Vortex Dynamics Analysis of Internal Flow Field of Mixed-Flow Pump under Alford Effect
Abstract
1. Introduction
2. Simulation Model
2.1. 3D Solid Modeling
2.2. Impeller Vortex Model
3. Dynamic Sliding Multi-Region Method
3.1. Governing Equation and Turbulence Model
3.2. Establishment of Dynamic Sliding Multi-Region Method
3.3. Mesh Generation and Boundary Conditions
3.4. Grid Independence Analysis
4. External Characteristic Test Verification
4.1. Test Device and Test Method
4.2. Comparison of External Characteristics
5. Vortex Dynamics Analysis of Flow Field under Alford Effect
5.1. Streamline of Tip Region with Different Eccentricities
5.2. Vortex Core Extraction in Eddy Flow Field
5.2.1. Vortex Identification in Impeller
5.2.2. Vortex Identification in Guide Vane
5.3. Stress Analysis of Vortex Flow Field
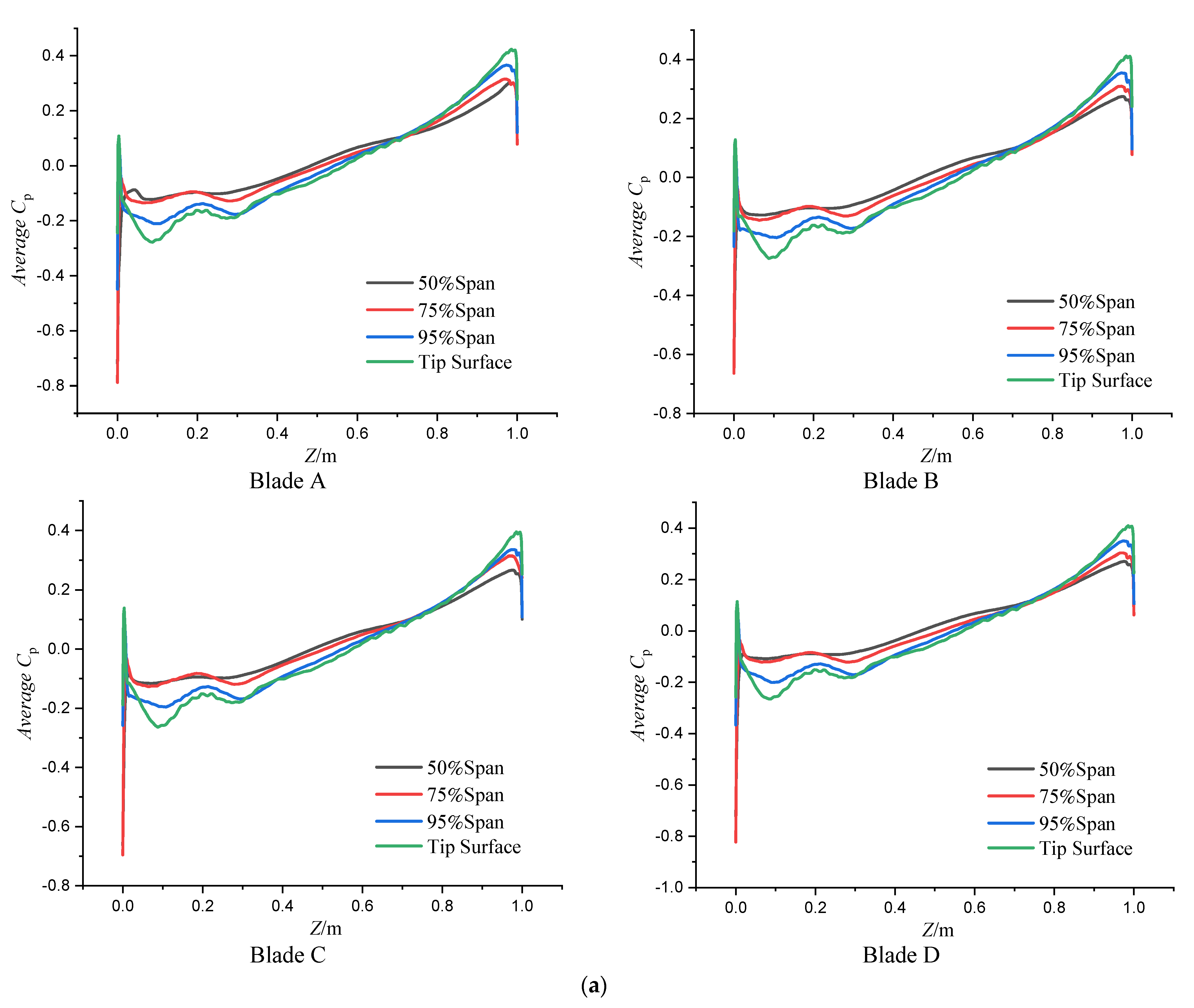
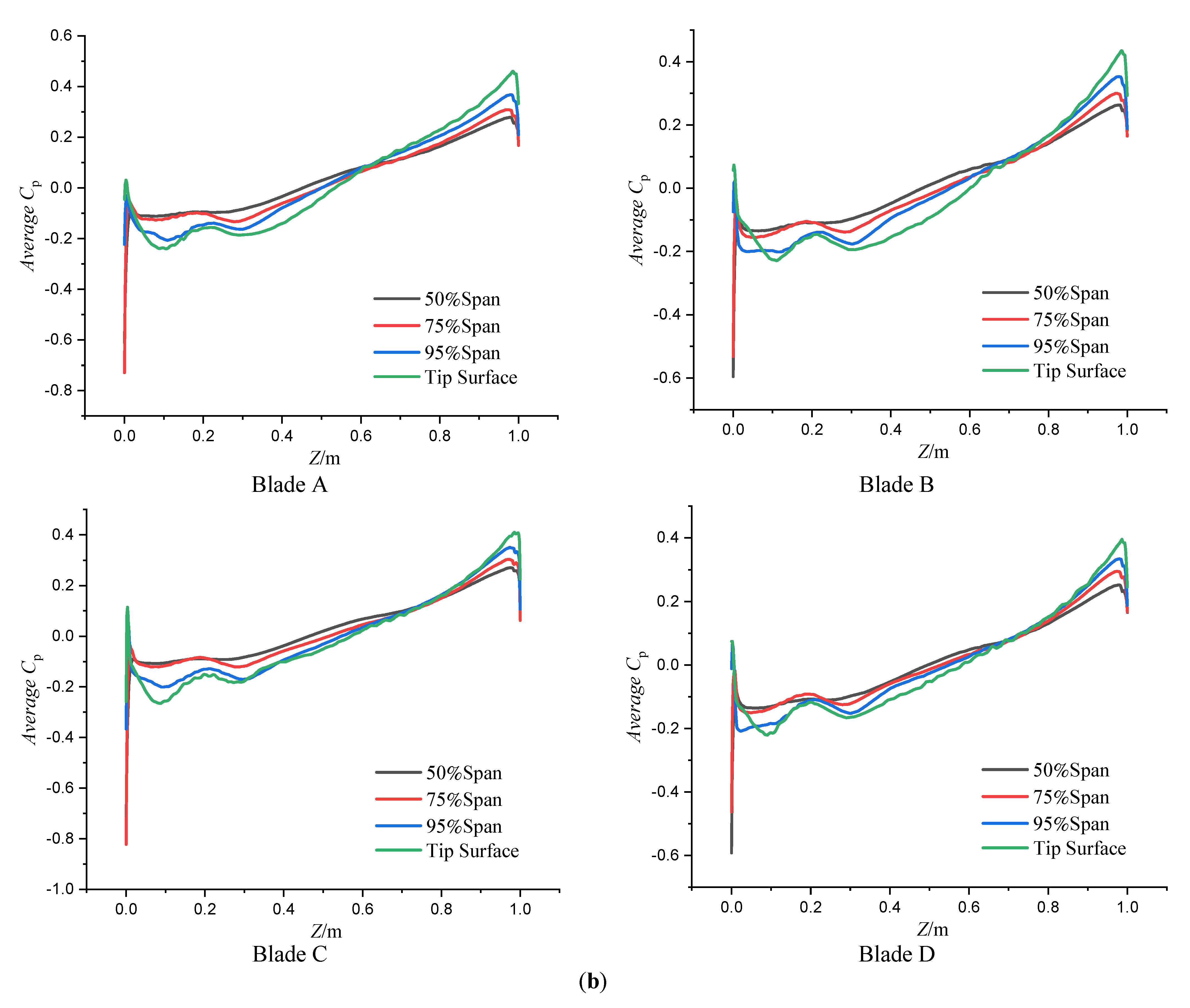
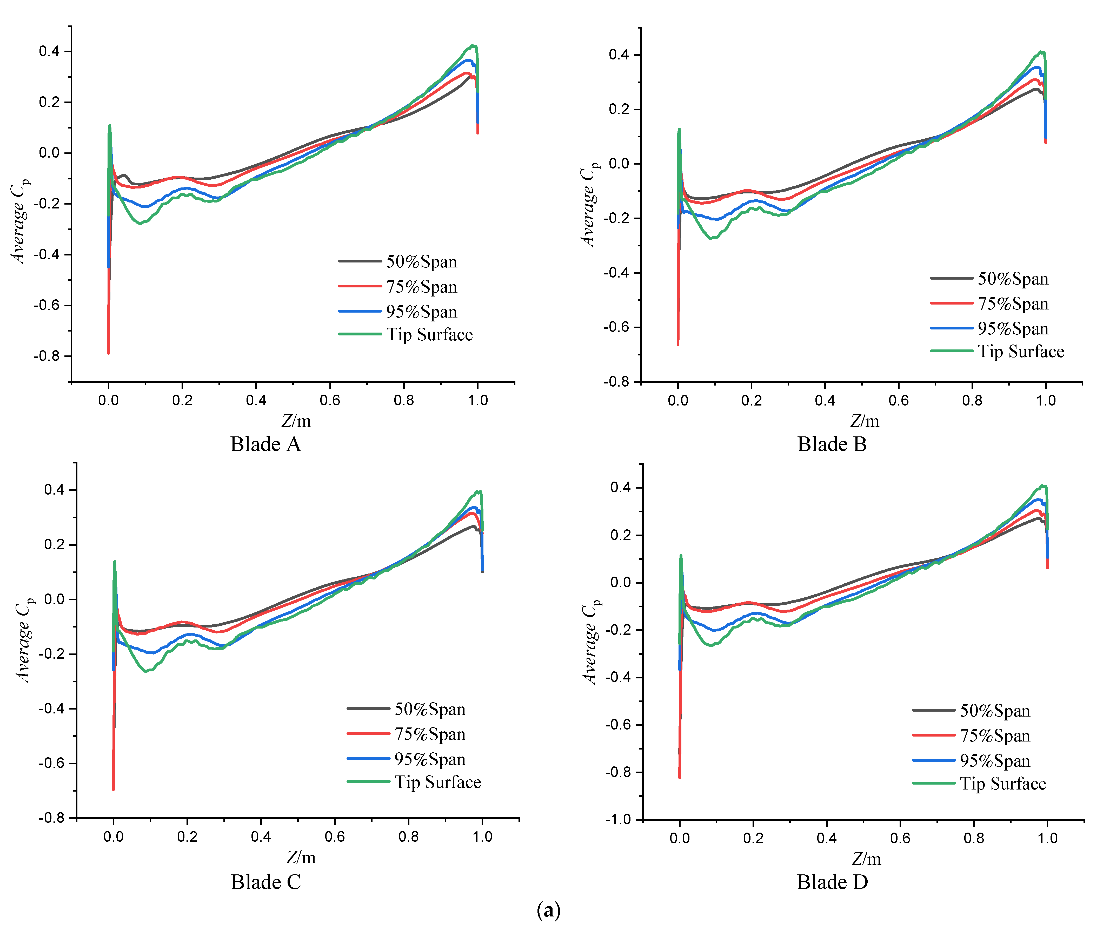
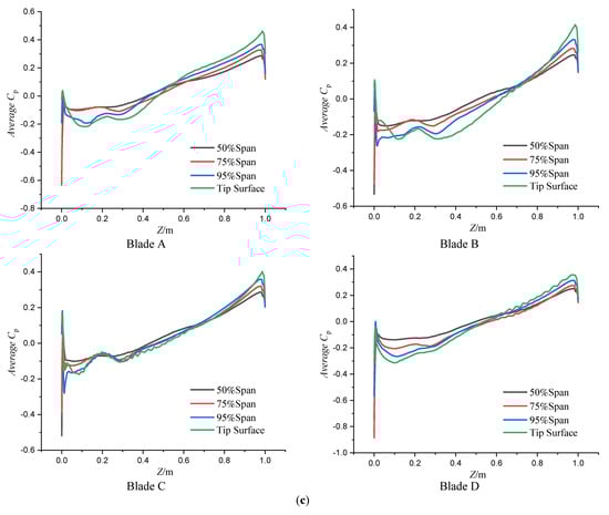
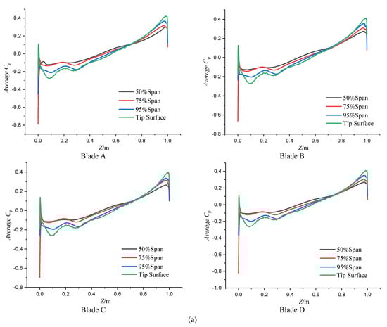
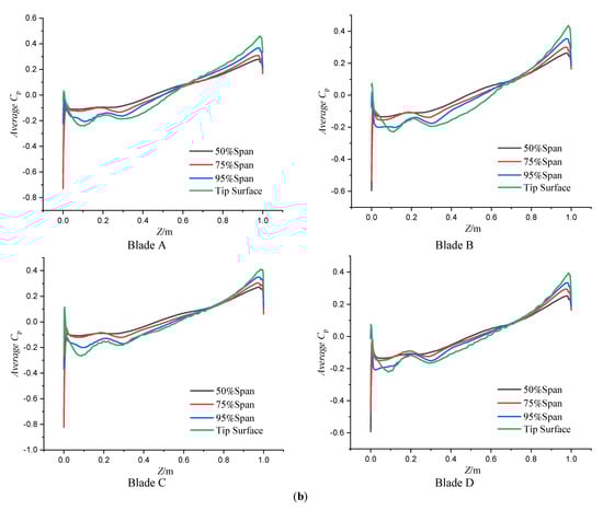
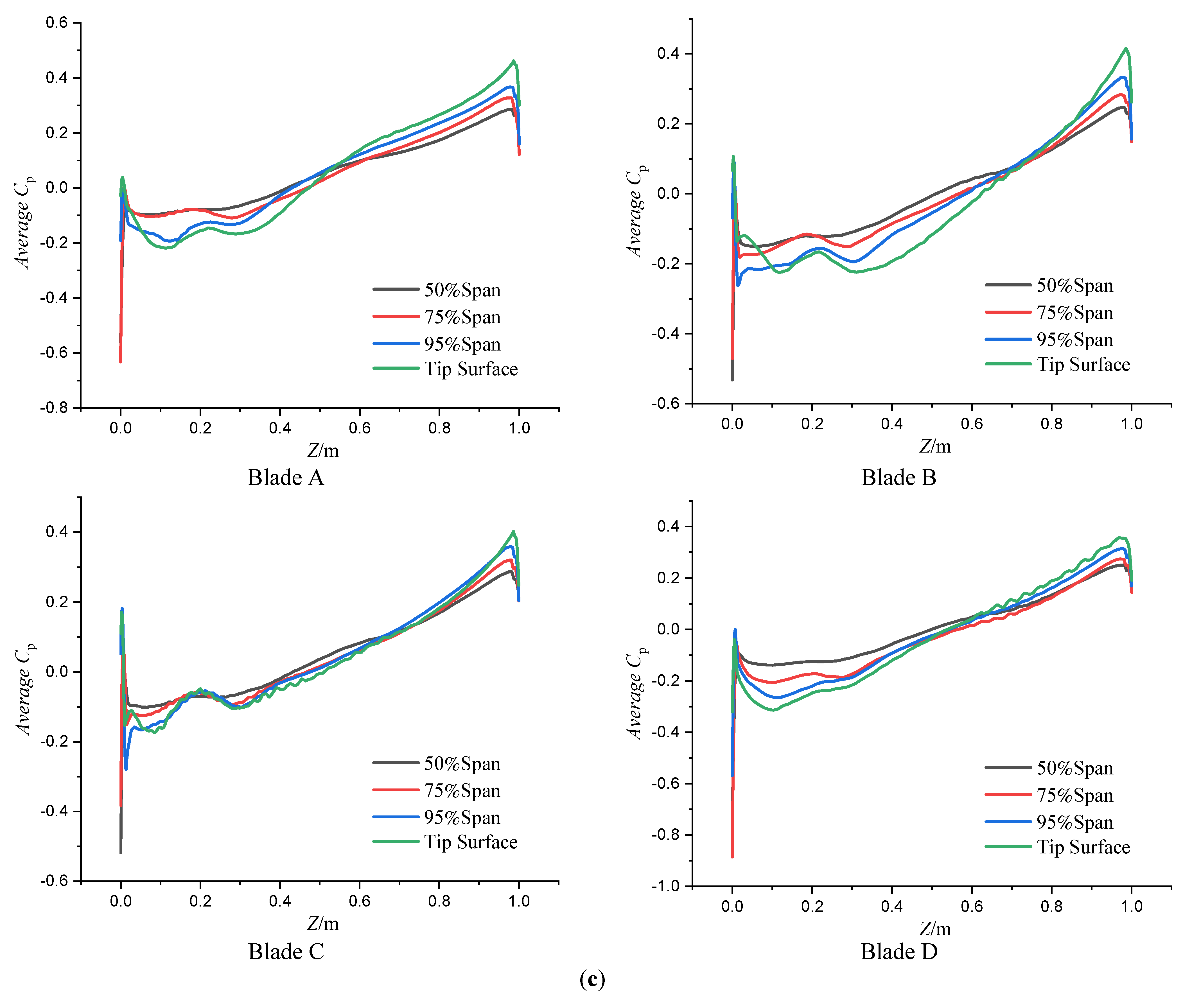
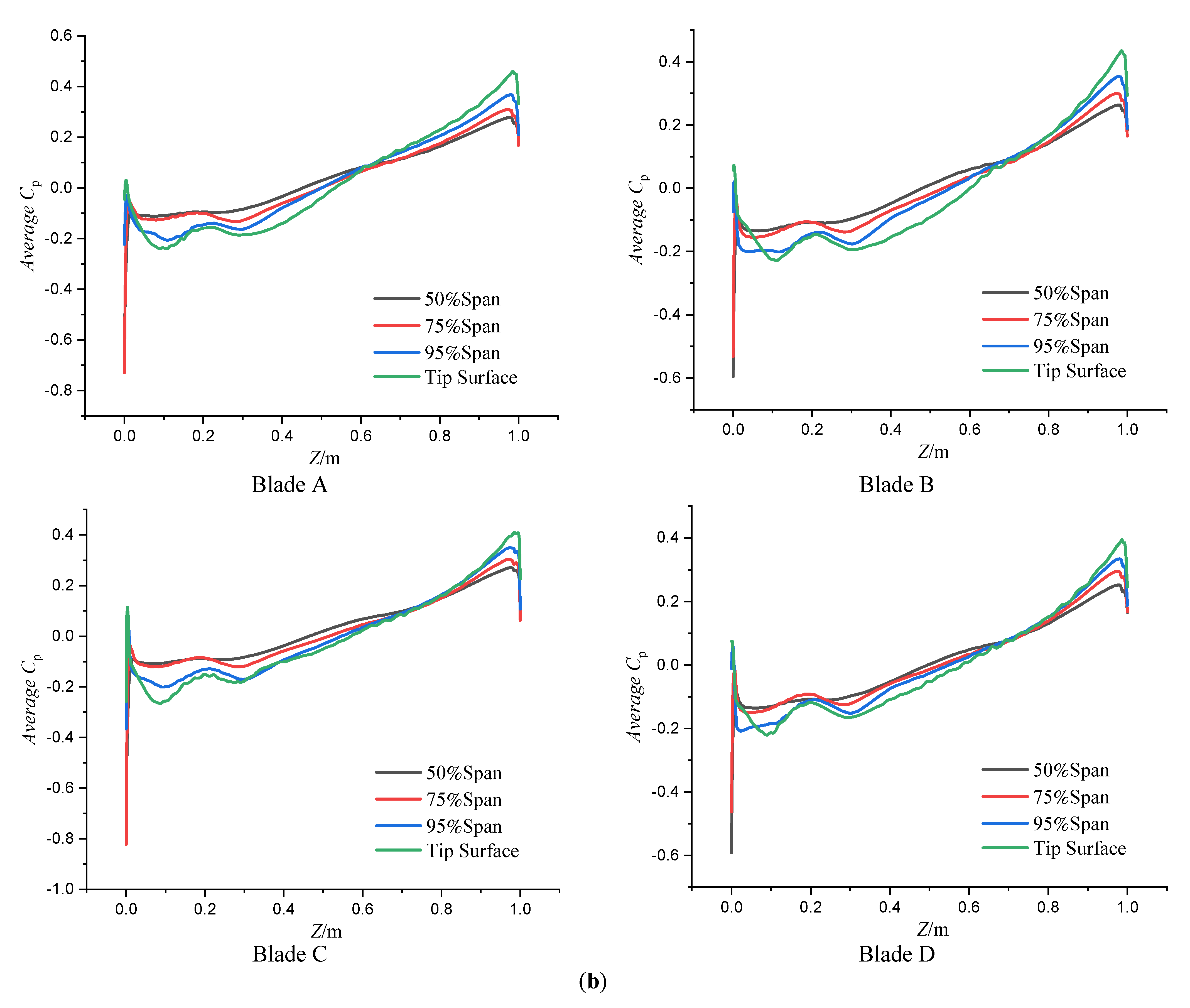
5.4. Impacting Depth of TLF with Different Eccentricities
6. Conclusions
- (1)
- A multi-region dynamic sliding method is established, and the numerical simulation of the three-dimensional eccentric rotating impeller of the mixed-flow pump is carried out. They were comparing the results of numerical simulation and external characteristics of the test, when the eccentricity e = 0.3 mm, the numerical calculation results are in good agreement with the test data. The head error of the design flow operating point is about 5%, the efficiency error is no more than 3%, and the accuracy of numerical calculation is high.
- (2)
- With the increase of eccentricity, the vortex structure in the impeller channel and at the blade outlet increases significantly, and the strength and number of vortex core structures in the guide vane also increase significantly, the increase of eccentricity makes the flow in the impeller flow field more unstable, and the energy loss of fluid increases. Apparent flow separation occurs near the inlet of the guide vane suction surface on the eccentric side of the impeller, and the vortex structure is attached to the guide vane tip.
- (3)
- The values of vorticity moment components L1 and L2 increase with the increase of eccentricity, and the Alford moment on the impeller increases. Along the blade span direction, the values of L1 and L2 gradually decrease. The leading edge of the blade is the main force part, and the Alford effect is significant, while the torque of the eccentric flow field has little effect on the blade outlet.
- (4)
- With the increase of eccentricity, the impact degree of tip leakage flow deepens, the surface pressure of each span changes in varying degrees, and the change of tip surface pressure is the most obvious. At large eccentricity, the impact area of tip leakage flow is mainly concentrated in the first half of the impeller channel, which will impact the blade inlet flow field and have less impact on the blade outlet flow field.
Author Contributions
Funding
Institutional Review Board Statement
Informed Consent Statement
Data Availability Statement
Conflicts of Interest
References
- Alford, J.S. Protecting Turbomachinery from Self-excited Rotor Whirl. J. Eng. Power 1965, 87, 333–343. [Google Scholar] [CrossRef]
- Thomas, H.J. Unstable Natural Vibration of Turbine Rotors Induced by the Clearance Flow in Glands and Blading. Bull. L’AIM 1958, 71, 1039–1063. [Google Scholar]
- Kim, H.S.; Cho, M.H.; Song, S.J. Stability Analysis of a Turbine Rotor System with Alford Forces. J. Sound Vib. 2003, 260, 167–182. [Google Scholar] [CrossRef]
- Kang, Y.-S.; Kang, S.-H. Prediction of the Nonuniform Tip Clearance Effect on the Axial Compressor Flow Field. ASME J. Fluids Eng. 2010, 132, 051110. [Google Scholar] [CrossRef]
- Nandi, S.; Ahmed, S.; Toliyat, H. Detection of rotor slot and other eccentricity related harmonics in a three phase induction motor with different rotor cages. Energy Convers. IEEE Trans. 2001, 16, 253–260. [Google Scholar] [CrossRef]
- Brennen, C.E. Hydrodynamics of Pumps; Concepts NREC: White River Junction, VT, USA; Oxford University Press: London, UK, 2011; pp. 203–205. [Google Scholar]
- Moore, J.; Palazzolo, A. Rotordynamic Force Prediction of Whirling Centrifugal Impeller Shroud Passages using Computational Fluid Dynamic Techniques. ASME J. Eng. Gas Turbines Power 2001, 123, 910–917. [Google Scholar] [CrossRef]
- Shinichiro Hata, J.R. The Effects of Casing Geometry and Flow Instability on Rotordynamic Fluid Forces on a Closed Type Centrifugal Impeller in Whirling Motion. In Proceedings of the ASME-JSME-KSME 2011 Joint Fluids Engineering Conference: AJK2011-06022, Hamamatsu, Japan, 24–29 July 2011; Volume 1, pp. 113–119. [Google Scholar]
- Li, W.; Ji, L.; Shi, W.; Zhang, Y. Numerical calculation of non-uniform rim clearance flow field in mixed flow pump. Trans. Chin. Soc. Agric. Mach. 2016, 47, 66–72. [Google Scholar]
- Shoji, H.; Ohashi, H. Lateral Fluid Forces on Whirling Centrifugal Impeller (1st Report:Theory). ASME J. Fluid Eng. 1987, 109, 94–99. [Google Scholar] [CrossRef]
- Adkins, D.R.; Brennen, C.E. Analyses of Hydrodynamic Radial Force on Centrifugal Pump Impellers. ASME J. Fluid Eng. 1988, 110, 20–28. [Google Scholar] [CrossRef]
- Ji, L.; Li, W.; Shi, W.; Tian, F.; Agarwal, R. Diagnosis of internal energy characteristics of mixed-flow pump within stall region based on entropy production analysis model. Int. Commun. Heat Mass Transf. 2020, 117, 104784. [Google Scholar] [CrossRef]
- Zhou, L.; Shi, W.; Cao, W.; Yang, H. CFD investigation and PIV validation of flow field in a compact return diffuser under strong part-load conditions. Sci. China Technol. Sci. 2015, 58, 405–414. [Google Scholar] [CrossRef]
- Li, W.; Jiang, X.; Pang, Q.; Zhou, L.; Wang, W. Numerical simulation and performance analysis of a four-stage centrifugal pump. Adv. Mech. Eng. 2016, 8, 1–8. [Google Scholar] [CrossRef]
- Lei, T.; Zhiyi, Y.; Yun, X.; Yabin, L.; Shuliang, C. Role of blade rotational angle on energy performance and pressure fluctuation of a mixed-flow pump. Proceedings of the Institution of Mechanical Engineers. Part A J. Power Energy 2017, 231, 227–238. [Google Scholar] [CrossRef]
- Chochua, G.; Soulas, T.A. Numerical Modeling of Rotordynamic Coefficients for Deliberately Roughened Stator Gas Annular Seals. ASME J. Tribol. 2007, 129, 424–429. [Google Scholar] [CrossRef]
- Zhang, L.; Liu, S.; Wu, Y. Vorticity dynamics analysis of flow field in Francis runner. J. Hydroelectr. Eng. 2007, 26, 106–110. [Google Scholar]
- Li, F.; Fan, H.; Wang, Z.; Chen, N. Optimum design of runner blades of a tubular turbine based on vorticity dynamics. J. Tsinghua Univ. 2011, 51, 836–839. [Google Scholar]
- Zhaohui, X. The Analysis of Three-Dimensional Flow in High-Speed Pump and Research of Its Fluid-Induced Pressure Fluctuation; Tsinghua University: Beijing, China, 2004. [Google Scholar]
- Yang, L.; Fan, H.; Chen, N. Bidirectional flow diagnosis to optimize the design of a pump-turbine runner using vorticity dynamics theory. J. Tsinghua Univ. 2007, 47, 686–690. [Google Scholar]
- Fan, H.; Chen, N.; Yang, L. Three dimensional flow diagnosis of the pump turbine runner based on the dynamic vorticit. J. Hydroelectr. Eng. 2007, 26, 124–128. [Google Scholar]
- Pan, Z.; Chen, S.; Wu, Y.; Zhang, D.; Li, Y. Study on internal fluid force of centrifugal pump with given rotor dynamics parameters. Trans. Chin. Soc. Agric. Mach. 2013, 44, 55–60. [Google Scholar]
- Huang, S.; Yang, F.; Guo, J.; Qv, G. The unsteady flow of centrifugal pump is simulated by three-dimensional dynamic grid technology. Sci. Technol. Rev. 2013, 31, 33–36. [Google Scholar]
- Jiang, F.; Chen, W.; Wang, Y.; Qv, J. Numerical simulation of internal flow field of centrifugal pump based on moving grid. Fluid Mach. 2007, 35, 20–24. [Google Scholar]
- Liu, H.; Chen, F.; Ma, B. Numerical simulation of valve flow field based on moving grid and UDF Technology. Turbine Technol. 2008, 50, 106–108. [Google Scholar]
- Ji, L.; Li, W.; Shi, W.; Chang, H.; Yang, Z. Energy Characteristics of Mixed-Flow Pump under Different Tip Clearances Based on Entropy Production Analysis. Energy 2020, 199, 1–15. [Google Scholar] [CrossRef]
- Li, W.; Ji, L.; Li, E.; Shi, W.; Agarwal, R.; Zhou, L. Numerical investigation of energy loss mechanism of mixed-flow pump under stall condition. Renew. Energy 2020, 2021, 740–760. [Google Scholar] [CrossRef]
- Li, W.; Li, E.; Ji, L.; Zhou, L.; Shi, W.; Zhu, Y. Mechanism and propagation characteristics of rotating stall in a mixed-flow pump. Renew. Energy 2020, 153, 74–92. [Google Scholar] [CrossRef]
- Ji, L.; Li, W.; Shi, W.; Tian, F. Ramesh Agarwal. Effect of Blade Thickness on Rotating Stall of Mixed-Flow Pump Using Entropy Generation Analysis. Energy 2021, 236, 121381. [Google Scholar] [CrossRef]
- Shixing, C. Study on Internal Fluid Force of Centrifugal Pump with Given Rotor Dynamics Parameters; Jiangsu University: Zhenjiang, China, 2013. [Google Scholar]
- Brennen, C.E.; Acosta, A.J. Fluid-induced rotor dynamic forces and instabilities. Struct. Control Health Monit. 2006, 13, 10–26. [Google Scholar] [CrossRef][Green Version]
- Zhong, Y.; He, Y.; Wang, Z.; Li, F. Rotor Dynamics; Tsinghua University Press: Beijing, China, 1987. [Google Scholar]
- Li, X.; Liu, C.; Wu, B.; Lv, Y. Numerical simulation of oblique flow pump with single arc space vane based on CFX. Water Resour. Power 2014, 4, 175–179. [Google Scholar]
- Yang, C.; Gao, Q.; Li, Y.; Shen, L. Application of different turbulence models in numerical simulation of mixed-flow pump and its evaluation. J. Lanzhou Univ. Technol. 2014, 40, 51–55. [Google Scholar]
- Siddique, W.; El-Gabry, L.; Shevchuk, I.V.; Fransson, T.H. Validation and Analysis of Numerical Results for a Two-Pass Trapezoidal Channel With Different Cooling Configurations of Trailing Edge. ASME J. Turbomach. 2013, 135, 011027. [Google Scholar] [CrossRef] [PubMed]
- Zhifeng, L. Numerical Simulation and Experimental Study on Transient Flow during Start-Up of Centrifugal Pump; Zhejiang University: Hangzhou, China, 2009. [Google Scholar]
- Wang, L.; Li, Z.; Dai, W.; Wu, D. Two-dimensional numerical simulation of transient flow in centrifugal pump during start-up. J. Eng. Thermophys. 2008, 29, 1319–1322. [Google Scholar]
- Fasquelle, A.; Pellé, J.; Harmand, S.; Shevchuk, I.V. Numerical Study of Convective Heat Transfer Enhancement in a Pipe Rotating Around a Parallel Axis. ASME J. Heat Transfer. 2014, 136, 051901. [Google Scholar] [CrossRef]




















| Main Conditions | ANSYS Fluent Computing Platform |
|---|---|
| Hypothesis | Steady, incompressible |
| Algorithm | Simple |
| Inlet | Velocity inlet |
| Outlet | Outflow |
| Wall | No-slip |
| Near wall region | Standard Wall Fuction |
Publisher’s Note: MDPI stays neutral with regard to jurisdictional claims in published maps and institutional affiliations. |
© 2021 by the authors. Licensee MDPI, Basel, Switzerland. This article is an open access article distributed under the terms and conditions of the Creative Commons Attribution (CC BY) license (https://creativecommons.org/licenses/by/4.0/).
Share and Cite
Li, S.; Li, W.; Ji, L.; Shi, W.; Agarwal, R.K. Vortex Dynamics Analysis of Internal Flow Field of Mixed-Flow Pump under Alford Effect. Water 2021, 13, 3575. https://doi.org/10.3390/w13243575
Li S, Li W, Ji L, Shi W, Agarwal RK. Vortex Dynamics Analysis of Internal Flow Field of Mixed-Flow Pump under Alford Effect. Water. 2021; 13(24):3575. https://doi.org/10.3390/w13243575
Chicago/Turabian StyleLi, Shuo, Wei Li, Leilei Ji, Weidong Shi, and Ramesh K. Agarwal. 2021. "Vortex Dynamics Analysis of Internal Flow Field of Mixed-Flow Pump under Alford Effect" Water 13, no. 24: 3575. https://doi.org/10.3390/w13243575
APA StyleLi, S., Li, W., Ji, L., Shi, W., & Agarwal, R. K. (2021). Vortex Dynamics Analysis of Internal Flow Field of Mixed-Flow Pump under Alford Effect. Water, 13(24), 3575. https://doi.org/10.3390/w13243575

