Improving the Methods for Processing Hard Rock Aquifers Boreholes’ Databases. Application to the Hydrodynamic Characterization of Metamorphic Aquifers from Western Côte d’Ivoire
Abstract
:1. Introduction
2. Materials and Methods
2.1. Material
2.1.1. Location and Main Characteristics of the Study Area
2.1.2. Geology
- Geological mapping
- Grouping of rock units and associated boreholes
2.1.3. DEM
2.1.4. The ONEP Database
2.2. Methods
2.2.1. Pre-Processing of the ONEP Database
2.2.2. Elementary Statistics
2.2.3. Processing of Water Strikes Depth Data
2.2.4. Statistical analysis
- Linear discharge of each well;
- Quantitative characterization of the properties of the fractured layer;
3. Results
3.1. Pre-Processing of the ONEP Database
3.1.1. Usable Boreholes
3.1.2. Identification of the Lithological Units Associated with Each Borehole
- a.
- Charnockitic orthogneiss (N = 93) which, according to the geological map, correspond to metamorphosed Charnockites;
- b.
- Charnockites (N = 52);
- c.
- Charnockitic orthogneiss and Charnockites (N = 145).
3.2. Elementary Statistics
3.3. Characterisation of the Data Set
- Charnockitic orthogneiss and Charnockites;
- Biotite granodiorite and Biotite metagranodiorite.
- The results for all other lithologies are summarised in the Supplementary Materials.
3.3.1. Linear Discharge of Each Well
3.3.2. Vertical Distribution of Water Strikes within the Wells
3.3.3. Quantitative Characterization of the Properties of the Fractured Layer
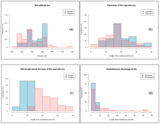
3.3.4. Characteristics of Shallow Biotite Granodiorite and Biotite Metagranodiorite Boreholes of Lower Linear Discharge
3.3.5. Properties of the Fractured Layer
4. Discussion
5. Conclusions and Perspectives
Supplementary Materials
Author Contributions
Funding
Institutional Review Board Statement
Informed Consent Statement
Data Availability Statement
Acknowledgments
Conflicts of Interest
References
- Lachassagne, P.; Dewandel, B.; Wyns, R. Review: Hydrogeology of weathered crystalline/hard-rock aquifers—Guidelines for the operational survey and management of their groundwater resources. Hydrogeol. J. 2021, 29, 34. [Google Scholar] [CrossRef]
- FAO. State of the World’s Land and Water Resources for Food and Agriculture (SOLAW): Managing Systems at Risk; Synthesis Report; Food and Agriculture Organization of the United Nations (FAO): Rome, Italy, 2011; 50p. [Google Scholar]
- Detay, M.; Doutambaye, C. Statistical hydrogeology of the Precambrian basement of the Central African Republic. Main results of the village hydraulics programme in the cotton zone [Hydrogéologie statistique du socle précambrien de la République Centrafricaine. Principaux résultats du programme d’hydraulique villageoise en zone cotonnière]. Bulletin de Liaison du Comite Interafricain d’Etudes Hydrauliques 1989, 76, 13–24. (In French) [Google Scholar]
- Carter, R.C.; Parker, A. Climate change, population trends and groundwater in Africa. Hydrol. Sci. J. 2009, 54, 676–689. [Google Scholar] [CrossRef] [Green Version]
- Biemi, J. Contribution to the Geological, Hydrogeological and Remote Sensing Study of the Sub-Sahelian Watersheds of the Precambrian Basement of West Africa Hydrostructural, Hydrodynamic, Hydrochemical and Isotopic Studies of Discontinuous Aquifers of the Upper Marahoué (Ivory Coast) [Contribution à L’étude Géologique, Hydrogéologique et par Télédétection des Bassins Versants Sub-Sahéliens du Socle Précambrien de l’Afrique de l’Ouest Hydrostructurale, Hydrodynamique, Hydrochimie et Isotopie des Aquifères Discontinus de Sillons et Aires Granitiques de la Haute Marahoué (Côte d’Ivoire)]. Ph.D. Thesis, Université Félix Houphouët-Boigny, Abidjan, Côte d’Ivoire, 1992. Available online: https://www.scirp.org/reference/referencespapers.aspx?referenceid=2772914 (accessed on 25 April 2021). (In French).
- Lachassagne, P.; Wyns, R.; Dewandel, B. The fracture permeability of Hard Rock Aquifers is due neither to tectonics, nor to unloading, but to weathering processes. Terra Nova 2011, 23, 145–161. [Google Scholar] [CrossRef]
- Worthington, S.R.; Davies, G.J.; Alexander, E.C., Jr. Enhancement of bedrock permeability by weathering. Earth-Sci. Rev. 2016, 160, 188–202. [Google Scholar] [CrossRef]
- Key, R.M. An introduction about the Africa cristalline subsoil: The Hydrogeology of Crystalline Basement Aquifers in Africa (EP Wright et WG Burgess, éds). Spec. Publ. Geol. Soc. Lond. 1992, 66, 29–57. [Google Scholar] [CrossRef]
- Wright, E.P. The hydrogeology of crystalline basement aquifers in Africa. In:Wright EP, BurgessW(eds) Hydrogeology of crystalline basement aquifers in Africa. Spec. Publ. Geol. Soc. Lond. 1992, 66, 1–27. [Google Scholar] [CrossRef]
- Savadogo, N.A.; Nakolendousse, S.; Diallo, S. Comparative study of the contribution of MaxMin electromagnetic and electrical methods in the implementation of large discharge boreholes in the crystalline basement regions of Burkina Faso [Étude comparée de l’apport des méthodes électromagnetique MaxMin et électriques dans l’implantation des forages à gros débits dans les régions de socle cristallin du Burkina Faso]. J. Afr. Earth Sci. 1997, 24, 169–181. (In French) [Google Scholar] [CrossRef]
- Neves, M.A.; Morales, N. Well productivity controlling factors in crystalline terrains of southeastern Brazil. Hydrogeol. J. 2007, 15, 471–482. [Google Scholar] [CrossRef]
- Youan Ta, M.; Lasm, T.; Jourda, J.P.; Kouamé, K.F.; Razack, M. Geological fault mapping using Landsat-7 ETM+ satellite imagery and fracture network analysis of the Precambrian basement in the Bondoukou region (north-eastern Côte d’Ivoire) [Cartographie des accidents géologiques par imagerie satellitaire Landsat-7 ETM+ et analyse des réseaux de fractures du socle précambrien de la région de Bondoukou (nord-est de la Côte d’Ivoire)]. Teledetection 2008, 8, 119. (In French) [Google Scholar]
- Lachassagne, P.; Aunay, B.; Frissant, N.; Guilbert, M.; Malard, A. High-resolution conceptual hydrogeological model of complex basaltic volcanic islands: A Mayotte, Comoros, case study. Terra Nova 2014, 26, 307–321. [Google Scholar] [CrossRef]
- Agbotui, P.Y.; West, L.J.; Bottrell, S.H. Characterization of fractured carbonate aquifers using ambient borehole dilution tests. J. Hydrol. 2020, 589, 125191. [Google Scholar] [CrossRef]
- Medici, G.; Baják, P.; West, L.J.; Chapman, P.J.; Banwart, S.A. DOC and nitrate fluxes from farmland; impact on a dolostone aquifer KCZ. J. Hydrol. 2021, 595, 125658. [Google Scholar] [CrossRef]
- Medici, G.; West, L.J.; Mountney, N.P.; Welch, M. Permeability of rock discontinuities and faults in the Triassic Sherwood Sandstone Group (UK): Insights for management of fluvio-aeolian aquifers worldwide. Hydrogeol. J. 2019, 27, 2835–2855. [Google Scholar] [CrossRef] [Green Version]
- Kouamé, K.F. Hydrogeology of Discontinuous Aquifers in the Semi-Mountainous Region of Man-Danané (Western Ivory Coast). Contribution of Satellite Image Data and Statistical and Fractal Methods to the Development of a Spatially Referenced Hydrological Information System [Hydrogéologie des Aquifères Discontinus de la Région Semi-Montagneuse de Man-Danané (Ouest de la Côte d’Ivoire). Apport des Données des Images Satellitales et des Méthodes Statistique et Fractale à l’Elaboration d’un Système d’Information Hydrologique à Référence Spatiale]. Ph.D. Thesis, Université de Cocody, Abidjan, Côte d’Ivoire, 1999. (In French). [Google Scholar]
- Lasm, T. Hydrogeology of Fractured Basement Reservoirs Statistical and Geostatistical Analysis of Fracturing and Hydraulic Properties. Application to the Côte d’Ivoire Montagnes Region (Archean Domain) [Hydrogéologie des Réservoirs Fracturés de socle Analyses Statistiques et Géostatistique de la Fracturation et des Propriétés Hydrauliques. A Pplication à la Région des Montagnes de Côte d’Ivoire Domaine Archéen)]. Ph.D. Thesis, Université de Poitiers, Poitiers, France, 2000. (In French). [Google Scholar]
- Razack, M.; Lasm, T. Geostatistical estimation of the transmissivity in a highly fractured metamorphic and crystalline aquifer (Man-Danane Region, Western Ivory Coast). J. Hydrol. 2006, 325, 164–178. [Google Scholar] [CrossRef]
- Dewandel, B.; Lachassagne, P.; Wyns, R.; Maréchal, J.C.; Krishnamurthy, N.S. A generalized 3-D geological and hydrogeological conceptual model of granite aquifers controlled by single or multiphase weathering. J. Hydrol. 2006, 330, 260–284. [Google Scholar] [CrossRef]
- Lenck, P. New data on the hydrogeology of areas with metamorphic or eruptive bedrock. Lessons learned from 900 boreholes in Côte d’Ivoire [Données nouvelles sur l’hydrogéologie des régions à substratum métamorphique ou éruptif. Enseignements tirés de la réalisation de 900 forages en Côte d’Ivoire]. In Comptes Rendus Hebdomadaires des Séances de l’Académie des Sciences; Académie des Sciences: Paris, France, 1977; Volume 285, pp. 497–500. (In French) [Google Scholar]
- Detay, M. Statistical analysis of the hydrogeological parameters of the first drilling campaign in southwestern Gabon [Analyse statistique des paramètres hydrogéologiques de la première campagne de forages dans le sud-ouest gabonais]. Bulletin de Liaison du Comite Interafricain d’Etudes Hydrauliques 1985, 1–21. Available online: https://www.researchgate.net/profile/Michel-Detay/publication/263652491_Analyse_statistique_des_parametres_hydrogeologiques_de_la_premiere_campagne_de_forages_dans_le_Sud-Ouest_Gabonais/links/545243170cf2bf864cbb3a6b/Analyse-statistique-des-parametres-hydrogeologiques-de-la-premiere-campagne-de-forages-dans-le-Sud-Ouest-Gabonais.pdf (accessed on 5 April 2021). (In French).
- Allen, D.J.; Brewerton, L.J.; Coleby, L.M.; Gibbs, B.R.; Lewis, M.A.; MacDonald, A.M.; Williams, A.T. The Physical Properties of Major Aquifers in England and Wales; Technical Report WD/97/34, Environment Agency R&D Publication 8; British Geological Survey: Nottingham, UK, 1997. [Google Scholar]
- Courtois, N.; Lachassagne, P.; Wyns, R.; Blanchin, R.; Bougaïré, F.D.; Somé, S.; Tapsoba, A. Large-Scale Mapping of Hard-Rock Aquifer Properties Applied to Burkina Faso. Groundwater 2010, 48, 269–283. [Google Scholar] [CrossRef]
- Maréchal, J.-C.; Dewandel, B.; Subrahmanyam, K. Use of hydraulic tests at different scales to characterize fracture network properties in the weathered-fractured layer of a hard rock aquifer. Water Resour. Res. 2004, 40, 17. [Google Scholar] [CrossRef] [Green Version]
- Wyns, R.; Baltassat, J.-M.; Lachassagne, P.; Legchenko, A.; Vairon, J.; Mathieu, F. Application of proton magnetic resonance soundings to groundwater reserve mapping in weathered basement rocks (Brittany, France). Bulletin de la Société Géologique de France 2004, 175, 21–34. [Google Scholar] [CrossRef]
- Dewandel, B.; Lachassagne, P.; Zaidi, F.K.; Chandra, S.A. Conceptual hydrodynamic model of a geological discontinuity in hard rock aquifers: Example of a quartz reef in granitic terrain in South India. J. Hydrol. 2011, 405, 474–487. [Google Scholar] [CrossRef] [Green Version]
- National Institute of Statistics, General Census of Population and Housing (RGPH). Socio-demographic and economic data of localities, final results by localities, Mountain region [Données socio-démographiques et économiques des localités, résultats définitifs par localités, région des Montagnes]. In Rapport RGPH-2014 Résultats Globaux; National Institute of Statistics, General Census of Population and Housing (RGPH): Montrouge, France, 2014; Volume 3, p. 27. (In French) [Google Scholar]
- Ltée, G. Hydrogeological Inventory Applied to Village Hydraulics [Inventaire Hydrogéologique Appliquée à l’Hydraulique Villageoise]; Danané map [carte de Danané]; Cahier n°15; Ministry of Public Works and Transport, Central Directorate of Hydraulics: Jamusukro, Côte d’Ivoire, 1982; 16p. (In French)
- Avenard, J.M.; Eldin, M.; Girard, G.; Sircoulon, J.; Touchebeuf, P.; Guillaumet, J.L.; Adjanohoun, E.; Perraud, A. The Natural Environment of Côte d’Ivoire [Le Milieu Naturel de la Côte d’Ivoire]; Mémoire Orstom n° 50; Office of Scientific and Technical Research Overseas (ORSTOM): Paris, France, 1971. (In French) [Google Scholar]
- Camil, J. An example of prograde metamorphism from the base of the amphibolite facies to the granulite facies in the Man region (western Côte d’Ivoire) [Un exemple de métamorphisme prograde de la base du faciès des amphibolites au faciès des granulites dans la région de Man (Ouest de la Côte d’Ivoire)]. In Comptes Rendus Hebdomadaires des Séances de l’Académie des Sciences; Série II; Académie des Sciences: Paris, France, 1981; Volume 293, pp. 513–518. (In French) [Google Scholar]
- Kouamelan, A.-N. Geochronology and Geochemistry of the Archean and Proterozoic Formations of the “Dorsale de Man”, Ivory Coast. Implications for the Archean-Proterozoic Transition [Géochronologie et Géochimie des Formations Archéennes et Protérozoïques de la Dorsale de Man en Côte d’Ivoire. Implications pour la Transition Archéen-Protéozoïque]. Ph.D. Thesis, Université Rennes 1, Rennes, France, 1996. Available online: https://tel.archives-ouvertes.fr/tel-00653760 (accessed on 25 April 2021). (In French).
- Camil, J. Petrography, Chronology of the Archean Granulitic Complexes and Associated Formations of the Man Region (Côte d’Ivoire). Implication for the Geological History of the West African Craton [Pétrographie, Chronologie des Ensembles Granulitiques Archéens et Formations Associées de la Région de Man (Côte d’Ivoire). Implication Pour l’Histoire Géologique du Craton Ouest-Africain]. Ph.D. Thesis, Université Félix Houphouët-Boigny, Abidjan, Côte d’Ivoire, 1984. (In French). [Google Scholar]
- Kadio, E. Overview of the Precambrian of Côte d’Ivoire: Geology-metallogeny [Aperçu sur le précambrien de Côte d’Ivoire: Géologie-métallogénie]. J. Afr. Earth 1983, 1, 167–177. (In French) [Google Scholar]
- Delor, C.; Yao, D. DANANE-MAN sheet of the Geological Map of Côte d’Ivoire at 1/200.000 Scale. [Feuille de DANANE-MAN de la Carte Géologique de la Côte d’Ivoire à l’Echelle 1/200.000—Feuille de GUIGLO-TOULEPLEU de la Carte Géologique de la Côte d’Ivoire à l’Echelle 1/200.000]. In Archives de la Direction de la Géologie; Ministère des Mines et de la Géologie, Direction des Mines et de la Géologie: Abidjan, Côte d’Ivoire, 1998. (In French) [Google Scholar]
- Delor, C.; Yao, D. GUIGLO-TOULEPLEU sheet of the Geological Map of Côte d’Ivoire at 1/200.000 scale [Feuille de GUIGLO-TOULEPLEU de la carte géologique de la Côte d’Ivoire à l’échelle 1/200.000]. In Archives de la Direction de la Géologie; Ministère des Mines et de la Géologie, Direction des Mines et de la Géologie: Abidjan, Côte d’Ivoire, 1995. (In French) [Google Scholar]
- Mougin, B.; Dheilly, A.; Thomas, E.; Blanchin, R.; Courtois, N.; Gateau, C.; Wyns, R.; Allier, D.; Putot, E. SILURES Bretagne (Information System for the Location and Use of Groundwater Resources) [SILURES Bretagne (Système d’Information Pour la Localisation et l’Utilisation des Ressources en Eaux Souterraines)]; Rapport Final BRGM/RP-56457-FR; Bureau de Recherches Géologiques et Minières (BRGM): Orléans, France, 2008. (In French) [Google Scholar]
- Cho, M.; Ha, K.M.; Choi, Y.S.; Kee, W.S.; Lachassagne, P.; Wyns, R. Relationships between the permeability of hard rock aquifers and their weathering cover based on geological and hydrogeological observations in South Korea. In Proceedings of the International Association of Hydrogeologists (IAH) Conference on Groundwater in Fractured Rocks, Prague, Czech Republic, 15–19 September 2003; pp. 41–42. [Google Scholar]
- Cho, M.; Choi, Y.-S.; Ha, K.C.; Kee, W.S.; Lachassagne, P.; Wyns, R. Paleoweathering covers in Korean hard rocks: A methodology for mapping their spatial distribution and the thickness of their constituting horizons—Applications to identify brittle deformation and to hard rock hydrogeology. KIGAM Bull. 2002, 6, 12–25. [Google Scholar]
- Boisson, A.; Guihéneuf, N.; Perrin, J.; Bour, O.; Dewandel, B.; Dausse, A.; Viossanges, M.; Ahmed, S.; Maréchal, J.C. Determining the vertical evolution of hydrodynamic parameters in weathered and fractured south Indian crystalline-rock aquifers: Insights from a study on an instrumented site. Hydrogeol. J. 2015, 23, 757–773. [Google Scholar] [CrossRef]
- Petit, V.; Lachassagne, P.; Rouxel, E.; Baudouin, V.; Lereculey, A. Determination of Favourable Contexts for the Presence of Medium Depth Groundwater Resources in Hard Rocks [Détermination de Contextes Favorables à la Présence de Ressources en eau Souterraine de Moyenne Profondeur en Domaine de Socle]; Département de Loire Atlantique; Rapport BRGM/RP-55585-FR:71; Bureau de Recherches Géologiques et Minières (BRGM): Orléans, France, 2007b. (In French) [Google Scholar]
- Taylor, R.; Howard, K. A tectono-geomorphic model of the hydrogeology of deeply weathered crystalline rock: Evidence from Uganda. Hydrogeol. J. 2000, 8, 279–294. [Google Scholar] [CrossRef]
- Wyns, R. Hydrogeology of Discontinuous Aquifers. Margeride West Water Resources. Modelling of the Geometry (Altitude, Thickness) of the Granitic Saprolite of the Truyère Catchment Area (Lozère, Massif Central) [Hydrogéologie des Aquifères Discontinus. Ressources en eau Margeride Ouest. Modélisation de la Géométrie (Altitude, Epaisseur) des Arènes Granitiques du Bassin Versant Lozérien de la Truyère (Lozère, Massif Central)]; Rapport BRGM R40191; Figures, 4 Planches; Bureau de Recherches Géologiques et Minières (BRGM): Orléans, France, 1998; p. 18. (In French) [Google Scholar]
- Dewandel, B.; Alazard, M.; Lachassagne, P.; Bailly-Comte, V.; Couëffé, R.; Grataloup, S.; Ladouche, B.; Lanini, S.; Maréchal, J.-C.; Wyns, R. Respective roles of the weathering profile and the tectonic fractures in the structure and functioning of crystalline thermo-mineral carbo-gaseous aquifers. J. Hydrol. 2017, 547, 690–707. [Google Scholar] [CrossRef]
- Soro, D.D.; Koita, M.; Biaou, C.A.; Outoumbe, E.; Vouillamoz, J.-M.; Yacouba, H.; Guérin, R. Geophysical demonstration of the absence of correlation between lineaments and hydrogeologically usefull fractures: Case study of the Sanon hard rock aquifer (central northern Burkina Faso). J. Afr. Earth Sci. 2017, 129, 842–852. [Google Scholar] [CrossRef] [Green Version]
- Faillat, J.-P.; Drogue, C. Fissured Aquifers in the Humid Tropics: Structure, Hydrodynamics and Hydrochemistry (West Africa) [Aquifères Fissurés en Zone Tropicale Humide: Structure, Hydrodynamique et Hydrochimie (Afrique de l’Ouest)]; Atelier Duplication; Universite’ des Sciences et Techniques du Languedoc (U.S.T.L.): Montpellier, France, 1986. (In French) [Google Scholar]
- Savané, I. Contribution to the Geological and Hydrogeological Study of the Discontinuous Aquifers of the Crystalline Basement of Odienné (North-West of Ivory Coast). Contributions of Remote Sensing and a Spatial Reference Hydrogeological Information System (S.I.H.R.S.) [Contribution à l’Etude Géologique et Hydrogéologique des Aquifères Discontinus du Socle Cristallin d’Odienné (Nord-Ouest de la Côte d’Ivoire). Apports de la Télédétection et d’un Système d’Information Hydrogéologique à Référence Spatiale (S.I.H.R.S.)]. Ph.D. Thesis, Université Félix Houphouët-Boigny, Abidjan, Côte d’Ivoire, 1997. (In French). [Google Scholar]
- Maurice, L.; Taylor, R.G.; Tindimugaya, C.; MacDonald, A.M.; Johnson, P.; Kaponda, A.; Owor, M.; Sanga, H.; Bonsor, H.C.; Darling, W.G.; et al. Characteristics of high-intensity groundwater abstractions from weathered crystalline bedrock aquifers in East Africa. Hydrogeol. J. 2019, 27, 459–474. [Google Scholar] [CrossRef] [Green Version]
- Hencher, S.; Knipe, R. Development of rock joints with time and consequences for engineering. In Proceedings of the 11th ISRM Congress, Lisbon, Portugal, 9–13 July 2007. [Google Scholar]
- Koita, M.; Jourde, H.; Koffi KJ, P.; Da Silveira, K.S.; Biaou, A. Characterization of weathering profile in granites and volcanosedimentary rocks in West Africa under humid tropical climate conditions. Case of the Dimbokro Catchment (Ivory Coast). J. Earth Syst. Sci. 2013, 122, 841–854. [Google Scholar] [CrossRef] [Green Version]
- Koita, M. Characterisation and Modelling of the Hydrodynamic Functioning of a Fractured Aquifer in Hard Rocks: Dimbokro-Bongouanou Region (Central East of Ivory Coast) [Caractérisation et Modélisation du Fonctionnement Hydrodynamique d’un Aquifère Fracturé en Zone de Socle: Région de Dimbokro-Bongouanou (Centre Est de la Côte d’Ivoire)]. Ph.D. Thesis, Université Montpellier II, Montpellier, Frence, 2010; p. 235. (In French). [Google Scholar]
- Kouame, I.K.; Douagui, A.G.; Bouatrin, D.K.; Kouadio, S.K.A.; Savane, I. Assessing the hydrodynamic properties of the fissured layer of granitoid aquifers in the Tchologo Region (Northern Côte d’Ivoire). Heliyon 2021, 7, 17. [Google Scholar] [CrossRef]
- Lompo, M. Paleoproterozoic structural evolution of the Man-Leo Shield (West Africa). Key structures for vertical to transcurrent tectonics. J. Afr. Earth Sci. 2010, 58, 19–36. [Google Scholar] [CrossRef]
- Thiéblemont, D.; Goujou, J.-C.; Egal, E.; Cocherie, A.; Delor, C.; Lafon, J.-M.; Fanning, C.M. Archean evolution of the Leo rise and its eurnean reworking. J. Afr. Earth Sci. 2004, 39, 97–104. [Google Scholar] [CrossRef]


















| Parameter | Method | Unit | Reference | % of Boreholes with Information Available | Comments and Observations |
|---|---|---|---|---|---|
| Borehole location (X, Y) | GPS or by location on a map | m | WGS 84 Zone 29 North | 100 | Measurements are usually made in the field with a GPS or, for old drillings, by determination on a map. The accuracy on X and Y is estimated to be between a few meters and a few tens of meters (usual accuracy of a GPS). Location errors were identified in another work (Aoulou et al., in prep.). Nevertheless, since all statistical analyses in this work were performed relatively (depth relative to the ground surface), these errors were not detrimental to its quality. |
| Borehole elevation (Z) | GPS or from a topographic map | m | Above Sea Level | 60 | Measurements are usually made in the field with a GPS or, for old drillings, by determination on a map. The accuracy on Z was estimated to be between a few meters and a few tens of meters (usual accuracy of a GPS). Location and elevation errors were identified in another work (Aoulou et al., in prep.). Nevertheless, since all statistical analyses in this work were performed relatively (depth relative to the ground surface), these errors were not detrimental to its quality. |
| Date of drilling | (-) | (-) | (-) | 39.4 | The oldest wells date from 1964 and the most recent from 1991. |
| Lithology | Identification from cuttings during drilling | (-) | (-) | 96 | For many boreholes, this information (“biotite cratonic granites”, “unconformable granites”, “geosynclinal granites”, “migmatites + gneisses (Liberian)”, “greenstone”, “Birrimian schists”, and “sedimentary rocks”; translated into English), as identified in the ONEP database, does not correspond to that of existing geological maps (see Chapter 3.2). Therefore, information from the 1:2,000,000 scale geological maps [35,36] provided by the Geological Directorate of Côte d’Ivoire was used in the statistical processing of the data. |
| Aquifer | Identification during drilling | (-) | (-) | 53 | The keywords indicated were: weathering, fractured basement (translated into English). |
| Type of well | (-) | (-) | (-) | 100 | All were boreholes |
| Condition of the work | (-) | (-) | (-) | 60 | The majority of the wells were operated (51.5%). The rest of the boreholes in the ONEP database were marked “negative boreholes” (5.2%) and “abandoned” (3.4%) concerning this parameter. |
| Total depth of the borehole | Measurement at the end of drilling | m | Surface of the ground | 100 | |
| Thickness of the saprolite | From cuttings and drilling parameters during drilling | m | Surface of the ground | 81 | |
| Depth of the Water strike | Identification during drilling | m | Surface of the ground | 83 (Water strike 1), 60 (Water strike 2). | The ONEP database only provided information on the depths of one or maximum two water strikes in each borehole. The first water strike (“Water strike 1”) was shallower than the second (“Water strike 2”). The flow rate of the water strike was never provided. Anomalies were observed. For some boreholes, the depth of “Water strike 2” was mentioned without any “Water strike 1”. Thus, in these cases, it was deduced that this borehole recorded only one water strike. “Water strike 2” was then considered to be the “Water strike 1”. |
| Depth to the piezometric level | Piezometric level without pumping usually measured at the end of drilling | m | Surface of the ground | 88.3 | |
| Instantaneous discharge | Air lift flow measured at end of the drilling by blowing air under pressure at the bottom of the well | m3/h | 49 |
| Number of Boreholes | Percentage (%) | Relative Percentage (%) | |
|---|---|---|---|
| Total number of boreholes in ONEP database | 1654 | 100 | NA |
| Duplicates | 624 | 37.7 | NA |
| Database without duplicates | 1030 | 62.3 | 100 |
| Boreholes without duplicates and without data about saprolite thickness | 316 | 19 | 30.7 |
| Boreholes without duplicates and without data about instantaneous discharge | 269 | 16.3 | 26 |
| Boreholes without duplicates with data about saprolite thickness and with instantaneous discharge | 445 | 27 | 43.3 |
| Lithological Description | Number of Boreholes | Percentage (%) |
|---|---|---|
| Biotite granite | 1001 | 60.5 |
| Migmatites and gneiss (Liberian) | 309 | 18.7 |
| Sedimentary | 214 | 13 |
| Birrimian Schist | 27 | 1.6 |
| Green Rocks | 22 | 1.3 |
| Discordant granites | 13 | 0.8 |
| Geosynclinal granites | 4 | 0.2 |
| Lithology not known | 64 | 3.9 |
| TOTAL | 1654 | 100 |
| Number | Lithological Description | Area (km2) | % of the Study Area | Number of Boreholes | % of the Number of Boreholes |
|---|---|---|---|---|---|
| 1 | Charnokites | 1133.6 | 3.6 | 52 | 11.7 |
| 2 | Charnockitic orthogneiss | 10,803.2 | 34.8 | 93 | 20.8 |
| 3 | Biotite granodiorite | 475.5 | 1.5 | 14 | 3.2 |
| 4 | Biotite metagranodiorite | 1280.9 | 4.1 | 105 | 23.6 |
| 5 | Enderbites | 106.5 | 0.3 | 6 | 1.3 |
| 6 | Metaenderbites | 1103.6 | 3.5 | 41 | 9.2 |
| 7 | Undifferentiated migmatite | 3265.2 | 10.5 | 14 | 3.2 |
| 8 | Archean migmatites | 4307.7 | 13.9 | 38 | 8.5 |
| 9 | Monzosyenites | 710.2 | 2.3 | 34 | 7.6 |
| 10 | Meta-arenites | 1095.7 | 3.5 | 18 | 4 |
| 11 | Micaschists and Feldspathic gneiss | 1275.7 | 4.1 | 11 | 2.5 |
| 12 | Amphibole gneiss | 204.3 | 0.6 | 15 | 3.5 |
| 13 | Biotite gneiss-garnet | 1882.7 | 6.1 | 2 | 0.5 |
| 14 | Leptynites | 411.2 | 1.3 | 0 | 0 |
| 15 | Porphyroid granites | 288.6 | 0.9 | 1 | 0.2 |
| 16 | Two micas granites | 182.8 | 0.6 | 0 | 0 |
| 17 | Amphibolites | 120.6 | 0.4 | 0 | 0 |
| 18 | Quartz amphibolites | 45.5 | 0.2 | 0 | 0 |
| 19 | Amphibolites and Pyroxenites | 28.7 | 0.1 | 0 | 0 |
| 20 | Pyroxenites | 169.7 | 0.5 | 0 | 0 |
| 21 | Norite | 411.8 | 1.3 | 0 | 0 |
| 22 | Quartzites | 264.4 | 0.8 | 0 | 0 |
| 23 | Sillimanite Paragneiss | 745.7 | 2.4 | 1 | 0.2 |
| 24 | Amphibolic schists | 6.5 | 0.02 | 0 | 0 |
| 25 | Meta-siltites | 758.5 | 2.4 | 0 | 0 |
| 26 | Metarhyolite and Meta-dacite | 58.5 | 0.2 | 0 | 0 |
| TOTAL | 30,972.58 | 100 | 445 | 100 |
| Original Lithology | Number of Boreholes | Combined Lithology | % of the Study Area | Total Number of Boreholes | % of the Number of Boreholes |
|---|---|---|---|---|---|
| Charnokites | 52 | Charnockitic orthogneiss and Charnockites | 38.4 | 145 | 32.6 |
| Charnockitic orthogneiss | 93 | ||||
| Biotite granodiorite | 14 | Biotite granodiorite and Biotite metagranodiorite | 5.6 | 119 | 26.7 |
| Biotite metagranodiorite | 105 | ||||
| Undifferentiated migmatite | 14 | Archean and Undifferentiated migmatites | 24.4 | 52 | 11.7 |
| Archean migmatites | 38 | ||||
| Porphyroid granites | 1 | Monzosyenites and Porphyroid granites | 3.2 | 35 | 7.8 |
| Monzosyenites | 34 | ||||
| Enderbites | 6 | Enderbites and Metaenderbites | 3.8 | 47 | 10.6 |
| Metaenderbites | 41 | ||||
| Meta-arenites | 18 | Micaschists, all Gneiss and Meta-arenites | 16.7 | 47 | 10.6 |
| Micaschists and Feldspathic gneiss | 11 | ||||
| Amphibole gneiss | 15 | ||||
| Sillimanite paragneiss | 1 | ||||
| Biotite gneiss-garnet | 2 | ||||
| TOTAL | 445 | 92.1 | 445 | 100 |
| Parameters | Mean | Median | Standard Deviation | Most Represented Class |
|---|---|---|---|---|
| Total depth (m) | 53.7 | 50.2 | 14.6 | [40–50] |
| Thickness of the saprolite (m) | 17.9 | 16.9 | 8.7 | [10–20] |
| Well length below of the base of the saprolite (m) | 35.7 | 33.7 | 14.9 | [20–40] |
| Instantaneous discharge (<5 m3/h) | 2 | 1.8 | 1.2 | [0.5–2] |
| Instantaneous discharge (<60 m3/h) | 5.8 | 2.7 | 8.5 | [0–5] |
| Population 1 (N = 30) | Population 2 (N = 89) | |||||
|---|---|---|---|---|---|---|
| Parameter | Mean | Median | Standard Deviation | Mean | Median | Standard Deviation |
| Altitude (m) | 321.5 | 325 | 40 | 301 | 292 | 51.3 |
| Total well length (m) | 38.6 | 36 | 7.2 | 62.5 | 63 | 13.8 |
| Thickness of the saprolite (m) | 19.5 | 18 | 8 | 14.3 | 16.6 | 7.5 |
| Well length below the base of the saprolite (m) | 19 | 19.5 | 5.5 | 45.6 | 43.6 | 13 |
| Instantaneous discharge (m3/h) | 3.5 | 3 | 2 | 8 | 3 | 12.7 |
| Lithological Description | a (m) | b (m) | Length of the Most Permeable Part of the Fractured Zone Evaluated with the Slope Method (m/%) | Useful Thickness of the Fractured Layer Lu (m) | Cumulative Percentage of Linear Discharge Pq(Lu) (%) | Number of Wells J (Lu) | Mean Linear Discharge of the Most Productive Part of the Fractured Layer qM(Lu) (m3/h/m) | Mean Discharge of the Most Productive Part of the Fractured Layer Part QM(Lu) (m3/h) |
|---|---|---|---|---|---|---|---|---|
| Charnockitic orthogneiss and charnockites | 15 | 43 | 0.32 | 43 | 90 | 42 (29%) | 0.25 | 10.8 |
| Biotite granodiorite and Biotite metagranodiorite | 27 | 44 | 0.23 | 43 | 79 | 76 (63.8%) | 0.28 | 12.4 |
| Archean and Undifferentiated migmatites | 11 | 45 | 0.35 | 45 | 97 | 40 (77%) | 0.25 | 11.3 |
| Enderbites and Metaenderbites | 9 | 40 | 0.36 | 40 | 90 | 29 (61.7%) | 0.28 | 11.4 |
| Micashists, all Gneiss and Meta-arenites | 9 | 43 | 0.42 | 43 | 89 | 39 (83%) | 0.18 | 8 |
| Monzosyenites and Porphyroid granites | 8 | 45 | 0.45 | 45 | 89 | 25 (71.4%) | 0.34 | 15.4 |
| References | Type of Rocks Studied | Studied Area | Total Thickness of the Fractured Layer (m) | Useful Thickness of the Fractured Layer Lu (m) | Mean Linear Discharge of the Fractured Layer qM(Lu) (m3/h/m) | Mean Discharge for MostProductive Part of the Fractured Layer QM(Lu) (m3/h) |
|---|---|---|---|---|---|---|
| Aoulou et al. (this paper) | Metamorphic rocks: Charnockitic orthogneiss and Charnockites, Biotite granodiorite and Biotite metagranodiorite, Archean and Undifferentiated migmatites, Monzosyenites and Porphyroid granites, Enderbites and Metaenderbites, Micaschists, all Gneiss and Meta-arenites | Montagnes District in Western Côte d’Ivoire (31,000 km2) | 80 | 40–45 | 0.18–0.34 | 8–15.4 |
| Kouamé et al. (2021) [52] | Granitoids | Tchologo region in the North of Côte d’Ivoire (17,728 km2) | NA | 40–45 | 0.13 | 5.21 |
| Soro et al. (2017) [45] | Migmatite | Central northern Burkina Faso (14 km2) | 20 | NA | NA | NA |
| Gneiss | ||||||
| Green rocks | ||||||
| Granites | ||||||
| Koita (2010) [51] | Granites | Central eastern Ivory Coast (14 km2) | 80–100 | 40–60 | 0.03–3.7 | 1.8–2.75 |
| Metasediments | ||||||
| Metavolcanites | ||||||
| Mougin et al. (2008) [37] | Plutonic and Metamorphic rocks | French Britany (30,000 km2) | 75 | 19–65.7 | 0.078–0.84 | 3.8–42.6 |
| Dewandel et al. (2006) [20] | Granite | South India (50 km2) | 30–35 | 15–20 | NA | NA |
| Maréchal et al. (2004) [25] | Granite | South India (50 km2) | 35 | 15–30 | NA | NA |
| Lasm (2000) [18] | Granulitic gneiss | Montagnes region in Western of Côte d’Ivoire (area not specified in the manuscript) | 30–35 | 30 | NA | NA |
| Migmatites | ||||||
| Amphibolo-pyroxenites | ||||||
| Charnockites | ||||||
| Orthogneiss |
Publisher’s Note: MDPI stays neutral with regard to jurisdictional claims in published maps and institutional affiliations. |
© 2021 by the authors. Licensee MDPI, Basel, Switzerland. This article is an open access article distributed under the terms and conditions of the Creative Commons Attribution (CC BY) license (https://creativecommons.org/licenses/by/4.0/).
Share and Cite
Aoulou, K.A.; Pistre, S.; Oga, Y.M.S.; Dewandel, B.; Lachassagne, P. Improving the Methods for Processing Hard Rock Aquifers Boreholes’ Databases. Application to the Hydrodynamic Characterization of Metamorphic Aquifers from Western Côte d’Ivoire. Water 2021, 13, 3219. https://doi.org/10.3390/w13223219
Aoulou KA, Pistre S, Oga YMS, Dewandel B, Lachassagne P. Improving the Methods for Processing Hard Rock Aquifers Boreholes’ Databases. Application to the Hydrodynamic Characterization of Metamorphic Aquifers from Western Côte d’Ivoire. Water. 2021; 13(22):3219. https://doi.org/10.3390/w13223219
Chicago/Turabian StyleAoulou, Kouassi Aristide, Severin Pistre, Yéï Marie Solange Oga, Benoît Dewandel, and Patrick Lachassagne. 2021. "Improving the Methods for Processing Hard Rock Aquifers Boreholes’ Databases. Application to the Hydrodynamic Characterization of Metamorphic Aquifers from Western Côte d’Ivoire" Water 13, no. 22: 3219. https://doi.org/10.3390/w13223219
APA StyleAoulou, K. A., Pistre, S., Oga, Y. M. S., Dewandel, B., & Lachassagne, P. (2021). Improving the Methods for Processing Hard Rock Aquifers Boreholes’ Databases. Application to the Hydrodynamic Characterization of Metamorphic Aquifers from Western Côte d’Ivoire. Water, 13(22), 3219. https://doi.org/10.3390/w13223219

