Connection between Anthropogenic Water Diversion and Hydrodynamic Condition in Plain River Network
Abstract
1. Introduction
2. Materials and Methods
2.1. Study Area
2.2. Data Acquisition and Analysis
2.3. Numerical Experiment
2.3.1. Hydrodynamic Influence Scheme Setting and Quantification
2.3.2. Model Governing Equation and Numerical Solution
3. Results and Discussion
3.1. Model Performance
3.2. Velocity Distribution under Different QWDF
3.3. Impact of Water Diversion Flux on Hydrodynamic of River Network
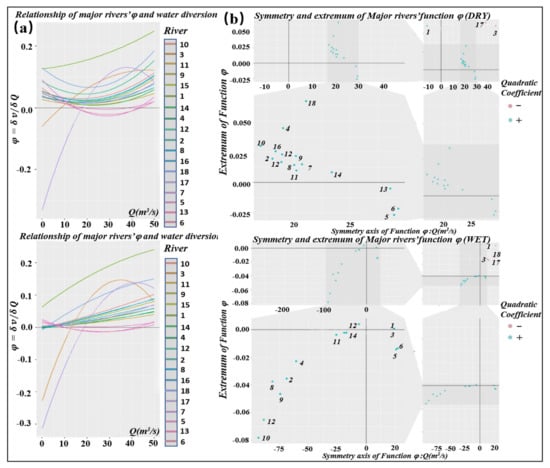
3.4. Variety of on Different Rivers
3.5. Hydrodynamic Key Impact Factors and Rivers Grouping
4. Conclusions
Author Contributions
Funding
Institutional Review Board Statement
Informed Consent Statement
Data Availability Statement
Conflicts of Interest
References
- Deng, X.; Xu, Y. Degrading flood regulation function of river systems in the urbanization process. Sci. Total Environ. 2018, 622, 1379–1390. [Google Scholar] [CrossRef]
- Nilsson, C.; Reidy Catherine, A.; Dynesius, M.; Revenga, C. Fragmentation and Flow Regulation of the World’s Large River Systems. Science 2005, 308, 405–408. [Google Scholar] [CrossRef] [PubMed]
- Sauchyn, D.J.; St-Jacques, J.-M.; Luckman, B.H. Long-term reliability of the Athabasca River (Alberta, Canada) as the water source for oil sands mining. Proc. Natl. Acad. Sci. USA 2015, 112, 12621–12626. [Google Scholar] [CrossRef] [PubMed]
- Padma, T.V. Mining and dams exacerbated devastating Mining and dams exacerbated devastating Kerala floods. Nature 2018, 561, 13–14. [Google Scholar] [CrossRef] [PubMed]
- Tardieu, H. Automatic dam management and river regulation for irrigation purposes. Irrig. Drain. Syst. 1988, 2, 53–61. [Google Scholar] [CrossRef]
- Best, J. Anthropogenic stresses on the world’s big rivers. Nat. Geosci. 2019, 12, 7–21. [Google Scholar] [CrossRef]
- Malve, O.; Salo, S.; Verta, M.; Forsius, J. Modeling the Transport of PCDD/F Compounds in a Contaminated River and the Possible Influence of Restoration Dredging on Calculated Fluxes. Environ. Sci. Technol. 2003, 37, 3413–3421. [Google Scholar] [CrossRef]
- Froger, C.; Quantin, C.; Gasperi, J.; Caupos, E.; Monvoisin, G.; Evrard, O.; Ayrault, S. Impact of urban pressure on the spatial and temporal dynamics of PAH fluxes in an urban tributary of the Seine River (France). Chemosphere 2019, 219, 1002–1013. [Google Scholar] [CrossRef]
- Gallardo, B.; Aldridge, D.C. Inter-basin water transfers and the expansion of aquatic invasive species. Water Res. 2018, 143, 282–291. [Google Scholar] [CrossRef]
- Wen, L.; Rogers, K.; Ling, J.; Saintilan, N. The impacts of river regulation and water diversion on the hydrological drought characteristics in the Lower Murrumbidgee River, Australia. J. Hydrol. 2011, 405, 382–391. [Google Scholar] [CrossRef]
- Cardenas, M.B.; Markowski, M.S. Geoelectrical imaging of hyporheic exchange and mixing of river water and groundwater in a large regulated river. Environ. Sci. Technol. 2011, 45, 1407–1411. [Google Scholar] [CrossRef]
- Kasper, D.; Forsberg, B.R.; Amaral, J.H.F.; Leitão, R.P.; Py-Daniel, S.S.; Bastos, W.R.; Malm, O. Reservoir stratification affects methylmercury levels in river water, plankton, and fish downstream from Balbina hydroelectric dam, Amazonas, Brazil. Environ. Sci. Technol. 2014, 48, 1032–1040. [Google Scholar] [CrossRef]
- Zhang, Q.; Chen, Y.D.; Jiang, T.; Chen, X.; Liu, Z. Human-induced regulations of river channels and implications for hydrological alterations in the Pearl River Delta, China. Stoch. Environ. Res. Risk Assess. 2011, 25, 1001–1011. [Google Scholar] [CrossRef]
- Quinlan, E.; Gibbins, C.N.; Batalla, R.J.; Vericat, D. Impacts of small scale flow regulation on sediment dynamics in an ecologically important upland river. Environ. Manag. 2015, 55, 671–686. [Google Scholar] [CrossRef] [PubMed]
- Ashraf, F.B.; Torabi, H.A.; Marttila, H.; Kløve, B. Assessing impacts of climate change and river regulation on flow regimes in cold climate: A study of a pristine and a regulated river in the sub-arctic setting of Northern Europe. J. Hydrol. 2016, 542, 410–422. [Google Scholar] [CrossRef]
- Tena, A.; Vericat, D.; Gonzalo, L.E.; Batalla, R.J. Spatial and temporal dynamics of macrophyte cover in a large regulated river. J. Environ. Manage. 2017, 202 Pt 2, 379–391. [Google Scholar] [CrossRef]
- Hachikyan, A.; Scherer, R.; Angelova, M.; Lazarova, M. Decision support system for a river network pollution estimation based on a structural-linguistic data model. Oper. Res. 2005, 5, 105–113. [Google Scholar] [CrossRef]
- Le, F.; Deguan, W.; Bin, C. Modeling the effects of gate-controlled on water quality improvement in river network. Procedia Environ. Sci. 2012, 13, 2154–2160. [Google Scholar]
- Feng, L.; Sun, X.; Zhu, X. Impact of floodgates operation on water environment using one-dimensional modelling system in river network of Wuxi city, China. Ecol. Eng. 2016, 91, 173–182. [Google Scholar] [CrossRef]
- Cha, Y.; Cho, K.H.; Lee, H.; Kang, T.; Kim, J.H. The relative importance of water temperature and residence time in predicting cyanobacteria abundance in regulated rivers. Water Res. 2017, 124, 11–19. [Google Scholar] [CrossRef] [PubMed]
- Zhang, N.Q.; Li, N.; Wang, J.; Chen, S.; Qiu, S.W.; Xu, W.H. Urban Flood Analysis Model for Plain Tidal River Network Region. Water Resour. Hydropower Eng. 2017, 48, 20–26. [Google Scholar]
- Wang, Q.G.; Wang, Y.P.; Lu, X.C.; Jia, P.; Zhang, B.B.; Li, C.; Li, S.; Li, S.B. Impact assessments of water allocation on water environment of river network: Method and application. Phys. Chem. Earth 2018, 103, 101–106. [Google Scholar] [CrossRef]
- Abril, M.; Muñoz, I.; Casas-Ruiz, J.P.; Gómez-Gener, L.; Barceló, M.; Oliva, F.; Menéndez, M. Effects of water flow regulation on ecosystem functioning in a Mediterranean river network assessed by wood decomposition. Sci. Total Environ. 2015, 517, 57–65. [Google Scholar] [CrossRef] [PubMed]
- Yan, H.Y.; Wang, H.; He, X.C.; Liu, Y.L.; Tang, Q.Y.; Yang, Y.Y.; Yuan, W.H. Transverse distribution of cyanobacteria in a regulated urban river. Ecohydrology 2021, 14, 13. [Google Scholar] [CrossRef]
- Lu, W.; Lei, H.; Yang, D.; Tang, L.; Miao, Q. Quantifying the impacts of small dam construction on hydrological alterations in the Jiulong River basin of Southeast China. J. Hydrol. 2018, 567, 382–392. [Google Scholar] [CrossRef]
- Kędra, M.; Wiejaczka, Ł. Climatic and dam-induced impacts on river water temperature: Assessment and management implications. Sci. Total Environ. 2018, 626, 1474–1483. [Google Scholar] [CrossRef]
- Mor, J.-R.; Ruhí, A.; Tornés, E.; Valcárcel, H.; Muñoz, I.; Sabater, S. Dam regulation and riverine food-web structure in a Mediterranean river. Sci. Total Environ. 2018, 625, 301–310. [Google Scholar] [CrossRef]
- Ammari, K.; Chentouf, B. Further Results on the Robust Regulation of a One-Dimensional Dam-River System. J. Optim. Theory Appl. 2010, 147, 597–606. [Google Scholar] [CrossRef]
- Xu, Z.; Xu, Y.J. Dissolved carbon transport in a river-lake continuum: A case study in a subtropical watershed, USA. Sci. Total Environ. 2018, 643, 640–650. [Google Scholar] [CrossRef]
- Wang, J.; Fu, Z.; Qiao, H.; Liu, F. Assessment of eutrophication and water quality in the estuarine area of Lake Wuli, Lake Taihu, China. Sci. Total Environ. 2019, 650, 1392–1402. [Google Scholar] [CrossRef]
- Zhang, X.J.; Chen, C.; Ding, J.Q.; Hou, A.X.; Li, Y.; Niu, Z.B.; Su, X.Y.; Xu, Y.J.; Laws, E.A. The 2007 water crisis in Wuxi, China: Analysis of the origin. J. Hazard. Mater. 2010, 182, 130–135. [Google Scholar] [CrossRef]
- Rodgers, J.L.; Nicewander, W.A. Thirteen Ways to Look at the Correlation Coefficient. Am. Stat. 1988, 42, 59. [Google Scholar] [CrossRef]
- Farnham, I.M.; Johannesson, K.H.; Singh, A.K.; Hodge, V.F.; Stetzenbach, K.J. Factor analytical approaches for evaluating groundwater trace element chemistry data. Anal. Chim. Acta. 2003, 490, 123–138. [Google Scholar] [CrossRef]
- Deng, X.; Xu, Y.; Han, L.; Yang, M.; Yang, L.; Song, S.; Li, G.; Wang, Y. Spatial–temporal evolution of the distribution pattern of river systems in the plain river network region of the Taihu Basin, China. Quat. Int. 2016, 392, 178–186. [Google Scholar] [CrossRef]
- Keka, I.; Cico, B. Data Visualization as Helping Technique for Data Analysis, Trend Detection and Correlation of Variables Using R Programming Language. In Proceedings of the 8th Mediterranean Conference on Embedded Computing (MECO), Budva, Montenegro, 10–14 June 2019; pp. 342–345. [Google Scholar]
- Charles, J.S. Consistent Nonparametric Regression. Ann. Stat. 1977, 5, 595–620. [Google Scholar]
- Wang, H.; Zhang, Z.Z.; Liang, D.F.; Du, H.B.; Pang, Y.; Hu, K.M.; Wang, J.J. Separation of wind’s influence on harmful cyanobacterial blooms. Water Res. 2016, 98, 280–292. [Google Scholar] [CrossRef]
- Jiang, L.; Li, Y.; Zhao, X.; Tillotson, M.R.; Wang, W.; Zhang, S.; Sarpong, L.; Asmaa, Q.; Pan, B. Parameter uncertainty and sensitivity analysis of water quality model in Lake Taihu, China. Ecol. Modell. 2018, 375, 1–12. [Google Scholar] [CrossRef]
- Guido, F.; Andreas, Z.; Rolf, W. The effect of coupling hydrologic and hydrodynamic models on probable maximum flood estimation. J. Hydrol. 2017, 550, 157–165. [Google Scholar]
- Sha, Y.; Li, W.; Fan, J.; Cheng, G. Determining critical support discharge of a riverhead and river network analysis: Case studies of Lhasa River and Nyangqu River. Chin Geogr Sci. 2016, 26, 456–465. [Google Scholar] [CrossRef][Green Version]
- Hu, M.; Wang, Y.; Du, P.; Shui, Y.; Cai, A.; Lv, C.; Bao, Y.F.; Li, Y.H.; Li, S.Z.; Zhang, P.W. Tracing the sources of nitrate in the rivers and lakes of the southern areas of the Tibetan Plateau using dual nitrate isotopes. Sci. Total Environ. 2018, 658, 132–140. [Google Scholar] [CrossRef]
- Xu, H.; Du, Y.; Cui, C.; Wei, C. Structure & Function Based Approaches to Reconstructing Urban River System in River Network Area of China. In Advances in Water Resources and Hydraulic Engineering; Springer: Berlin/Heidelberg, Germany, 2009; pp. 399–404. [Google Scholar]
- Yan, Z.H.; Yang, H.H.; Dong, H.K.; Ma, B.N.; Sun, H.W.; Pan, T.; Jiang, R.R.; Zhou, R.R.; Shen, J.; Liu, J.C.; et al. Occurrence and ecological risk assessment of organic micropollutants in the lower reaches of the Yangtze River, China: A case study of water diversion. Environ. Pollut. 2018, 239, 223–232. [Google Scholar] [CrossRef] [PubMed]








| Season | DRY | WET | ||
|---|---|---|---|---|
| Water Transfer Flow (m3/s) | Flow Rate Increase (cm/s) | Flow Rate Increase Rate (%) | Flow Rate Increase (cm/s) | Flow Rate Increase Rate (%) |
| 0~10 | 7.46 | 8.42% | 1.52 | 1.53% |
| 10~20 | 4.95 | 5.16% | 2.26 | 2.24% |
| 20~30 | 4.66 | 4.62% | 7.17 | 6.95% |
| 30~40 | 9.28 | 8.79% | 9.75 | 8.83% |
| 40~50 | 11.45 | 9.96% | 10.97 | 9.13% |
Publisher’s Note: MDPI stays neutral with regard to jurisdictional claims in published maps and institutional affiliations. |
© 2021 by the authors. Licensee MDPI, Basel, Switzerland. This article is an open access article distributed under the terms and conditions of the Creative Commons Attribution (CC BY) license (https://creativecommons.org/licenses/by/4.0/).
Share and Cite
Wang, H.; Shen, Z.; Zeng, Y.; Yan, H.; Li, Y.; Yuan, W. Connection between Anthropogenic Water Diversion and Hydrodynamic Condition in Plain River Network. Water 2021, 13, 3596. https://doi.org/10.3390/w13243596
Wang H, Shen Z, Zeng Y, Yan H, Li Y, Yuan W. Connection between Anthropogenic Water Diversion and Hydrodynamic Condition in Plain River Network. Water. 2021; 13(24):3596. https://doi.org/10.3390/w13243596
Chicago/Turabian StyleWang, Hua, Zilin Shen, Yichuan Zeng, Huaiyu Yan, Yiping Li, and Weihao Yuan. 2021. "Connection between Anthropogenic Water Diversion and Hydrodynamic Condition in Plain River Network" Water 13, no. 24: 3596. https://doi.org/10.3390/w13243596
APA StyleWang, H., Shen, Z., Zeng, Y., Yan, H., Li, Y., & Yuan, W. (2021). Connection between Anthropogenic Water Diversion and Hydrodynamic Condition in Plain River Network. Water, 13(24), 3596. https://doi.org/10.3390/w13243596
