Abstract
In this study, stainless-steel electrodes were used to effectively oxidize naproxen and its transformation products in surface water by electrochemical oxidation in short reaction times. An evaluation of the effects of current density, chloride concentrations, and pH on the electrochemical oxidation process (mechanisms, kinetics, and reaction times) was conducted. Results showed that degradation rates of naproxen were greater, and the reaction times were shorter than those reported in other studies for other compounds and electrode materials. Oxidation naproxen and its transformation products were faster at high current densities, high chloride concentrations, and low pH conditions; however, good performance of the electrochemical oxidation process was observed at 16.3 mA/cm2 and pH 5 for both the naproxen and its transformation products, which were oxidized in only 15 min for the treated effluent and 30 min in the case of sludge. At pH 3 and 5, the number of transformation products and the reaction times required for achieving complete oxidation were greater in sludge than in the treated effluent; meanwhile, at pH 7 and 9, the number of transformation products and reaction times needed for non-detection were of the same order in both the treated effluent and the sludge.
1. Introduction
Naproxen (NAP: (+)-(S)-2-(6-methoxynaphthalen-2-yl) propanoic acid) is one of the most commonly used nonsteroidal anti-inflammatory drugs (NSAIDs) worldwide; because of its analgesic, anti-inflammatory, and antipyretic properties, it is normally used to treat fever and acute pain [,,]. After being metabolized by the liver, about 90–95% of the taken dose is excreted by urine as unaltered naproxen and less than 1% as 6-o-desmethyl-naproxen or its conjugated compound, which end in the sewage [,]. Over the past years, naproxen in the environment (lakes, rivers, and estuaries: 0.003–32.0 µg/L); in effluents of wastewater treatment plants (25 ng/L–33.9 µg/L); and adverse effects of naproxen, its metabolites (6-O-desmethylnaproxen, 6-O-desmethylnaproxen sulphate, 6-O-desmethylnaproxen glucuronide and naproxen glucuronide), and transformation products on different organisms have been reported and documented, and have been receiving special attention due to their toxicity and accumulation in aquatic environments (surface water, groundwater, wastewater and drinking water), making it potentially hazardous to the ecosystems [,,,,].
In the last decade, intensive research has been conducted worldwide to find and/or develop effective and affordable methods and technologies to degrade compounds of emerging concern, as well as their metabolites and transformation products from water and wastewater [,]. Advanced oxidation technologies (AOT) have been reported to be very effective to degrade emergent contaminants such as pharmaceuticals, NAP being one of them [,]. Most methods use strong oxidants such as the hydroxyl radical (OH) to degrade the naproxen molecule. Among them can be mentioned UV/chlorine process []; catalytic ozonation with NiO []; catalytic wet air oxidation [,]; catalytic oxidation (CO) in cobalt spinel ferrite-doped Ti3C2Tx MXene-activated persulfate system []; photoelectrocatalysis (PEC) with a Bi2/MoO6-BDD photoanode [,]; photocatalysis (PC) with TiO2 [,], S/W co-doped BiVO4 [], and N-doped TiO2 []; electrochemical oxidation (EO) with boron-doped diamond anodes (BDD) [,], Pt nanoparticles (PNs) [], and multi-walled carbon nanotubes []; and electrochemical Fenton-based processes such as electro-Fenton [,] and photoelectro-Fenton []. However, partial mineralization of NAP, long reaction times, no degradation of oxidation/transformation products generated during the processes, high materials and operation costs, and complex reaction conditions make some of those methods not effective and affordable.
Recently, the electrochemical oxidation process has gained more interest and recognition as a promising approach because it is versatile, friendly with the environment, energetically efficient, has less cost, and allows the treatment of water with high organic loads [,,,]. Nevertheless, intermediates/oxidation products can be generated, and they could be more toxic and bio-recalcitrant than the original compound and difficult to degrade by using conventional methods [,]. Unfortunately, in the literature, specific reports on oxidation and transformation products of naproxen and the electrochemical oxidation mechanisms involved are very few. Therefore, new treatment methods, techniques, and/or technologies proposed must be effective to oxidize not only naproxen, but also the potential intermediates/oxidation products that can be generated, thus avoiding any ecosystems impact and human health risk.
Moreover, the electrodes used on the studies reported in the literature commonly include materials such as boron-doped diamond (BDD), Pt, Au, mixed metal oxide (MMO), graphite, and carbon for their excellent catalytic properties and resistance to dissolution and corrosion; unfortunately, such electrodes are expensive, and their catalytic effectiveness depends not only on their composition but also on the preparation methods [], thus limiting their practical application. However, recently the use of much cheaper and available materials has been evaluated to overcome this limitation, this is the case of stainless steel []. In the industry sector, stainless steel is commonly used because of its thermal, mechanical and electrical properties, strength, resistance to corrosion, and affordability in comparison to other materials such as gold, tantalum, and platinum [,]. Treatment of effluents containing phenols, nitrites, antibiotics cinnamic acid, and cupper cyanide by electrochemical oxidation using stainless steel electrodes has been reported in the literature [,,,,], but still the number of studies is limited.
Thus, in this study, the degradation of naproxen and its transformation products in surface water was conducted by electrochemical oxidation using stainless-steel electrodes and low direct current densities, potentially supplied with solar energy. The performance and effectiveness of the process was evaluated regarding the oxidation of the pharmaceutical, its transformation products, and the influence of other constituents present in surface water. Current densities and pH effects on the degradation rates of the naproxen and its oxidation products were assessed, and mechanisms and oxidation kinetics were also discussed. Furthermore, the results obtained in this research were compared with those reported by the literature using different oxidation processes and complement materials such as solar light-driven Z-scheme Ag2CO3/TNS-001 photocatalytic oxidation [], advanced oxidation with persulphate [], heterogeneous oxidation with α-MnO2 nanostructures [], heterogeneous Fenton-like oxidation [], FeII/EDDS/UV/PAA advanced oxidation [], electro-adsorption/electrochemical oxidation [], catalytic wet air oxidation with nanospheres catalysts [], anodic oxidation by platinum nanoparticles [], catalytic oxidation in cobalt spinel ferrite [], and blue LED light-driven photoelectrocatalytic oxidation [,,]. This work shows that the use of stainless-steel electrodes on electrochemical oxidation of organic compounds and their transformation products can be a sustainable, feasible, and affordable technological alternative.
2. Materials and Methods
2.1. Chemicals and Materials
Naproxen ((+)-(S)-2-(6-methoxynaphthalen-2-yl) propanoic acid, 98.5%, Sigma-Aldrich, Toluca, Mexico), hydrochloride acid (HCl, 37%, Fermont, Mexico City, Mexico), and potassium hydroxide (KOH, 90%, Sigma-Aldrich, Toluca, Mexico) were the chemicals used in this study. Additionally, surface water samples taken from the ‘‘Rodrigo Gómez’’ dam (Santiago, N.L., Mexico) and ultrapure water (Milli-Q water purification system, Bedford, MA, USA) were used.
2.2. Experimental Device
The experimental device used in this work is shown in Figure 1 and consists of a 200 mL electrochemical oxidation cell with an inside mesh of 15 stainless-steel (type 304) electrodes with 2 mm diameter and 120 mm length (seven cathodes and eight “active” anodes) spaced approximately 2 mm apart from one another. Cathodes and anodes end in electrical terminals that are connected to a direct current (DC) power supplier (0–50 V, 0–10 A). Additionally, water sample inlet and outlet valves and gas outlet valve are disposed conveniently.

Figure 1.
Experimental device: electrochemical oxidation cell with stainless-steel electrodes.
2.3. Characterization of Surface Water
Surface water from the “Rodrigo Gómez” dam located in Santiago, Nuevo León, México was used for all the experiments. It was stored in 20 L containers at ≤4 °C until its use. The bulky characterization was conducted based on parameters such as chemical oxygen demand (COD), total organic carbon (TOC), total solids (TS), total suspended solids (TSS), total dissolved solids (TDS), pH, electrical conductivity (EC), turbidity, and concentration of chloride ion and traces of naproxen and metabolites. All analyses were conducted based on the protocols of the Standard Methods for the Examination of Water and Wastewater []. Naproxen and its transformation products were analyzed by HPLC using an Agilent 1200 HPLC-DAD equipment (Agilent Technologies, Santa Clara, CA, USA).
2.4. Degradation of Naproxen and its Oxidation Products
Four 10 mg/L-naproxen solutions were prepared with surface water. Initial pH of the solutions (8.1) was adjusted to 3, 5, 7, and 9 using hydrochloric acid (HCl, 0.1 M) and/or potassium hydroxide (KOH, 0.1 M) as required. All solutions were treated electrochemically at DC densities of 12.3 mA/cm2 (8.5 V), 16.3 mA/cm2 (10 V), and 20.3 mA/cm2 (12 V). These current densities refer to the eight “active” anodes surface area. All experiments were conducted on batch configuration. The applied reaction times were 1, 2.5, 5, 7.5, 10, 15, 20, 25, 30, 35, 40, 50, and 60 min. After each reaction time, samples were filtered using 0.45 µm polytetrafluoroethylene syringe filters. Then samples were analyzed by triplicate using an Agilent 1200 HPLC-DAD equipment (Agilent Technologies, Santa Clara, CA, USA). Separation of analytes was done by a 150 × 4.6 mm reverse phase monomeric Zorbax C18 column with 5 µm diameter spherical particles (MAC-MOD Analytical, Wilmington, DE, USA). The mobile phase consisted of methanol (100%, HPLC grade, VWR®) in ultrapure water (40/60/v/v) with a gradient in the first 4 min changing to (65/35/v/v). The operation conditions of the equipment were temperature 30 °C, flowrate 1.0 mL/min, detection at 230 nm, and injection volume of 20 µL. Sludge (iron oxides flocs) produced during the experiments was released from the experimental device and dewatered with 0.45 µm polytetrafluoroethylene syringe filters; then the extracts were analyzed as described before to detect the presence of naproxen and oxidation products.
The effects of current density and pH on the NAP oxidation rate constants were analyzed. Electrochemical oxidation kinetics results were linearized by a semi-log method (ln (C/Co) = k t), where C is the concentration at any reaction time (mg/L), Co is the initial concentration of NAP (10 mg/L), k is the oxidation rate constant (min−1), and t is the reaction time (min). Linear regressions were conducted by Excel to determine the oxidation rate constants.
3. Results and Discussion
3.1. Surface Water Characterization
Table 1 presents the characterization of raw surface water and four naproxen solutions prepared with surface water at different pH values. In raw surface water, naproxen and its oxidation products were not detected by HPLC-DAD at 230 nm.

Table 1.
Characterization of raw surface water and naproxen solutions.
As observed in Table 1, after preparation of the 10 mg/L naproxen solutions, COD and TOC parameters increased as expected with respect to the values obtained for surface water. Also expected, Cl− concentration of solutions increased with the adjustment of pH to 3, 5, and 7 using HCl.
3.2. Degradation of Naproxen
Naproxen oxidation conducted under four pH conditions and for three current densities is presented in Figure 2, and rection times obtained are summarized in Table 2. As observed, naproxen was degraded in reaction times shorter than 35 min for all pH and current densities conditions. In general, the greater the current density and lower the pH, the faster the oxidation rate and shorter the reaction time. The reaction times were shorter than those reported in the literature (8 to 300 min) for naproxen synthetic solutions, surface water, wastewater, and slurry using different oxidation processes and complement materials such as solar light-driven Z-scheme Ag2CO3/TNS-001 photocatalytic oxidation [], advanced oxidation process with persulphate [], heterogeneous oxidation with α-MnO2 nanostructures [], heterogeneous Fenton-like oxidation [], FeII/EDDS/UV/PAA advanced oxidation [], electro-adsorption/electrochemical oxidation [], catalytic wet air oxidation with nanospheres catalysts [], anodic oxidation by platinum nanoparticles [], catalytic oxidation in cobalt spinel ferrite [], and blue LED light-driven photoelectrocatalytic oxidation [,,]. As seen, the results obtained in this study are promising in the sense that moderate current densities and small adjustment of pH is needed to oxidize naproxen. Furthermore, at pH 7, naproxen was not detected at reaction times longer than 15 min for the three current densities, which is still very attractive from the practical point of view. It is important to note that no big changes of pH occurred during the experiments; the average pH and standard deviations that characterized the experiments were 3.7 ± 0.7, 6.3 ± 0.6, 7.2 ± 0.1, and 7.8 ± 0.7 for initial pH experiment conditions of 3, 5, 7, and 9, respectively. As seen at pH 3, 5, and 7, increased pH was observed, meanwhile at pH 9, its value decreased during the experiment.

Figure 2.
Degradation of naproxen at different current densities and pH values. The figure shows the average of three replicates. (a) DC density: 20.3 mA/cm2; (b) DC density: 16.3 mA/cm2; (c) DC density: 12.3 mA/cm2.

Table 2.
Reaction times (min) for electrochemical oxidation of naproxen in surface water.
Different mechanisms dominated the degradation of naproxen in the electrochemical oxidation cell depending on the chloride ions concentration and the pH of the naproxen solutions. As seen in Section 3.1 (Table 1), the concentration of chloride ions in the pH 9 surface water solution was very low; therefore, oxidation of naproxen was dominated by direct electrolysis of naproxen adsorbed onto the stainless-steel electrodes surface, involving direct charge transfer reactions between the electrodes surface and the pharmaceutical where only electrons were involved as mediators of the mechanism [,,,]. Intermediates were formed in this process, and they will be discussed in Section 3.3.
At pH 3, 5, and 7, due to the adjustment of the surface water solutions’ pH with HCl, degradation of naproxen occurred by indirect oxidation with the presence of active chlorine species, which were electro-generated at the anode surface []. Dissociation of HCl into H+ and Cl− occurred and chloride ions became available. At the anode, soluble chlorine (Cl2) was formed by direct oxidation of Cl− ion by Reaction (1), then hypochlorous acid (HClO) and chloride ion were generated when (Cl2) diffused away from the anode and was hydrolyzed according to Reaction (2). Under equilibrium conditions, Cl2, HClO, and ClO− are the predominant species at pH < 3, pH 3–8, and at pH > 8, respectively []. According to the literature, in solutions with active chlorine species, the mediated oxidation is faster in acid media than in alkaline due to the higher standard potential of Cl2 (E0 = 1.36 V vs. SHE) and HClO (E0 = 1.49 V vs. SHE), in comparison with ClO− (E0 = 0.89 V vs. SHE) [,]. Thus, under pH 3, 5, and 7 conditions, naproxen was oxidized by active chlorine species (Cl2 and HClO), accordingly to Reaction (3) and Reaction (4) []. The oxidation activity of “active” stainless steel electrodes was improved by Cl2 and HClO.
2 Cl− → Cl2(aq) + 2e−
Cl2(aq) + H2O ⇄ HClO + Cl− + H+
Cl2(aq) + R → CO2 + H2O + Cl−
HClO + Cl− + R → CO2 + H2O + Cl−
At high current densities, simultaneous oxidation of naproxen and water occurred, and the selectivity and efficiency of the process were importantly affected by the anode activity, with either oxidation or electrochemical conversion occurring [,]. The formation of oxidation products is discussed in Section 3.3.
Reports of naproxen electrochemical oxidation with active chlorine species using stainless-steel electrodes are not available in the literature; however, electrochemical oxidation of other organic compounds using other electrode materials is reported. Fajardo et al. [] described the electrochemical oxidation of phenolic wastewater using 10 g/L of NaCl, 119 mA/cm2, and an initial pH of 3.4, achieving complete removal of the phenolic content in 180 min. Carneiro et al. [] conducted the electrochemical degradation of fluoroquinolone enrofloxacin at 10 mA/cm2 and 0.1 M NaCl using a filter-press flow cell with a boron-doped diamond anode, attaining complete removal of the pharmaceutical in 8 h. García-Espinoza et al. [] reported the electrochemical degradation of carbamazepine with active chlorine at 1.0 A; 14 mM NaCl; and pH 10, 7, and 2 using Nb/BDD anode, obtaining 89% of degradation after 12.5 min. Baloul et al. [] degraded 80% and 95% of acetaminophen in 30 min at 80 mA in 0.1 M NaCl with Ti/RuO2 and boron anodes doped with diamond (BDD), respectively. In a previous study, López Zavala et al. [] electrochemically oxidized acetaminophen and its transformation products in surface water at current densities, chloride concentrations, and pH conditions, like those used in this work (Table 1). At pH 3 and 5, the reaction times in naproxen electrochemical oxidation were longer (approximately doble) than those of acetaminophen; however, at pH 7 and 9, the reaction times of naproxen were much shorter (approximately doble) than those of acetaminophen (Table 2) []. As seen in Figure 2 and Table 2, degradation rates of naproxen in this study were greater and the reaction times were shorter than those reported in previous studies for other compounds and electrode materials, and similar to those where acetaminophen was also electrochemically oxidized using stainless-steel electrodes. These results are relevant and promising from the practical point of view, because the process demands low-cost electrodes, low DC densities, and pH adjustment, which is easily managed and does not represent a real challenge in practice.
Additional details of the electrochemical oxidation of naproxen in surface water using stainless-steel electrodes can be obtained based on the analysis of current density and pH effects on the oxidation rate constants. Curves of Figure 2 were linearized by a semi-log method (ln (C/Co) = k t), and rate constants were determined and shown in Figure 3. R2 was determined for all the scenarios, ranging from 0.9417 to 0.9961, which indicates that the model explains and predicts properly the experimental results. As seen, the oxidation rate constants are greater at lower pH values; furthermore, at pH 3, the oxidation rate constant of naproxen was on the same order 2.14 min−1, 2.08 min−1, and 2.10 min−1 for the current densities 12.3 mA/cm2, 16.3 mA/cm2, and 20.3 mA/cm2, respectively; i.e., at pH 3, the oxidation rate constant is not dependent on the current density, and then low current densities (Ex., 12.3 mA/cm2) can be applied to have high degradation rates; however, for greater pH values, the rate constants increased with the current density, i.e., for pH 5 and greater values, the current density is important to enhance the naproxen oxidation, being especially notable at pH 5 and 7. Similar results are reported by other researchers for electrochemical oxidation of acetaminophen, other emergent pollutants such as colorants, and other AOPs such as catalytic wet peroxide oxidation (CWPO) where the optimum pH ranged from 2.5 to 3.5 [,,].

Figure 3.
Electrochemical oxidation rate constants of naproxen in surface water. (a) effect of current density and (b) effect of pH. Average of three replicates.
In comparison with the results obtained by [] for acetaminophen, which is also electrochemically oxidized using stainless-steel electrodes, the oxidation rate constants obtained in this study were smaller for pH 3 and 5 at current densities 20.3 mA/cm2 and 16.3 mA/cm2; meanwhile, for pH 7 and 9 at all current densities, the oxidation rate constants of naproxen were greater.
3.3. Degradation of Naproxen Transformation Products (TP)
As discussed in Section 3.2, depending on the chloride ions’ concentration and the pH of the naproxen solutions, the electrochemical oxidation is dominated by direct electrolysis or by oxidation with active chlorine species. Direct electrolysis of naproxen generated intermediates; meanwhile, oxidation products were formed during the naproxen oxidation with active chlorine species. Such transformation products were detected in both the treated effluent (TE) and the sludge (SL) generated during the experiments. The stainless-steel electrodes were slightly oxidized, and iron oxides flocs (sludge) were formed; therefore, they were analyzed to verify the existence of naproxen transformation (intermediates/oxidation) products. As known, transformation products could be more toxic than the original compound itself; therefore, they must also be oxidized to minimize the risk. The highest number of transformation products was detected at pH (3) and current density of 20.3 mA/cm2; the formation and complete oxidation of them is observed in the chromatograms presented in Figure 4 and Figure 5 for the treated effluent and sludge, respectively. Chromatograms for other current densities and pH conditions were also obtained, but they are not included in this paper. Figure 4a (tr = 0 min) presents the chromatogram corresponding to the naproxen solution prepared with surface water at pH 3; as seen, the naproxen and other two species were detected, at 1.294 min and 3.255 min retention times. The peak at 1.294 min (TP 1) was also detected in raw surface water, and it was confirmed that it corresponds to iron oxides. The other compound trace (TP 8) was formed when the naproxen solution was prepared; surely, the HCl added to adjust the pH of the solution rapidly caused some transformations of either the surface water organic matter or the naproxen. When electrochemical degradation began (Figure 4b, reaction time tr = 1 min), naproxen was immediately oxidized, and six additional transformation products appeared in the treated effluent. Along with the compound traces detected in Figure 4a, the oxidation products were designated as TP 1 (1.294), TP 2 (1.388), TP 4 (1.645), TP 5 (1.814), TP 6 (2.260), TP 7 (2.376) TP 8 (3.255), and TP 9 (4.238). As mentioned previously, the TP 1 was confirmed to be iron oxide, and TP 2 was identified as iron hydroxide, so they were not really naproxen oxidation products; however, they were considered transformation products of the electrochemical oxidation process because their concentration increased with the time, as the oxidation of the stainless-steel electrodes occurred. At the reaction time tr = 7.5 min, naproxen and most of the oxidation products were no longer detected; only the TP 1 and TP 2 peaks were still observed in the chromatogram. At 60 min reaction time, only the TP 1 (soluble iron oxide) appeared; as expected, the magnitude of the peak increased with the time as the oxidation of the stainless-steel electrodes progressed. TP 2 precipitated, then it was no longer detected in the treated effluent. As mentioned before, the highest number of transformation products was detected at pH 3, confirming the observations of [] in the sense that electrochemical oxidation with active chlorine species produces more transformation products than direct electrolysis.

Figure 4.
Electrochemical oxidation of naproxen and its transformation products (TP) at different reaction times with the highest current density (20.3 mA/cm2) and lowest pH (3). (a) tr = 0 min; (b) tr = 1 min; (c) tr = 7.5 min; (d) tr = 60 min. TP refers to transformation products.

Figure 5.
Naproxen and its transformation products (TP) detected in the sludge at different reaction times with the highest current density (20.3 mA/cm2) and lowest pH (3). (a) tr = 0 min; (b) tr = 1 min; (c) tr = 7.5 min; (d) tr = 60 min. TP refers to transformation products.
In relation to the transformation products found in the sludge, only six of the eight oxidation products detected in the treated effluent were observed: TP 1, TP 2, TP 4, TP 6, TP 7, and TP 8; however, five additional compounds were detected at different pH conditions: TP 3 (1.478), TP 10 (4.456), TP 11 (5.100), TP 12 (5.600), and TP 13 (6.500), as seen in Figure 5b (tr = 1 min). No other oxidation products were detected at other current densities and pH conditions. It is important to note that most of the transformation products were adsorbed to the flocs (sludge) formed during the oxidation process; therefore, complete oxidation of transformation products must also be achieved in the sludge. As seen at 7.5 min reaction time, most the compounds were not detected, only TP 1 and TP 2 remained, and their concentration increased with the time, as observed in Figure 5d (tr = 60 min). As discussed previously, TP 1 corresponded to iron oxide, and TP 2 was identified as iron hydroxide. As the oxidation of the stainless-steel electrodes progressed with time, a larger amount of the iron species were detected. Therefore, it is important to reduce the operation time of the electrochemical oxidation cell to reduce the oxidation of the electrodes and consequently minimize the generation of such oxidation byproducts. Indeed, at 20.3 mA/cm2 current density and pH 3, only 10 min were needed to degrade the naproxen oxidation products in both the treated effluent and the sludge.
The formation of transformation products was discussed by [] for naproxen oxidation in UV/chlorine process (11 byproducts) and chlorination process (7 byproducts). All the transformation products were chlorinated byproducts such as 2-(5-chloro-6-methoxynaphthalen-2-yl) propanoic acid, 2-(5-dichloro-6-methoxynaphthalen-2-yl) propanoic acid, 2-(7-chloronaphthalen-2-yl) propanoic acid, 2-(7-dichloronaphthalen-2-yl) propanoic acid, 1-(8-dichloro-6ethenylnaphthalen)-2-ol, 1-(5-chloro-6-methoxynaphthalen-2-yl) ethan-1-one, and 1-(6-chloro-2-hydroxynaphthalen-1-yl) ethan-1-one. Some of these compounds could be detected in this research; however, the identification of such transformation products was not the scope of this work; but the effect of current density and pH on their detection and degradation was. As mentioned previously, at 20.3 mA/cm2 current density and pH 3, only 10 min were needed to degrade the naproxen oxidation products not only in the treated effluent but also in the sludge. On the other hand, as mentioned above, TP 1 and TP 2 corresponded to iron oxides and hydroxides; therefore, their concentration augmented as the reaction time increased. As is well-known, iron oxides and hydroxides do not represent an environmental concern and human health risk and they can be removed from the water effluent by using simple techniques.
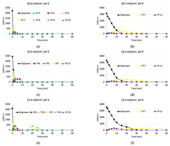
More details of the oxidation of naproxen transformation products under different current densities and pH conditions are presented in Figure 6. TP 1 and TP 2 were not included in this and the following figures and discussions because they were not naproxen byproducts, as mentioned previously. Regarding the effect of the current density, more transformation products were detected at high current densities; at 20.3 mA/cm2 and pH 3, six transformation products were detected; meanwhile, at 16.3 mA/cm2 and 12.3 mA/cm2 and pH 3, there were only four and three transformation products, respectively. However, at high current densities, the degradation of transformation products was faster, at 20.3 mA/cm2 and pH 3 all transformation products were oxidized in only 2.5 min; meanwhile, at 16.3 mA/cm2 and 12.3 mA/cm2 and pH 3, the reaction time required to degrade any transformation product in the treated effluent was 5 min. In relation to the effect of pH, it was observed that a greater number of transformation products was generated at low pH conditions. At 20.3 mA/cm2 and pH 3, six byproducts were detected, but at pH 5, 7, and 9, there were only two transformation products. At 16.3 mA/cm2 and pH 3, 5, and 7, four intermediate/oxidation products were generated; meanwhile at pH 9, only two byproducts were formed. At 12.3 mA/cm2 and pH 3, 5, and 7, three transformation products were detected, but at pH 9 only two byproducts were detected, as seen in Figure 7. It was clear that the higher the pH, the longer the reaction time required to oxidize the transformation products. At pH 9, the reaction time required to completely degrade all the transformation products was on the order of 45 min at 20.3 mA/cm2 and 60 min at 12.3 mA/cm2; meanwhile, at pH 3, the reaction time was 2.5 min at 20.3 mA/cm2 and 5 min at 12.3 mA/cm2. In comparison with the electrochemical oxidation of other pharmaceuticals (acetaminophen) under the same current densities, chloride concentrations, and pH conditions [], in general the reaction times required to oxidize the naproxen transformation products were of the same order.

Figure 6.
Naproxen transformation products generation and electrochemical oxidation under different current densities and pH conditions. The figure shows the average of three replicates. (a) 20.3 mA/cm2 and pH 3; (b) 20.3 mA/cm2 and pH 9; (c) 16.3 mA/cm2 and pH 3; (d) 16.3 mA/cm2 and pH 9; (e) 12.3 mA/cm2 and pH 3; and (f) 12.3 mA/cm2 and pH 9.

Figure 7.
Naproxen transformation products detection in the sludge and electrochemical oxidation under different current densities and pH conditions. The figure shows the average of three replicates. (a) 20.3 mA/cm2 and pH 3; (b) 20.3 mA/cm2 and pH 9; (c) 16.3 mA/cm2 and pH 3; (d) 16.3 mA/cm2 and pH 9; (e) 12.3 mA/cm2 and pH 3; (f) 12.3 mA/cm2 and pH 9.
On the other hand, Figure 7 shows the transformation products detected in the sludge. In general, at pH 3 and 5, more and different naproxen byproducts were detected in the sludge in comparison with those of the treated effluent. At pH 7 and 9, the number and type of transformation products were like those of the treated effluent. Similarly to the treated effluent (Figure 6), total oxidation of the transformation products was faster at high current densities and lower pH values, but the reaction times required for complete degradation were longer for the compounds detected in the sludge. At 20.3 mA/cm2 and pH 3, all the byproducts were oxidized in 7.5 min; meanwhile, at pH 5, 7, and 9, 30 min, 30 min and 50 min were required, respectively. At 16.3 mA/cm2 and pH 3, the reaction time for achieving complete degradation of transformation products was 10 min; at pH 5 and 7, 30 min; and at pH 9, 50 min reaction time was required. At 12.3 mA/cm2 and pH 3, 30 min reaction time was required to achieve complete degradation of the transformation products; but at pH 5, 7, and 9, 40 min, 40 min, and 60 min reaction times were needed, respectively. The reaction times to oxidize the naproxen transformation products in the sludge were, in general, slightly shorter than those observed in the case of acetaminophen electrochemical oxidation reported by []. This differs a little bit with the results obtained for the treated effluent. These differences must be taken into consideration for ensuring a complete oxidation of the compounds and their transformation products. Table 3 summarizes the reaction times for the oxidation of naproxen transformation products in the treated effluent and sludge.

Table 3.
Reaction times (min) to degrade naproxen transformation products when stainless-steel electrodes are used 1.
As seen from Table 2 and Table 3, not only the naproxen but also the transformation products are oxidized in only 60 min (an hour) at any pH and current density evaluated in this work. In sludge, the oxidation of transformation products may delay longer at low pH conditions, in the worst case 20 min, in comparison with the treated effluent. It is important to note that even though at pH 3 a greater number of transformation products were generated, they degraded faster. At high pH conditions, the reaction times are in the same order in both the treated effluent and sludge. At pH 5, the reaction times needed to oxidize the transformation products at 20.3 mA/cm2 and 16.3 mA/cm2 were of the same order. These results are very interesting from a practical viewpoint, because at 16.3 mA/cm2 a smaller number of transformation products are formed and they, together with naproxen, can be oxidized in only 15 min, and 30 min in the case of sludge (Table 3). Furthermore, 16.3 mA/cm2 current density can be provided by alternative sources such as solar energy, and the pH adjustment to 5 is not a real challenge because it is a common practice in chemical treatment processes. As discussed above, the use of stainless-steel electrodes in the electrochemical oxidation process generates iron oxides and hydroxides due to the oxidation of the “active” anodes. This is normally commented as a disadvantage by those who promote the use of high-quality electrode materials such as graphite, carbon, mixed metal oxide (MMO), boron-doped diamond (BDD), Au, and Pt; however, it cannot be forgotten that they are expensive, and their composition and fabrication methods affect their catalytic efficacy. Instead, stainless steel is an affordable market material; is cheaper; and has interesting properties such as strength, corrosion resistance, mechanical workability, and extraordinary electrical and thermal conductivities that make the use of noble metals (platinum, gold and tantalum) that are questionable for practical applications. Thus, the use of stainless-steel electrodes to electrochemically oxidize organic compounds such as pharmaceuticals is a feasible and affordable alternative with enormous potential for degrading not only the pharmaceuticals, but also their transformation products. The iron species generated can be removed efficiently by conventional techniques such as settling or granular filtration.
4. Conclusions
The findings of the current work will sum to the intensive research conducted in the last decades worldwide to develop more versatile; environmentally friendly; energetically efficient; cost effective; and affordable oxidation processes, methods, and/or technologies for the treatment of water and wastewater with emergent contaminants. Thus, this contributes to the move forward to more sustainable chemistry and engineering research.
Results obtained in this research show that the use of stainless-steel electrodes on the electrochemical oxidation of the naproxen and its transformation products in surface water was effective, because such compounds were degraded in very short reaction times, lower than those reported for other electrode materials and even another advanced oxidation process, and similar to those of acetaminophen, which is also electrochemically oxidized using stainless-steel electrodes and the same current densities, chloride concentrations, and pH conditions. Results confirmed that under alkaline conditions (pH 9), naproxen was mainly oxidized by direct electrolysis; on the contrary, “active chlorine” species dominated the oxidation of naproxen under acidic and neutral conditions (pH 3, pH 5 and pH 7). Oxidation was faster at high current densities, high chloride concentrations, and low pH conditions, i.e., oxidation by “active chlorine” species was faster than direct electrolysis. Both mechanisms generated byproducts, oxidation products, and intermediates, respectively, broadly called transformation products. Naproxen and its transformation products were also faster oxidized at high current densities, high chloride concentrations, and lower pH conditions; however, good performance of the electrochemical oxidation process was observed at moderate current density and pH conditions (16.3 mA/cm2 and pH 5) for both the naproxen and its transformation products, which were oxidized in only 15 min for the treated effluent and 30 min in the case of sludge; furthermore, a smaller amount of transformation products were generated in comparison with higher current densities and lower pH conditions.
On the other hand, at pH 3 and 5, a greater number of transformation products were detected in the sludge, and longer reaction times were required for achieving complete oxidation, in comparison with the treated effluent. At pH 7 and 9, the number of transformation products and reaction times needed for obtaining total degradation were on the same order with those registered in the treated effluent. Definitely, more research should be conducted to elucidate the chemical interactions and mechanisms involved on the formation of transformation products and the delay of reaction times in the sludge, formed during the oxidation process. Nevertheless, the results of this study are significant from the practical viewpoint, because the use of stainless-steel electrodes allowed the complete electrochemical oxidation of naproxen and its transformation products in real surface water in very short reaction times, at low DC densities, and small pH adjustment. The DC densities can be supplied with alternative sources such as solar energy, and the adjustment of pH can be easily managed in practice. Therefore, the use of stainless-steel electrodes on the electrochemical oxidation of organic compounds and their transformation products could become a sustainable, feasible, and affordable technological alternative.
It is clear that noble metals and carbon-derivative materials are better materials for electrodes than stainless-steel; however, the great availability in the market; low cost; and other thermal, electrical, mechanical, and strength properties make the stainless-steel very attractive to be used as an electrode in real applications. Thus, this work contributes to the challenge of finding more economic, feasible, viable, affordable, and sustainable technological solutions in chemistry and engineering research.
Author Contributions
M.Á.L.Z. obtained the funds to conduct the research. Furthermore, he conceived and designed the experimental procedure, analyzed and discussed the results, prepared tables and figures, and wrote the paper. D.A.V. conducted all the experiments. All authors have read and agreed to the published version of the manuscript.
Funding
This research received no external funding.
Acknowledgments
This work was supported by the National Council of Science and Technology (CONACYT) of Mexico and the Tecnologico de Monterrey.
Conflicts of Interest
The authors declare no conflict of interest. The founding sponsors had no role in the design of the study; in the collection, analyses, or interpretation of data; in the writing of the manuscript; or in the decision to publish the results.
References
- DrugBank Online. 2021. Available online: https://go.drugbank.com/drugs/DB00788 (accessed on 2 July 2021).
- Gómez-Oliván, L.M.; Neri-Cruz, N.; Galar-Martínez, M.; Islas-Flores, H.; García-Medina, S. Binary mixtures of diclofenac with paracetamol, ibuprofen, naproxen, and acetylsalicylic acid and these pharmaceuticals in isolated form induce oxidative stress on Hyalella azteca. Environ. Monit. Assess. 2014, 186, 7259–7271. [Google Scholar] [CrossRef] [PubMed]
- Warden, S.J. Prophylactic use of NSAIDs by athletes: A risk/benefit assessment. Physician Sportsmed. 2010, 38, 132–138. [Google Scholar] [CrossRef] [PubMed]
- Serra-Pérez, E.; Álvarez-Torrellas, S.; Águeda, V.I.; Larriba, M.; Ovejero, G.; García, J. Effective removal of naproxen from aqueous solutions by CWAO process using noble metals supported on carbon nanospheres catalysts. Sep. Purif. Technol. 2021, 259, 118084. [Google Scholar] [CrossRef]
- Wojcieszynska, D.; Guzik, U. Naproxen in the environment: Its occurrence, toxicity to nontarget organisms and biodegradation. Appl. Microbiol. Biotechnol. 2020, 104, 1849–1857. [Google Scholar] [CrossRef] [PubMed] [Green Version]
- Ebele, A.J.; Abou-Elwafa Abdallah, M.; Harrad, S. Pharmaceuticals and personal care products (PPCPs) in the freshwater aquatic environment. Emerg. Contam. 2017, 3, 1–16. [Google Scholar] [CrossRef]
- Gao, Y.Q.; Gao, N.Y.; Chu, W.H.; Yang, Q.L.; Yin, D.Q. Kinetics and mechanistic investigation into the degradation of naproxen by a UV/chlorine process. RSC Adv. 2017, 7, 33627–33634. [Google Scholar] [CrossRef] [Green Version]
- Santos, L.H.; Araújo, A.N.; Fachini, A.; Pena, A.; Delerue-Matos, C.; Montenegro, M.C. Ecotoxicological aspects related to the presence of pharmaceuticals in the aquatic environment. J. Hazard. Mater. 2010, 175, 45–95. [Google Scholar] [CrossRef] [PubMed] [Green Version]
- Abreu, E.; Fidelis, M.Z.; Fuziki, M.E.; Malikoski, R.M.; Mastsubara, M.C.; Imada, R.E.; de Tuesta, J.L.D.; Gomes, H.T.; Anziliero, M.D.; Baldykowski, B.; et al. Degradation of emerging contaminants: Effect of thermal treatment on Nb2O5 as photocatalyst. J. Photochem. Photobiol. A Chem. 2021, 419, 113484. [Google Scholar] [CrossRef]
- de Tuesta, J.L.D.; de Almeida, F.V.M.; Oliveira, J.R.P.; Praça, P.; Guerreiro, M.C.; Gomes, H.T. Kinetic insights on wet peroxide oxidation of caffeine using EDTA-functionalized low-cost catalysts prepared from compost generated in municipal solid waste treatment facilities. Environ. Technol. Innov. 2021, 24, 101984. [Google Scholar] [CrossRef]
- Fayyaz, A.; Saravanakumar, K.; Talukdar, K.; Kim, Y.; Yoon b, Y.; Park, C.M. Catalytic oxidation of naproxen in cobalt spinel ferrite decorated Ti3C2Tx MXene activated persulfate system: Mechanisms and pathways. Chem. Eng. J. 2021, 407, 127842. [Google Scholar] [CrossRef]
- Changanaqui, K.; Alarcón, H.; Brillas, E.; Sirés, I. Blue LED light-driven photoelectrocatalytic removal of naproxen from water: Kinetics and primary by-products. J. Electroanal. Chem. 2020, 867, 114192. [Google Scholar] [CrossRef]
- Aguilar, C.M.; Chairez, I.; Rodríguez, J.L.; Tiznado, H.; Santillán, R.; Arrieta, D.; Poznyak, T. Inhibition effect of ethanol in naproxen degradation by catalytic ozonation with NiO. RSC Adv. 2019, 9, 14822–14833. [Google Scholar] [CrossRef] [Green Version]
- Benitez, F.J.; García, J.; Acero, J.L.; Real, F.J.; Roldan, G. Non-catalytic and catalytic wet air oxidation of pharmaceuticals in ultra-pure and natural waters. Process Saf. Environ. Prot. 2011, 89, 334–341. [Google Scholar] [CrossRef]
- Zhao, X.; Qu, J.; Liu, H.; Qiang, Z.; Liu, R.; Hu, C. Photoelectrochemical degradation of anti-inflammatory pharmaceuticals at Bi2/MoO6-boron-doped diamond hybrid electrode under visible light irradiation. Appl. Catal. B Environ. 2009, 91, 539–545. [Google Scholar] [CrossRef]
- Villanueva-Rodríguez, M.; Bello-Mendoza, R.; Hernández-Ramírez, A.; Ruiz-Ruiz, E.J. Degradation of anti-inflammatory drugs in municipal wastewater by heterogeneous photocatalysis and electro-Fenton process. Environ. Technol. 2018, 40, 2436–2445. [Google Scholar] [CrossRef]
- Kanakaraju, D.; Motti, C.A.; Glass, B.D.; Oelgemüller, M. Solar photolysis versus TiO2 mediated solar photocatalysis: A kinetic study of the degradation of naproxen and diclofenac in various water matrices. Environ. Sci. Pollut. Res. 2016, 23, 17437–17448. [Google Scholar] [CrossRef]
- Regmi, C.; Kshetri, Y.K.; Pandey, R.P.; Lee, S.W. Visible-light-driven S and W co-doped dendritic BiVO4 for efficient photocatalytic degradation of naproxen and its mechanistic analysis. Mol. Catal. 2018, 453, 149–160. [Google Scholar] [CrossRef]
- Amini, Z.; Givianrad, M.H.; Saber-Tehrani, M.; Azar, P.A.; Husain, S.W. Synthesis of N doped TiO2/SiO2/Fe3O4 magnetic nanocomposites as a novel purple LED illumination-driven photocatalyst for photocatalytic and photoelectrocatalytic degradation of naproxen: Optimization and different scavenger agents study. J. Environ. Sci. Health A 2019, 54, 1254–1267. [Google Scholar] [CrossRef]
- González, T.; Domínguez, J.R.; Palo, P.; Sánchez-Martín, J. Conductive-diamond electrochemical advanced oxidation of naproxen in aqueous solution: Optimizing the process. J. Chem. Technol. Biotechnol. 2011, 86, 121–127. [Google Scholar] [CrossRef]
- Coria, G.; Sirés, I.; Brillas, E.; Nava, J.L. Influence of the anode material on the degradation of naproxen by Fenton-based electrochemical processes. Chem. Eng. J. 2016, 304, 817–825. [Google Scholar] [CrossRef]
- Chin, C.J.M.; Chen, T.-Y.; Lee, M.; Chang, C.F.; Liu, Y.-T.; Kuo, Y.-T. Effective anodic oxidation of naproxen by platinum nanoparticles coated FTO glass. J. Hazard. Mater. 2014, 277, 110–119. [Google Scholar] [CrossRef]
- Montes, R.H.O.; Lima, A.P.; Cunha, R.R.; Guedes, T.J.; dos Santos, W.T.P.; Nossol, E.; Richter, E.M.; Munoz, R.A.A. Size effects of multi-walled carbon nanotubes on the electrochemical oxidation of propionic acid derivative drugs: Ibuprofen and naproxen. J. Electroanal. Chem. 2016, 775, 342–349. [Google Scholar] [CrossRef]
- Zavala, M.Á.L.; Vega, D.A.; Vega, J.M.Á.; Jerez, O.F.C.; Hernández, R.A.C. Electrochemical oxidation of acetaminophen and its transformation products in surface water: Effect of pH and current density. Heliyon 2020, 6, e03394. [Google Scholar] [CrossRef] [PubMed] [Green Version]
- Anglada, A.; Urtiaga, A.M.; Ortiz, I. Contributions of electrochemical oxidation to waste-water treatment: Fundamentals and review of applications. J. Chem. Technol. Biotechnol. 2009, 84, 1747–1755. [Google Scholar] [CrossRef]
- García-Segura, S.; Ocón, J.D.; Chong, M.N. Electrochemical oxidation remediation of real wastewater effluents—A review. Process SAF Environ. 2018, 113, 48–67. [Google Scholar] [CrossRef]
- Garcia-Segura, S.; Keller, J.; Brillas, E.; Radjenovic, J. Removal of organic contaminants from secondary effluent by anodic oxidation with a boron-doped diamond anode as tertiary treatment. J. Hazard. Mater. 2015, 283, 551–557. [Google Scholar] [CrossRef] [PubMed]
- Martínez-Huitle, C.A.; Panizza, M. Electrochemical oxidation of organic pollutants for wastewater treatment. Curr. Opin. Electrochem. 2018, 11, 62–71. [Google Scholar] [CrossRef]
- Shestakova, M.; Sillanpää, M. Electrode materials used for electrochemical oxidation of organic compounds in wastewater. Rev. Environ. Sci. Biotechnol. 2017, 16, 223–238. [Google Scholar] [CrossRef]
- Albrimi, Y.A.; Eddib, A.; Douch, J.; Berghoute, Y.; Hamdani, M.; Souto, R.M. Electrochemical Behaviour of AISI 316 Austenitic Stainless Steel in Acidic Media Containing Chloride Ions. Int. J. Electrochem. Sci. 2011, 6, 4614–4627. [Google Scholar]
- Iliyasu, I.; Yawas, D.S.; Aku, S.Y. Corrosion Behavior of Austenitic Stainless Steel in Sulphuric Acid at Various Concentrations. Adv. Appl. Sci. Res. 2012, 3, 3909–3915. [Google Scholar]
- Szpyrkowicz, L.; Zilio-Grandi, F.; Kaul, S.N.; Rigoni-Stern, S. Electrochemical treatment of copper cyanide wastewaters using stainless steel electrodes. Water Sci. Technol. 1998, 38, 261–268. [Google Scholar] [CrossRef]
- Abuzaid, N.S.; Al-Hamouz, Z.; Bukhari, A.A.; Essa, M.H. Electrochemical treatment of nitrite using stainless steel electrodes. Water Air Soil Poll. 1999, 109, 429–442. [Google Scholar] [CrossRef]
- Ramachandramoorthy, T.; Rajendran, A.; Padmavathy, S.; Subramanian, B. Electrochemical oxidation of cinnamic acid using stainless steel electrodes. Ionics 2004, 10, 283–287. [Google Scholar] [CrossRef]
- Cañizares, P.; Martínez, F.; Díaz, M.; García-Gómez, J.; Rodrigo, M.A. Electrochemical oxidation of aqueous phenol wastes using active and nonactive electrodes. J. Electrochem. Soc. 2002, 149, D118–D124. [Google Scholar] [CrossRef]
- Wu, Y.; Jin, X.; Liu, Y.; Huang, S.; Wang, F.; Zheng, X.; Wei, D.; Liu, H.; Chen, P. Facile synthesis of solar light-driven Z-scheme Ag2CO3/TNS-001 photocatalyst for the effective degradation of naproxen: Mechanisms and degradation pathways. Sep. Purif. Technol. 2021, 254, 117598. [Google Scholar] [CrossRef]
- Asmar, R.E.; Baalbaki, A.; Khalil, Z.A.; Naim, S.; Bejjani, A. Antoine Ghauch, Iron-based metal organic framework MIL-88-A for the degradation of naproxen in water through persulfate activation. Chem. Eng. J. 2021, 405, 126701. [Google Scholar] [CrossRef]
- Zhang, Y.; Yang, Y.; Zhang, Y.; Zhang, T.; Ye, M. Heterogeneous oxidation of naproxen in the presence of α-MnO2 nanostructures with different morphologies. Appl. Catal. B Environ. 2012, 127, 182–189. [Google Scholar] [CrossRef]
- Sétifi, N.; Debbache, N.; Sehili, T.; Halimi, O. Heterogeneous Fenton-like oxidation of naproxen using synthesized goethite-montmorillonite nanocomposite. J. Photoch. Photobio. A Chem. 2019, 370, 67–74. [Google Scholar] [CrossRef]
- Chen, H.; Lin, T.; Zhang, S.; Xu, H.; Tao, H.; Chen, W. Novel FeII/EDDS/UV/PAA advanced oxidation process: Mechanisms and applications for naproxen degradation at neutral pH and low FeII dosage. Chem. Eng. J. 2021, 417, 127896. [Google Scholar] [CrossRef]
- López-Cázares, M.I.; Isaacs-Páez, E.D.; Ascacio-Valdés, J.; Aguilar-González, C.N.; Rangel-Mendez, J.R.; Chazaro-Ruiz, L.F. Electro-assisted naproxen adsorption followed by its electrodegradation and simultaneous electroreactivation of the activated carbon electrode. Sep. Purif. Technol. 2021, 258, 118030. [Google Scholar] [CrossRef]
- Sirés, I.; Brillas, E. Remediation of water pollution caused by pharmaceutical residues based on electrochemical separation and degradation technologies: A review. Environ. Int. 2012, 40, 212–229. [Google Scholar] [CrossRef] [PubMed]
- Sirés, I.; Arias, C.; Cabot, P.L.; Centellas, F.; Rodríguez, R.M.; Garrido, J.A.; Brillas, E. Paracetamol mineralization by advanced electrochemical oxidation processes for wastewater treatment. Environ. Chem. 2004, 1, 26–28. [Google Scholar] [CrossRef]
- APHA; AWWA; WEF. Standard Methods for the Examination of Water and Wastewater, 20th ed.; APHA: Washington, DC, USA; WWA: Washington, DC, USA; WEF: Washington, DC, USA, 2005. [Google Scholar]
- Comninellis, C. Electrocatalysis in the electrochemical conversion/combustion of organic pollutants for wastewater treatment. Electrochim. Acta 1994, 39, 1857–1862. [Google Scholar] [CrossRef]
- Panizza, M.; Cerisola, G. Direct and mediated anodic oxidation of organic pollutants. Chem. Rev. 2009, 109, 6541–6569. [Google Scholar] [CrossRef] [PubMed]
- Boxall, C.; Kelsall, G.H. Hypochlorite electrogeneration. II. Thermodynamics and kinetic model of the anode reaction layer. Inst. Chem. Eng. Symp. Ser. 1992, 127, 59–70. [Google Scholar]
- Fajardo, A.S.; Seca, H.F.; Martins, R.C.; Corceiro, V.N.; Freitas, I.F.; Quinta-Ferreira, M.E.; Quinta-Ferreira, R.M. Electrochemical oxidation of phenolic wastewaters using a batch-stirred reactor with NaCl electrolyte and Ti/RuO2 anodes. J. Electroanal. Chem. 2017, 785, 180–189. [Google Scholar] [CrossRef]
- Carneiro, J.F.; Aquino, J.M.; Silva, A.J.; Barreiro, J.C.; Cass, Q.B.; Rocha-Filho, R.C. The effect of the supporting electrolyte on the electrooxidation of enrofloxacin using a flow cell with a BDD anode: Kinetics and follow-up of oxidation intermediates and antimicrobial activity. Chemosphere 2018, 206, 674–681. [Google Scholar] [CrossRef] [PubMed]
- García-Espinoza, J.D.; Mijaylova-Nacheva, P.; Avilés-Flores, M. Electrochemical carbamazepine degradation: Effect of the generated active chlorine, transformation pathways and toxicity. Chemosphere 2018, 192, 142–151. [Google Scholar] [CrossRef] [PubMed]
- Baloul, Y.; Aubry, O.; Rabat, H.; Colas, C.; Maunit, B.; Hong, D. Degradation of Paracetamol in Aqueous Solution by Non-Thermal Plasma. In Proceedings of the 15th High Pressure Low Temperature Plasma Chemistry Symposium (HAKONE 15), Brno, Czech Republic, 11–16 September 2016. [Google Scholar]
- Sirés, I.; Garrido, J.A.; Rodríguez, R.M.; Cabot, P.L.; Centellas, F.; Arias, C.; Brillas, E. Electrochemical degradation of paracetamol from water by catalytic action of Fe2+, Cu2+, and UVA light on electrogenerated hydrogen peroxide. J. Electrochem. Soc. 2006, 153, 1–9. [Google Scholar] [CrossRef]
- De Tuesta, J.L.D.; Quintanilla, A.; Casas, A.; Morales-Torres, S.; Faria, J.L.; Silva, A.M.T.; Gomes, H.T. The pH effect on the kinetics of 4-nitrophenol removal by CWPO with doped carbon black catalysts. Catal. Today 2020, 356, 216–225. [Google Scholar] [CrossRef] [Green Version]
- Liu, Y.; Tang, Y.; Wu, Y.; Feng, L.; Zhang, L. Degradation of naproxen in chlorination and UV/chlorine processes: Kinetics and degradation products. Environ. Sci. Pollut. Res. 2019, 26, 34301–34310. [Google Scholar] [CrossRef] [PubMed]
Publisher’s Note: MDPI stays neutral with regard to jurisdictional claims in published maps and institutional affiliations. |
© 2021 by the authors. Licensee MDPI, Basel, Switzerland. This article is an open access article distributed under the terms and conditions of the Creative Commons Attribution (CC BY) license (https://creativecommons.org/licenses/by/4.0/).