Soil Water Movement of Mining Waste Rock and the Effect on Plant Growth in Arid, Cold Regions of Xinjiang, China
Abstract
1. Introduction
2. Materials and Methods
2.1. Study Area
2.2. Field Test
2.3. Numerical Modeling
2.3.1. Water Movement in Reconstructed Soils
2.3.2. Irrigation Demand for Land Reclamation
3. Results
3.1. Field Test Data
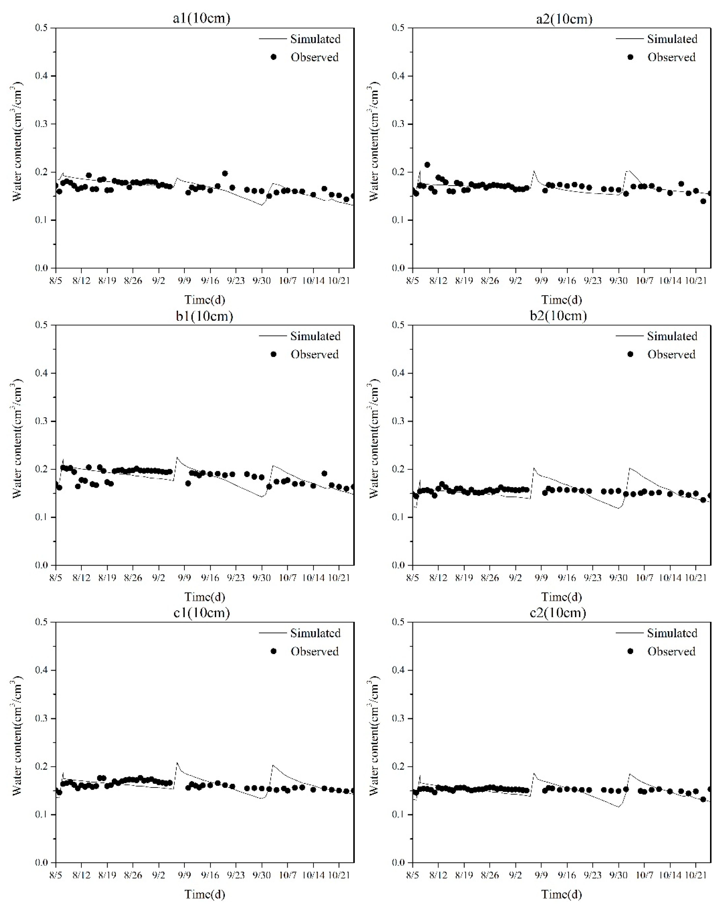
3.2. Soil Water Content and the Effect on a Plant Growth
3.3. Water Balance Analysis
4. Discussion
5. Conclusions
Author Contributions
Funding
Data Availability Statement
Conflicts of Interest
References
- Li, X.; Zhang, X.; Du, H.; Cao, J. An Analysis of Dynamic Econometric on the Impact of Mineral Resource Exploitation in the Region Development-Take Xinjiang as an Example. J. Nat. Resour. 2010, 25, 186–190. [Google Scholar]
- Sha, J.; Xia, Y. Analysis on mining resources development in Xinjiang. China Min. Mag. 2010, 19, 23–24, 28. [Google Scholar]
- Zhang, Z.; Guo, R.; Zhou, T.; Zhu, J.; Xian, Q. Suitability evaluation method and application for land reclamation to grassland in Xinjiang coal mines. Trans. CSAE 2015, 31, 278–286. [Google Scholar]
- Wang, D.; Zhang, Z. Evaluation Model and Evaluation Index System of Geological Environmental Impact Degree of Non-metallic Mine in Xinjiang. China Min. Mag. 2010, 27, 93–99. [Google Scholar]
- Zhang, Z.; Sui, W. An evaluation model for geological environmental impact of coal mines in Xinjiang. J. China Coal Soc. 2017, 42, 344–352. [Google Scholar]
- Shao, X.; Li, Z.; Li, F.; Feng, J. Suggestions for Dealing with the Problems Involved in the Implementation and Management of Land Reclamation. Nat. Resour. Econ. China. 2014, 27, 37. [Google Scholar]
- Wang, H.; Han, B.; Bian, Z. Simulation research on water upright movement in reclaimed soil by filling. J. China Univ. Min. Technol. 2007, 36, 690–695. [Google Scholar]
- Guan, T.; Zhu, Z.; Shang, T.; Guo, W.; Wang, H. Simulation study of soil water dynamics in overlying soil with filling layers. Bull. Soil Water Conserv. 2008, 28, 97–100. [Google Scholar]
- Wang, J.; Li, X.; Bai, Z.; Huang, L. The effects of coal gangue and fly ash on the hydraulic properties and water content distribution in reconstructed soil profiles of coal-mined land with a high groundwater table. Hydrol. Process. 2017, 31, 687–697. [Google Scholar] [CrossRef]
- Song, Y.; Wang, J.; Li, X.; Wu, K.; Bai, Z. Simulation of moisture transfer law with different soil reconstruction models in coal mining subsided area with high ground-water level. Soil Water Conserv. 2016, 30, 143–148. [Google Scholar]
- Whalley, W.R. Considerations on the use of time-domain reflectometry (tdr) for measuring soil water content. Eur. J. Soil Sci. 1993, 44, 1–9. [Google Scholar] [CrossRef]
- Daviesn, R.; Younger, A.; Chapman, R. Water availability in a restored soil. Soil Use Manag. 1992, 8, 67–73. [Google Scholar] [CrossRef]
- Gupta, D.K.; Rai, U.N.; Tripathi, R.D.; Inouhe, M. Impacts of fly-ash on soil and plant responses. J. Plant Res. 2002, 115, 401–409. [Google Scholar] [CrossRef] [PubMed]
- Pandey, V.C.; Singh, N. Impact of fly ash incorporation in soil systems. Agric. Ecosyst. Environ. 2010, 136, 16–27. [Google Scholar] [CrossRef]
- Hartmann, P.; Fleige, H.; Horn, R. Changes in soil physical properties of forest floor horizons due to long-term deposition of lignite fly ash. J. Soils Sediments 2009, 10, 231–239. [Google Scholar] [CrossRef]
- Riehl, A.; Elsass, F.; Duplay, J.; Huber, F.; Trautmann, M. Changes in soil properties in a fluvisol (calcaric) amended with coal fly ash. Geoderma 2010, 155, 67–74. [Google Scholar] [CrossRef]
- Gerke, H.H.; Badorreck, A.; Einecke, M. Single- and dual-porosity modelling of flow in reclaimed mine soil cores with embedded lignitic fragments. J. Contam. Hydrol. 2009, 104, 90–106. [Google Scholar] [CrossRef]
- Lu, Y. Compacting treatment affected to moisture content of coal rejected backfilling reclaimed land. Coal Sci. Technol. 2010, 38, 125–128. [Google Scholar]
- Wang, X.; Yan, J.; Yu, H.; Dong, X.; Chen, X.; Wang, C. Experiment study on vertical movement feature of moisture in coal rejects layer of backfill reclamation land in mining. Coal Eng. 2013, 45, 99–101. [Google Scholar]
- Xu, L.; Xu, S.; Yan, J.; Meuser, H.; Makowsky, L.; Weiss, E.; Max, B. Optimum soil coverage thickness of reclamation land filled with fiy ash. J. China Coal Soc. 2012, 37, 485–488. [Google Scholar]
- Dang, H.; Shao, M.; Chen, H.; Zhou, B. Effect of thickness and location of coal gangue on the process of water infiltration. Soil Water Conserv. 2012, 26, 62–66. [Google Scholar]
- Vogel, T.; Cislerova, M.; Hopmans, J.W. Porous Media with Linearly Variable Hydraulic Properties. Water Resour. Res. 1991, 27, 2735–2740. [Google Scholar] [CrossRef]
- Touma, J. Comparison of the Soil Hydraulic Conductivity Predicted From its Water Retention Expressed by the Equation of Van Genuchten and Different Capillary Models. Eur. J. Soil Sci. 2010, 60, 671–680. [Google Scholar] [CrossRef]
- Simunek, J.; Genuchten, M.T.V.; Seina, M. Development and Applications of the HYDRUS and STANMOD Software Packages and Related Codes. Vadose Zone J. 2008, 7, 587–600. [Google Scholar] [CrossRef]
- Zhang, Z.; Sui, W.; Wang, K.; Tang, G.; Li, X. Changes in Particle Size Composition under Seepage Conditions of Reclaimed Soil in Xinjiang, China. Processes 2018, 6, 201. [Google Scholar] [CrossRef]
- Zhang, Z.; Tang, G.; Zhu, J. Study on Compaction of Reclaimed Soil of Nonmetallic Mining Area in Northern Foothills of Tianshan Mountains in Xinjiang, China. Adv. Mater. Sci. Eng. 2019, 2019, 2834019. [Google Scholar] [CrossRef]
- Li, X. Preliminary studying the characteristic of roots and relactions between roots and environment of ephemerals in Xinjiang. Area Zone Res. 2000, 17, 28–34. [Google Scholar]
- Yang, X.; Zhang, X.; Li, Y.; Li, S.; Sun, H. Analysis of root architecture and root adaptive strategy in the taklimakan desert area of China. J. Plant Ecol. 2008, 32, 1268–1276. [Google Scholar]
- Sun, H.; Wu, R.; Li, P.; Shao, S.; Qi, L.; Han, J. Rooting depth of alfafa. Acta Agrestia Sin. 2008, 16, 207–312. [Google Scholar]










| Number | Depth (cm) | θr (cm3/cm3) | θs (cm3/cm3) | α (cm−1) | n (−) | ks (cm·d−1) | l |
|---|---|---|---|---|---|---|---|
| a1 | 0–20 | 0.01 | 0.25 | 0.020 | 1.960 | 250 | 0.5 |
| 20–40 | 0.001 | 0.51 | 0.050 | 1.710 | 300 | 0.5 | |
| 40–200 | 0.001 | 0.50 | 1.083 | 1.413 | 7994 | 0.5 | |
| b1 | 0–40 | 0.01 | 0.44 | 0.018 | 6.080 | 250 | 0.5 |
| 40–60 | 0.001 | 0.51 | 0.065 | 1.677 | 300 | 0.5 | |
| 60–200 | 0.001 | 0.50 | 2.754 | 1.219 | 7994 | 0.5 | |
| c1 | 0–40 | 0.01 | 0.36 | 0.013 | 9.070 | 200 | 0.5 |
| 40–60 | 0.01 | 0.36 | 0.018 | 10.000 | 100 | 0.5 | |
| 60–80 | 0.001 | 0.51 | 0.073 | 1.922 | 300 | 0.5 | |
| 80–200 | 0.001 | 0.50 | 3.244 | 1.344 | 8000 | 0.5 | |
| a2 | 0–20 | 0.01 | 0.21 | 0.030 | 1.184 | 10 | 0.5 |
| 20–40 | 0.008 | 0.41 | 0.059 | 1.452 | 100 | 0.5 | |
| 40–200 | 0.001 | 0.51 | 1.158 | 1.382 | 7697 | 0.5 | |
| b2 | 0–40 | 0.01 | 0.32 | 0.011 | 10.000 | 29 | 0.5 |
| 40–60 | 0.001 | 0.49 | 0.031 | 2.945 | 482 | 0.5 | |
| 60–200 | 0.001 | 0.60 | 3.707 | 1.125 | 10,817 | 0.5 | |
| c2 | 0–40 | 0.01 | 0.60 | 0.018 | 4.250 | 500 | 0.5 |
| 40–60 | 0.01 | 0.40 | 0.026 | 2.634 | 500 | 0.5 | |
| 60–80 | 0.008 | 0.41 | 0.124 | 1.542 | 100 | 0.5 | |
| 80–200 | 0.001 | 0.51 | 1.000 | 1.417 | 7697 | 0.5 |
| Stainless Steel Tube | Aluminum Tube | Iron Tube | ||
|---|---|---|---|---|
| Stainless steel tube | Pearson correlation | 1 | 0.939 a | 0.928 a |
| significance (two-tailed) | 0.000 | 0.000 | ||
| N | 360 | 360 | 360 | |
| Aluminum tube | Pearson correlation | 0.939 a | 1 | 0.899 a |
| Significance (two-tailed) | 0.000 | 0.000 | ||
| N | 360 | 360 | 360 | |
| Iron tube | Pearson correlation | 0.928 a | 0.899 a | 1 |
| Significance (two-tailed) | 0.000 | 0.000 | ||
| N | 360 | 360 | 360 | |
| Serial Number | Instrument Model of Neutron Probe | Depth of Measurement (cm) | Calibration Equation |
|---|---|---|---|
| 1 | L-520D | 10 | θ a = 7.12 + 49.61 × (R b/Rω c) |
| 2 | 30 | θ = 5.071 + 58.224 × (R/Rω) | |
| 3 | ≥40 | θ = −0.83 + 58.102 × (R/Rω) |
| Depth (cm) | θr (cm3 cm−3) | θs (cm3 cm−3) | α (cm−1) | n (−) | Ks (cm d−1) | |
|---|---|---|---|---|---|---|
| a1, a2 | 0–20 | 0.034 | 0.46 | 0.016 | 1.37 | 6 |
| 20–40 | 0.078 | 0.43 | 0.036 | 1.56 | 24.96 | |
| 40–200 | 0.045 | 0.43 | 0.145 | 2.68 | 712.8 | |
| b1, b2 | 0–40 | 0.034 | 0.46 | 0.016 | 1.37 | 6 |
| 40–60 | 0.078 | 0.43 | 0.036 | 1.56 | 24.96 | |
| 60–200 | 0.045 | 0.43 | 0.145 | 2.68 | 712.8 | |
| c1, c2 | 0–40 | 0.034 | 0.46 | 0.016 | 1.37 | 6 |
| 40–60 | 0.031 | 0.41 | 0.015 | 1.5 | 4 | |
| 60–80 | 0.078 | 0.43 | 0.036 | 1.56 | 24.96 | |
| 80–200 | 0.045 | 0.43 | 0.145 | 2.68 | 712.8 |
Publisher’s Note: MDPI stays neutral with regard to jurisdictional claims in published maps and institutional affiliations. |
© 2021 by the authors. Licensee MDPI, Basel, Switzerland. This article is an open access article distributed under the terms and conditions of the Creative Commons Attribution (CC BY) license (https://creativecommons.org/licenses/by/4.0/).
Share and Cite
Zhang, Z.; Lv, Q.; Guo, Z.; Huang, X.; Hao, R. Soil Water Movement of Mining Waste Rock and the Effect on Plant Growth in Arid, Cold Regions of Xinjiang, China. Water 2021, 13, 1240. https://doi.org/10.3390/w13091240
Zhang Z, Lv Q, Guo Z, Huang X, Hao R. Soil Water Movement of Mining Waste Rock and the Effect on Plant Growth in Arid, Cold Regions of Xinjiang, China. Water. 2021; 13(9):1240. https://doi.org/10.3390/w13091240
Chicago/Turabian StyleZhang, Zizhao, Qianli Lv, Zezhou Guo, Xuebang Huang, and Ruihua Hao. 2021. "Soil Water Movement of Mining Waste Rock and the Effect on Plant Growth in Arid, Cold Regions of Xinjiang, China" Water 13, no. 9: 1240. https://doi.org/10.3390/w13091240
APA StyleZhang, Z., Lv, Q., Guo, Z., Huang, X., & Hao, R. (2021). Soil Water Movement of Mining Waste Rock and the Effect on Plant Growth in Arid, Cold Regions of Xinjiang, China. Water, 13(9), 1240. https://doi.org/10.3390/w13091240

