| 9 | 24 | Trihalomethanes and PFOA formation model | Chlorine, TOC, THMs, PFOAB, PFOAAmS, and PFOA |
| 10 | 34 | 2,4,6-trichloroanisole and PFOA formation model | Chlorine, planktonic bacteria, TOC, BDOC, 2,4,6-TCP, 2,4,6-TCA, PFOAB, PFOAAmS, and PFOA |
| 11 | 123 | Microbial regrowth, trihalomethanes formation, and 2,4,6-trichloroanisole formation model | Chlorine, planktonic bacteria, biofilm bacteria, TOC, BDOC, THMs, 2,4,6-TCP, and 2,4,6-TCA |
| 12 | 124 | Microbial regrowth, trihalomethanes formation, and PFOA formation model | Chlorine, planktonic bacteria, biofilm bacteria, TOC, BDOC, THMs, PFOAB, PFOAAmS, and PFOA |
| 13 | 134 | Microbial regrowth, 2,4,6-trichloroanisole formation, and PFOA formation model | Chlorine, planktonic bacteria, biofilm bacteria, TOC, BDOC, 2,4,6-TCP, 2,4,6-TCA, PFOAB, PFOAAmS, and PFOA |
| 14 | 234 | Trihalomethanes formation, 2,4,6-trichloroanisole formation, and PFOA formation model | Chlorine, planktonic bacteria, TOC, BDOC, THMs, 2,4,6-TCP, 2,4,6-TCA, PFOAB, PFOAAmS, and PFOA |
| 15 | 1234 | Microbial regrowth, trihalomethanes formation, 2,4,6-trichloroanisole formation, and PFOA formation model | Chlorine, planktonic bacteria, biofilm bacteria, TOC, BDOC, THMs, 2,4,6-TCP, 2,4,6-TCA, PFOAB, PFOAAmS, and PFOA |
| S. No | Input | Options | Default Value |
|---|---|---|---|
| 1 | Area units | m2 cm2 ft2 | m2 ft2 |
| 2 | Rate units | s min h day | day |
| 3 | Numerical integration method | Standard Euler integrator Runge–Kutta 5th order integrator 2nd order Rosenbrock integrator | Standard Euler integrator |
| 4 | Simulation time step | - | 300 s |
| 5 | Absolute tolerance | - | 0.01 |
| 6 | Relative tolerance | - | 0.001 |
| 7 | Coupling | Full None | None |
| 8 | Compiler | None Visual C++ MinGW/Gnu C++ | None |
| Parameter | Unit | Value(s) Used | Reference | ||
|---|---|---|---|---|---|
| Test Network 1 | Test Network 2 | ||||
| River | Lake | Reservoir 129 | |||
| Temperature | °C | 25 | 25 | 25 | USEPA [69] |
| pH | - | 7.2 | 7.2 | 7.2 | |
| Residual chlorine | mg/L | 0.5, 1 | 0.49 | - | |
| TOC | mg/L | 0.56 | 3.55 | 1 | Vasconcelos et al. [62] |
| BDOC/TOC | - | 0.1 | 0.05 | 0.05 | Prest et al. [63] |
| Planktonic bacterial colony count | CFU/mL | 10−3 | 10−4 | 10−4 | |
| THMs | µg/L | 20 | 20 | - | |
| 2,4,6-TCP | ng/L | 10 | 20 | 10 | Zhang et al. [64] |
| 2,4,6-TCA | ng/L | - | - | - | |
| PFOAB | ng/L | 60 | 60 | 60 | Boiteux et al. [67]; Evans et al. [68] |
| PFOAAmS | ng/L | 60 | 60 | 60 | |
| PFOA | ng/L | 3 | 3 | - | Abhijith and Ostfeld [24] |
Publisher’s Note: MDPI stays neutral with regard to jurisdictional claims in published maps and institutional affiliations. |
© 2022 by the authors. Licensee MDPI, Basel, Switzerland. This article is an open access article distributed under the terms and conditions of the Creative Commons Attribution (CC BY) license (https://creativecommons.org/licenses/by/4.0/).
Share and Cite
Abhijith, G.R.; Ostfeld, A. Contaminant Fate and Transport Modeling in Distribution Systems: EPANET-C. Water 2022, 14, 1665. https://doi.org/10.3390/w14101665
Abhijith GR, Ostfeld A. Contaminant Fate and Transport Modeling in Distribution Systems: EPANET-C. Water. 2022; 14(10):1665. https://doi.org/10.3390/w14101665
Chicago/Turabian StyleAbhijith, Gopinathan R., and Avi Ostfeld. 2022. "Contaminant Fate and Transport Modeling in Distribution Systems: EPANET-C" Water 14, no. 10: 1665. https://doi.org/10.3390/w14101665
APA StyleAbhijith, G. R., & Ostfeld, A. (2022). Contaminant Fate and Transport Modeling in Distribution Systems: EPANET-C. Water, 14(10), 1665. https://doi.org/10.3390/w14101665

