Abstract
Wastewater treatment plants (WWTPs) are facing challenges concerning the service’s effectiveness and reliability, as well as the efficiency and sustainability of resource utilization, where energy represents one of the higher costs in activated sludge (AS) treatment. This paper presents the latest developments in the new energy performance indices (PXs) we have been developing for benchmarking, i.e., assessing and improving the performance of this widely used treatment. PXs compare the energy consumption with the energy requirements for the carbon and nitrogen removals needed for the plant’s compliance with the discharge consents (the closer they are, the better the performance). PXs are computed by applying to the state variables a performance function that is defined by the reference values for excellent, acceptable, and unsatisfactory performance. This paper shows the rationale for selecting the state variables for the AS energy performance and the comprehensive derivation of the equations to determine the reference values for energy consumption, which incorporate the effect of key parameters (flows, concentrations, and operating conditions). Reference values for the operating conditions affecting the energy performance are also proposed. A sensitivity analysis identified the key parameters for improving the aeration performance: α, F, and SOTE for air diffusers, and α and N0 for mechanical aerators. Fourteen Portuguese urban WWTPs (very diverse in size and inflows) were analyzed, and aeration (0.08–1.03 kWh/m3) represented 25–80% of total energy consumption (0.23–1.30 kWh/m3). The reference values for excellent performance were 0.23–0.39 kWh/m3 (P25–P75) for AS systems with air diffusers and 0.33–0.80 kWh/m3 for those with mechanical aerators. A comprehensive application in one WWTP (16–18 d solids retention time) showed the system’s ability at identifying which operating conditions to adjust (to F/M ratio lower than 0.09 d−1 and decreasing aeration during the low season) to improve the energy performance/savings while maintaining the treatment’s effectiveness and reliability.
1. Introduction
Wastewater services are currently facing challenges concerning the services’ effectiveness and reliability, as well as the efficiency and sustainability of resource utilization. Additionally, consumers’ demands on the quality of the service provided by the water utilities and their awareness of the importance of assuring the sustainable management of public water resources are increasing. Decarbonization and affordable prices for equitable access to safe and sustainable sanitation are among the top priorities. Wastewater treatment plants (WWTPs) are key elements of wastewater services, and energy usually represents the second largest part of the running costs of a WWTP [1,2,3,4,5].
The energy consumption in WWTPs depends on (i) treatment processes [6,7,8,9,10] and plant fingerprints, (ii) mass removed [11,12,13] and treated wastewater quality requirements (e.g., carbon or carbon and nutrients control, filtration, and disinfection), (iii) treated wastewater volume [6,10,11,12,13,14,15,16,17,18,19] and the percent of facility design capacity at which a plant is operating [10,17,20,21], (iv) operation and maintenance practices [22,23,24], and (v) plant aging [25,26].
Generally, aeration and pumping are the major energy uses in wastewater treatment [6,12,22,27,28]. For instance, in urban WWTPs with activated sludge (AS) systems, aeration may be responsible for 25% to 60% of the total energy consumption depending on the treatment type and season [2,9,23,29,30,31,32,33]. It is therefore crucial to develop guidance and strategies to increase the energy efficiency of the currently most widely used AS variants [2,6,10], as well as new AS variants developments [34].
According to ISO 50001:2011, energy performance is defined by measurable results related to energy efficiency, energy use (manner or kind of application of energy) and energy consumption, with the latter expressing the quantity of energy.
Yang et al. [16], Balmer and Hellström [35], and Foladori et al. [36] developed a framework of energy-performance indicators (PIs) of WWTPs, and the former also proposed benchmarks for influent flow pumping, aeration, and sludge processing.
We have also been developing a system integrating performance indicators (PIs) and performance indices (PXs) and the corresponding reference values [37]. The PIs address the overall performance of the plant, on an annual basis [5], and the PXs address the daily operational performance in terms of the treated water quality [38], the removal efficiency [39], and the operating conditions of each treatment step. Regarding the energy performance, the system integrates the PIs of unit energy consumption, production, net consumption, and costs of the whole plant [10,40], whereas the PXs address the energy consumption in each treatment step. The integrated use of PIs and PXs allows one to identify “why”, “where”, and “when” unsatisfactory, acceptable, good, and excellent performances were obtained. Actions for improving the energy performance may then be proposed. For both metrics, the reference values for judging the performance are the key elements for the assessment.
This paper presents the latest developments in the new metrics for benchmarking the energy performance of activated sludge systems, that is, the energy PXs, and the associated state variables and reference values. A comprehensive derivation of the equations proposed for determining the reference values considering the aspects affecting the energy consumption (e.g., pumping head, concentrations, detention time, and other operating conditions regularly monitored by the water utilities) is presented. A sensitivity analysis was conducted to identify the key parameters for the improvement measures in aeration, the major energy use in AS treatment. The PX system was applied to 14 activated sludge WWTPs in the scope of a iEQTA—Portuguese Initiative on Water Quality, Treatment, and Energy, and the aggregated results are presented. Its comprehensive application in one WWTP is also shown to illustrate the PX system’s ability for assessing and improving the WWTP energy performance.
2. Performance Indices of Energy Efficiency and Related Operating Conditions
2.1. The General Framework Developed
The indices are obtained by applying a processing rule (performance function) that converts state-variable data, expressing the operational performance assessment aspects of the plant, into dimensionless performance indices. The developed PXs vary between 0 and 300, where PX 100 corresponds to the minimum acceptable performance and PX 300 to the excellent performance. This scale defines three performance levels: unsatisfactory performance in the [0, 100] range, acceptable in the [100, 200] range, and good performance in the [200, 300] range [38,39].
The performance functions are state-variable-specific and can be (Figure 1): (i) decreasing functions (type 1), e.g., for energy consumption; (ii) increasing functions (type 2), e.g., for removal efficiencies; or (iii) functions where good and excellent performance indices correspond to a range of values (type 3), mostly used for operating conditions, e.g., for hydraulic loading and detention time. To define the performance function, reference values are required for each level, namely, R0, R100, R200, and R300.
Figure 1.
The types of performance functions to assess the operational performance of WWTPs.
The reference values are mostly based on legislation and literature values. For example, for type 3 performance functions: (i) minimum acceptable performance is limited between R100 min and R100 max and is based on the recommended literature range; (ii) performance is null (R0) when it exceeds 25% tolerance (or other, customized) over the lower and the upper limits of the recommended range; and (iii) good performance (R200 min; R200 max) is based on a technical-economic balance, obtained from the literature (a broader range for R100 and a narrower range for R200) and/or using a general criterion of cost-effectiveness illustrated in Figure 1:
- The R200 range is on the upper side of the R100 range if the higher the state variable, the lower the cost associated (type 3a, Figure 1), e.g., for hydraulic loading; half of the broader range, (R100 min + R100 max)/2, is considered R200 min, and R200 max is obtained by applying a margin of tolerance to R100 max;
- The R200 range is on the lower side of R100 range if the lower the state variable, the lower the cost associated (type 3b, Figure 1), e.g., for detention time; half of the broader range, (R100 min + R100 max)/2, is considered R200 max, and R200 min is obtained by applying a margin of tolerance to R100 min.
R300 depends on the specific operating conditions of each treatment facility. Thus, a WWTP wishing to extend these indices to the 200–300 range (good–excellent performance) must determine the optimal conditions of each treatment step, which represent the best balance between effectiveness (achievement of the target) and efficiency (minimum resource consumption).
For energy-performance indices, the reference values are often obtained through equations to incorporate the effect of key parameters, namely, inflow quantity and characteristics, pumping head, and operating conditions. Thus, the methodology herein proposed addresses the rational selection of energy state variables and the comprehensive derivation of the equations used to determine the reference values.
2.2. State-Variables Selected for Energy Performance of AS Systems
Figure 2 shows the portfolio of the state variables of energy performance proposed for AS systems taking into account the different uses of energy in the biological treatment and the operating conditions influencing the energy consumption.
Figure 2.
The state variables selected for assessing the energy performance of AS systems.
In activated sludge systems, energy is consumed for aeration and mixing, recirculation, and sludge wasting.
For unit energy consumption indices, a type 1 performance function is used, i.e., the higher the consumption, the lower the performance (Figure 1). A minimum energy consumption is needed for each use, but this is indirectly assessed by the complementary indices of the operating conditions, e.g., of the recirculation ratio, using type 3 functions. The equipment efficiency is not directly assessed, but the reference values of energy PXs take the typical efficiencies into consideration. Thus, the integrated analysis of energy PXs and operating conditions indices allows one to identify opportunities for improvement in daily operations or in equipment inefficiencies.
Unit energy consumption, Ev, expressed in Wh/m3 of treated wastewater, is the key state-variable in each use and is given by Equation (1):
where
- P = power (W);
- Q = treated wastewater flowrate (m3/h).
2.3. Reference Values Derived for the State Variables of AS Energy Performance
2.3.1. Aeration and Mixing
The reference values of unit energy consumption for aeration and mixing and for the complementary state-variables were comprehensively derived.
The unit energy consumption for aeration (EV O2) is calculated based on the oxygen requirements for the biodegradation of carbonaceous material (RO2, Equation (2)) and on the oxygen transferred under field conditions (N). When nitrification is to take place, the oxygen requirements include the oxygen required for oxidizing ammonia and nitrite to nitrate [41,42], as expressed in Equation (2):
where
RO2 = Q (S0 − S) − 1.42 PX,bio + 4.57 Q (NOx) − 2.86 Q (NOx − NO3out)
- RO2 = total oxygen required (g O2/h);
- S0, S = influent and effluent soluble BODL, ultimate carbonaceous BOD (mg O2/L);
- BOD = biochemical oxygen demand;
- 1.42 = stoichiometric ratio (g O2/g VSS);
- VSS = volatile suspended solids (mg/L);
- PX,bio = biomass as volatile suspended solids (g VSS/h):PX,bio = PX,VSS − nbVSS Q
- PX,VSS = the net waste activated sludge produced each day (g VSS/h):PX,VSS = VX/24θc
- V = reactor volume (m3);
- X = mixed-liquor VSS (mg/L);
- = solids retention time (d);
- nbVSS = nonbiodegradable VSS in influent (mg/L);
- 4.33 and 2.86 = stoichiometric ratios (g O2/g N);
- NOx = amount of NO3-N produced from the nitrification of NH4-N (mg N/L):NOx = Ntin − NH4out − 0.12 PXbio/Q
- Ntin = influent N concentration (mg N/L);
- NH4out = effluent ammonia concentration (mg N/L);
- 0.12 = stoichiometric ratio (g N/g VSS);
- NO3out = effluent nitrate concentration (mg N/L).
By disregarding the oxygen fractions related to the (low) allowable BOD in the WWTP discharge (an assumption that overestimates the oxygen requirements), considering S0 = 1.6 BOD5 (the concentration of total 5-d biochemical oxygen demand influent to the reactor, in mg/L), and substituting Equations (3), (4) and (5) in Equation (2), one obtains:
RO2 = Q 1.6 BOD5 + 1.71 Q (Ntin − NH4out) + 2.86 Q NO3out −1.625 (VX/24θc − nvVSS Q)
Dividing RO2 (g O2/h, Equation (6)) by the oxygen transferred under field conditions (N, kg O2/(kWh)) yields P (W), which is substituted in Equation (1) to obtain the unit energy consumption for aeration (EvO2, Wh/m3):
where
- θ = hydraulic detention time in aeration tank (h);θ = V/Q
For mechanical aerators, N may be computed from [40]:
where
- Nm = N for mechanical aerators (kg O2/(kWh));
- N0 = oxygen transferred to water at 20ºC and zero-dissolved oxygen (kg O2/(kWh)), an equipment-specific value;
- β = salinity-surface tension correction factor (typically 0.9-0.99 [9]);
- α = oxygen transfer correction factor for water (typically 0.4-0.8 [9]);
- CL = operating oxygen concentration (mg/L);
- Cwalt = oxygen saturation concentration = CsFa;
- Cs = oxygen saturation concentration at sea level with temperature (T, °C);
- Fa = oxygen solubility correction factor for altitude (h, m) = 1
- Cs,20 = Cs at 20 °C = 9.08 mg/L [41].
For air diffusers, N is based on the power requirements of each blower (Pw, kW):
where
- Nd = N for air diffusers (kg O2/(kWh));
- AOR = actual oxygen transfer rate (under field conditions) (kg O2/h) (Equation (11) adapted from [9]);
- SOR = standard oxygen transfer rate (under standard conditions, 20 °C, 1 atm, 0 mg O2/L) (kg O2/h):
- SOR = 835.2 w SOTE
- 835.2 is the conversion factor of w units, from kg air/s to kg O2/h (0.232 (kg O2/ kg air) multiplied by 3600 (s/h));
- w = weight of air flow (kg air/s);
- SOTE = standard oxygen transfer efficiency (unitless), equipment/specific value
- F = fouling factor (typically 0.65–0.90 [41,42]);
- Pw = power requirements of each blower (kW) [42]:
- R = universal gas constant for air (8.314 J/(mol K));
- T = absolute inlet temperature (K);
- 8.199 = conversion factor (g/mol) = 28.97 n, with n = (k − 1)/k, where k is the specific heat ratio. For single-stage centrifugal blower power calculations, a value of 1.395 is used for k for dry air and n = 0.283;
- e = compressor efficiency (typically 0.7–0.9 [40,41]);
- , = absolute inlet and outlet pressure, respectively (kPa).
Substituting Equations (11)–(13) in Equation (10), results in the following (with T in °C):
To ensure a complete mix flow regime of the mixed liquor, the typical power requirements vary from 20 to 40 kW/103 m3 for mechanical aerators and, in the case of diffusors, mixing rates of 10–15 m3 air/(103 m3 water.min) are generally used [41,42].
For mechanical aerators, the unit energy requirements for mixing (Evmix m, Wh/m3) depend on the detention time (θ, h) in the aerobic zone:
where
- Mm = specific power requirements in mechanical aeration (kW/103 m3).
For diffused-air systems, the specific power requirements for mixing (Md, m3 air/(103 m3 water.min)) may be computed as:
where
- = density of air (kg/m3) = 353.07/T, with T in K.
Substituting in Equation (16) and rearranging in terms of w, one obtains:
Substituting Equation (17) in Equation (13) and considering Equation (1) yields the unit energy requirements for mixing in diffused-air systems (Evmix m, Wh/m3):
The energy for aeration must satisfy the oxygen requirements (EvO2) and must provide oxic conditions throughout the reactor, expressed by the dissolved oxygen concentration, while ensuring perfect mixing conditions. The reference values proposed in Table 1 reflect this issue: R300 is is the highest value between EvO2 and the typical minimum for Evmix; R100 is the highest value between 1.5 EvO2 (i.e., allowing a 50% tolerance) and the average value of the typical range for Evmix; and R0 is the highest value between a 100% tolerance to EvO2 and the typical maximum for Evmix. Figure 3 summarizes the stepwise procedure developed to obtain the reference values (R0 to R300) to build a performance function.
Table 1.
The reference values of energy consumption for aeration in AS systems.
Figure 3.
The stepwise procedure to obtain the reference values (R0 to R300) of the performance function of energy consumption for aeration and mixing in AS systems.
In practice, aeration is controlled by the dissolved oxygen concentration in the reactor (CL) and it is typically maintained at about 1–2 mg/L [41,42,43] or 0.5–2 mg/L [9]. The reference values shown in Table 2 were therefore established based on these ranges.
Table 2.
The reference values for the dissolved oxygen concentration in the AS reactor.
The reference values proposed for the operating conditions influencing the energy consumption in aeration and mixing, namely, the mixed-liquor suspended solids (MLSS) (Table 3), the solids retention time (Table 4), and detention time (Table 5), are based on the literature values for urban WWTPs and are AS-type specific.
Table 3.
The reference values for MLSS in AS systems.
Table 4.
The reference values for the solids retention time in AS systems.
Table 5.
The reference values for the hydraulic detention time in AS systems.
2.3.2. Anoxic and/or Anaerobic Mixing
The anoxic and/or anaerobic zones of the AS systems have no aeration but require mixing with typical power requirements of 8–13 kW/103 m3 [41,42]. Similarly to aeration (Equation (15)), the unit energy requirements for mixing depend on the detention time (θ) in the anoxic and anaerobic zone(s) (Table 6).
Table 6.
The reference values of energy consumption for mixing in the AS anoxic and anaerobic zones.
2.3.3. Recirculation
In AS systems, energy is consumed for pumping the return sludge from the secondary clarifier to the reactor. The reference values of the return sludge ratio were established based on the typical ranges (Table 7), and the performance functions are type 3b, i.e., the lower the state-variable, the lower the cost.
Table 7.
The reference values for the return sludge ratio in the AS systems.
The unit energy consumption for pumping depends on the hydraulic power (P, W):
where
- Qp = pumping flowrate (m3/h);
- ∆H = pumping head (m);
- η = pump efficiency (unitless);
- γ = specific weight of secondary sludge (N/m3);
- γ/3600 ~ 2.8, within 5–35 °C, γ for water varies in the 9800–9742 N/m3 range; this γ variation does not significantly impact the value of γ/3600, which will vary from 2.71 to 2.72 for water and will be approximately 2.8 for secondary sludge, considering its specific gravity 1.015 [41,42].
Thus, Equation (19) is simplified, and substituting it in Equation (1) results in the general equation of the unit energy consumption for pumping (Evp, Wh/m3):
For sludge recirculation, the pumping flowrate (Qp) corresponds to the return sludge flowrate (Qr, m3/h) and the return sludge pumping energy (EvR, Wh/m3) depends on the recirculation ratio, the pumping head, and the pump efficiency:
where
- R = return sludge ratio = Qr/Q (unitless)
The pumping head includes the total head losses (continuous and local) plus the geometric elevation. The reference values of energy consumption for return sludge (Table 8) are obtained by considering, in Equation (21), the reference values of R (AS-type specific) proposed in Table 7 and a pump efficiency of 50% for excellent (R300) performance, 30% for the minimum acceptable (R100) performance, and 20% for unsatisfactory performance (R0) (adapted from ERSAR reference values [49]).
Table 8.
The reference values of the energy consumption for the return sludge in the AS systems.
Most types of activated sludge systems for nitrogen and for nitrogen and phosphorus removal include internal recirculation (Ri) for anoxic and anaerobic zones [41,42,44,47]. Ri reference values were thus also proposed based on the different ranges found in the literature and taking into account the process cost-effectiveness (Table 9). The reference values of the unit energy requirements for internal recirculation (Table 10) were defined as for return sludge.
Table 9.
The reference values for the internal recirculation in AS systems.
Table 10.
The reference values of the energy consumption for the internal recirculation in AS systems.
2.3.4. Sludge Wasting
The AS systems also consume energy for sludge wasting, and the consumption is proportional to the pumping flowrate. If sludge wasting is conducted from the return sludge line and a well-clarified effluent is produced (i.e., low-effluent suspended solids), the waste sludge flowrate (Qw, m3/h)) may be given by:
Considering that, in Equation (20), Qp is Qw given by Equation (22), the sludge-wasting unit pumping energy (Evw, Wh/m3) is given by:
If the sludge wasting occurs from the return sludge line, the simplified mass balance of the aeration tank yields:
X/XR ~ 1/(1+R)
In this case, the reference values of unit energy consumption for sludge wasting (Table 11) were obtained by considering, in Equation (23), the reference values of θc and R proposed in Table 4 and Table 7, respectively, whose typical ranges are also AS-type-specific.
Table 11.
The reference values of energy consumption for the sludge wasting in the AS systems.
If sludge wasting is carried out from the aeration tank, X equals XR. Thus, Equation (23) is simplified (there is no Qw dependence on R) and the reference values change accordingly (Table 11).
3. iEQTA WWTPs Analyzed
In the scope of the national project iEQTA [50], the proposed energy PXs were computed to 14 activated sludge WWTPs with different capacities (489–54,000 m3/d) and two treatment sequences: (i) activated sludge after primary sedimentation, designed for conventional aeration (CAS); and (ii) activated sludge without primary sedimentation, designed for extended aeration (EA). The five-year (2015–2019) data of these WWTPs are presented in Silva and Rosa [51], where the plant annual reliability for biochemical oxygen demand (BOD5), chemical oxygen demand (COD), and total suspended solids (TSS) was discussed. During the energy-measurement campaigns that were carried out, the WWTPs studied were operated under the conditions summarized in Table 12.
Table 12.
The operating conditions of the 14 WWTPs studied during the energy-measurement campaigns.
4. Results and Discussion
4.1. Sensitivity Analysis of Aeration Efficiency
Typically, the oxygen transfer by air diffusers (Nd) is higher than that of mechanical aerators (Nm) and, under field conditions, it depends on many variables as expressed by Equations (14) and (9), respectively. Therefore, a sensitivity analysis was conducted to understand to what extent each parameter affects the oxygen transfer, considering the typical value for each variable except one, which was allowed to vary one at a time within its typical range.
The results of this analysis are presented in Table 13 and illustrated in Figure 4 for air diffuser systems and in Table 14 and in Figure 5 for mechanical aerators.
Table 13.
The standard oxygen-transfer variation with each parameter of the air diffusor systems.
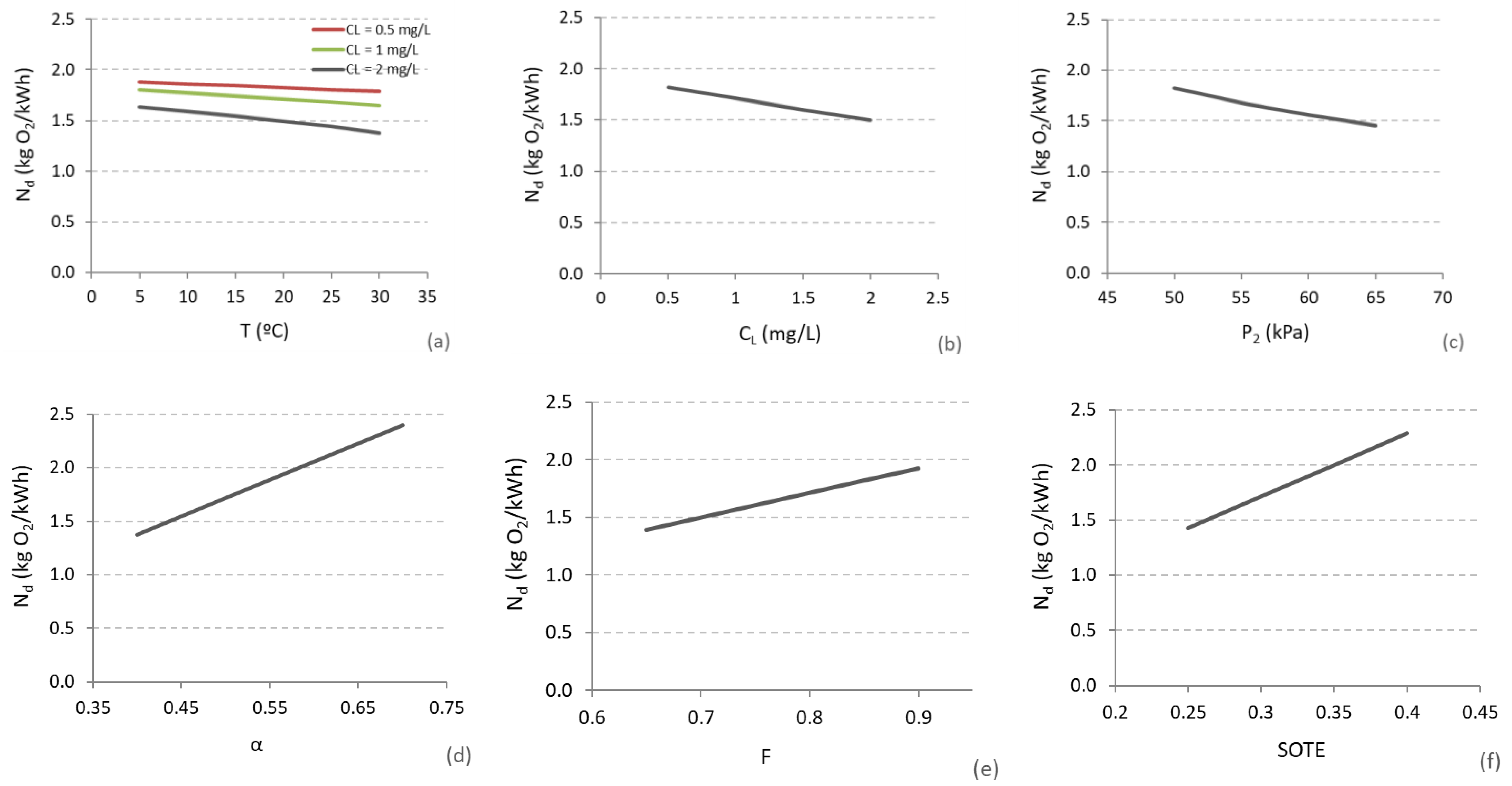
Figure 4.
Oxygen transfer by air diffuser systems vs. temperature (a), operating oxygen concentration (b), outlet pressure (c), oxygen transfer correction factor α (d), fouling factor F (e), and SOTE (f) (considering, for the other parameters, their typical values in Table 13.
Table 14.
The standard oxygen-transfer variation with each parameter of the mechanical aerators.
Figure 5.
The oxygen transfer by mechanical aerators vs. temperature (a), the operating oxygen concentration (b), the oxygen transfer correction factor α (c), and N0 (d) (considering, for the other parameters, their typical values in Table 14).
Considering the typical variation range of each variable, the largest variations of oxygen transfer by air diffusers are with α and SOTE, namely, a 71% increase in Nd when α increases from 0.4 to 0.7 and a 64% increase in Nd when SOTE increases from 0.25 to 0.4 (Figure 4). When F increases from 0.65 to 0.9, i.e., when the fouling decreases, Nd increases 36% (Figure 4). For mechanical aerators, the oxygen transfer mainly varies with α and N0, namely, Nm increases 76% when α increases from 0.4 to 0.7 and Nm increases 91% when N0 increases from 1.1 to 2.1 kg O2/(kWh) (Figure 5).
Rosso et al. [52] also identified the α-value as the most important parameter affecting the oxygen transferred under field conditions by mechanical aerators or air diffusors; however, it is the most uncertain and difficult-to-establish parameter, influenced by the influent water characteristics, the type of aerators, the operating conditions, and the N-removal conditions (α improvement with nitrification).
The parameters with a lower impact on Nd and Nm are β (Table 13 and Table 14) and temperature (Figure 4a and Figure 5a). Drewnowski et al. [53] also found that the influence of the temperature on the oxygen transfer rate is virtually unnoticeable since, on the one hand, the oxygen solubility drops as the temperature increases, while, on the other hand, it raises the diffusion rate. Our results show that for air diffusers, Nd slightly decreases with temperature in the 5–30 °C range, namely, from 1.8 to 1.6 kg O2/(kWh) for CL = 1 mg/L (Figure 4a). For mechanical aerators, the temperature effect on Nm is even lower and depends on CL, with a turning point at 1 mg/L. In the 5–30 °C range, for CL = 1 mg/L, Nm does not vary with temperature; above 1 mg/L it slightly increases (e.g., 3% for 0.5 mg/L), and below 1 mg/L it slightly decreases (e.g., 7% for 2 mg/L) (Table 14, Figure 5a).
This sensitivity analysis produced a further insight by identifying the key variables for the energy performance and by quantifying their expected impact, thereby assisting the decision-making of the improvement measures. These include (i) for air diffusers, the increase of SOTE (transfer efficiency), for instance, by air flux rate (m3/(h.m2)) reduction (e.g., by increasing the diffuser diameter or the number of diffusors), blower system retrofitting to modulate the air flow (e.g., introducing adjustable-frequency drives (AFDs) or most-open-valve (MOV) logic to minimize the system pressure), or diffuser-type replacement [9]; (ii) the cleaning of the diffusers, which decreases the fouling (increasing F) [52]; (iii) for mechanical aerators, the increase of N0 by equipment replacement; (iv) for both aerator types, the increase of the α-value by a solids retention time increase or by including an anoxic selector, both increasing the water quality [52]; and (v) the adjustment of the dissolved oxygen set point (CL decrease) [52].
4.2. Energy Performance of iEQTA WWTPs
In the scope of the national project iEQTA, the proposed energy PXs were applied to 14 WWTPs. Field campaigns were conducted for measuring the energy consumption in aeration, recirculation, and sludge-waste pumping. The aggregated results are presented in Figure 6, Figure 7 and Figure 8. The results of a single WWTP are presented in 4.3 and discussed in terms of energy-performance diagnosis and improvement measures.
Figure 6.
The energy consumption in the iEQTA WWTPs (a) and in aeration (b,c), the computed reference values (c), and the performance indices for aeration (d).
Figure 7.
The energy consumption for aeration vs. influent BOD5 in the iEQTA WWTPs with BOD5 reliability lower and higher than 0.9 (daily values from the energy-measurement campaigns).
Figure 8.
The energy consumption for recirculation in the iEQTA WWTPs (% (a) and Wh/m3 (b)), the computed reference values (b), the performance indices (c), and the pumps efficiency (d).
The overall energy consumption in these WWTPs varied from 0.23 to 1.30 kWh/m3 (median 0.70 kWh/m3) (Figure 6a). Aeration was the major energy consumer, 83–1031 Wh/m3 (measured values; Figure 6c), representing 25–80% of the total energy consumption (median 51%) (Figure 6b), values that are consistent with other studies [2,9,23,29,30,31,32,33]. Foladori et al. [36] studied five small WWTPs, and the aeration varied from 68 Wh/m3 to 799 Wh/m3, with the lower consumption in the WWTP with intermittent aeration and the higher consumption in the WWTP with 4 mg/L of CL. The reference values computed for these 14 WWTPs were in the 25–75 percentile range (P25–P75) of 244–618 Wh/m3 with a median of 373 Wh/m3 for excellent performance (R300), and 366–926 Wh/m3 (P25–P75) and 560 Wh/m3 (median) for acceptable performance (R100) (Figure 6c). Clustering these results per type of aerator, the reference values for excellent performance are, for air diffusers, 232–385 Wh/m3 (P25–P75), with a median of 324 Wh/m3, and, for mechanical aerators, 325–800 Wh/m3 (P25–P75), with a median of 560 Wh/m3. These values highlight the fact that air diffusers are more energy-efficient than mechanical aerators, in the analyzed conditions (Table 12). Figure 6d shows the majority of WWTPs analyzed, with air diffusers or mechanical aerators, presented excellent-acceptable performance (PX median 300).
However, some WWTPs presenting good energy performance failed to supply the energy required, which compromised the effectiveness and the reliability of the plant. Figure 7 shows, on the one hand, the higher the influent BOD5, the higher the energy consumption (with no linear correlation). On the other hand, it shows that plants operating with BOD5 reliability above 0.9 (the minimum reliability needed to comply with EU directive discharge requirements [51]) presented higher energy consumption for aeration than the less reliable WWTPs, which were earlier found to be the CAS WWTPs [51]. Moreover, the type of aerator should be also considered in this analysis since air diffusers (labelled as ‘d’ in Figure 7) are more efficient than the mechanical aerators (‘m’ in Figure 7). Namely, for high strength influent (450–480 mg/L BOD5in), CAS treatment with air diffusors (WWTP G) is more energy efficient than EA treatment with air diffusors (WWTP N), and this is more efficient than with mechanical aerators (WWTP K). In turn, for medium-high strength influent, a similar energy consumption allowed >0.9 reliable BOD5 treatment of a higher influent BOD5 concentration by air diffusors compared to mechanical aerators, namely, (i) 366 Wh/m3 for 324 mg/L with air diffusors (i.e., 1.13 kWh/kg BOD5, WWTP P) vs. 381 Wh/m3 for 271 mg/L with mechanical aerators (1.41 kWh/kg BOD5, WWTP O), both with a strong textile effluent input, and (ii) 258 Wh/m3 for 390 mg/L with air diffusors (i.e., 0.66 kWh/kg BOD5, WWTP M) vs. 270 Wh/m3 for 368 mg/L with mechanical aerators (0.73 kWh/kg BOD5, WWTP H), both with a typical urban inflow. All seven of the abovementioned plants presented significant nitrogen removal (Table 12). No effect was found of the treated volume on the unit energy consumption in aeration.
In 10 WWTPs, sludge recirculation represented a median 6.8% (34 Wh/m3) of the total energy consumed in the WWTP and varied within 1–15% (min-max; Figure 8a) and 9–192 Wh/m3 (measured values; Figure 8b). In the five WWTPs studied by Foladori et al. [36], energy for recirculation varied from 30 Wh/m3 to 226 Wh/m3.
The reference values computed for seven of these WWTPs (with available data of pumping head) yielded a P25–P75 range of 7.8–14 Wh/m3, with a median of 11.2 Wh/m3 for excellent performance (R300), and of 52–94 Wh/m3 (P25–P75) and 75 Wh/m3 (median) for acceptable performance (Figure 8b). The WWTPs analyzed presented acceptable to good performance (PX median 266, Figure 8c) and a pump efficiency of 53% (median, Figure 8d).
Sludge wasting represented a minor parcel (0.4% median) of total energy consumption in the 7 WWTPs with available data and corresponded to less than 11 Wh/m3 (2.7 Wh/m3 median). The sludge wasting in the five WWTPs studied by Foladori et al. [36] varied from 2 Wh/m3 to 17 Wh/m3.
The reference values determined in the 5 WWTPs with the available data of the pumping head were 0.36–2.6 Wh/m3 for R300 and 1.8–24 Wh/m3 for acceptable performance (R100). Even with a lower impact, the performance for this energy consumption was good (PX median 220).
4.3. Energy Performance Diagnosis and Improvement Measures for the WWTP K
This section illustrates the application of the energy PXs for diagnosing the performance and identifying improvement measures in WWTP K. This WWTP has an extended aeration treatment using mechanical aerators for carbon and nutrients’ control; a 15,000 m3/d capacity; and was operated, on average, at 81% of its capacity (Table 12). 1.8-year data (March 2018–December 2019) were used. During this period, WWTP K operated with the following:
- Influent wastewater: 172–495 mg/L BOD5 (median 341 mg/L, P25–P75 292–382 mg/L), 245–1611 mg/L COD (median 971 mg/L, P25–P75 769–1125 mg/L), 103–545 mg/L TSS (median 327 mg/L, P25–P75 270–382 mg/L), and 31–90 mg/L N-total (median 59 mg/L, P25–P75 49–66 mg/L);
- Operating conditions: 2930–5380 mg/L MLSS (median 4140 mg/L, P25–P75 3875–4505 mg/L), 17.3–52.3 h θ (median 28.9 h, P25–P75 24.8–35.8 h), 16–18 d θc (median 16.8 d, P25–P75 16.5–17.2 d), and 0.04–0.13 d−1 F/M (median 0.08 d−1, P25–P75 0.07–0.10 d−1);
- Reliability: 0.99–1.00 for BOD5, 0.98–0.97 for COD, 0.94–0.93 for TSS, and 0.95–0.90 for N–total, i.e., always above 0.9 for all parameters, the cut–off for the compliance [51].
The 1.8-year field data showed aeration was the major use of energy in the WWTP, representing 51–64% (P25-P75) of the total energy consumption. In aeration, as explained in Section 2.3.1, energy performance depends, in addition to the equipment efficiency (aerators), on the difference between the oxygen supplied and the oxygen required (Equation (6)), which is a function of the influent load of organic matter and ammonia and of the biomass wasted. Unlike the influent loads, which are hardly or not at all controlled, the biomass wasted is imposed/adjusted by the WWTP utility and allows one to vary the MLSS and the solids retention time in the activated sludge reactor.
The detention time exhibited unsatisfactory performance (Figure 9a) due to excessive detention times (above 36 h, Table 5), particularly during the dry summer months, because the WWTP serves a combined sewer (urban and stormwater) system and the industries are closed during some summer days. The PXs computed for MLSS showed a good performance (Figure 9b), and those of solids retention time showed unsatisfactory performance (Figure 9c), corresponding to θc below the minimum acceptable for extended aeration, i.e., 16–18 d vs. 20–40 d, typically. Nevertheless, 16–18 d are in the nitrification range, which provides the conditions for high-water quality and subsequently a high α-value, one of the two variables with the highest positive impact on energy consumption. Actually, these retention times corresponded to good–excellent performance of the treated wastewater quality and to >0.90 reliability for BOD5, COD, TSS, and N-total.
Figure 9.
The performance indices of detention time (a), MLSS (b), and solids retention time (c), in the AS reactor of WWTP K.
The reference values derived for aeration accounted for these conditions and their daily variation (Figure 10), and the results obtained during this 1.8-year period varied (i) for excellent performance (R300), from 37 Wh/m3 to 615 Wh/m3 (the upper limit of the light green zone in Figure 10); (ii) for good performance, from 376 Wh/m3 to 1220 Wh/m3 (the upper limit of the green zone); and (iii) for the minimum acceptable performance, from 603 Wh/m3 to 2087 Wh/m3 (the upper limit of the yellow zone). The reference values for acceptable performance (R100) also consider the energy required for mixing, which depends on the detention time, as explained in Table 1.
Figure 10.
The reference values for energy consumption in aeration over the 1.8-year period analyzed in WWTP K.
The reference values for excellent performance (R300) showed a linear relation with F/M ratio; the higher the F/M, the higher the oxygen requirements (Figure 11). Using the k-means method for the clustering analysis of the relation between R300 and F/M (with standardized values since R300 and F/M scales were very different), the turning point of F/M identified was 0.09 d−1. The ANOVA p-value and the homogeneity of variance of the two clusters of F/M were computed— the p-value was 6.2E−13 (<0.05) and the F values < F critical values—and the statistical differences were verified. Thus, if the water utility decreases the F/M from 0.11 d−1 to 0.07 d−1, the energy requirement will decrease from 416 Wh/m3 to 252 Wh/m3, which, considering the average treated wastewater of 12,312 m3/d, represents a potential saving of 2019 kWh/d or 505 kg CO2e/d of indirect carbon emission, using the Portuguese energy emission factor of 2019 (0.25 kg CO2e/(kWh)). The F/M ratio is therefore a key variable of energy performance that is easy to monitor and control.
Figure 11.
The reference values for R300 vs. F/M ratio in WWTP K (θc within 16–18 days).
By analyzing the aeration energy index throughout the 1.8-year WWTP operation, the performance varies between good and excellent (Figure 12a), associated with energy consumption varying from 164 Wh/m3 in the winter months to 560 Wh/m3 in the summer months. Nevertheless, it may be further improved during the summer, when the detention time increases due to lower influent flowrates (low season, Figure 12a) and the reactor is being over-aerated. The gains from better adjusting the energy consumed to the energy required, i.e., levering all days to energy PX 300, translate into a potential energy savings of, on average, 141 Wh/m3. Yu et al. [54], using Bayesian semi-parametric quantile regression, identified the temperature and the total nitrogen-rich wastewater as the factors associated with the higher level of energy consumption.
Figure 12.
The performance indices of energy for aeration and temperature (a), and the performance indices of the return sludge and of the associated unit energy (b), over the period analyzed in WWTP K.
The return sludge was responsible for 3.1% of the total energy consumption in WWTP K. As explained in Section 2.3.3, the reference values for energy consumption in recirculation are based on the typical return sludge ratio (0.5–2 for extended aeration; Table 7) and on the pump recirculation efficiency, which was 55%. The indices of energy consumption in recirculation vs. return sludge flowrate demonstrate that the energy performance decreased when the return sludge ratio exceeded the typical values, during the summer months (Figure 12b). In this period conditions, if one decreases the return sludge ratio from above 2 to 1.5, the energy needed will decrease from >40 Wh/m3 to 30 Wh/m3.
This assessment allowed for the identification of energy improvement measures in the WWTP daily operation or in equipment inefficiencies, namely,
- Decreasing the F/M range from 0.04–0.13 d−1 to 0.04–0.09 d−1, to decrease the energy requirements;
- Better adjusting (decreasing) aeration during the summer period when the flowrate decreases, to avoid excessive aeration and better modulate the energy consumed to the energy required; this could be done by submergence adjustment, speed adjustment, and on-off operation [9];
- Reducing the return sludge ratio in the summer period (e.g., from above 2 to 1.5);
- Further studying the feasibility and benefits of reducing the number of treatment lines operating in parallel in the summer (low season), when the detention time increases due to lower influent flowrates.
5. Conclusions
This paper presents a comprehensive set of performance indices for water practitioners to assess and improve the energy performance of widely used activated sludge systems, and the reference values for judging it, which consider the aspects affecting the energy consumption expressed by the operating conditions that are regularly monitored.
Furthermore, this paper shows the importance of measuring the energy consumption of each specific use, instead of the overall WWTP, to allow for the adjustment of the energy consumed to the energy required, which may be computed by the reference values herein derived. Thus, the energy consumption should be adjusted to the plant design (tank volumes, pump heads) and/or the daily fluctuations in the influent flow and oxygen biochemical demand, since
- The uses related to flow pumping, namely, the return sludge and sludge wasting, depend on the pumping head, and the AS sludge wasting also depends on the detention time. For instance, the energy for return sludge in extended aeration systems, considering a pumping head of 10 m and an efficiency of 50%, varies from 28 Wh/m3 when the recirculation is the minimum value of the typical range (0.5) to 112 Wh/m3 for the maximum R of the typical range (2);
- The mixing depends on the detention time in the aerated, anoxic, and anaerobic reactors. For instance, the increase of θ in the A2O anaerobic zone, from 0.5 h to 1.5 h, increases the maximum energy requirement for mixing (R100) from 7 Wh/m3 to 20 Wh/m3;
- The aeration depends on the influent BOD5 and ammonia, the biomass wasted (determined by MLSS, θc, and θ), and the amount of oxygen transferred under field conditions. The oxygen transfer varies according to the mechanical aerator type (N0), the diffuser type (SOTE), the compressor efficiency, and many field parameters (temperature; dissolved oxygen; altitude; the oxygen transfer correction factor for waste (α); and, for air diffusers, also the fouling factor (F) and the outlet pressure).
A sensitivity analysis was conducted to understand to what extent each parameter affects the oxygen transfer by air diffuser systems and by mechanical aerators. The parameters with lower impact are β and temperature, and those with higher impact are α, F, and SOTE for air diffusers, and α and N0 for mechanical aerators. These are therefore the key variables the improvement measures should address, as exemplified. For instance, for WWTP G, if α increases from 0.52 to 0.65, the energy requirements decrease by 20%, from 385 Wh/m3 to 306 Wh/m3.
Fourteen Portuguese urban WWTPs, which are very diverse in size and inflows, were analyzed, and aeration (0.08–1.03 kWh/m3) represented 25–80% of the total energy consumption (0.23–1.30 kWh/m3). The reference values for excellent performance were 0.23–0.39 kWh/m3 (P25–P75) for the AS systems with air diffusers and 0.33–0.80 kWh/m3 for those with mechanical aerators.
A comprehensive application in one WWTP illustrated the PX system’s ability for identifying which operating condition to adjust to improve the energy performance and savings while keeping the treatment effectiveness and reliability. For this WWTP, operating with 16–18 d solids retention time, F/M, a parameter that is easy to monitor and control, was the key variable; the lower the F/M, the lower the oxygen and the energy requirements.
Finally, the comprehensive derivation of the reference values allows the users to customize the assumptions herein made.
Author Contributions
Conceptualization, C.S. and M.J.R.; methodology, C.S. and M.J.R.; software, C.S.; validation, C.S. and M.J.R.; formal analysis, C.S. and M.J.R.; investigation, C.S. and M.J.R.; resources, C.S. and M.J.R.; data curation, C.S.; writing—original draft preparation, C.S. and M.J.R.; writing—review and editing, C.S. and M.J.R.; visualization, C.S.; supervision, M.J.R.; project administration, C.S.; and funding acquisition, C.S. and M.J.R. All authors have read and agreed to the published version of the manuscript.
Funding
This research has received funding from the Portuguese Science and Technology Foundation (C. Silva’s Ph.D. scholarship, SFRH/BD/80295/2011).
Institutional Review Board Statement
Not applicable.
Informed Consent Statement
Not applicable.
Acknowledgments
The authors acknowledge the team members from all the seven water utilities in the iEQTA-WWTP benchmarking initiative for providing the data and for their active participation and contribution to the project.
Conflicts of Interest
The authors declare no conflict of interest.
References
- Means, E.; California Energy Commission; American Water Works Association Research Foundation. Water and Wastewater Industry Energy Efficiency: A Research Roadmap; Prepared for California Energy Commission and American Water Works Association Research Foundation; McGuire Environmental Consultants: Newport Beach, CA, USA, 2003. [Google Scholar]
- PG&E. Municipal Wastewater Treatment Plant Energy Baseline Study; Pacific Gas and Electric Company: San Francisco, CA, USA, 2003. [Google Scholar]
- WERF; Alexandria, V.A. Overview of State Energy Reduction Programs and Guidelines for the Wastewater Sector; Water Environment Research Foundation: Denver, CO, USA; IWA Publishing: London, UK, 2010. [Google Scholar]
- Rodriguez-Garcia, G.; Molinos-Senante, M.; Hospido, A.; Hernández-Sancho, F.; Moreira, M.T.; Feijoo, G. Environmental and economic profile of six typologies of wastewater treatment plants. Water Res. 2011, 45, 5997–6010. [Google Scholar] [CrossRef]
- Silva, C.; Ramalho, P.; Quadros, S.; Alegre, H.; Rosa, M.J. Results of “PASt21”—The Portuguese initiative for performance assessment of water and wastewater treatment plants. Water Sci. Technol. Water Supply 2012, 12, 372–386. [Google Scholar] [CrossRef] [Green Version]
- Burton, F.L. Water and Wastewater Industries: Characteristics and Energy Management Opportunities; Report CR106941 Prepared for the Electric Power Research Institute; Burton Environmental Engineering: Los Altos, CA, USA; Palo Alto, CA, USA, 1996. [Google Scholar]
- Quantum Consulting. Inc.; Adolfson Associates. Pacific Northwest Water and Wastewater Market Assessment; Report #01-079 Prepared by Quantum Consulting. Inc. with Adolfson Associates; Northwest Energy Efficiency Alliance: Portland, OR, USA, 2001. [Google Scholar]
- IAMU. Energy Consumption and Costs to Treat Water and Wastewater in Iowa. Part 1: An Overview of Energy Consumption and Treatment Costs in Iowa; Iowa Association of Municipal Utilities: Ankeny, IA, USA, 2002. [Google Scholar]
- Water Environment Federation; Energy Conservation in Water and Wastewater Treatment Facilities Task Force. Energy Conservation in Water and Wastewater Facilities. Manual of Practice No. 32; Prepared by the Energy Conservation in Water and Wastewater Treatment Facilities Task Force; McGraw Hill Inc.: New York, NY, USA, 2009. [Google Scholar]
- Silva, C.; Rosa, M.J. Energy performance indicators of wastewater treatment—A field study with 17 Portuguese plants. Water Sci. Technol. 2015, 72, 510–519. [Google Scholar] [CrossRef] [PubMed]
- Lingsten, A.; Lundkvist, M. Description of the Current Energy Use in Water and Wastewater Systems in Sweden; The Swedish Water & Wastewater Association: Stockholm, Sweden, 2008. (In Swedish) [Google Scholar]
- Hernández-Sancho, F.; Molinos-Senante, M.; Sala-Garrido, R. Energy efficiency in Spanish wastewater treatment plants: A non-radial DEA approach. Sci. Total Environ. 2011, 409, 2693–2699. [Google Scholar] [CrossRef] [PubMed]
- Luo, L.; Dzakpasu, M.; Yang, B.; Zhang, W.; Yang, Y.; Wang, X.C. A novel index of total oxygen demand for the comprehensive evaluation of energy consumption for urban wastewater treatment. Appl. Energy 2019, 236, 253–261. [Google Scholar] [CrossRef]
- Ast, T.; DiBara, M.; Hatcher, C.; Turgeon, J.; Wizniak, M.O.; ENERGY STAR. Benchmarking Wastewater Facility Energy Performance Using ENERGY STAR® Portfolio Manager; Energy Star: Washington, DC, USA, 2008. [Google Scholar]
- Mizuta, K.; Shimada, M. Benchmarking energy consumption in municipal wastewater treatment plants in Japan. Water Sci. Technol. 2010, 65, 2256–2262. [Google Scholar] [CrossRef] [PubMed]
- Yang, L.; Zeng, S.; Chen, J.; He, M.; Yang, W. Operational energy performance assessment system of municipal wastewater treatment plants. Water Sci. Technol. 2010, 62, 1361–1370. [Google Scholar] [CrossRef]
- WERF. Energy Management. Exploratory Team Report Executive Summary; Water Environment Research Foundation: Alexandria, VA, USA, 2011. [Google Scholar]
- Bodik, I.; Kubaska, M. Energy and sustainability of operation of a wastewater treatment plant. Environ. Prot. Eng. 2013, 39, 15–24. [Google Scholar] [CrossRef]
- Gu, Y.; Li, Y.; Li, X.; Luo, P.; Wang, H.; Robinson, Z.P.; Wang, X.; Wuc, J.; Li, F. The feasibility and challenges of energy self-sufficient wastewater treatment plants. Appl. Energy 2017, 204, 1463–1475. [Google Scholar] [CrossRef] [Green Version]
- Castellet-Viciano, L.; Torregrossa, D.; Hernández-Sancho, F. The relevance of the design characteristics to the optimal operation of wastewater treatment plants: Energy cost assessment. J. Environ. Manag. 2018, 222, 275–283. [Google Scholar] [CrossRef]
- Vaccari, M.; Foladori, P.; Nembrini, S.; Vitali, F. Benchmarking of energy consumption in municipal wastewater treatment plants—A survey of over 200 plants in Italy. Water Sci. Technol. 2018, 77, 2242–2252. [Google Scholar] [CrossRef] [PubMed]
- USEPA. Ensuring a Sustainable Future: An Energy Management Guidebook for Wastewater and Water Utilities; US Environmental Protection Agency: Washington, DC, USA, 2008.
- Guimet, V.; Kelly, R.; Doung, F.; Rosina, M.; Audic, J.M.; Terry, J.M. Green energy resource: Research and learning experiences from wastewater treatment plants. In Proceedings of the IWA World Water Congress, Montreal, QC, Canada, 19–23 September 2010. [Google Scholar]
- Longo, S.; Mirko d’Antoni, B.; Bongards, M.; Chaparro, A.; Cronrath, A.; Fatone, F.; Lema, J.M.; Mauricio-Iglesias, M.; Soares, A.; Hospido, A. Monitoring and diagnosis of energy consumption in wastewater treatment plants. A state of the art and proposals for improvement. Appl. Energy 2016, 179, 1251–1268. [Google Scholar] [CrossRef] [Green Version]
- Castellet-Viciano, L.; Hernández-Chover, V.; Hernández-Sancho, F. Modelling the energy costs of the wastewater treatment process: The influence of the aging factor. Sci. Total Environ. 2018, 625, 363–372. [Google Scholar] [CrossRef] [PubMed]
- Niu, K.; Wu, J.; Qi, L.; Niu, Q. Energy intensity of wastewater treatment plants and influencing factors in China. Sci. Total Environ. 2019, 670, 961–970. [Google Scholar] [CrossRef]
- SAIC. Water and Wastewater Energy Best Practice Guidebook; Focus on Energy Program, Division of Energy, Department of Admnistration; Science Applications International Corporation: Madison, WI, USA, 2006. [Google Scholar]
- Olsson, G. Water and Energy Nexus. In Encyclopedia of Sustainability Science and Technology; Meyers, R.A., Ed.; Springer: New York, NY, USA, 2012. [Google Scholar]
- NYSERDA; Pakenas, L.J. Energy Efficiency in Municipal Wastewater Treatment Plants: Technology Assessment; New York State Energy Research and Development Authority: Albany, NY, USA, 1995.
- Stoica, A.; Sandberg, M.; Holby, O. Energy use and recovery strategies within wastewater treatment and sludge handling at pulp and paper mills. Bioresour. Technol. 2009, 100, 3497–3505. [Google Scholar] [CrossRef]
- Brandt, M.; Middlenton, R.; Wheale, G.; Schulting, F. Energy efficiency in the water industry, a global research project. Water Pract. Technol. 2011, 6, wpt2011028. [Google Scholar] [CrossRef]
- Shi, C.Y. Mass Flow and Energy Efficiency of Municipal Wastewater Treatment Plants; IWA Publishing: London, UK, 2011. [Google Scholar]
- Panepinto, D.; Fiore, S.; Zappone, M.; Genon, G.; Meucci, L. Evaluation of the energy efficiency of a large wastewater treatment plant in Italy. Appl. Energy 2016, 161, 404–411. [Google Scholar] [CrossRef]
- Zekker, I.; Raudkivi, M.; Artemchuk, O.; Rikmann, E.; Priks, H.; Jaagura, M.; Tenno, T. Mainstream-sidestream wastewater switching promotes anammox nitrogen removal rate in organic-rich, low-temperature streams. Environ. Technol. 2019, 42, 3073–3082. [Google Scholar] [CrossRef]
- Balmer, P.; Hellström, D. Performance indicators for wastewater treatment plants. Water Sci. Technol. 2012, 65, 1304–1310. [Google Scholar] [CrossRef]
- Foladori, P.; Vaccari, M.; Vitali, F. Energy audit in small wastewater treatment plants: Methodology, energy consumption indicators, and lessons learned. Water Sci. Technol. 2015, 72, 1007–1015. [Google Scholar] [CrossRef] [Green Version]
- Silva, C.; Matos, J.S.; Rosa, M.J. Performance Indicators and Indices of Sludge Management in Urban Wastewater Treatment Plants. J. Environ. Manag. 2016, 184, 307–317. [Google Scholar] [CrossRef] [PubMed]
- Silva, C.; Quadros, S.; Ramalho, P.; Rosa, M.J. A tool for assessing treated wastewater quality in urban WWTPs. J. Environ. Manag. 2014, 146, 400–406. [Google Scholar] [CrossRef] [PubMed]
- Silva, C.; Quadros, S.; Ramalho, P.; Alegre, H.; Rosa, M.J. Translating removal efficiencies into operational performance indices of wastewater treatment plants. Water Res. 2014, 57, 202–214. [Google Scholar] [CrossRef] [PubMed]
- Silva, C.; Alegre, H.; Rosa, M.J. Introduction to energy management in wastewater treatment plants. In Sewage Treatment Plants: Economic Evaluation of Innovative Technologies for Energy Efficiency; Tsagarakis, K.P., Stamatelatou, K., Eds.; IWA Publishing: London, UK, 2015; pp. 1–376. [Google Scholar]
- Metcalf, L.; Eddy , H.P. Wastewater Engineering – Treatment and Reuse, 4th ed.; Tchobanoglous, G., Burton, F.L., Stensel, H.D., Eds.; McGraw-Hill Inc.: New York, NY, USA, 2003. [Google Scholar]
- Metcalf, L.; Eddy , H.P. Wastewater Engineering—Treatment and Resource Recovery, 5th ed.; Tchobanoglous, G., Stensel, H.D., Tsuchihashi, R., Burton, F., Eds.; McGraw-Hill Education: New York, NY, USA, 2014. [Google Scholar]
- EPA. Wastewater Treatment Manuals—Primary, Secondary and Tertiary Treatment; Environmental Protection Agency: Dublin, Ireland, 1997; ISBN 1 899965 46 7. [Google Scholar]
- Qasim, S.R. Wastewater Treatment Plants—Planning, Design and Operation, 2nd ed.; Technomic Publishing Co: Lancaster, PA, USA, 1999. [Google Scholar]
- Peavy, H.S.; Rowe, D.R.; Tchobanoglous, G. Environmental Engineering; McGraw-Hill Inc.: New York, NY, USA, 1985. [Google Scholar]
- Alley, E.R. Water Quality Control Handbook; McGraw-Hill Inc.: New York, NY, USA, 2000. [Google Scholar]
- WEF. Operation of Municipal Wastewater Treatment Plants, 6th ed.; Manual of Practice No.11, Vol. II: Liquid Processes; Water Environment Federation Press—McGraw-Hill Inc.: New York, NY, USA, 2008. [Google Scholar]
- Kiely, G. Environmental Engineering. McGraw-Hill Inc.: Singapore, 1997.
- ERSAR; LNEC; NOVA. Guia Técnico 27—Guia de Avaliação da Qualidade dos Serviços de Águas e Resíduos Prestados aos Utilizadores—4ª Geração do Sistema da Avaliação; Entidade Reguladora dos Serviços de Águas e Resíduos, Laboratório Nacional de Engenharia Civil, Nova School of Science and Technology: Lisboa, Portugal, 2021. (In Portuguese) [Google Scholar]
- Silva, C.; Rosa, M.J. Performance assessment of 23 wastewater treatment plants—A case study. Urban Water J. 2020, 17, 78–85. [Google Scholar] [CrossRef]
- Silva, C.; Rosa, M.J. A Treatment Reliability-Based Method for Supporting Infrastructure Asset Management of Wastewater Treatment Plants. Water 2022, 14, 1106. [Google Scholar] [CrossRef]
- Rosso, D.; Stenstrom, M.K.; Garrido-Baserba, M. Chapter 9. Aeration and Mixing. In Biological Wastewater Treatment: Principles, Modeling and Design, 2nd ed; Chen, G., Ekama, G.A., van Loosdrecht, M.C.M., Brdjanovic, D., Eds.; IWA Publishing: London, UK, 2020. [Google Scholar]
- Drewnowski, J.; Remiszewska-Skwarek, A.; Duda, S.; Łagód, G. Aeration Process in Bioreactors as the Main Energy Consumer in a Wastewater Treatment Plant. Review of Solutions and Methods of Process Optimization. Processes 2019, 7, 311. [Google Scholar] [CrossRef] [Green Version]
- Yu, Y.; Zou, Z.; Wang, S. Statistical regression modeling for energy consumption in wastewater treatment. J. Environ. Sci. 2019, 75, 201–208. [Google Scholar] [CrossRef]
Publisher’s Note: MDPI stays neutral with regard to jurisdictional claims in published maps and institutional affiliations. |
© 2022 by the authors. Licensee MDPI, Basel, Switzerland. This article is an open access article distributed under the terms and conditions of the Creative Commons Attribution (CC BY) license (https://creativecommons.org/licenses/by/4.0/).











