Next Article in Journal
Minimum Residual Flows for Catchments in the Czech Republic
Next Article in Special Issue
Distribution of the Macrophyte Communities in the Danube Reflects River Serial Discontinuity
Previous Article in Journal
Arsenic Removal from Highly Contaminated Groundwater by Iron Electrocoagulation—Investigation of Process Parameters and Iron Dosage Calculation
Previous Article in Special Issue
Carbon Stocks of Hardwood Floodplain Forests along the Middle Elbe: The Influence of Forest Age, Structure, Species, and Hydrological Conditions
 
 
Font Type:
Arial Georgia Verdana
Font Size:
Aa Aa Aa
Line Spacing:
Column Width:
Background:
Article

Dynamic of Dominant Plant Communities in Kettle Holes (Northeast Germany) during a Five-Year Period of Extreme Weather Conditions

1
Leibniz Centre for Agricultural Landscape Research (ZALF) e.V., 15374 Müncheberg, Germany
2
City University of Applied Sciences (HSB), 28199 Bremen, Germany
*
Author to whom correspondence should be addressed.
Water 2021, 13(5), 688; https://doi.org/10.3390/w13050688
Submission received: 28 January 2021 / Revised: 25 February 2021 / Accepted: 26 February 2021 / Published: 3 March 2021
(This article belongs to the Special Issue Hydrology-Shaped Plant Communities: Diversity and Ecological Function)

Abstract

Understanding the ecosystem functions and services of central European kettle holes (small wetlands) requires knowledge about their spatiotemporal dynamics. A lot of existing research has been conducted on the wet–dry cycles of North American potholes, but much less is known about kettle holes. Based on the extreme weather conditions between 2015 and 2020, we aimed to quantify differences among dominant plant communities of kettle holes using unmanned aerial systems. Different dominant plant communities were differently affected by dry and wet intervals with a major increase in terrestrial plants. Multivariate analysis showed strong variability in plant community composition for permanent and semi-permanent kettle holes, where hydrophytes decreased and nitrophilous perennials increased. Although we cannot provide quantitative results in succession over a five-year observation period, we found indications of progressive succession towards irreversible alternative stable states with woody plants for some kettle holes, especially of the “storage type”. Therefore, we assume stronger changes in proportion of wetland types in kettle holes compared to potholes and we expect the proportion of wood-dominated kettle holes to increase in the central European landscape in the future, leading to enhanced homogenization of the landscape accompanied by a loss of ecosystem functions and services.

1. Introduction

The understanding of ecosystem functioning in small, highly variable wetland ecosystems such as potholes or kettle holes requires sufficient knowledge about their spatiotemporal dynamics [1,2,3]. This is even more important under climate change conditions where changing precipitation patterns cause extreme weather conditions [4]. The functioning of small wetlands strongly depends on water level fluctuations through enhanced sensitivity to changes in the frequency and duration of drought and deluge periods [5]. Cyclic changes in precipitation are normal climatic phenomena and result in oscillating water levels in small wetlands around a long-term mean [6,7,8]. Plant communities respond to the resulting wet–dry cycles [9] and are key drivers of the functioning of small wetland ecosystems, as low water levels and desiccation enables them to colonize the entire pond bottom and/or to occupy the whole water column. This, in turn, affects biodiversity, productivity and biogeochemical processes of small wetlands [10,11,12,13]. Thus, differences in oscillating water levels—due to natural meteorological variability or climate change—directly affect the vegetation dynamics of small wetlands and may shift them to alternative stable states [14,15,16]. Hence, a prediction of changes in the functioning of small wetland ecosystems requires a good understanding of oscillating water levels and their effect on wet–dry cycles of vegetation and their interactions.
Many studies have analyzed the dependence of vegetation in small wetlands on water levels and moisture [17,18,19]. In particular, intensive research was done on potholes in North America’s Prairie Pothole Region (PPR) in the last century. Van der Valk [7] summarized the research about the spatiotemporal dynamics of potholes and emphasized that earliest studies observed cyclic changes in the vegetation resulting from water level fluctuation due to changes in amounts of precipitation between years. He concluded that joint research efforts in the 20th century enabled a comprehensive understanding of the driving factors of vegetation dynamics, including particularly seasonal wetlands (defined by an extended period of water during the growing season). Important knowledge and a conceptual basis for vegetation zonation and change have also been found in previous research [9,20,21,22]. For example, plant communities during all stages of a wet–dry cycle have been described and three types of vegetation change defined, i.e., fluctuation (change in species abundance with water level variations <0.5 m), “gleasonian” succession (change in community composition with water level variations >1.5 m), and maturation (change in biomass). Key life history features form the basis to understand changing vegetation stages due to altered water-level oscillations [7,9,22]. Based on this knowledge, Seabloom et al. [23] were able to “predict the composition and distribution of the vegetation during all stages of a wet–dry cycle” [7], which is important under climate change conditions.
In addition to these findings, the “wetland continuum concept” developed by Euliss et al. (2004) [24] and modified by Mushet et al. [25], explains how changes in water levels and salinity from different water sources, i.e., groundwater and rainwater, potentially influence wetland vegetation. Placing vegetation at any time point at the right position of two gradients (“groundwater axis” and “rainwater axis” as per Mushet et al. [25]) facilitates the interpretation of wetland vegetation and prediction of communities and potential state shifts by knowing groundwater and rainwater components [8,24,25].
The “wetland continuum concept” with the included basic types of vegetation change suggested by van der Valk [9] does not directly incorporate irreversible succession towards late states or even a final climax state. Progressive succession is a natural, slow phenomenon of small wetlands that has rapidly increased in recent decades, specifically in Europe due to discontinued wetland management and increased nutrient enrichment through intensive agricultural practices. The resulting terrestrialization leads to sediment deposition and bush encroachment, for example with Salix cinerea, until overgrowth and anoxic conditions occur, accompanied by declining biodiversity [26]. Further increases in wetlands overgrown with woody vegetation will dramatically decrease the ecosystem services provided by small wetlands in agricultural landscapes [27,28]. Climate change could accelerate succession and terrestrialization processes by reduced water availability, which hampers the reset of succession by flooding disturbance until tipping points towards irreversible state shifts may be reached [14,29]. Nevertheless, climate change may conversely lead to increased water availability creating wetland lake marshes, such as in the PPR in recent decades [8,30]. Depending on the underlying climate scenario, van der Valk et al. [31] predicted a potential loss or gain of wetland vegetation zones due to increased or decreased precipitation and subsequent water level changes. For the PPR, this could result in an altered proportion of wetland classes (Stewart and Kantrud [20]) [32]. However, van de Valk and Mushet [32] also state that although proportions of wetland classes may change, wet–dry cycles and related plant communities of prairie potholes will persist. The question arises if this also applies to kettle holes with their potentially different ecosystem constraints.
Although vegetation changes due to oscillating water levels of potholes in North America are well researched, these wet–dry cycles are less well studied in central European kettle holes [33]. Lehsten et al. [34] simulated water level changes over 50 years, showing oscillating water levels that were correlated with climatic indices. Moreover, they suggested that predicted climate change, inter alia, will strongly affect the hydrology and vegetation of kettle holes, and noted an increase in Salix species during the last 30 years of their studies. The need for longer time series that account for the effects of altered hydrological conditions and potential state shifts of macrophytes in kettle holes was already emphasized by Pätzig et al. [3]. Although the authors of this study showed that variability in macrophyte communities of the flooded area among individual kettle holes explains more variance than among years, they also found non-consistent interannual patterns within communities of single kettle holes. Thus, the observed interannual changes in the vegetation of the studied kettle holes during the hydrologically stable period of 1990–1999 (Northeast Germany) suggested a higher importance of interannual effects during periods of higher hydrological variability [3]. Since the 1990s, the climatic water balance has been persistently negative and comparably extreme weather conditions between 2015 and 2020 gave us the possibility to study the interannual vegetation dynamics of central European kettle holes based on rapidly collected data using unmanned aerial systems (UAS). The considered time period will not allow us to answer questions about future persistence of all kettle holes types in central Europe but will enhance our knowledge of their interannual vegetation dynamics. This is a prerequisite for understanding and quantifying the functioning and ecosystem services of such kettle holes under changing climatic conditions.
On the basis of these temporal constraints, we aimed at quantifying differences among dominant plant communities of kettle holes during five years with extreme weather events based on manual digitization using maps derived by UAS. We first (1) hypothesized that different groups of dominant plant communities will be significantly affected to different degrees by dry and wet periods, with an increase in terrestrial plants and helophytes during drought and in moisture indicators during wet periods. Second (2), we calculated turnover, loss, and gain rates between time intervals to determine the effects of different hydrological conditions on changes in dominant plant communities. Third (3), we expected larger interannual variability in plant community composition than in Pätzig et al. (2020) [3], because the present study also includes kettle holes with usually long dry periods starting in early summer (episodic) or latest in autumn (periodic), unlike the permanent and semi-permanent kettle holes mainly examined by Pätzig et al. [3]. Fourth (4), we predicted to find a strong relation between vegetation changes and water availability (area), resulting from extreme weather events but considered morphological “fixed” factors because these are well known to influence vegetation in small wetlands [17,35,36].
The results will be embedded in existing knowledge about small wetland vegetation dynamics and discussed regarding potential future trends of central European kettle holes. In particular, we focus on the extent to which a drought in the last three studied years can lead towards potentially irreversible effects with increases in shrubs and trees and whether we may face a future loss of kettle hole types.

2. Materials and Methods

2.1. Study Sites

We monitored 14 out of more than 1500 kettle holes located in the “AgroScapeLab Quillow” (ASLQ, Leibniz Centre for Agricultural Landscape Research (ZALF)) that covers the catchment of the river Quillow with an area of about 170 km2. This landscape laboratory is located in the lowlands of northeast Germany and part of a hummocky young moraine landscape. The Quillow catchment is a fertile region with about three-quarters coverage mainly characterized by intensive agriculture, primarily used for cultivating crops. The climate is sub-humid with a mean annual temperature of 8.8 °C, corrected mean annual precipitation of 573 mm and mean annual evapotranspiration of 658 mm for the period from 1992 to 2019 (ZALF weather stations at the Dedelow Research Station) resulting in a mean annual negative climatic water balance of −84 mm.
At the beginning of the study period in summer 2016, four of the 14 selected kettle holes belonged to the edge type with an open water area, and 10 to the full reed type with no or scant open water (Table 1). Regarding the dominant vegetation, three kettle holes belonged to reed type (Phragmites australis (Cav.) Trin. ex Steud., Typha spp.), five to sedge type (Carex spp.), and six to reed canary grass (Phalaris arundinacea L.). Five of them were additionally characterized by dominant shore woods at the edge (Table 1).
Almost 60% of the 14 kettle holes showed a long-term hydroperiod, subsequently referred to as long-term pond permanence according to the definition by Hayashi et al. [8], with episodic/ephemeral or periodic/seasonal pond permanence, while the remaining kettle holes are semi-permanent or permanent (Table 1). With respect to long-term shore overflow tendencies, eight kettle holes were classified as storage types (no shore overflow) and six kettle holes as partly or fully able to overflow the top shore. With regard to morphological characteristics, they covered a range of areal sizes from small (min = 0.037 ha) to large (max = 0.464 ha) with oblique to steep, predominantly narrow shores and a range of depths from wadeable (>1.6 m) to shallow (≤4 m) (Table 1). In summary, the 14 kettle holes were assigned to the following hydrogeomorphological (HGM) types according to the classification by Kalettka and Rudat [37], i.e., seven small shallow storage types, four small shallow overflow types, two big shallow-overflow types and one big shallow storage type (Table 1).
Water quality of the kettle holes was usually measured in spring and summer when water was available within the ZALF monitoring program supported by third-party funded projects. Since none of the kettle holes had enough water for sampling in the summers of 2019 and 2020 and the number of kettle holes that contained water was generally low in summer, we only considered spring data (except for 2018). For 2018, we included summer values because no spring sampling was carried out due to inaccessibility of the kettle holes during this extremely wet season. An overview of the water quality data is provided in Table 2.

2.2. UAS Data Acquisition and Image Processing

UAS flight campaigns were conducted in 2016, 2018 and 2020 within 14 days between mid-July and the beginning of August at the climax of the vegetation growing season. In 2016 and 2018, we used a Goliath 4 quadrocopter (Cadmic GmbH) carrying a GoPro Hero4 RGB camera with 4 Megapixel and a fixed 16 mm lens. In 2020, we used a Phantom 4 RTK (DJI) carrying a 20 Megapixel CMOS sensor with a fixed 8.8 mm lens. The cameras were attached to a gimbal to compensate for pitch and roll movements of the aircraft. Since our knowledge of drone technique, image capturing and processing improved over the years, the entire workflow from image capturing and processing to the final image/orthomosaic differed from year to year. Generally, in 2016 a single image was taken from the center above each kettle hole. In 2018 we manually flew over the kettle holes taking images at a constant interval of ~2 s. In 2020 we used the integrated mission planning software DJI GS RTK app of the P4 RTK to plan missions with parallel flight tracks between 25 and 35 m altitude, connecting to the D-RTK 2 mobile station for high relative position accuracy. Additionally, 3 to 6 ground control points (GCPs) were distributed around the periphery of the kettle hole prior to the flights in 2018 and 2020 using a real-time kinematic (RTK) GNSS (Reach RS, Emlid Ltd., Saint Petersburg, Russia). Camera orientation was nadir during all flight campaigns in the three years.
All images taken in 2016 were corrected for distortion that was caused by the fish-eye effect of the GoPro Hero4. Correction was carried out with Adobe Lightroom Classic Version 9.3 software, which automatically detects the camera model GoPro Hero4 Black Edition. The distortion-corrected images were finally exported as tiff-images with 600 dpi resolution and georeferenced by distinctive, stationary structures from 2018 and 2020 orthomosaics of respective kettle holes in QGIS using the extension GDAL Georeference 3.1.9.
All images from 2018 and 2020 were quality-checked and subsequently processed in a SfM photogrammetric workflow using Agisoft Metashape Professional 1.6.2 build 6205 (Agisoft LLC). Finally, for each kettle hole mapped in 2018 and 2020 an orthomosaic was computed on the basis of the DPC and exported in the desired image format (Tiff) and reference system (WGS 84).

2.3. Vegetation Data, Kettle Hole and Water Area

UAS are increasingly used in ecological studies due to their numerous advantages, such as cost-efficiency, flexibility and accessibility over satellite data, and extension of ground surveys. Workflows for automated vegetation classification were successfully tested and the increased time-efficiency of digital plant mapping [38,39]. Chabot and Bird [40] previously recommended the use of UAS for complex wetland vegetation. However, with increased vegetation complexity, the classification accuracy has been shown to decrease [41]. Since kettle holes can feature multiple spatial and temporal plant species transitions and especially due to the different UAS image acquisition approaches, we manually mapped the dominant plant communities in this study. Based on the UAS images of all three years (2016, 2018, 2020) and different sources of ground surveys, i.e., presence–absence data in 2016, abundance data in 2017, sketches of the dominant vegetation in 2018 and 2020, we trained our image interpretation skills and finally created 42 vegetation maps (14 kettle holes × 3 years).
Homogenous plant stands were visually separated through color, texture and/or shape from surrounding vegetation patches, water and soil [41]. The naming of homogenous plant stands during the digitization procedure was done according to the dominant plant species/taxon with more than 75% visually estimated coverage. In case of one dominant species with undefinable or low coverage of other plant species, we mentioned the dominant species/taxon and added “mix”, for example, “Phalaris-mix”. If two or three species with lower coverage than 75% were recognized as mixed stands, we created two or three taxon classes, and finally, divided them into the respective dominant plant community. Finally, we created 14 dominant plant communities that were considered in the analysis of this study (Table 3).
We defined the kettle hole boundary as the sharp edge between the natural vegetation of the kettle holes and adjacent managed fields. Accordingly, we mapped the total area of the kettle holes for each year, as differing meteorological conditions can change the management intensity around kettle holes. Total water area was determined by mapping the shore line visible in the UAS derived orthomosaics. In case of dense vegetation, we estimated the shore line based on vegetation characteristics and expert knowledge.
The prepared data for dominant plant communities, water area and hydromorphological information are open accessible under DOI: 10.4228/ZALF.DK.165.

2.4. Meteorological Data

We used meteorological data collected every 10 min between August 2015 and July 2020 by two replacing weather stations at the ZALF research station Dedelow (Germany) located in the east of the AgroScapeLab Quillow [42,43,44,45,46,47]. Prior to further calculation, precipitation was corrected—as per Richter [48]—on a daily basis. Potential evapotranspiration for the entire observation period was calculated as per Wendling et al. [49], using daily sums of global radiation and averaged daily air temperatures. From August 2015 until April 2016, global radiation was complemented from further local and regional stations in order to also calculate potential evapotranspiration for the operation period of the first weather station with a non-functioning global radiation sensor. Based on the daily corrected precipitation and evapotranspiration values, we calculated monthly and annual precipitation and evapotranspiration heights, and climatic water balances for the observation period.

2.5. Statistical Analysis

We used response ratios to quantify the effect of the three observed periods (2016–2018, 2018–2020, 2016–2020) with different hydrological conditions on the dominant vegetation. The response ratio L as an effect size is expressed as the natural logarithm of the response ratio R [50]:
R = XE/XC, ln(R) = L = ln(XE) − ln(XC),
In our case XE (the experimental group) was described by the second year of each considered interval, whereas XC (the control group) referred to the first year of each interval. We calculated the response ratio L individually for each kettle hole pair and separately for each dominant plant community, if the community occurred at least once in the three years. Subsequently, response ratios L were averaged and the 95% confidence intervals (CI) were calculated per period and dominant plant community, where non-overlapping CIs were interpreted as significantly different between the periods.
To determine whether changes between different groups of vegetation were related to each other, we calculated Spearman rank correlations between the proportional coverage of each dominant plant community using the R package psych v. 2.0.12 [51]. To quantify the change in vegetation composition and the speed of change between the observation periods, we applied a formula typically used in relation to species change:
T = g r o u p s   g a i n e d + g r o u p s   l o s t t o t a l   n u m b e r   o f   g r o u p s   o b s e r v e d b o t h   y e a r s
Proportional appearance (gain rates; G) and disappearance (loss rates; L), as well as change of dominant groups (turnover rates; T) were calculated relative to the total number of dominance groups counted across the respective sampling years. Calculations were based on presence–absence data for the full set of sites, using the R codyn package v. 2.0.5 [52] and following Anderson [53].
Spearman rank correlation was used to determine relations between turnover rates and total area, water area, percentage change in water area and HGM types.
A two-way permutational multivariate analysis of variance (PERMANOVA) was conducted with PERMANOVA+ for Primer v6 [54] to estimate compositional variability of dominant plant communities between the factors “kettle hole” and “year”. The same analysis was performed for three data-subsets. First, excluding shrubs, edge vegetation and nitrophilous perennials to be better comparable with Pätzig et al. [3], second, the reduced vegetation dataset only for permanent and semi-permanent kettle holes, and third, the reduced vegetation dataset only for episodic and periodic kettles holes. The underlying resemblance matrices were based on Bray–Curtis similarities. We did not transform the data prior to statistical analysis to down-weight dominant taxa, because the focus of this study was on the dominant plant communities. Permutations of residuals were calculated under a reduced model with 9999 permutations and type III of sum of squares was chosen [55]. In addition, for the entire dataset we tested the differences in multivariate dispersion using the primer routine PERMDISP [54] to allow for a clear interpretation of the results, with regard to differences in group means (location) and variance (multivariate dispersions) among groups. Spearman rank correlation was calculated between the obtained multivariate dispersion indices and total amounts of percentage changes in water area over three years of data collection. Finally, the composition of dominant plant communities was ordinated using non-metric multidimensional scaling (nMDS) and contour lines were overlaid at the 40% similarity level of a dendrogram created by a previously performed cluster analysis in Primer v6 [54]. Together with the depicted dominant plant communities, the contour lines aided us in placing individual vegetation characteristics of the kettle holes over the observation period in relation to each other.
A distance-based linear model (DISTLM) was used to examine the strength of relationships between the dominant plant communities and the environmental variable water area, total kettle hole area, as well as the hydromorphological type and shore slope class. The latter two variables were included as dummy variables. Total kettle hole area and water area were log-transformed prior to the analysis due to a positively skewed distribution. Although water area was not normally distributed after log-transformation, mainly caused by the multiple zero values, we still included this variable in the analysis, due to the high flexibility of the method. The DISTLM applied was based on a stepwise selection procedure and the “An Information Criterion” (AIC) [56]. Inter-correlation was reviewed in PRIMER v6 with a correlation matrix. The usual cut-off of inter-correlated variables is 0.95 [55]. None of the variables exceeded this limit. The scores of the corresponding distance-based redundancy analysis (dbRDA) were used to test for differences between years by running an analysis of variance (ANOVA) and Tukey’s HSD test using the package “psych” in R [51].

3. Results

3.1. Meteorological and Hydrological Conditions

Average annual air temperature was lowest in the first two observation intervals (9.7 and 9.4 °C) and about one degree higher in the last two of five observation intervals (10.7 and 10.6 °C) (Figure 1). Total annual precipitation was highest in the interval 2016–2017 (698 mm) and lowest in the interval 2018–2019 (399 mm). Total annual potential evaporation was higher in the last three intervals between August 2017 to July 2020 (795 to 804 mm) compared to the first two intervals of the observation period (733 and 703 mm). Consequently, annual climatic water balances (CWB) were generally negative, but nearly balanced in the extreme wet interval 2016–2017 (−4.7 mm) (Figure 1). Despite high precipitation in summer 2017 (May–June: 338 mm), further high rain events in autumn 2017 and winter 2018 led to the second highest precipitation value with 537 mm in the interval 2017–2018, although the precipitation amount in summer 2018 was the lowest (May–June: 85 mm). The most negative value of the CWB was reached in 2018–2019 (−406 mm) (Figure 1). In summary, the mean annual climatic water balance during the study period (August 2015–July 2020) was −260 mm, much more negative compared to the long-term mean (1992–2019: −84 mm).
Pond permanence measured as the water area reflected the meteorological conditions of the observation period between the beginning of August 2015 and the end of July 2020. In summer 2016, the total water area for all 14 kettle holes was 4984 m2 (MW = 356 m2, SD ± 419) and six out of 14 kettle holes did not have water. The total water area almost doubled to 9012 m2 (MW = 644 m2, SD ± 630) in summer 2018 as a consequence of high amounts of precipitation in the previous year and only four kettle holes had no water at all. After two heat years, the total water area dropped sharply to 64 m2 (MW = 5 m2, SD ± 17) in summer 2020, which was measured at one out of the 14 kettle holes.

3.2. Effect of Dry and Wet Periods on Dominant Plant Communities

From the 14 identified dominant plant communities, Phalaris and Carex-mix were most abundant with a total share of 17.5 and 17.3%, respectively, over all kettle holes and years. These were followed by woody plants (14.7%), Phragmites-mix (10.4%) and nitrophilous perennials (12.3%). These groups corresponded to the classified dominant vegetation types of the kettle holes (see Table 1). The area of potential occurrence of hydrophytes accounted for 9.7%, while important indicators of water level fluctuations, such as amphibious vegetation, flood-meadow or Typha latifolia only shared 1, 1.3 or 2.1%, respectively, of the total area. The unvegetated area covered 3.8% of the digitized kettle hole area. Edge mix (8.1%), Sparganium-mix, Poa-mix and “Others” accounted for the remaining investigated area.
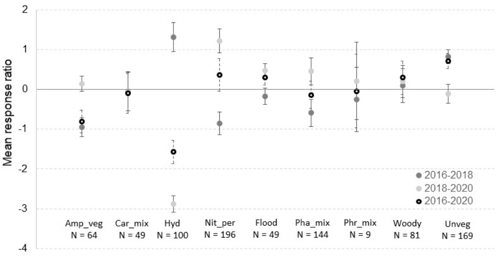
All three observed intervals with contrasting hydrological conditions differently affected the dominant plant communities. The response ratios showed the largest variation in cover changes for potential hydrophytes with a strong negative effect over the entire period (2016–2020) (Figure 2). In 2016 potential hydrophytes covered 8.8% of the investigated kettle hole area, while this decreased to 0.1% in 2020, after being 20.1% in 2018. Amphibious vegetation also showed a strong negative effect over the entire period, with 1.8% less coverage in 2020 compared to 2016. Potential hydrophytes increased from 2016 to 2018, but amphibious plants and all other helophytes showed negative or no response (Figure 2). The opposite was true between 2018 and 2020. We revealed positive effects, and thus, an increase in vegetation cover over the entire period from 2016 to 2020 for terrestrial plants (nitrophilous perennials and woody plants, 4.2% more coverage), as well as unvegetated areas. Moreover, flood-meadow vegetation increased over the entire observation period due to a strong increase in the water sparse period from 2018 to 2020 (Figure 2). Flood-meadow covered 1.4% of the area in 2016, was not observed in 2018, but covered 2.5% in 2020.
The opposing effects between some dominant plant communities shown by the response ratios are supported by the Spearman’s correlation coefficient between dominant plant communities, where negative relations were found between potential hydrophytes and nitrophilous perennials (rs = −0.37, p = 0.02), amphibious vegetation and woody plants (rs = −0.31, p = 0.046), as well as mixed Phalaris stands and edge vegetation (rs = −0.33, p = 0.03) (Figure 3). Among helophytes, adverse correlations were found between mixed Phragmites and Carex, as well as Phalaris stands (rs = −0.48, p = 0.001 and rs= −0.42, p = 0.005). On the other hand, terrestrial plants (woody plants in relation to nitrophilous perennials and mixed Poa stands) showed positive correlations (rs = 0.42, p = 0.01 and rs = 0.39, p = 0.01). The same was found between potential hydrophytes and mixed Sparganium stands (rs = 0.43, p = 0.004) (Figure 3).
When calculating turnover rates for the dominant plant communities, we found a 34% change in the dominant plant communities; specifically, a 16% gain and 18% loss of groups averaged across years and kettle holes. While the biannual temporal turnover and gain rate in dominant groups was higher between 2018 and 2020, the loss rate across sites was higher between 2016 and 2018 (Table S1). Percentage differences in water area between 2016 and 2018 were positively correlated with concurrent gain rates and turnover rates from both intervals (G: rs = 0.68, p = 0.01; T16-18: rs = 0.73, p = 0.003; T18-20: rs = 0.79, p = 0.001). Water area differences between 2018 and 2020 correlated positively only with concurrent turnover rates (rs = 0.66, p = 0.01). Further positive correlations were found between turnover and gain rates averaged across both intervals and summed changes in water area over five years (T: rs = 0.69, p = 0.01; G: rs = 0.70, p =0.01). Correlations between turnover rates and HGM types were not found.

3.3. Interannual Variability in Dominant Plant Community Composition

We obtained significant differences between the 14 kettle holes (Df = 13, p < 0.05) and the three sampled years (Df = 2, p < 0.05) for the composition of the dominant plant communities running the PERMANOVA routine. As we had expected the variance explained by differences between “kettle holes” (45.7% variance explained) exceeded the variance explained by differences between “years” (11.8% variance explained). However, the percentage gap was clearly reduced compared to Pätzig et al. (2020), where 60% of the variation in macrophyte composition was explained by differences between “kettle holes” and only 7% by interannual differences. When we excluded woody plants, edge vegetation and nitrophilous perennials from the resemblance matrix the PERMANOVA routine yielded 15.4% explained variability for the factor “year” and 50.4% for “kettle holes”. The explained variance for the factor “year” increased to 27.5% when we only considered semi-permanent and permanent kettle holes (N = 6), while it decreased to 8.6% for episodic and periodic kettle holes (N = 8) based on the resemblance matrix without woody plants, edge vegetation and nitrophilous perennials.
A test for multivariate homogeneity of dispersion for the entire data set revealed nearly significant differences in the dispersion of macrophyte composition among the analyzed kettle holes (PERMDISP pseudo-F = 3.9, p = 0.05), but differences in location were much stronger (PERMANOVA pseudo-F = 16.1). For the factor “year” the dispersion of dominant plant community composition was not significant (PERMDISP pseudo-F = 0.03), which underlines the significant differences in location (PERMDISP pseudo-F = 5.7). Likewise, the multivariate dispersion index showed similar values among the years, the lowest value of 0.97 for the wet year 2018 and slightly higher values of 1.01 for 2016 and 2020, respectively. Kettle holes showed a comparably larger range in the multivariate dispersion index, with a minimum index of 0.26 for kettle hole 20 (periodic, partly regulated, big and shallow shore overflow type (BS-SO), full reed type with Phragmites australis), and a maximum index of 1.66 for kettle hole 16 (semi-permanent, small and shallow shore overflow type (SS-SO), mainly edge type with Phalaris arundinacea) (Table S1). The multivariate dispersion indices of the kettle holes were strongly correlated with the total amounts of percentage changes in water area over the five-year observation period (rs = 0.69, p = 0.006).
The corresponding nMDS plot showed groupings of the individual kettle holes, but did not always show a clear separation among them (Figure 4). The overlaid cluster analysis with 40% similarity also emphasizes the gradual changes in the kettle hole vegetation and concomitant difficulties to group them into vegetation types. Thus, the identified groups were not considered in further analysis. Nonetheless, the empirically known dominant vegetation types, i.e., Phalaris, Carex, and Phragmites-mix as well as woody plants, were depicted in four opposing directions of the two-dimensional realization of the multivariate vegetation data (Figure 4).

3.4. Relation between Dominant Plant Communities, Interannual Scale and Environmental Variables

The marginal test of the DISTLM analysis showed that all variables apart from the shore slope class “very oblique” had significant relationships to the dominant plant communities (Table 4). Seven out of nine variables were chosen as the best set of variables explaining the variability in dominant plant community composition, i.e., shore slope classes “oblique” and “very oblique”, water area, total kettle hole area and the two shore overflow types (AIC = 317, R2 = 0.45). The corresponding dbRDA revealed a strong positive relation between shore slope classes “oblique” and the dbRDA axis 1 followed by the shore overflow types and the total area of the kettle holes (Table 4, Figure 5). Water area was highly correlated with dbRDA axis 2 (Table 4, Figure 5).
For the log-transformed scores of the second axis (dbRDA2) that were strongly related to water area, a global analysis of variance (ANOVA) revealed significant differences between years (p = 0.045). TukeyHSD post hoc test confirmed significant differences between 2018 and 2020 (p = 0.016), but not between the other two pairs of intervals.
The four dominating plant communities (Phalaris, Carex, Phragmites-mix and woody plants) showed rather indifferent or stronger relations to the morphological variables shore slope and hydromorphological type (Figure 6). In contrast, the hydrophytes and nitrophilous perennials were strongly positive or negative correlated with the second dbRDA axis, and thus, with water area in the different years according to the previous analysis in combination with the bubble plots (Figure 6).

4. Discussion

4.1. Different Groups of Dominant Plant Communities Are Differently Affected by Dry and Wet Periods

Here, we provide evidence that the variability in pond permanence in the studied kettle holes can be attributed to extreme changes in climatic water balance (CWB) over five investigated years. This was particularly apparent in 2020 and the preceding two years, when increased mean evapotranspiration caused by increased air temperatures, together with decreased precipitation levels, corresponded with nearly absent water availability. Lehsten et al. [34] found a delay of one to two years between increased evaporation rates and concomitant changes in the water levels of kettle holes. Such a time lag became evident in our study in 2018, where high precipitation and low evapotranspiration levels in the 2016–2017 interval seems to explain the high number of kettle holes with pond permanence in summer 2018, despite a clear negative CWB in this time interval (2017–2018). For our study, kettle hole hydrology can, overall, be seen as a product of the meteorological conditions [57], and a causal link seems to be plausible to explain the high proportions of pond permanence in 2018 and the low in 2020.
A high variability in water area between the three years of vegetation mapping (2016, 2018, and 2020) caused a shift in the occurrence and dominance of plant communities, reflected by distinct variability between the response ratios. In particular, the potential area for hydrophytes and nitrophilous perennials showed significant large effects and contrasting correlations, but amphibious and flood-meadow vegetation also showed a large level of variability. Although the total coverage of the latter was not high, they are important indicators of water level variations, together with the presence or absence of hydrophytes. Van der Valk [7,9] and Seabloom et al. [23] among others, have drawn attention to the ability of amphibious species, such as Rorippa amphibia and mudflat annuals, to react instantly to oscillating water levels by recruiting seeds from underlying seed banks and subsequent reestablishment on the open ground surface, following pronounced decreases in water levels. Earlier research from kettle holes proved the existence of positive relationships between amphibious plants and the duration of annual inundation in kettle holes [35]. The separation of flood-meadow species, such as Alopecurus aequalis and Glyceria fluitians, emphasized a different reaction to decreases in water levels and resettlement to herbaceous amphiphytes. Flood-meadow vegetation mainly occurred in kettle holes with generally low or no pond permanence, where the advanced stage of succession was reset in 2018, and they then recovered in 2020, before further succession of helophytes or terrestrial plant species will probably occur again. Therefore, they were the only moisture indicating group with an increase over the five-year period.
Except for the flood-meadow vegetation, an overall positive effect and high correlation with decreased pond permanence was observed only for nitrophilous perennials and woody plants. The increase in the cover of woody plants was not significantly different but was steady over the years, while nitrophilous perennials were strongly reduced in 2018 but reproduced rapidly under the general conditions of high nutrient availability [58,59] and the absence of waterlogged soils in 2020. Hence, although we observed a reset of advanced succession stages in 2018, the general negative climatic water balance of the last two decades and the extreme drought conditions in the years after 2017 fostered further succession and terrestrialization of the studied kettle holes. Changes in plant composition along moisture gradients leading—in dry phases—towards stages without moisture indicators, but dominated by terrestrial (common distribution outside the ecosystem) species, were described in several studies of small wetlands [17,60,61].
Besides woody plants, the other three groups with dominant taxa Carex spp., Phragmites australis and Phalaris arundinacea showed no significant effects over the entire study period, suggesting different responses to changes in pond permanence. Obviously, these dominant groups occur in many kettle holes with different abiotic characteristics, which makes it difficult to capture the reaction to changes in pond permanence for individual kettle holes. This becomes apparent in the bubble plots (Figure 6), where they are arranged along the morphological gradient—especially the shore slope and the shore overflow types—and do not group with the years like the hydrophytes and nitrophilous perennials do. The importance of morphology for helophytes, such as a wide and gentle shore, has been established in other studies [35,36,62]. In accordance with these results, we interpret the negative correlation coefficient between Phragmites and Carex as well as Phalaris stands as non-causal in our study, because these types often do not occur simultaneously at one kettle hole (Figure 4). Yet, the negative correlation between proportions of Phragmites and Phalaris as well as Carex stands underlines the competitive ability of Phalaris stands on sites experiencing intensive intermittent fluctuations in water levels, as shown in other studies [63], while sedges prefer drier locations compared to Phragmites stands [58]. Finally, variations in hydrology, geomorphology and subsequent on-site microclimate form the basis for existing high heterogeneity among kettle holes in the study region (ASQL, northeast Germany), mirrored by observed high variances between different ponds in the nMDS. The results also emphasize the gradual change of vegetation among kettle holes, which stresses the need to move away from kettle hole types and implement gradual concepts such as the “wetland continuum concept” [24] (see below).
Rising turnover rates over time, that mainly resulted from significantly elevated gain rates in 2018–2020, suggest early stages of succession, as gain rates usually decline with progressing succession [53]. Higher loss rates, together with significantly lower gain rates across sites in the first interval, indicate limited space for additionally appearing vegetation and a loss of groups due to elevated flooding in the wet interval following 2016, respectively. On the other hand, dry conditions in 2018–2020 accelerated the spread of the dominant groups due to the provision of additional space in desiccated kettle holes. Gain in species groups (primarily amphibious plants and hydrophytes) was, therefore, reduced in the wetter interval of 2016–2018 compared to the appearance of dominant plant communities (e.g., graminoids) in the dryer interval of 2018–2020. This is in line with the findings of Mulhouse et al. [64], who reported the establishment and expansion of additional species (helophytes, wetland grasses and terrestrial plants), as a result of exposed substrates and a more open vegetation structure in herbaceous ponds following drought and recruitment from soil seed banks or via dispersal. Repulsing effects of high water levels on formerly established species due to deluge were likewise reported in the case of potholes by van der Valk [7]. Positive correlations between gain rates and water area differences suggest promoting effects of water level changes on the appearance of dominant plant communities, caused by increased availability of varying habitats for vegetation with different preferences [65,66]. The highest turnover rates were associated with kettle holes exhibiting shore overflow characteristics (No. 10, 11, 17; SS-SO-types/oblique shore-slopes). Plant communities, here, seem to be affected more strongly from gradual and more frequent flooding compared to more stable storage types with less variation in the area and volume of water. This result is indirectly supported by the significant relation between variability in vegetation composition and hydromorphological type, shore slope and water area found in the DISTLM analysis and additionally by corresponding dbRDA-result with its strong positive relation between shore slope classes “oblique” and axis 1 (Table 4, Figure 5) and between the water area and axis 2. Van Leeuwen et al. [67] revealed that drawdown water regimes in experimental ponds increased recruitment and the species richness of plant communities and the number of seedlings on gradual sloping shores, but not on steep shores. In the dbRDA bubble plots (Figure 6), hydrophytes and nitrophilous perennials were positively or negatively correlated with years. The same groups accounted for the temporal changes in the kettle holes with highest turnover rates (No. 10, 11, 17). These groups, thus, seem to mirror the differences in hydroperiodicity over time, through changes in abundances and occurrence most clearly.

4.2. Interannual Variability of Kettle Hole Vegetation Increases during Extreme Weather Conditions

The variability in the composition of plant communities explained by the factor “year” was larger with 11.8% compared to the 7% reported for the macrophyte composition of the inundated kettle hole area in the study by Pätzig et al. [3], because the observed five-year period (2016–2020) with contrasting extreme weather conditions in this study showed larger hydrological variability compared to the rather wet period with lower hydrological variability during the 1990s. Although the datasets are not directly comparable, because this study contains dominant plant communities instead of species, the entire kettle hole area (and not just the flooded area), and kettle holes including episodic and periodic, compared to the mainly permanent and semi-permanent kettle holes examined by Pätzig et al. [3], we are still able to draw important conclusions about the role of interannual hydrological variability on the vegetation dynamics of kettle holes.
The increased explanatory power for the factor “year” that was caused by more systematic differences in hydrological conditions between the years, confirms the expectation of Pätzig et al. [3] that the importance of multiple-year observations will increase in periods of higher hydrological variability. When we adapted our dataset to the one analyzed by Pätzig et al. [3], by excluding the woody plants, edge vegetation and nitrophilous perennials that were not included in the former study, the variance explained by “year” increased to 15.4%, and even to 27.5% when we included only permanent and semi-permanent kettle holes. For the permanent and semi-permanent kettle holes, even this 27.5% is a rather conservative estimate, because we merely considered dominant plant communities and not species in our analysis. In contrast, the explained variability by “year” for the dominant plant communities of episodic kettle holes was only 8.6%, which again, is a result of lower hydrological variability, but this time as consequence of no or less water availability and not because of high water levels with low fluctuations as in the study by Pätzig et al. [3].
From this, we can conclude that water level fluctuations and accompanied vegetation changes are stronger in episodic to periodic kettle holes during wet periods with rather balanced precipitation, while this sets in for permanent and semi-permanent kettle holes during dry periods. Thus, kettle holes are highly variable not only in space but also at an interannual scale, but the types of kettle holes respond differently in different hydrological periods, which has important consequences for the assessment of those small wetland ecosystems. This requires long-term monitoring for all types of kettle holes to sufficiently monitor their ecological state, their functioning, and their ecosystem services.

4.3. Future Perspectives for Kettle Hole Occurrence in Central European Pleistocene Landscapes

The continuous increase in woody plants and even greater increase in nitrophilous perennials within our five-year observation period, despite an extreme wet year in between, suggest that we are facing a serious bush encroachment of kettle holes, which fosters irreversible vegetation stages under persistent meteorological conditions and predicted climate scenarios. For the Pleistocene landscape of Germany, the climate scenarios involve a decrease in precipitation—although winter rain will increase—and rising temperature [68]. As a consequence, the inundation timing of temporary wetlands will change and the resulting effects on wetland communities may be additionally amplified by higher temperatures, generally leading to increased productivity [69]. Bourgeois et al. [70] found a substantial impact of trees on shifts between low-growth species structuring plant communities within intermittently inundated floodplains. Whenever canopies exceeded thresholds, abrupt species turnover or shifts between rank orders led towards taxa with high shading tolerance. Increased bush encroachment was already observed in the second half of the 20th century in central European kettle holes [34] and is an important topic in England, where science-based restoration efforts take place at overgrown sites [26].
Since future climate scenarios predict less precipitation but no increase in heavy precipitation events for the Pleistocene landscapes of Germany [68], even in extreme wet periods flooding disturbances might be too short to completely reset succession stages. Already, van der Valk [7] stated that a change in vegetation stage may only be permanent after a certain threshold of hydrological conditions have been reached. One year of extreme wet conditions was not sufficient to reset succession completely in our study, especially when woody plants were already established. The succession process towards wood types seems to be accelerated due to the competitive advantage of terrestrial plants under drier conditions and the absence of wetland management [71]. This increases sedimentation, evapotranspiration and terrestrialization, and leads to higher numbers of wood types in the landscape. Continuous high nutrient input from surrounding agricultural fields into kettle holes, especially during runoff events in wet phases, will further accelerate this development [7,72]. There is evidence that increased nutrient load addition in aquatic phases can have negative effects on the diversity, coverage and composition of terrestrial plants in dry phases, which in turn affects the following aquatic phase [73]. Although we cannot quantitatively prove that wetland classes will be lost, the available data from kettle holes and experiences from England [26] suggest that the proportion of wood dominated kettle holes will increase in the future. This corresponds to increased homogenization of the landscape and will be accompanied by a loss of ecosystem functions and services of central European kettles holes and similar small wetlands.
The realization that kettle holes and comparable small wetland types develop towards irreversible wood dominated climax stages, shows that the “wetland continuum concept” developed on the basis of pothole research [24,25] is not fully transferable to all kinds of small wetland ecosystems. As Mushet et al. [15] pointed out, the “wetland continuum concept” incorporates the prairie–marsh cycle [9] at the vertical rainwater axis, with lake marsh during deluge and dry-marsh during drought, as two end-points that could be considered as stable systems and with the regenerating-marsh and degenerating-marsh as alternative stable or transitory states [15]. Alternatively, Mushet et al. [15] postulate that all predictable phases described by van der Valk and Davis [9] are the “stable state” of the highly dynamic potholes and need to be viewed over longer time scales. This idea becomes particularly clear when highlighting seedbanks in the concept, which are a component of the diversity described as “dark diversity” or “sleeping” diversity within one stable state (see 15 and references therein). Instead of the rainwater axis, shifts along the hydrological axis of the “wetland continuum concept”, which describes the influence of groundwater on wetland hydrology, are considered to be alternative stable states [15]. Within these alternative stable states, all phases of the prairie–marsh cycle occur and are assumed to be reversible. However, for kettle holes and other small wetlands, the dry-marsh phase is not the end-point during drought conditions, but a more terrestrial phase dominated by shrubs and trees. A similar scenario was modeled for potholes that could shift to permanent states with reduced productivity and loss of ecosystem functions under climate change [14,29].
We suggest that terrestrial phases of kettle holes could also be regarded as alternative stable states, because if we assume irreversible succession the “dark diversity” will not reappear, resulting in irreversible changes to community composition. Hence, we agree with Mushet et al. [15] that alternative stable states exist for highly dynamic systems, not only for changes in the horizontal hydrological axis, but also in the vertical rainwater axis. We hypothesize that many central European kettle holes, especially from the storage type, will shift towards more advanced succession stages after “appropriate ecological time scales” of drought conditions with less extreme wet years. These drought conditions act as external drivers and push the kettle holes beyond a tipping-point of irreversible alternative stable states at the drought end-point of the rainwater axis of the “wetland continuum concept”.
Moreover, we propose that compared to the potholes in North America, the proportion of wetland classes will change more dramatically at kettle holes in the future. Although the genesis of potholes and kettle holes is similar, the environmental conditions in North America, primarily the climate conditions, usually prevent any establishment of shrubs and trees at the edge of the potholes, which has important effects on interspecific competition and interactions with hydrology. Further research is needed to disentangle the commonalities and differences between North American potholes and central European kettle holes to be able to relate the existing knowledge about potholes to kettle holes.

5. Conclusions

Our study contributes to a better understanding about effects of water level variations on wet–dry cycles of vegetation in central European kettle holes. In summary, the different dominant plant communities were differently affected by dry and wet intervals, with an increase in terrestrial plants and a decrease in the potential hydrophyte area over the entire five-year observation period. The increase in terrestrial plants was more pronounced in the storage type kettle holes, characterized by steeper shores and potentially stronger changes in water levels and volume.
The hydrological history and current water area affected the occurrence of moisture indicators, resulting in an increase in flood-meadow taxa in the center of mainly episodic to periodic kettle holes after the extreme wet year of 2018. Meanwhile, herbaceous amphibious vegetation increased in this time interval, but decreased over the entire observation period due to enhanced dryness. As a consequence, temporal turnover differed between wet and dry phases, with higher gain rates in the dry intervals between 2018 and 2020. This result can be regarded as generally being in line with the existing knowledge about local habitat filtering and plant species sorting along hydrological gradients creating different wetland vegetation types. In addition, we conclude that water level fluctuations and accompanied changes in plant communities is stronger in episodic to periodic kettle holes during wet periods with rather balanced precipitation, while permanent and semi-permanent kettle holes are more greatly affected in dry periods.
The observed vegetation changes in our study can be assigned to cyclic alterations within one stable state, where seedling recruitment from the seed bank (“dark diversity”) can be assumed to lead to visible changes in abundance and composition of the dominant plant communities, but this does not result in an alternative stable state. However, since we also observed a slight continuous increase in woody plants over the entire period, we interpret this together with the existing literature as evidence of progressive succession towards irreversible alternative stable states with woody plants for some kettle holes. We assume that this will cause stronger changes of wetland types in kettle holes compared to potholes. Consequently, the proportion of wood dominated kettle holes will increase in the central European landscape in the future, which corresponds to greater homogenization of the landscape and a loss of ecosystem functions and services.
In order to obtain more reliable data to capture the interannual variability and future development of kettle holes and other small wetlands under climate change and further degrading forces, long-term monitoring is needed, as already forcefully emphasized in many studies. New technologies, especially remote sensing at different spatial and temporal scales, artificial intelligence, and eDNA will be key elements in future research and monitoring of kettle holes and other small wetlands.

Supplementary Materials

The following are available online at ’https://www.mdpi.com/2073-4441/13/5/688/s1. Table S1: Turnover, gain and loss rate per interval and multivariate dispersion index (MPI) for each kettle hole.

Author Contributions

Conceptualization, M.P.; methodology, MP (lead) and E.D.; software, M.P. and E.D.; validation, M.P.; formal analysis, M.P. and E.D.; investigation, M.P. and E.D. (supporting); resources, M.P.; data curation, M.P. and E.D. (supporting); writing—original draft preparation, M.P. (lead) and E.D.; writing—review and editing, M.P. and E.D. (supporting); visualization, M.P. and E.D.; supervision, M.P.; project administration, M.P. All authors have read and agreed to the published version of the manuscript.

Funding

This research received no external funding.

Institutional Review Board Statement

Not applicable for studies not involving humans or animals.

Informed Consent Statement

Not applicable for studies not involving humans.

Data Availability Statement

The data that support the findings of this study are available from the corresponding author upon reasonable request.

Acknowledgments

This study would not have been possible without the contribution and support of several researchers, technical staff, and scientific assistants, not all of whom are explicitly mentioned. In particular, we thank Thomas Kalettka for his fundamental work and for allowing the research of kettle holes in the ASQL, in addition to collecting information about kettle holes in this region, in particular, related to their basic hydromorphological characteristics. Furthermore, we would like to thank Carlos Acame for flying the quadrocopter in 2016 and the BioMove Research Training Group (DFG-GRK 2118/1) for providing the species list of kettle holes for 2016, recorded by Benito Schöpke. We thank Jörg Haase for providing help with the meteorological data. Finally, we would like to thank Dorith Henning for technical assistance and her great support in the digital mapping of vegetation.

Conflicts of Interest

The authors declare no conflict of interest. The funders had no role in the design of the study, in the collection, analyses, or interpretation of data, in the writing of the manuscript, or in the decision to publish the results.

References

  1. Jeffries, M.J. Flood, drought and the inter-annual variation to the number and size of ponds and small wetlands in an English lowland landscape over three years of weather extremes. Hydrobiologia 2016, 768, 255–272. [Google Scholar] [CrossRef]
  2. Thornhill, I.A.; Biggs, J.; Hill, M.J.; Briers, R.; Gledhill, D.; Wood, P.J.; Gee, J.H.R.; Ledger, M.; Hassall, C. The functional response and resilience in small waterbodies along land-use and environmental gradients. Glob. Chang. Biol. 2018, 24, 3079–3092. [Google Scholar] [CrossRef]
  3. Marlene, P.; Kalettka, T.; Onandia, G.; Balla, D.; Lischeid, G.; Pätzig, M.; Thomas, K.; Gabriela, O.; Dagmar, B.; Gunnar, L. How much information do we gain from multiple-year sampling in natural pond research? Limnologica 2020, 80, 125728. [Google Scholar] [CrossRef]
  4. IPCC. Climate Change 2014: Synthesis Report. Contribution of Working Groups I, II and III to the Fifth Assessment Report of the Intergovernmental Panel on Climate Change; IPCC: Geneva, Switzerland, 2014. [Google Scholar]
  5. Riley, W.D.; Potter, E.C.; Biggs, J.; Collins, A.L.; Jarvie, H.P.; Jones, J.I.; Kelly-Quinn, M.; Ormerod, S.J.; Sear, D.A.; Wilby, R.L.; et al. Small Water Bodies in Great Britain and Ireland: Ecosystem function, human-generated degradation, and options for restorative action. Sci. Total. Environ. 2018, 645, 1598–1616. [Google Scholar] [CrossRef]
  6. Winter, T.C.; Rosenberry, D.O. Hydrology of Prairie Pothole Wetlands during Drought and Deluge: A 17-Year Study of the Cottonwood Lake Wetland Complex in North Dakota in the Perspective of Longer Term Measured and Proxy Hydrological Records. Clim. Chang. 1998, 40, 189–209. [Google Scholar] [CrossRef]
  7. Valk, A.G.V.D. Water-level fluctuations in North American prairie wetlands. Hydrobiologia 2005, 539, 171–188. [Google Scholar] [CrossRef]
  8. Hayashi, M.; Van Der Kamp, G.; Rosenberry, D.O. Hydrology of Prairie Wetlands: Understanding the Integrated Surface-Water and Groundwater Processes. Wetlands 2016, 36, 237–254. [Google Scholar] [CrossRef]
  9. Van Der Valk, A.G.; Davis, C.B. The Role of Seed Banks in the Vegetation Dynamics of Prairie Glacial Marshes. Ecology 1978, 59, 322–335. [Google Scholar] [CrossRef]
  10. Davies, B.; Biggs, J.; Williams, P.; Whitfield, M.; Nicolet, P.; Sear, D.; Bray, S.; Maund, S. Comparative biodiversity of aquatic habitats in the European agricultural landscape. Agric. Ecosyst. Environ. 2008, 125, 1–8. [Google Scholar] [CrossRef]
  11. Onandia, G.; Lischeid, G.; Kalettka, T.; Kleeberg, A.; Omari, M.; Premke, K.; Arhonditsis, G.B. Biogeochemistry of natural ponds in agricultural landscape: Lessons learned from modeling a kettle hole in Northeast Germany. Sci. Total. Environ. 2018, 634, 1615–1630. [Google Scholar] [CrossRef]
  12. Kazanjian, G.; Flury, S.; Attermeyer, K.; Kalettka, T.; Kleeberg, A.; Premke, K.; Köhler, J.; Hilt, S. Primary production in nutrient-rich kettle holes and consequences for nutrient and carbon cycling. Hydrobiologia 2017, 806, 77–93. [Google Scholar] [CrossRef]
  13. Johnson, W.C.; Millett, B.V.; Gilmanov, T.; Voldseth, R.A.; Guntenspergen, G.R.; Naugle, D.E. Vulnerability of north-ern prairie wetlands to climate change. Bioscience 2005, 55, 863–872. [Google Scholar] [CrossRef]
  14. Johnson, W.C.; Werner, B.; Guntenspergen, G.R. Non-linear responses of glaciated prairie wetlands to climate warming. Clim. Chang. 2015, 134, 209–223. [Google Scholar] [CrossRef]
  15. Mushet, D.M.; McKenna, O.P.; McLean, K.I. Alternative stable states in inherently unstable systems. Ecol. Evol. 2019, 10, 843–850. [Google Scholar] [CrossRef]
  16. Johnson, W.C.; Boettcher, S.E.; Poiani, K.A.; Guntenspergen, G.R. Influence of weather extremes on the water levels of glaciated prairie wetlands. Wetlands 2004, 24, 385–398. [Google Scholar] [CrossRef]
  17. Bauder, E.T. Inundation effects on small-scale plant distributions in San Diego, California vernal pools. Aquat. Ecol. 2000, 34, 43–61. [Google Scholar] [CrossRef]
  18. Altenfelder, S.; Raabe, U.; Albrecht, H. Effects of water regime and agricultural land use on diversity and species com-position of vascular plants inhabiting temporary ponds in northeastern Germany. Tuexenia 2014, 34, 145–162. [Google Scholar] [CrossRef]
  19. Rocarpin, P.; Gachet, S.; Metzner, K.; Saatkamp, A. Moisture and soil parameters drive plant community assembly in Mediterranean temporary pools. Hydrobiol. 2015, 781, 55–66. [Google Scholar] [CrossRef]
  20. Stewart, R.E.; Kantrud, H.A. Classification of Natural Ponds and Lakes in the Glaciated Prairie Region; Bureau of Sport Fisheries and Wildlife, U.S. Fish and Wildlife Service: Washington, DC, USA, 1971.
  21. Kantrud, H.A.; Krapu, G.L.; Swanson, G.A. Prairie basin wetlands of the Dakotas—A community profile. Biol. Rep. 1989, 85, 1–111. [Google Scholar]
  22. Van der Valk, A. Succession in Wetlands: A Gleasonian Approach. Ecology 1981, 62, 688–696. [Google Scholar] [CrossRef]
  23. Seabloom, E.W.; Moloney, K.A.; van der Valk, A.G. Constraints on the establishment of plants along a fluctuating water-depth gradient. Ecology 2001, 82, 2216–2232. [Google Scholar] [CrossRef]
  24. Euliss, N.H.; LaBaugh, J.W.; Fredrickson, L.H.; Mushet, D.M.; Laubhan, M.K.; Swanson, G.A.; Winter, T.C.; Rosenberry, D.O.; Nelson, R.D. The wetland continuum: A conceptual framework for interpreting biological studies. Wetlands 2004, 24, 448–458. [Google Scholar] [CrossRef]
  25. Mushet, D.M.; McKenna, O.P.; La Baugh, J.W.; Euliss, N.H.; Rosenberry, D.O. Accommodating State Shifts within the Conceptual Framework of the Wetland Continuum. Wetlands 2018, 38, 647–651. [Google Scholar] [CrossRef]
  26. Sayer, C.D.; Andrews, K.; Shilland, E.; Edmonds, N.; Edmonds-Brown, V.; Patmore, I.R.; Emson, D.; Axmacher, J.C. The role of pond management for biodiversity conservation in an agricultural landscape. Aquat. Conserv. Mar. Freshw. Ecosyst. 2012, 22, 626–638. [Google Scholar] [CrossRef]
  27. Lewis-Phillips, J.; Brooks, S.J.; Sayer, C.D.; Patmore, I.R.; Hilton, G.M.; Harrison, A.; Robson, H.; Axmacher, J.C. Ponds as insect chimneys: Restoring overgrown farmland ponds benefits birds through elevated productivity of emerging aquatic insects. Biol. Conserv. 2020, 241, 108253. [Google Scholar] [CrossRef]
  28. Lewis-Phillips, J.; Brooks, S.; Sayer, C.D.; McCrea, R.; Siriwardena, G.; Axmacher, J.C. Pond management enhances the local abundance and species richness of farmland bird communities. Agric. Ecosyst. Environ. 2019, 273, 130–140. [Google Scholar] [CrossRef]
  29. Johnson, W.C.; Poiani, K.A. Climate Change Effects on Prairie Pothole Wetlands: Findings from a Twenty-five Year Numerical Modeling Project. Wetlands 2016, 36, 273–285. [Google Scholar] [CrossRef]
  30. McKenna, O.P.; Mushet, D.M.; Rosenberry, D.O.; LaBaugh, J.W. Evidence for a climate-induced ecohydrological state shift in wetland ecosystems of the southern Prairie Pothole Region. Clim. Chang. 2017, 145, 273–287. [Google Scholar] [CrossRef]
  31. Van Der Valk, A.G.; Volin, J.C.; Wetzel, P.R. Predicted Changes in Interannual Water-Level Fluctuations Due to Climate Change and Its Implications for the Vegetation of the Florida Everglades. Environ. Manag. 2015, 55, 799–806. [Google Scholar] [CrossRef]
  32. Van Der Valk, A.; Mushet, D.M. Interannual Water-level Fluctuations and the Vegetation of Prairie Potholes: Potential Impacts of Climate Change. Wetlands 2016, 36, 397–406. [Google Scholar] [CrossRef]
  33. Vasić, F.; Paul, C.; Strauss, V.; Helming, K. Ecosystem Services of Kettle Holes in Agricultural Landscapes. Agronomy 2020, 10, 1326. [Google Scholar] [CrossRef]
  34. Lehsten, D.; Von Asmuth, J.R.; Kleyer, M. Simulation of Water Level Fluctuations in Kettle Holes Using a Time Series Model. Wetlands 2011, 31, 511–520. [Google Scholar] [CrossRef]
  35. Pätzig, M.; Kalettka, T.; Glemnitz, M.; Berger, G. What governs macrophyte species richness in kettle hole types? A case study from Northeast Germany. Limnologica 2012, 42, 340–354. [Google Scholar] [CrossRef]
  36. Raulings, E.J.; Morris, K.; Roache, M.C.; Boon, P.I. The importance of water regimes operating at small spatial scales for the diversity and structure of wetland vegetation. Freshw. Biol. 2010, 55, 701–715. [Google Scholar] [CrossRef]
  37. Kalettka, T.; Rudat, C. Hydrogeomorphic types of glacially created kettle holes in North-East Germany. Limnologica 2006, 36, 54–64. [Google Scholar] [CrossRef]
  38. Wich, S.A.; Koh, L.P. Conservation Drones: Mapping and Monitoring Biodiversity; Oxford University Press: New York, NY, USA, 2018. [Google Scholar]
  39. Díaz-Delgado, R.; Mücher, S. Editorial of Special Issue “Drones for Biodiversity Conservation and Ecological Monitoring”. Drones 2019, 3, 47. [Google Scholar] [CrossRef]
  40. Chabot, D.; Bird, D.M. Small unmanned aircraft: Precise and convenient new tools for surveying wetlands. J. Unmanned Veh. Syst. 2013, 1, 15–24. [Google Scholar] [CrossRef]
  41. Husson, E.; Hagner, O.; Ecke, F. Unmanned aircraft systems help to map aquatic vegetation. Appl. Veg. Sci. 2014, 17, 567–577. [Google Scholar] [CrossRef]
  42. Verch, G. Weather Data 2015, Dedelow, Germany; Leibniz Centre for Agricultural Landscape Research (ZALF): Müncheberg, Germany, 2018. [Google Scholar] [CrossRef]
  43. Verch, G. Weather Data 2016, Dedelow, Germany; Leibniz Centre for Agricultural Landscape Research (ZALF): Müncheberg, Germany, 2019. [Google Scholar] [CrossRef]
  44. Verch, G. Weather Data 2017, Dedelow, Germany; Leibniz Centre for Agricultural Landscape Research (ZALF): Müncheberg, Germany, 2020. [Google Scholar] [CrossRef]
  45. Verch, G. Weather Data 2018, Dedelow, Germany; Leibniz Centre for Agricultural Landscape Research (ZALF): Müncheberg, Germany, 2021. [Google Scholar] [CrossRef]
  46. Verch, G. Weather Data 2019, Dedelow, Germany; Leibniz Centre for Agricultural Landscape Research (ZALF): Müncheberg, Germany, 2021. [Google Scholar] [CrossRef]
  47. Verch, G. Weather Data 2020, Dedelow, Germany; Leibniz Centre for Agricultural Landscape Research (ZALF): Müncheberg, Germany, 2021. [Google Scholar] [CrossRef]
  48. Richter, D. Ergebnisse Methodischer Untersuchungen zu Korrektur des Systematischen Meßfehlers des Hellmann-Niederschlagsmessers (Berichte des Deutschen Wetterdienstes); Selbstverlag des Deutschen Wetterdienstes: Offenbach, Germany, 1995. [Google Scholar]
  49. Wendling, U.; Müller, J.; Schwede, K. Ergebnisse von Verdunstungsmessungen über Gras mit einem offline-Datenerfassungssystem. Z. Meteorol. 1984, 34, 190–202. [Google Scholar]
  50. Hedges, L.V.; Gurevitch, J.; Curtis, P.S. The Meta-Analisys of Response Ratios in Experimental Ecology. Ecology 1999, 80, 1150–1156. [Google Scholar] [CrossRef]
  51. Revelle, W. psych: Procedures for Psychological, Psychometric, and Personality Research; R Package Version 2.0.12; Northwestern University: Evanston, IL, USA, 2020; Available online: https://CRAN.R-project.org/package=psych (accessed on 20 December 2020).
  52. Hallett, L.; Avolio, M.; Carroll, I.T.; Jones, S.K.; MacDonald, A.A.; Flynn, D.F.B.; Slaughter, P.; Ripplinger, J.; Collins, S.L.; Gries, C.; et al. codyn: Community Dynamics Metrics. R Package Version 2.0.5. 2020. Available online: https://github.com/NCEAS/codyn (accessed on 18 December 2020). [CrossRef]
  53. Anderson, K.J. Temporal Patterns in Rates of Community Change during Succession. Am. Nat. 2007, 169, 780–793. [Google Scholar] [CrossRef]
  54. Clarke, K.R.; Gorley, R.N. Primer v6: User Manual/Tutorial; PRIMER-E: Plymouth, UK, 2006. [Google Scholar]
  55. Anderson, M.J.; Gorley, R.N.; Clarke, K.R. PERMANOVA+ for PRIMER: Guide to Software and Statisitcal Methods; PRIMER-E: Plymouth, UK, 2008. [Google Scholar]
  56. Akaike, H. Information theory as an extension of the maximum likelihood principle. In Proceedings of the Second International Symposium on Information Theory, Tsahkadsor, Armenia, 2–8 September 1973; pp. 267–281. [Google Scholar]
  57. Erwin, K.L. Wetlands and global climate change: The role of wetland restoration in a changing world. Wetl. Ecol. Manag. 2009, 17, 71–84. [Google Scholar] [CrossRef]
  58. Frey, W.; Lösch, R. Lehrbuch der Geobotanik—Pflanze und Vegetation in Raum und Zeit, 2nd ed.; Spektrum Akademischer Verlag: München, Germany, 2004. [Google Scholar]
  59. Chapin, F.S.; Matson, P.A.; Vitousek, P.M. Principles of Terrestrial Ecosystem Ecology, 2nd ed.; Springer Science + Business Media: Berlin/Heidelberg, Germnay, 2011. [Google Scholar]
  60. Jeffries, M. The spatial and temporal heterogeneity of macrophyte communities in thirty small, temporary ponds over a period of ten years. Ecography 2008, 31, 765–775. [Google Scholar] [CrossRef]
  61. Rhazi, L.; Grillas, P.; Rhazi, M.; Aznar, J.-C. Ten-year dynamics of vegetation in a Mediterranean temporary pool in western Morocco. Hydrobiologia 2009, 634, 185–194. [Google Scholar] [CrossRef]
  62. Francová, K.; Šumberová, K.; Kučerová, A.; Šorf, M.; Grill, S.; Exler, N.; Vrba, J. Drivers of plant species composition of ecotonal vegetation in two fishpond management types. Wetl. Ecol. Manag. 2021, 29, 93–110. [Google Scholar] [CrossRef]
  63. Galatowitsch, S.M.; Anderson, N.O.; Ascher, P.D. Invasiveness in wetland plants in temperate North America. Wetlands 1999, 19, 733–755. [Google Scholar] [CrossRef]
  64. Mulhouse, J.M.; De Steven, D.; Lide, R.F.; Sharitz, R.R. Effects of dominant species on vegetation change in Carolina bay wetlands following a multi-year drought1. J. Torrey Bot. Soc. 2005, 132, 411–420. [Google Scholar] [CrossRef]
  65. Wilcox, D.A. Implications of hydrologic variability on the succession of plants in Great Lakes wetlands. Aquat. Ecosyst. Health Manag. 2004, 7, 223–231. [Google Scholar] [CrossRef]
  66. Oertli, B.; Joye, D.A.; Castella, E.; Juge, R.; Cambin, D.G.; Lachavanne, J.-B. Does size matter? The relationship between pond area and biodiversity. Biol. Conserv. 2002, 104, 59–70. [Google Scholar] [CrossRef]
  67. Van Leeuwen, C.H.A.; Sarneel, J.M.; Van Paassen, J.; Rip, W.J.; Bakker, E.S. Hydrology, shore morphology and species traits affect seed dispersal, germination and community assembly in shoreline plant communities. J. Ecol. 2014, 102, 998–1007. [Google Scholar] [CrossRef]
  68. Buth, M.; Kahlenborn, W.; Savelsberg, J.; Becker, N.; Bubeck, P.; Kabisch, S.; Kofler, C. Germany’s vulnerability to Climate Change—Summary. Dessau-Roßlau 2015, 11, 2015. [Google Scholar]
  69. Shin, H.R.; Kneitel, J.M. Warming interacts with inundation timing to influence the species composition of California vernal pool communities. Hydrobiologica 2019, 843, 93–105. [Google Scholar] [CrossRef]
  70. Bourgeois, B.; Vanasse, A.; González, E.; Andersen, R.; Poulin, M. Threshold dynamics in plant succession after tree planting in agricultural riparian zones. J. Appl. Ecol. 2016, 53, 1704–1713. [Google Scholar] [CrossRef]
  71. Rheinhardt, R.D.; Faser, K. Relationship between hydrology and zonation of freshwater swale wetlands on lower hatteras island, North Carolina, USA. Wetlands 2001, 21, 265–273. [Google Scholar] [CrossRef]
  72. Frielinghaus, M.; Vahrson, W.-G. Soil translocation by water erosion from agricultural cropland into wet depressions (morainic kettle holes). Soil Tillage Res. 1998, 46, 23–30. [Google Scholar] [CrossRef]
  73. Kneitel, J.M.; Lessin, C.L. Ecosystem-phase interactions: Aquatic eutrophication decreases terrestrial plant diversity in California vernal pools. Oecologia 2009, 163, 461–469. [Google Scholar] [CrossRef]
Figure 1. Meteorological conditions during the five-year observation period.
Figure 1. Meteorological conditions during the five-year observation period.
Water 13 00688 g001
Figure 2. Effect sizes of the three different periods on the dominant plant communities. Effect sizes were calculated as the natural logarithm of the response ratio R and presented with 95% confidence intervals. A positive response ratio above the zero line indicates an increase in the compared abundances and a negative response ratio below the zero line indicates a decrease. The periods were considered significantly different when 95% CIs did not overlap.
Figure 2. Effect sizes of the three different periods on the dominant plant communities. Effect sizes were calculated as the natural logarithm of the response ratio R and presented with 95% confidence intervals. A positive response ratio above the zero line indicates an increase in the compared abundances and a negative response ratio below the zero line indicates a decrease. The periods were considered significantly different when 95% CIs did not overlap.
Water 13 00688 g002
Figure 3. Spearman’s Correlation Coefficient between coverages of dominant plant communities of 14 kettle holes over five years; significance level = 0.05; significant values = black, insignificant values = white; color scale represents strength (between 0 and ±1) and direction (+, −) of Spearman rs.
Figure 3. Spearman’s Correlation Coefficient between coverages of dominant plant communities of 14 kettle holes over five years; significance level = 0.05; significant values = black, insignificant values = white; color scale represents strength (between 0 and ±1) and direction (+, −) of Spearman rs.
Water 13 00688 g003
Figure 4. nMDS ordination representing differences in dominant plant communities among kettle holes and the three studied years (labeled for some examples) overlaid with dominant plant communities and groups of cluster analysis with 40% similarity.
Figure 4. nMDS ordination representing differences in dominant plant communities among kettle holes and the three studied years (labeled for some examples) overlaid with dominant plant communities and groups of cluster analysis with 40% similarity.
Water 13 00688 g004
Figure 5. Distance-based redundancy analysis (dbRDA) ordination representing differences in dominant plant communities among kettle holes over the three years. Abbreviation of environmental variables see Table 4.
Figure 5. Distance-based redundancy analysis (dbRDA) ordination representing differences in dominant plant communities among kettle holes over the three years. Abbreviation of environmental variables see Table 4.
Water 13 00688 g005
Figure 6. Bubble plots for each of the four dominant groups Phalaris (Pha_mix), Carex (Car_mix), Phragmites (Phr_mix)-mix and woody plants (woody) and the two most contrasting groups hydrophytes (Hyd) and nitrophilous perennials (Nit_per) with regard to water area on the basis of the dbRDA ordination (see Figure 5). For abbreviation of environmental variables see Table 4.
Figure 6. Bubble plots for each of the four dominant groups Phalaris (Pha_mix), Carex (Car_mix), Phragmites (Phr_mix)-mix and woody plants (woody) and the two most contrasting groups hydrophytes (Hyd) and nitrophilous perennials (Nit_per) with regard to water area on the basis of the dbRDA ordination (see Figure 5). For abbreviation of environmental variables see Table 4.
Water 13 00688 g006
Table 1. Hydrogeomorphological characteristics (Kalettka and Rudat [37]) and dominant vegetation types for the year 2016 (after Kalettka and Rudat, unpublished) of the selected 14 kettle holes. KH_No = kettle hole number according to numbering within the SWBTrans project (ZALF), Vegtype2016 = dominant vegetation type in 2016. HGM = hydrogeomorphological type: BS-S = big and shallow storage type, BS-SO = big and shallow shore overflow type, SS-S = small and shallow storage type, SS-SO= small and shallow shore overflow type. KA = mean area of the kettle hole between 2016 and 2020, measured up to the tilled area of the adjacent field in square meter. KA_C = size class of the mean area of the kettle hole in hectare: 1 = very small (≤0.03 ha), 2 = small (≤0.10 ha), 3 = medium (≤0.32 ha), 4 = large (≤1.0 ha). SS_C = class of shore slope in percent: 1 = flat (≤10%), 2 = oblique (≤20%), 3 = very oblique (≤30%), 4 = steep (≤40%). LP_2011-2017 = long-term pond permanence class for the period 2011 to 2017, LSOT_2011-2017 = long-term shore overflow tendency class for the period 2011 to 2017.
Table 1. Hydrogeomorphological characteristics (Kalettka and Rudat [37]) and dominant vegetation types for the year 2016 (after Kalettka and Rudat, unpublished) of the selected 14 kettle holes. KH_No = kettle hole number according to numbering within the SWBTrans project (ZALF), Vegtype2016 = dominant vegetation type in 2016. HGM = hydrogeomorphological type: BS-S = big and shallow storage type, BS-SO = big and shallow shore overflow type, SS-S = small and shallow storage type, SS-SO= small and shallow shore overflow type. KA = mean area of the kettle hole between 2016 and 2020, measured up to the tilled area of the adjacent field in square meter. KA_C = size class of the mean area of the kettle hole in hectare: 1 = very small (≤0.03 ha), 2 = small (≤0.10 ha), 3 = medium (≤0.32 ha), 4 = large (≤1.0 ha). SS_C = class of shore slope in percent: 1 = flat (≤10%), 2 = oblique (≤20%), 3 = very oblique (≤30%), 4 = steep (≤40%). LP_2011-2017 = long-term pond permanence class for the period 2011 to 2017, LSOT_2011-2017 = long-term shore overflow tendency class for the period 2011 to 2017.
KH_NoVegType 2016HGMKAKA_CSS_CLP_2011–2017LSOT_2011–2017
1Edge type with shore woods and sedgesSS-S2271 ± 89≤0.32≤405_permanent1_no overflow
4Edge type with sedgesBS-SO3224 ± 143≤1.0≤204_semi-permanent3_fully overflowing
7Full reed type with sedgesSS-S1878 ±32≤0.32≤303_periodic1_no overflow
9Full reed type with reeds and shore woodsSS-S2910 ± 70≤0.32≤304_semi-permanent1_no overflow
10Full reed type with sedgesSS-SO789 ± 25≤0.10≤202_episodic2_partly overflowing
11Full reed type with reed canary grassSS-SO1286 ± 8≤0.32≤203_periodic3_fully overflowing
13Edge type with reed canary grassSS-S1017 ± 27≤0.10≤403_periodic1_no overflow
14Full reed type with reed canary grassSS-S379 ± 23≤0.10≤402_episodic1_no overflow
15Full reed type with shore woods and reed canary grassSS-S1560 ± 55≤0.32≤402_episodic1_no overflow
16Edge type with reed canary grassSS-SO1014 ± 52≤0.10≤304_semi-permanent3_fully overflowing
17Full reed type with reedSS-SO1660 ± 93≤0.32≤204_semi-permanent2_partly overflowing
18Full reed type with shore woods and reed canary grassSS-S3852 ± 17≤1.0≤304_semi-permanent1_no overflow
20Full reed type with reedBS-SO4644 ± 356≤1.0≤203_periodic2_partly overflowing
24Full reed type with shore woods and sedgesBS-S4834 ± 369≤1.0≤303_periodic1_no overflow
Table 2. Summary of water quality parameters for spring 2016, 2017, 2019 and 2020 as well as summer 2018 with ± 95% confidence intervals and number of values in brackets. KH_No = kettle hole number according to numbering within the SWBTrans project (ZALF), EC = conductivity in µS/cm, Eh = redox potential in mV, O2 = oxygen in mg L−1, SRP = soluble reactive phosphorous in mg L−1, NH4-N = ammonium nitrogen in mg L−1, TN = total nitrogen mg L−1, TP = total phosphorous mg L−1, CH = carbonate hardness in dH.
Table 2. Summary of water quality parameters for spring 2016, 2017, 2019 and 2020 as well as summer 2018 with ± 95% confidence intervals and number of values in brackets. KH_No = kettle hole number according to numbering within the SWBTrans project (ZALF), EC = conductivity in µS/cm, Eh = redox potential in mV, O2 = oxygen in mg L−1, SRP = soluble reactive phosphorous in mg L−1, NH4-N = ammonium nitrogen in mg L−1, TN = total nitrogen mg L−1, TP = total phosphorous mg L−1, CH = carbonate hardness in dH.
KH_NopHECEhO2SRPNH4-NTNTPCH
17.6 ± 0.6 (4)286 ± 36 (4)426 ± 56 (3)10.7 ± 3.3 (4)0.026 ± 0.030 (4)0.212 ± 0.277 (4)1.51 ± 0.40 (4)0.09 ± 0.03 (4)9.7 ± 1.7 (3)
48.0 ± 0.4 (4)452 ± 50 (4)431 ± 24 (3)10.9 ± 2.4 (4)0.076 ± 0.123 (4)0.054 ± 0.029 (4)2.73 ± 0.62 (4)0.18 ± 0.18 (4)13.3 ± 8.5 (3)
77.4 ± 0.3 (5)611 ± 253 (5)347 ± 195 (4)14.3 ± 9.1 (5)0.075 ± 0.115 (5)0.072 ± 0.070 (5)4.15 ± 1.97 (5)0.23 ± 0.18 (5)9.0 ± 2.9 (4)
96.5 ± 1.2 (4)744 ± 564 (4)340 ± 160 (3)13.2 ± 7.6 (4)0.521 ± 0.504 (4)1.671 ± 1.557 (4)4.55 ± 2.90 (4)0.77 ± 0.46 (4)5.5 ± 1.7
107.0 ± 0.5 (4)433 ± 199 (4)414 ± 19 (3)12.2 ± 2.7 (4)0.078 ± 0.046 (4)0.122 ± 0.095 (4)2.50 ± 1.35 (4)0.17 ± 0.10 (4)7.5 ± 4.4 (4)
117.2 (1)459 (1)203 (1)9.2 (1)NaNaNaNa10.0 (1)
137.5 (1)871 (1)259 (1)3.7 (1)0.068 (1)0.126 (1)2.65 (1)0.30 (1)21.0 (1)
146.7 (1)155 (1)379 (1)13.7 (1)0.264 (1)0.204 (1)2.76 (1)0.42 (1)4.0 (1)
156.7 (1)175 (1)456 (1)13.2 (1)0.455 (1)0.128 (1)1.99 (1)0.60 (1)5.0 (1)
168.5 ± 0.44 (5)653 ± 166 (5)395 ± 50 (4)14.0 ± 5.3 (5)0.050 ± 0.049 (5)0.055 ± 0.042 (5)3.33 ± 1.86 (5)0.11 ± 0.08 (5)10 ± 2.8 (4)
177.6 ± 0.6 (5)686 ± 124 (5)450 ± 31 (4)13.6 ± 3.1 (5)0.027 ± 0.030 (5)0.097 ± 0.065 (5)4.28 ± 2.66 (5)0.15 ± 0.10 (5)11.5 ± 3.3 (4)
187.5 ± 0.7 (5)676 ± 248 (5)388 ± 72 (4)14.3 ± 8.4 (5)0.407 ± 0.356 (5)1.219 ± 1.617 (5)14.11 ± 10.82 (5)0.89 ± 0.61 (5)11.8 ± 7.7 (4)
207.0 ± 0.5 (4)740 ± 124 (4)396 ± 14 (3)6.8 ± 3.9 (4)0.235 ± 0.331 (4)0.830 ± 1.416 (4)5.48 ± 3.15 (4)0.40 ± 0.51 (4)19.0 ± 5.2 (3)
247.1 ± 0.8 (2)296 ± 162 (2)480 (1)7.1 ± 4.4 (2)0.155 ± 0.187 (2)0.027 ± 0.189 (2)2.63 ± 0.86 (2)0.26 ± 0.25 (2)7.0 ± 3.9 (2)
Table 3. Assignment of the digitally mapped dominant species/taxa into 14 final dominant plant communities.
Table 3. Assignment of the digitally mapped dominant species/taxa into 14 final dominant plant communities.
AbbreviationDominant Plant CommunityDominant Species/Taxa Included
1Amp_vegAmphibious vegetationAlisma plantago-aquatica L., Oenanthe aquatica (L.) Poiret, Rorippa amphibia (L.) Besser, Rorippa palustris (L.) Besser, Rumex maritimus L., amphibious seedlings (not identifiable)
2Car_mixCarex mixCarex riparia Curtis, Carex spec.
3Edge_mixEdge mixPoaceae (not further identified), but including Elymus repens (L.) Gould s. str., Arrhenatherum elatius (L.) P. Beauv. ex J. Presl & C. Presl, Bromus sterilis L., non-dominant stands of Phalaris arundinacea L., non-dominant stands of Nitrophilous perennials (see group 5), unidentified segetal species
4HydHydrophytesLemna minor L., Spirodela polyrhiza (L.) Schleid., Potamogeton natans L., Batrachium spec. (characterized by floating leaves); Ceratophyllum submersum L. (potential area for submersed hydrophytes, characterized as open water area)
5Nit_perNitrophilous perennialsArctium lappa L., Cirsium arvense (L.) Scop., Crisium vulgaris (Savi) Ten., Galeopsis speciosa Mill., Urtica dioica L. s. l., Rumex obtusifolius L., Rumex spec. (not R. maritimus)
6FloodFlood-meadowAlopecurus aequalis Sobol., Glyceria fluitans (L.) R. Br.
7OthersOthersAnthriscus sylvestris (L.) Hoffm., Iris pseudacorus L., Juncus effusus L., Juncus spec.
8Pha_mixPhalaris mixPhalaris arundinacea L.
9Poa_mixPoa mixPoa palustris L., Poa trivialis L.
10Phr_mixPhragmites mixPhragmites australis (Cav.) Trin. ex Steud.
11WoodyWoody plantsHumulus lupulus L., Fraxinus excelsior L., Rosa spec., Salix alba L., Salix cinerea L., Salix spec., Sambucus nigra L., Sorbus aucuparia L., unidentified woody species
12Spa_mixSparganium mixSparganium emersum Rehmann
13Typ_mixTypha latifoliaTypha latifolia L.
14UnvegUnvegetatedNo vegetation
Table 4. Marginal test for environmental variables and relationships between dbRDA coordinate axes and best set of environmental variables identified by a distance-based linear model (DISTLM) stepwise procedure. Area_tot = total kettle hole area, Water_Area = water surface, BS-S = big and shallow storage type, BS-SO = big and shallow shore overflow typ, SS-S = small and shallow storage type, SS-SO = small and shallow shore overflow type, o = oblique, vo = very oblique, s = steep. Pseudo-F = Pseudo-F statistic, P = probability value, Prob. = probability in percent/explained variability. Significant values = bold.
Table 4. Marginal test for environmental variables and relationships between dbRDA coordinate axes and best set of environmental variables identified by a distance-based linear model (DISTLM) stepwise procedure. Area_tot = total kettle hole area, Water_Area = water surface, BS-S = big and shallow storage type, BS-SO = big and shallow shore overflow typ, SS-S = small and shallow storage type, SS-SO = small and shallow shore overflow type, o = oblique, vo = very oblique, s = steep. Pseudo-F = Pseudo-F statistic, P = probability value, Prob. = probability in percent/explained variability. Significant values = bold.
Marginal TestRelationship
VariablePseudo-FPProp.dbRDA1dbRDA2dbRDA3
Area_tot3.4010.0047.80.4090.0460.726
Water_Area4.9620.00011.0−0.3060.7930.358
BS-S2.3970.0275.7
BS-SO2.2950.0395.4−0.3930.051−0.145
SS-S4.0770.0029.3
SS-SO3.4510.0067.9−0.4140.255−0.192
o6.3450.00013.7−0.641−0.5380.515
vo2.8420.2226.6−0.043−0.111−0.146
s1.4130.0173.4
Publisher’s Note: MDPI stays neutral with regard to jurisdictional claims in published maps and institutional affiliations.

Share and Cite

MDPI and ACS Style

Pätzig, M.; Düker, E. Dynamic of Dominant Plant Communities in Kettle Holes (Northeast Germany) during a Five-Year Period of Extreme Weather Conditions. Water 2021, 13, 688. https://doi.org/10.3390/w13050688

AMA Style

Pätzig M, Düker E. Dynamic of Dominant Plant Communities in Kettle Holes (Northeast Germany) during a Five-Year Period of Extreme Weather Conditions. Water. 2021; 13(5):688. https://doi.org/10.3390/w13050688

Chicago/Turabian Style

Pätzig, Marlene, and Eveline Düker. 2021. "Dynamic of Dominant Plant Communities in Kettle Holes (Northeast Germany) during a Five-Year Period of Extreme Weather Conditions" Water 13, no. 5: 688. https://doi.org/10.3390/w13050688

APA Style

Pätzig, M., & Düker, E. (2021). Dynamic of Dominant Plant Communities in Kettle Holes (Northeast Germany) during a Five-Year Period of Extreme Weather Conditions. Water, 13(5), 688. https://doi.org/10.3390/w13050688

Note that from the first issue of 2016, this journal uses article numbers instead of page numbers. See further details here.

Article Metrics

Back to TopTop