Abstract
Previous studies mostly focus on an individual delta, or deltas at a global scale, to explore dam effects on deltaic hydrological alteration and morphological evolution, while comparative studies on selected similar deltas remain scarce. In this study, we compare the alteration of river discharge and sediment load, as well as the associated deltaic area and shoreline, of two deltas, namely, the Volta River Delta in Ghana and the Yellow River Delta in China, which are subject to similar forcings and mainstem dam influences. The results show that the sediment loads of the Volta River Delta and Yellow River Delta have decreased abruptly and gradually, respectively, to ~10% of the pre-dam level, presumably due to differences in reservoir capacity and upstream dam location. Sediment decline has led to a decrease of the fluvial dominance ratio, which has also been affected by the river mouth location and shoreline orientation. As a consequence, the area of the Volta River Delta has shifted to a new quasi-equilibrium, whereas the Yellow River Delta has kept prograding. This comparative study provides references for understanding the future evolution of similar deltas around the world.
1. Introduction
Deltas are of critical socioeconomic and ecological importance, and are inhabited by about half a billion of the world’s population [1]. Located at the interface between land and sea, deltas are significantly affected by climate change and intensive anthropogenic activities, such as sea-level increases, storm surges and upstream dam regulation [1,2,3]. It is well-recognized that dam regulation causes hydrological alteration [4,5,6] and morphological evolution of the world’s deltas [7,8]. Given the continuously increasing coastal erosion and degradation of deltaic ecosystems in this rapidly changing environment of the Anthropocene [3,9,10,11,12], understanding effects of dam regulation that lead to the hydrological alteration and morphological evolution of the world’s deltas is an imperative task.
A global overview showed that over half of the world’s large rivers are affected by dams, and the global sediment flux to the ocean has reduced by about 1.4 BT/year under dams’ influences, which has further resulted in coastal erosion and delta shrinkage [6,8]. Specifically, Syvitski et al. (2005) [6] adopted the Discharge Relief Temperature sediment delivery model (QRT) to predict the global (6292 river basins) flux of sediment under modern and pre-human conditions, showing that dam regulation has trapped over 100 billion metric tons of sediment in reservoirs and shrunk deltas under sea-level rise [1,6,8]. Empirical relationships between the key deltaic morphological metrics and hydrological indices of 72 river deltas have also been established to examine the potential impacts of human-induced hydrological alteration on deltaic morphological evolution [8]. Recently, Besset et al. (2019) [10] analyzed the shoreline mobility and area change of 54 global deltas over 30 years, to quantify their vulnerability under changing sediment loads, showing that a decrease of sediment load due to dam regulation could further reduce the resilience of river deltas under sea-level rise and climate change.
The effects of dam regulation on the hydrological alteration and morphological evolution of many individual deltas worldwide have also been singled out and studied. For example, the construction of the Aswan High Dam in 1964 in the Nile River reduced more than 98% of the sediment load to the Nile River Delta, which resulted in rapid shoreline erosion of more than 50 m/year at Rosetta in Egypt [13,14,15]. The total suspended sediment of the lower Mississippi River Delta decreased by 72% under dam regulations compared with the period 1950–1953, especially due to the Gavins Point Dam (built in 1955) and river training [16,17], which led to severe delta erosion and loss of 3400 km2 of the deltaic wetlands from 1956 to 1990 [16,18]. The Akosombo Dam (built in 1964) reduced more than 90% of the sediment load delivered to the Volta River Delta in Ghana, which resulted in a significant shoreline retreat in the 1960s [19,20]. Yet, the stable sediment load in the post-dam period appeared to drive the delta into a new quasi-equilibrium [19]. Construction of dams and reservoirs, amongst other factors, has caused a continuous and stepwise decrease of the sediment load in the Yellow River Delta in China [5], and resulted in the shift from rapid progradation to slow progradation of the delta from 1976 to 2005 [21].
So far, the majority of the existing studies are either meta-analyses of global datasets or specific case studies of individual deltas, while comparative studies of selected deltas that share similar characteristics and forcing factors remain scarce in the literature. The latter is particularly relevant as river deltas that are subject to dam effects for longer periods can inform similar ones under shorter and yet foreseeable continuous influence into the future. To address the research gap, we selected two deltas, i.e., the Volta River Delta in Ghana and the Yellow River Delta in China, to perform a comparative study on the effects of dam regulation on inter-annual variations of river discharge and sediment load and the corresponding deltaic shoreline and area evolution. Differences and similarities of the changes of the inter-annual variations of river discharge and sediment load due to different dam regulation conditions were demonstrated. The resulting morphological evolution patterns of the two deltas, i.e., evolution of shoreline and delta area, were further examined, together with variation of the forcing factors, as represented by the fluvial dominance ratio over time.
The two deltas were selected for the following reasons. Firstly, the Volta River and Yellow River are both heavily regulated by dams, and the sediment supply, frequency and peak discharge of floods have reduced remarkably under dam regulation [19,22,23]. Secondly, both deltas have shifted or are shifting from river-dominated to wave-dominated deltas due to reduced sediment load [9,24,25,26,27]. Thirdly, both deltas play a critical role in the local economy and ecosystem [19,22]. Our comparative study aimed to examine lessons and experiences in selected deltas to inform other similar deltas worldwide.
An overview of the two deltas is provided in Section 2. The data source and relevant methodology for analyzing hydrological alteration and deltaic morphological evolution are documented in Section 3. The trends of change of annual river discharge and sediment load before and after the construction of major dams were analyzed, and the significance of the effects of dams for hydrological alteration was tested and compared for the two deltas, as detailed in Section 4.1. Landsat remote sensing images were interpreted to examine and compare the shoreline evolution in Section 4.2. Changes of relative strength, between fluvial and wave forcings, are estimated using fluvial dominance ratios in Section 4.3. Furthermore, differences and similarities of the changes of the inter-annual variations of river discharge and sediment load due to different dam regulation conditions are analyzed in Section 5.1. The resulting morphological evolution patterns of the two deltas are further examined in Section 5.2. The processes of dam-influenced delta evolution are demonstrated using a conceptual model in Section 5.3. The paper concludes with a summary of the main findings, as well as recommended future studies, in Section 6.
2. Study Area
2.1. The Volta River
The Volta River Delta (5°25′–6°20′ N; 0°4′–1°10′ E), with a population of more than 0.65 million, is located at the interface between the Volta River in Ghana and the Atlantic Ocean (Figure 1a) [19,25]. The Volta River Delta is the sanctuary for about 80% of migratory birds that transit in Ghana’s wet semi-equatorial and dry equatorial climatic zones [25,28]. The sediment of the Volta River Delta is mostly sand with a median grain size of 0.6 mm [28,29]. The anthropogenic interventions of damming and irrigation, as well as the associated evaporation, alter the variation of river discharge and sediment load, further affecting the delta morphology [30]. The Volta River Delta is an asymmetric lobe in a tectonic offset on the coast of Ghana [31], and its subsidence rate is estimated to be 1 to 2 mm/year [25,31]. Furthermore, the rate of sea level rise was 2.52 mm/year at the Volta River Delta from 1997 to 2017 [32].
Figure 1.
The study area: (a) The locations of Ghana and China, (b) the Volta River Basin, (c) the Yellow River Basin, (d) the Volta River Delta, and (e) the Yellow River Delta. The enclosed areas in (d,e) represent the extent of the two deltas.
The Volta River Basin, which consists of the Black Volta, White Volta and Oti, covers an area of 4.00 × 105 km2 [33] (Figure 1b). The Akosombo Dam (built in 1964) and Kpong Dam (built in 1982) are located 80 km and 56 km, respectively, upstream from the river mouth. The Akosombo Dam traps about 95% of the drainage basin [34] and significantly reduces the river discharge and sediment load downstream of the dam [35] (Figure 1d). The reservoir capacities of Akosombo Dam and Kpong Dam are 147.96 and 0.20 billion m3, respectively, with surface areas of 8482.25 and 25.20 km2, respectively [19,36]. Before the dams were built, the river delivered about 1 million m3 sediment every year to the delta [34]. However, about 90% of the total sediment load of the river is now retained in the dam’s reservoir [19,34]. As such, the Volta River Delta has shifted to a wave-dominated delta due to the abrupt reduction of sediment load [9,24,25]. September and October are the flood season, with an average river discharge of about 4641.80 m3/s, while November to August are the dry season, with an average river discharge of about 440.68 m3/s before the construction of the Akosombo dam [19].
2.2. The Yellow River
The Yellow River Delta (37°16′–38°09′ N; 118°06′–119°45′ E), with a population of more than 2 million, is located in the northeastern part of Shandong Province in China (Figure 1a) and adjacent to the Bohai Sea [21,22]. The Yellow River Delta is regarded as the youngest land in China’s warm temperate zone and acts as a stopover site for about 152 protected species of migratory birds [37,38,39,40]. The Yellow River Delta mostly consists of silt and sand with a median grain size of 0.035–0.04 mm [41,42]. Over the past decades, a variety of anthropic interventions (e.g., dam constructions, agriculture irrigation and soil conservation practices) have sharply decreased the river discharge and sediment load, triggering potential erosion [43]. Furthermore, the river mouth of the Yellow River Delta shifted from Diaokouhe (1964–1976), to Qingshuigou (1976–1996), to Q8 course (1996-present) due to river avulsions. The modern Yellow River Delta is located on the Mesozoic and Cenozoic tectonic shrinking zone, with Holocene marine sediments deposited during the postglacial transgression [44]. Its average annual subsidence rate ranges from 3 to 4 mm/year [45]. The rate of relative sea-level rise of the Yellow River Delta in the past few decades was 4.80 mm/year [46].
The Yellow River Basin covers an area of 7.95 × 105 km2 [47] (Figure 1c). Since the 1950s, four major reservoirs (Sanmenxia (built in 1960), Liujiaxia (built in 1968), Longyangxia (built in 1985) and Xiaolangdi (built in 1999)) have been built along the mainstem of the Yellow River [5,48,49], which are located 919 km, 1714 km, 2049 km and 789 km upstream of the river mouth, respectively (Figure 1e). The reservoir capacities of the Sanmenxia, Liujiaxia, Longyangxia and Xiaolangdi are 9.60, 5.70, 27.60 and 12.70 billion m3, respectively, with surface areas of 200, 130, 383 and 272.30 km2, respectively [5,50]. The Yellow River Conservancy Commission began the Water and Sediment Regulation Scheme (WSRS) in July 2002, to create artificial flood pulses through dam regulation for a period of about 20 days every summer, to flush the sediment retained within the Xiaolangdi Reservoir and mitigate its deposition in the lower reaches [51]. This scheme takes advantage of several large dams and reservoirs on the mainstem to deliver more than 20% of the annual river discharge and more than 30% of the annual sediment load to the ocean during the regulation period [52]. Notably, the inter-annual variability of precipitation in the Yellow River Basin has also been reduced since the mid-1980s due to the strong and frequent El Niño Southern Oscillation (ENSO) [5,49]. Furthermore, due to the gradual decrease in sediment supply, the Yellow River Delta has also been shifting from a river-dominated to a wave-dominated delta in recent years [9,26,27]. July to September are the flood season in the Yellow River, with an average river discharge of about 3260.67 m3/s, while October to June are the dry season, with an average river discharge of about 724.59 m3/s [53].
3. Data Collection and Methods
3.1. Hydrological Data
The Water Resources Institute of the Council for Scientific and Industrial Research (CSIR-WRI) provided annual river discharge data for the Volta River (1936 to 1961) at the Senchi gauge station (Figure 1d). The Volta River Authority provided the annual river discharge data at the Akosombo (1970 to 2018) and Kpong (1984 to 2018) gauge stations downstream of the Akosombo Dam and Kpong Dam, respectively (Figure 1d). The sediment load of the Volta River Delta was from Amenuvor et al. (2020) [19], which was derived using the sediment rating curve and validated with data from the literature. Hydrological data including the annual river discharge and sediment load in the Yellow River Delta were collected from Lijin gauge station (Figure 1c), which is the nearest gauge station to the river mouth and located at approximately 110 km upstream [54,55].
3.2. Hydrological Data Analysis
To explore the relationship between dam regulation and inter-annual variations of river discharge and sediment load, a significance test of the hydrological data divided by dam constructions was performed, which is widely adopted for posterior analysis of hydrological alterations [56,57]. The significant differences of the river discharge and sediment load in the Volta River Delta divided by the construction of major dams were tested using a non-parametric Kruskal-Wallis test, which assesses the differences among three or more independent samples on a non-normally distributed variable [58]. The significant differences of the river discharge and sediment load in the Yellow River Delta were evaluated by a parametric one-way ANOVA with LSD (line segment detector) post-hoc multiple tests after being SQRT-transformed (square root calculations) [58,59], as is appropriate for a normally distributed variable. The T level of statistical significance was set to p (probability) < 0.05. Statistical analyses were performed using the SPSS 20.0 statistical software package (IBM, Armonk, NY, USA).
In addition, the coefficient of reservoir capacity—defined as the ratio of the design capacity of reservoirs to average annual river discharge—was adopted to represent the impact of the dams and reservoirs on hydrological alteration [60]. A larger coefficient of reservoir capacity suggests a larger impact of dams and reservoirs on deltaic hydrological alterations [60,61].
To quantify the annual mean discharge on the morphodynamics of the two wave-influenced river deltas, we calculated the fluvial dominance ratio R, which is defined as the ratio of annual fluvial sediment supply (Qr) and the combined annual maximum possible alongshore sediment transport away from the river mouth (Qs,max) [9,62]. The fluvial dominance ratio R has been used to define deltaic morphological evolution in previous studies [9,63,64]. River deltas are considered wave-dominated if R < 1 and river-dominated if R > 1 [62]. The formula of R reads
where the annual fluvial sediment supply follows those in Section 2.2, and the calculation of the annual maximum possible alongshore sediment transport away from the river mouth follows the method reported in Nienhuis et al. (2015) [62]. The wave data are derived from Nienhuis et al. (2020) [9], who documented the dataset of the average wave period, wave height and wave energy of the global coastlines. We extracted wave data near the river mouth of the Volta River Delta and Yellow River Delta. Notably, while the annual fluvial sediment supply changed every year, a constant time-averaged wave climate was adopted in the calculation. Furthermore, the locations of wave data adopted for different periods of the Yellow River Delta also varied accordingly.
3.3. Remote Sensing Data
Remote sensing images, including 30 m-resolution Landsat remote sensing data of the coastline of the study areas from a multispectral scanner (MSS), thematic mapper (TM) and enhanced thematic mapper (ETM+), were downloaded from USGS (https://earthexplorer.usgs.gov, accessed on 8 March 2019). The raw Landsat level-1 images with few clouds were adopted to conduct shoreline analyses through visual interpretation. The dataset of the Volta River Delta was documented in Amenuvor et al. (2020) [19], and that of the Yellow River Delta is shown in Table 1.
Table 1.
List of remote sensing images of the Yellow River Delta.
The boundary between the sea and land varies due to tidal fluctuation, causing uncertainty in the extracted shorelines and calculated delta area in our study. Nevertheless, the uncertainty of the shoreline extraction due to tidal variation is presumably small due to the relatively small tidal range in the Volta River Delta [65]. As for the Yellow River Delta, Kong et al. (2015) [55] reported that the maximum relative error of the calculated area of the Yellow River Delta that resulted from tidal effects is about 1.1%, which is relatively small compared to the variations of delta area.
3.4. Methods for Extracting Shorelines
The evolution of the shoreline and delta areas was adopted as the main features to evaluate the potential effects of inter-annual hydrological alteration on deltaic morphological evolution. Following Amenuvor et al. (2020) [19], we employed the mean high tide line as a land-sea boundary. Tools for remote sensing image interpretation and analysis (ENVI 5.3 and ArcGIS 10.2) were used to extract the shoreline. To ensure consistency and accuracy of the derived delta area, a common polygon (white rectangle in Figure 2) was used to intersect the delineated shoreline (red line in Figure 2). Finally, the delta area enclosed by the polygon and the delineated shoreline were calculated.
Figure 2.
Extraction of the shoreline of (a) the Volta River Delta and (b) the Yellow River Delta. The red line is the extracted shoreline and the white polygon is the intersected polygon.
4. Results
4.1. Hydrological Alteration
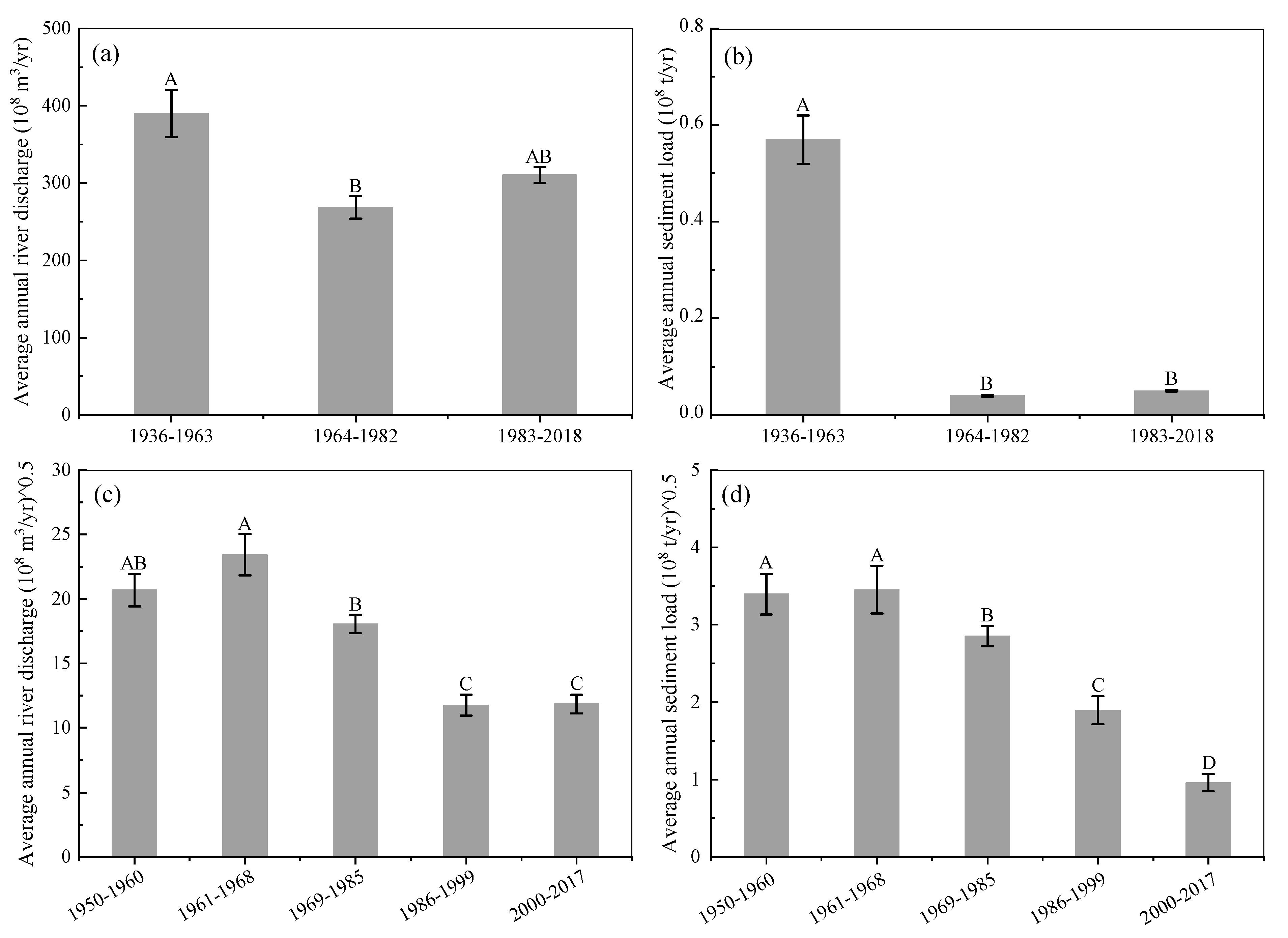
As shown in Figure 3a, coincident with the construction of the Akosombo Dam, an abrupt and dramatic decrease of both river discharge and sediment load occurred in 1964 in the Volta River Delta. Corresponding to the constructions of Akosombo Dam and Kpong Dam, we divided the study period into three phases: phase I (1936–1963), phase II (1964–1982) and phase III (1983–2018). The average annual river discharges for phase II and III decreased to 68.81% and 79.64% of the phase I level, respectively (Figure 3a), whereas the sediment load decreased to 6.88% and 7.96%, respectively. The total reduction of sediment load can be attributed to the decrease of river discharge and to sediment trapping in the reservoir. Therefore, the degree of reduction of sediment load is much greater than that of river discharge [19,34]. Furthermore, the annual river discharge and sediment load varied more significantly in phase I (s.d. 162.98 × 108 m3/year and 0.24 × 108 t/year, respectively) than in phase II and III (s.d. 52.12 × 108 m3/year and 0.01 × 108 t/year for phase II, respectively, and 61.86 × 108 m3/year and 0.01 × 108 t/year for phase III, respectively) (Figure 3a), which presumably resulted from the dam regulations that reduced the flood peaks and overall fluctuation [19,28].

Figure 3.
The trend of change of annual river discharge and sediment load in (a) the Volta River Delta for three phases: phase I (1936–1963), phase II (1964–1982) and phase III (1983–2018); and (b) the Yellow River Delta for five phases: phase i (1950–1960), phase ii (1961–1968), phase iii (1969–1985), phase iv (1986–1999) and phase v (2000–2017).
As for the Yellow River Delta, the river discharge and sediment load decreased gradually from 1950 to 2017 [41,66,67]. Corresponding to the construction of the four major dams (i.e., the Sanmenxia, Liujiaxia, Longyangxia, and Xiaolangdi Dams) [5], we divided the study period into five phases: phase i (1950–1960), phase ii (1961–1968), phase iii (1969–1985), phase iv (1986–1999) and phase v (2000–2017) (we use lowercase letters to make a distinction from the different phases of the Volta River Delta, Figure 3b). Within the overall trend of a steady decrease in river discharge and sediment load throughout the study period, a stepwise decrease pattern was observed as reported by Wang et al. (2007) [5]. Specifically, the average annual river discharge and sediment load were similar during phases i and ii, whereas the average annual river discharge of phases iii, iv, and v decreased to approximately 75.28%, 33.07% and 33.55% of the phase i level, respectively, while the sediment load was 68.65%, 32.76% and 9.26%, respectively (Figure 3b). Similar to the Volta River Delta, dam regulations also significantly reduced the inter-annual variations of river discharge and sediment load in the Yellow River Delta [5,49,68]. Furthermore, reduced inter-annual variability of precipitation in the Yellow River Basin could also have contributed to reducing the inter-annual variations of river discharge and sediment load [5,49].
We further tested the significance of the average annual river discharge and sediment load due to the dam regulations in the two deltas (Figure 4a–d). The results showed that the average annual river discharge and sediment load in the Volta River Delta were significantly different in phase I than in phase II, while those in phase II and III were similar (Figure 4a, p < 0.05), which confirms that the Akosombo Dam played a more important role in the hydrological alteration of the Volta River than the Kpong Dam [19,69]. The order-of-magnitude difference in the reservoir capacity and surface area between the two dams demonstrated the dominance of the former [19]. As such, the hydrological alteration of the Volta River Delta could be re-divided into two phases, i.e., before and after the construction of the Akosombo Dam, which is consistent with Amenuvor et al. (2020) [19] and Gyau-Boakye (2001) [19,70].
Figure 4.
Comparison of (a) average annual river discharge and (b) sediment load of the Volta River Delta, and (c) average annual river discharge and (d) sediment load of the Yellow River Delta. Data are means ± SE. Differences for the Yellow River Delta and the Volta River Delta were tested by one-way ANOVA with LSD post-hoc multiple test and non-parametric Kruskal-Wallis test, respectively. Bars with different letters are significantly different (p < 0.05).
For the Yellow River Delta, the average annual river discharge and sediment load of phase i were significantly different from the other phases except phase ii (p < 0.05, Figure 4b), which suggests that the Sanmenxia Reservoir did not result in significant hydrological alteration in the Yellow River Delta. In reality, the Sanmenxia Reservoir suffered severe siltation during its operation and lost its regulation capacity quickly [71]. Additionally, the difference of river discharge between phase iv and v was insignificant (p > 0.05, Figure 4b), which suggests that the Xiaolangdi Reservoir influenced the sediment load more significantly than the river discharge in the Yellow River [55]. As such, four distinct phases were re-divided when we neglected the insignificant influence of the Sanmenxia Reservoir (p > 0.05 for both river discharge and sediment load), which is consistent with Wang et al. (2007) [5].
4.2. Morphological Evolution
No significant changes were visible at a regional scale in the Volta River Delta. The shorelines of the Volta River Delta from 1975 to 2018 are shown in Figure 5 (adapted from Amenuvor et al. (2020) [19]). Regional analysis showed that the shoreline at the latter stage of the post-Akosombo Dam period (1975–2018) changed minimally and appeared to reach a quasi-equilibrium (Figure 5).
Figure 5.
The shoreline changes from 1975 to 2018 of the Volta River Delta (adapted from Amenuvor et al. (2020) [19]).
According to Ly (1980) [19], accelerating shoreline retreat was found at the Keta area (Figure 1d, red circle) in 1956–1975, with the most rapid retreat rate of 8 to 10 m/year occurring after 1964 due to the construction of the Akosombo Dam, which significantly reduced the sediment supply to the delta [20,25]. Thus, the shoreline tends to reach a quasi-equilibrium. This finding is consistent with the field observation that showed that the overall shoreline of the Volta River Delta accreted at about 0.53 m/year from 1986 to 2013 [65].
As for the Yellow River Delta, following Cui and Li (2011) [21], the progradation-erosion patterns of the overall shoreline change can be divided into four stages as shown in Figure 6a–d: the rapid progradation stage (1977–1985), progradation-erosion adjustment stage (1986–1995), slow erosion stage (1996–2002) and slow progradation stage (2003–2017). Notably, when considering the different portions of the Yellow River Delta, the patterns of the shoreline change could differ due to strong spatial variation [26,48,72,73,74,75].
Figure 6.
The shoreline changes (a) from 1977 to 1985, (b) from 1986 to 1995, (c) from 1996 to 2002 and (d) from 2003–2017 of the Yellow River Delta.
The extracted shorelines show that the Yellow River mouth prograded rapidly from 1977 to 1985 (Figure 6a) after the course shifted to Qingshuigou in 1976 (Figure 1e) [74]. Afterward, the river mouth kept prograding while other regions of the delta were under erosion (especially the abandoned river moth in the northern part of the delta) (Figure 6b), which resulted in alternation between progradation and erosion during 1986–1995 [26]. After that, erosion of the Yellow River Delta prevailed from 1996 to 2002 (Figure 6c) due to a steadily decreasing sediment load [26,74]. After the implementation of the Water and Sediment Regulation Scheme (WSRS) in the Yellow River, which has been in place since 2002, the river mouth prograded again from 2003 to 2017 (Figure 6d), which was mainly due to the coarser sediment delivered to the river mouth during the WSRS [21].
The deltaic area is calculated based on the shoreline. When studied in that way, the shoreline of the Volta River Delta appears to attain a quasi-equilibrium with minimal variation (maximum 0.53%) in its area (Figure 5 and Figure 7), whereas the Yellow River Delta shows a more dynamic evolution pattern of the shoreline with significant fluctuation (maximum 6.49%) in its area (Figure 6 and Figure 7). Notably, the erosion of the subaqueous delta and adjacent shelf zone may provide a sediment source to partly compensate for the decreasing fluvial sediment input, which could help to stabilize the shoreline and subaerial delta [76]. Although the grain size affects sediment cohesion and network stabilization, the sediment load plays a more important role in the sediment balance of the river delta and coastline evolution [48,77].
Figure 7.
Evolution of the delta areas of the Volta River Delta and the Yellow River Delta. The areas of two deltas were normalized by their corresponding initial areas.
4.3. Changing Fluvial and Wave Forcings
The calculated fluvial dominance ratio R of the Volta River Delta has been less-than-unity since 1936, which suggests that it has been wave-dominated since then (Figure 8). The fluvial sediment supply of the Volta River Delta decreased abruptly in 1964 due to the Akosombo Dam’s construction and then remained relatively constant (Figure 3a), which translates to the abrupt drop of the fluvial dominance ratio in 1964 and the subsequent level-off (Figure 8).
Figure 8.
Fluvial dominance ratio of the Volta River Delta and Yellow River Delta. Note that the circles represent the channel shifts of the Yellow River Delta.
Overall, the fluvial dominance ratio R of the Yellow River Delta is much larger than that of the Volta River Delta. Furthermore, the fluvial dominance ratio R of the Yellow River Delta is affected by the changing sediment load as well as river avulsions that change the location of the river mouth and hence the local wave climates. As such, the fluvial dominance ratio increased after the river course shifted from Diaokouhe (average R ratio is 37.60 from 1964 to 1976) to Qingshuigou (average R ratio is 78.54 from 1976 to 1996) in 1976 (Figure 8), despite the decreasing sediment load. The increasing fluvial dominance ratio R is due to the decreasing local wave height (0.70 m at the Diaokou lobe and 0.6 m at the Qingshuigou lobe), which indicates that the location of the river mouth and the shoreline orientation can affect the relative strengths of fluvial and wave forcing. With the continuous decrease of sediment load, the fluvial dominance ratio R of the Yellow River Delta drops to below-unity for the first time in 2017 (Figure 8), suggesting its shift to a wave-dominated delta under continuous decline of sediment load in the foreseeable future [9].
5. Discussion
5.1. Dam Effects on Hydrological Alterations
Although the sediment load both decreased substantially in the post-dam periods in the Volta River Delta and Yellow River Delta, some obvious differences can be observed between the two deltas. The annual sediment load in the Volta River Delta was subject to an abrupt decrease to <10% of the pre-dam level due to the construction of the Akosombo Dam in 1964, and stabilized afterward [19]. On the contrary, the sediment load of the Yellow River Delta experienced a more gradual and steady decrease and attained ~10% of the pre-dam level in the 1950s by 2017, and the trend of reduction is expected to persist in the future [78].
The contrast can be attributed to the differences in the reservoir capacity and location of the major dams for the two deltas. Specifically, the total reservoir capacity of the Akosombo Dam and Kpong Dam in the Volta River is 148.16 billion m3, with a total area of 8507.45 km2 [19]. In contrast, the total reservoir capacity of the major dams in the Yellow River is 55.60 billion m3, with a total area of 985.30 km2 [5]. Therefore, the coefficient of reservoir capacity of the Volta River is 3.80, whereas that of the Yellow River is 1.25 [5,19], suggesting a more significant dam effect on sediment retention in the Volta River.
Furthermore, the major dams (Sanmenxia, Liujiaxia, Longyangxia and Xiaolangdi Dams) in the Yellow River are mainly located at the upper and middle reaches, and block 17.47%, 24.18%, 91.54% and 92.35%, respectively, of the drainage area of the Yellow River [50], whereas the Akosombo Dam is located much more downstream of the Volta River, affecting 95% of the drainage area of the Volta River [34]. As such, the resulting reduction in the sediment load of the Volta River Delta is much higher than that of the Yellow River Delta. On the contrary, the total reduction of river discharge of the Yellow River Delta (66.45%) is much larger than that of the Volta River Delta (20.36%), which is mainly due to water extraction for irrigation and evaporation of the reservoirs in the river basin. For the Yellow River Delta, the water extracted from the reservoirs for irrigation amounted to about 242.80 ± 27.80 × 108 m3/year from 1982 to 2014 [79], whereas the water loss caused by evaporation of the reservoirs was 10.05 × 108 m3/year from 1956 to 2016 [5,50,80]. Furthermore, the decrease of the annual average river discharge in the Yellow River Delta from 1950s to 2010s was 295.13 × 108 m3, which was comparable to the water volume extracted for irrigation, suggesting that the main reason for the decrease of river discharge in the Yellow River Delta is water extraction for irrigation. Evaporation of the Akosombo Reservoir occurred at about 102 × 108 m3/year from 1969 to 1991 [30], which was comparable to the river discharge decrease of 121.69 × 108 m3/year after dam construction. This suggests that the decrease of river discharge in the Volta River Delta is mainly due to the evaporation of the Akosombo Reservoir.
In addition, decreasing precipitation and soil conservation activities in the river catchment have also been recognized as main contributors to the significant decrease of river discharge and sediment load [5,36]. However, our results show significant differences in the hydrological alterations corresponding to the construction of the major dams (Figure 3 and Figure 7), which suggests that dam regulation plays a critical role in the hydrological alteration of both deltas.
5.2. How Hydrological Alterations Affect Delta Morphology
A decreasing sediment load resulted in the historical adjustment of the shorelines and areas of both deltas, which further led to their shift from river-dominated to wave-dominated deltas [9,24,25,26,27]. The different shoreline and area evolutions were presumably due to contrasting patterns of hydrological alterations, and the relative strengths of the fluvial and wave forcings of the two deltas.
The annual sediment load of the Volta River Delta remained largely stable after 1970 (Figure 3a), whereas that of the Yellow River Delta continued to decrease, as it has been doing since the 1950s (Figure 3b). Furthermore, the shifting of the river course in the Yellow River Delta could enhance the progradation of the delta at the river mouth (Figure 6a–d) due to the relatively low sediment accommodation space at the nearshore area, i.e., the “Course Shift Bonus” proposed by Zhang et al. (2018) [81]. Currently, although the Yellow River Delta is likely to keep prograding at the river mouth [43], the progradation could be unsustainable due to the functional degradation of the WSRS [51,82], suggesting a potential erosion of the delta under the projected continuous decrease of sediment load in the foreseeable future. Nevertheless, the potential shoreline retreat in the Yellow River Delta could possibly last for a while and transition to a new quasi-equilibrium as has already happened in the Volta River Delta [19,28].
The shoreline of the Volta River Delta quickly attained a new equilibrium after erosion over around 10 years following the Akosombo Dam’s construction (Figure 5). This can also be explained from the perspective of the relative fluvial and wave forcings. As shown in Figure 8, the fluvial dominance ratio of the Volta River Delta is constantly less-than-unity, which suggests relatively strong wave forcing when compared to fluvial forcing. As such, the relatively strong wave forcing can substantially rework the river delta after the decrease of the sediment load, and drive the river delta toward a new equilibrium. However, the river dominance ratio of the Yellow River Delta remained greater-than-unity until recent years, which suggests that, though shifting to a wave-dominated delta, the Yellow River Delta may still receive enough sediment input to counteract the wave-induced sediment transport. To attain a new equilibrium may require a continuous decrease of sediment load in future decades for the wave forcing to eventually prevail. Furthermore, sea level rise would result in accommodation space for the extra sediment load to fill, which could also affect the sediment balance of the river delta in the future [12].
5.3. Conceptual Model Showing the Processes of Dam-Influenced Delta Evolution
The overall effects of dam regulation on deltaic hydrological alteration and morphological evolution are summarized in the conceptual model shown in Figure 9. Basically, it shows that the river discharge and sediment load decreased significantly under dam regulation (Figure 3, Figure 4 and Figure 9) [5,19], and the fluctuation during the pre-dam period was much greater than that during the post-dam period (Figure 3, Figure 4 and Figure 9) [5,19]. The river discharge and sediment load appeared to attain a quasi-equilibrium at the latter stage of the post-dam period after a significant reduction (Figure 3, Figure 4 and Figure 9) [19]. The changing sediment load further changed the balance between fluvial and wave forcings, which could cause delta erosion (Figure 7, Figure 8 and Figure 9) [9,63]. Finally, it is foreseeable that the delta shoreline and area may potentially transition into a new quasi-equilibrium as the Volta River Delta (Figure 8) [19]. Notably, the conceptual model only presents the overall evolution of wave-dominated deltas under dam regulations. The different phases of the proposed cycle in the conceptual model could happen simultaneously and overlap with one another due to multiple dam construction projects and varying shoreline adjustment [19]. Other natural and anthropogenic factors could also affect the hydrological processes and hence morphological evolution of the delta, including precipitation, evaporation, irrigation, soil conservation measures, etc. [5,77]. Notably, the erosion of the subaqueous delta and adjacent shelf zone may provide a sediment source to partly compensate for the decreasing fluvial sediment input, which could help to stabilize the shoreline and subaerial delta [66]. However, the coast of the Volta River Delta is bounded by a narrow shelf, which is characterized by a fairly uniform, moderately steep slope of between 1:120 and 1:150 up to −15 m [25,83,84], whereas the subaqueous slope of the Yellow River Delta is relatively low, ranging from 1:900 to 1:2500 [48]. The relatively steep subaqueous slope suggests a limited width of the subaqueous Volta River Delta, and hence, presumably, less sediment storage than the Yellow River Delta.
Figure 9.
A conceptual model summarizing the overall effects of dam regulation for deltaic hydrological alteration and morphological evolution.
6. Conclusions
In this study, we analyzed the hydrological alteration and morphological evolution of the Yellow River Delta and Volta River Delta to explore the effects of dam regulation on the deltas in question. The major findings from this study can inform other deltas with similar characteristics and forcing factors, and are summarized as follows:
- The annual river discharge and sediment load, and their inter-annual variations, decreased significantly for both the Volta River Delta (1936–2018) and Yellow River Delta (1950–2017). The changes can be correlated with the construction of major dams, which can be further divided into two and four phases, respectively, corresponding to the construction of the major dams in the two rivers.
- The annual sediment load of the Volta River Delta was subject to an abrupt decrease to <10% of the pre-dam level due to the construction of the Akosombo Dam in 1964 and stabilized afterward, whereas that of the Yellow River Delta decreased substantially yet more gradually to ~10% of the pre-dam level in the 1950s by 2017. The difference can be attributed to the much greater reservoir capacity and more downstream location of the dam in the Volta River.
- The contrasting patterns of hydrological alterations of the two deltas resulted in different evolution patterns of the shorelines and delta areas. While the shoreline of the Volta River Delta appeared to attain a quasi-equilibrium at the latter stage of the post-Akosombo Dam period (1975–2018) after intense shoreline retreat in the 1960s, the progradation-erosion patterns of the shoreline change in the Yellow River Delta (1977–2017) were more dynamic. However, it is foreseeable that if the trend of sediment reduction persists, it may potentially turn the net delta progradation to erosion, and further into a new quasi-equilibrium like that of the Volta River Delta.
- The Volta River Delta has been wave-dominated since 1936 and has become more wave-dominated due to the abrupt decrease of sediment load in 1964. The relatively strong wave forcing substantially reworks the river delta and drives the river delta toward a new equilibrium. On the contrary, the Yellow River Delta has started shifting to become wave-dominated since 2017 due to a more gradual decreasing trend of sediment load and river avulsions, which has changed the local wave climate. The relatively weak wave forcing of the Yellow River Delta suggests a longer timescale is required to potentially attain a new equilibrium.
Our comparative study examined the cases of selected deltas, to inform other similar deltas worldwide, as summarized in the proposed conceptual model. Further analyses of the morphodynamic adjustment of the downstream river channel to the changing sediment load in the Yellow River Delta and Volta River Delta are recommended for future studies.
Author Contributions
Conceptualization, D.S., B.C. and D.L.; methodology, W.G. and D.L.; validation, D.S., W.G., M.A. and Y.T.; formal analysis, W.G. and D.L.; investigation, D.L.; resources, M.A. and Y.T.; data curation, D.L.; writing—original draft preparation, D.L.; writing—review and editing, D.L., W.G. and D.S.; visualization, D.L.; supervision, D.S. and B.C. All authors have read and agreed to the published version of the manuscript.
Funding
This work was supported by The National Key R&D Program of China, grant number 2019YFE0121500, Key Project of the National Natural Science Foundation of China, grant number 51639001 and The Joint Funds of the National Natural Science Foundation of China, grant number U1806217. W.G. acknowledges support from the fellowship of the China Postdoctoral Science Foundation, grant number 2020M680438.
Data Availability Statement
Not applicable.
Acknowledgments
To the China Scholarship Council and Chinese Government, whose sponsorship for M.A. has partly made work possible. To Water Resources Institute of the Council for Scientific and Industrial Research, Ghana, and Volta River Authority, Accra, Ghana, for making data available for the project.
Conflicts of Interest
The authors declare no conflict of interest.
References
- Syvitski, J.P.M.; Kettner, A.J.; Overeem, I.; Hutton, E.W.; Hannon, M.T.; Brakenridge, G.R.; Day, J.; Vörösmarty, C.; Saito, Y.; Giosan, L. Sinking deltas due to human activities. Nat. Geosci. 2009, 2, 681–686. [Google Scholar] [CrossRef]
- Giosan, L.; Syvitski, J.; Constantinescu, S.; Day, J. Climate change: Protect the world’s deltas. Nature 2014, 516, 31–33. [Google Scholar] [CrossRef]
- Nicholls, R.J.; Adger, W.N.; Hutton, C.W.; Hanson, S.E. Delta Challenges and Trade-Offs from the Holocene to the Anthropocene. In Deltas in the Anthropocene; Palgrave Macmillan: Cham, Switzerland, 2020; pp. 1–22. [Google Scholar]
- Nilsson, C.; Reidy, C.A.; Dynesius, M.; Revenga, C. Fragmentation and flow regulation of the world’s large river systems. Science 2005, 308, 405–408. [Google Scholar] [CrossRef]
- Wang, H.; Yang, Z.; Saito, Y.; Liu, J.P.; Sun, X.; Wang, Y. Stepwise decreases of the Huanghe (Yellow River) sediment load (1950–2005): Impacts of climate change and human activities. Glob. Planet. Chang. 2007, 57, 331–354. [Google Scholar] [CrossRef]
- Syvitski, J.P.M.; Vorosmarty, C.J.; Kettner, A.J.; Green, P. Impact of humans on the flux of terrestrial sediment to the global coastal ocean. Science 2005, 308, 376–380. [Google Scholar] [CrossRef] [PubMed]
- Brandt, S.A. Classification of geomorphological effects downstream of dams. Catena 2000, 40, 375–401. [Google Scholar] [CrossRef]
- Syvitski, J.P.M.; Saito, Y. Morphodynamics of deltas under the influence of humans. Glob. Planet. Chang. 2007, 57, 261–282. [Google Scholar] [CrossRef]
- Nienhuis, J.H.; Ashton, A.D.; Edmonds, D.A.; Hoitink, A.J.F.; Kettner, A.J.; Rowland, J.C.; Törnqvist, T.E. Global-scale human impact on delta morphology has led to net land area gain. Nature 2020, 577, 514–518. [Google Scholar] [CrossRef] [PubMed]
- Besset, M.; Anthony, E.J.; Bouchette, F. Multi-decadal variations in delta shorelines and their relationship to river sediment supply: An assessment and review. Earth-Sci. Rev. 2019, 193, 199–219. [Google Scholar] [CrossRef]
- Hoitink, A.; Wang, Z.; Vermeulen, B.; Huismans, Y.; Kästner, K. Tidal controls on river delta morphology. Nat. Geosci. 2017, 10, 637–645. [Google Scholar] [CrossRef]
- Gao, W.; Shao, D.; Wang, Z.B.; Nardin, W.; Rajput, P.; Yang, W.; Sun, T.; Cui, B.S. Long-term cumulative effects of intra-annual variability of unsteady river discharge on the progradation of delta lobes: A modeling perspective. J. Geophys. Res. Earth Surf. 2019, 124, 960–973. [Google Scholar] [CrossRef]
- Stanley, D.J.; Warne, A.G. Nile delta in its destruction phase. J. Coast. Res. 1998, 14, 795–825. [Google Scholar] [CrossRef]
- Stanley, D.J.; Warne, A.G. Worldwide initiation of Holocene marine deltas by deceleration of sea-level rise. Science 1994, 265, 228–231. [Google Scholar] [CrossRef] [PubMed]
- Ghoneim, E.; Mashaly, J.; Gamble, D.; Halls, J.; AbuBakr, M. Nile Delta exhibited a spatial reversal in the rates of shoreline retreat on the Rosetta promontory comparing pre- and post-beach protection. Geomorphology 2015, 228, 1–14. [Google Scholar] [CrossRef]
- Bentley, S.J.; Blum, M.D.; Maloney, J.; Pond, L.; Paulsell, R. The Mississippi River source-to-sink system: Perspectives on tectonic, climatic, and anthropogenic influences, Miocene to Anthropocene. Earth-Sci. Rev. 2016, 153, 139–174. [Google Scholar] [CrossRef]
- Van Metre, P.C.; Horowitz, A.J. An 80-year record of sediment quality in the lower Mississippi River. Hydrol. Process. 2013, 27, 2438–2448. [Google Scholar] [CrossRef]
- Blum, M.D.; Roberts, H.H. The Mississippi Delta Region: Past, Present, and Future. Annu. Rev. Earth Planet. Sci. 2012, 40, 655–683. [Google Scholar] [CrossRef]
- Amenuvor, M.; Gao, W.; Li, D.; Shao, D. Effects of Dam Regulation on the Hydrological Alteration and Morphological Evolution of the Volta River Delta. Water 2020, 12, 646. [Google Scholar] [CrossRef]
- Ly, C.K. The role of the Akosombo Dam on the Volta River in causing coastal erosion in central and eastern Ghana (West Africa). Mar. Geol. 1980, 37, 323–332. [Google Scholar] [CrossRef]
- Cui, B.L.; Li, X.Y. Coastline change of the Yellow River estuary and its response to the sediment and runoff (1976–2005). Geomorphology 2011, 127, 32–40. [Google Scholar] [CrossRef]
- Zhou, Y.; Huang, H.Q.; Ran, L.; Shi, C.; Su, T. Hydrological controls on the evolution of the Yellow River Delta: An evaluation of the relationship since the Xiaolangdi Reservoir became fully operational. Hydrol. Process. 2018, 32, 3633–3649. [Google Scholar] [CrossRef]
- Ly, C.K. Sources of beach sand from the central and eastern coasts of Ghana, West Africa. Mar. Geol. 1981, 44, 229–240. [Google Scholar] [CrossRef]
- Bosboom, J.; Stive, M.J. Coastal Dynamics I: Lectures Notes CIE4305; Delft University of Technology: Delft, The Netherlands, 2012. [Google Scholar]
- Addo, K.A.; Nicholls, R.J.; Codjoe, S.N.A.; Abu, M. A Biophysical and Socioeconomic Review of the Volta Delta, Ghana. J. Coast. Res. 2018, 34, 1216–1226. [Google Scholar] [CrossRef]
- Chen, X.; Chen, S.; Dong, P.; Li, X. Temporal and spatial evolution of the coastal profiles along the Yellow River Delta over last three decades. GeoJournal 2008, 71, 185–199. [Google Scholar] [CrossRef]
- Deng, J.; Harff, J.; Li, Y.; Zhao, Y.; Zhang, H. Morphodynamics at the coastal zone in the Laizhou Bay, Bohai Sea. J. Coast. Res. 2016, 74, 59–69. [Google Scholar] [CrossRef][Green Version]
- Roest, L.W.M. The Coastal System of the Volta Delta, Ghana: Strategies and Opportunities for Development; Delft University of Technology: Delft, The Netherlands, 2018. [Google Scholar]
- Darby, S.E.; Addo, K.A.; Hazra, S.; Rahman, M.M.; Nicholls, R.J. Fluvial sediment supply and relative sea-level rise. In Deltas in the Anthropocene; Palgrave Macmillan: Cham, Switzerland, 2020; pp. 103–126. [Google Scholar]
- Andreini, M.; van de Giesen, N.; Van Edig, A.; Fosu, M.; Andah, W. Volta Basin Water Balance; ZEF Discussion Papers on Development Policy 21; Center for Development Research (ZEF), University of Bonn: Bonn, Germany, 2000. [Google Scholar]
- Syvitski, J.P. Deltas at risk. Sustain. Sci. 2008, 3, 23–32. [Google Scholar] [CrossRef]
- Evadzi, P.I.K.; Zorita, E.; Hünicke, B. Quantifying and Predicting the Contribution of Sea-Level Rise to Shoreline Change in Ghana: Information for Coastal Adaptation Strategies. J. Coast. Res. 2017, 33, 1283–1291. [Google Scholar] [CrossRef]
- Barry, B.; Obuobie, E.; Andreini, M.; Andah, W.; Pluquet, M. The Volta river basin. In Comprehensive Assessment of Water Management in Agriculture; Comparative Study of River Basin Development and Management; International Water Management Institute: Battaramulla, Sri Lanka, 2005. [Google Scholar]
- Boateng, I.; Bray, M.; Hooke, J. Estimating the fluvial sediment input to the coastal sediment budget: A case study of Ghana. Geomorphology 2012, 138, 100–110. [Google Scholar] [CrossRef]
- Oguntunde, P.G.; Friesen, J. Hydroclimatology of the Volta River Basin in West Africa: Trends and variability from 1901 to 2002. Phys. Chem. Earth 2006, 31, 1180–1188. [Google Scholar] [CrossRef]
- Giardino, A.; Schrijvershof, R.; Nederhoff, C.M.; de Vroeg, H.; Brière, C.; Tonnon, P.K.; Caires, S.; Walstra, D.J.; Sosa, J.; van Verseveld, W.; et al. A quantitative assessment of human interventions and climate change on the West African sediment budget. Ocean Coast. Manag. 2018, 156, 249–265. [Google Scholar] [CrossRef]
- Liu, Z.; Xu, N.; Wang, J. Satellite-observed Evolution Dynamics of the Yellow River Delta in 1984–2018. IEEE J. Sel. Top. Appl. Earth Obs. Remote Sens. 2020, 13, 6044–6050. [Google Scholar] [CrossRef]
- Kuenzer, C.; Ottinger, M.; Liu, G.; Sun, B.; Baumhauer, R.; Dech, S. Earth observation-based coastal zone monitoring of the Yellow River Delta: Dynamics in China’s second largest oil producing region over four decades. Appl. Geogr. 2014, 55, 92–107. [Google Scholar] [CrossRef]
- Luo, S.; Shao, D.; Long, W.; Liu, Y.; Sun, T.; Cui, B. Assessing ‘coastal squeeze’ of wetlands at the Yellow River Delta in China: A case study. Ocean Coast. Manag. 2018, 153, 193–202. [Google Scholar] [CrossRef]
- Cong, P.; Chen, K.; Qu, L.; Han, J. Dynamic changes in the wetland landscape pattern of the Yellow River Delta from 1976 to 2016 based on satellite data. Chin. Geogr. Sci. 2019, 29, 372–381. [Google Scholar] [CrossRef]
- Wang, H.; Wu, X.; Bi, N.; Li, S.; Yuan, P.; Wang, A.; Syvitski, J.P.M.; Saito, Y.; Yang, Z.; Liu, S.; et al. Impacts of the dam-orientated water-sediment regulation scheme on the lower reaches and delta of the Yellow River (Huanghe): A review. Glob. Planet. Chang. 2017, 157, 93–113. [Google Scholar] [CrossRef]
- Fu, Y.; Chen, S.; Ji, H.; Fan, Y.; Li, P. The modern Yellow River Delta in transition: Causes and implications. Mar. Geol. 2021, 436, 106476. [Google Scholar] [CrossRef]
- Li, H.; Huang, C.; Liu, Q.; Liu, G. Accretion–Erosion Dynamics of the Yellow River Delta and the Relationships with Runoff and Sediment from 1976 to 2018. Water 2020, 12, 2992. [Google Scholar] [CrossRef]
- Fan, H.; Huang, H.; Zeng, T. Impacts of Anthropogenic Activity on the Recent Evolution of the Huanghe (Yellow) River Delta. J. Coast. Res. 2006, 22, 919–929. [Google Scholar] [CrossRef]
- Jiang, C.; Pan, S.; Chen, S. Recent morphological changes of the Yellow River (Huanghe) submerged delta: Causes and environmental implications. Geomorphology 2017, 293, 93–107. [Google Scholar] [CrossRef]
- Zhang, X.; Yang, Z.; Zhang, Y.; Ji, Y.; Wang, H.; Lv, K.; Lu, Z. Spatial and temporal shoreline changes of the southern Yellow River (Huanghe) Delta in 1976–2016. Mar. Geol. 2018, 395, 188–197. [Google Scholar] [CrossRef]
- Jiang, W.; Yuan, L.; Wang, W.; Cao, R.; Zhang, Y.; Shen, W. Spatio-temporal analysis of vegetation variation in the Yellow River Basin. Ecol. Indic. 2015, 51, 117–126. [Google Scholar] [CrossRef]
- Wu, X.; Bi, N.; Xu, J.; Nittrouer, J.A.; Yang, Z.; Saito, Y.; Wang, H. Stepwise morphological evolution of the active Yellow River (Huanghe) delta lobe (1976–2013): Dominant roles of riverine discharge and sediment grain size. Geomorphology 2017, 292, 115–127. [Google Scholar] [CrossRef]
- Wang, H.; Yang, Z.; Saito, Y.; Liu, J.P.; Sun, X. Interannual and seasonal variation of the Huanghe (Yellow River) water discharge over the past 50 years: Connections to impacts from ENSO events and dams. Glob. Planet. Chang. 2006, 50, 212–225. [Google Scholar] [CrossRef]
- Shi, H.; Hu, C.; Wang, Y.; Liu, C.; Li, H. Analyses of trends and causes for variations in runoff and sediment load of the Yellow River. Int. J. Sediment Res. 2017, 32, 171–179. [Google Scholar] [CrossRef]
- Miao, C.; Kong, D.; Wu, J.; Duan, Q. Functional degradation of the water-sediment regulation scheme in the lower Yellow River: Spatial and temporal analyses. Sci. Total Environ. 2016, 551–552, 16–22. [Google Scholar] [CrossRef]
- Zeng, M.; Sun, X.; Fan, D. Numerical Simulation on Sediment Transportation in the Estuary and its Adjacent Areas during the Water and Sediment Regulation Period of the Huanghe River. J. Ocean Univ. China 2017, 47, 81–92. [Google Scholar] [CrossRef]
- Yu, L. The Huanghe (Yellow) River: A review of its development, characteristics, and future management issues. Cont. Shelf Res. 2002, 22, 389–403. [Google Scholar] [CrossRef]
- Hu, B.; Li, J.; Bi, N.; Wang, H.; Wei, H.; Zhao, J.; Xie, L.; Zou, L.; Cui, R.; Li, S.; et al. Effect of human-controlled hydrological regime on the source, transport, and flux of particulate organic carbon from the lower Huanghe (Yellow River). Earth Surf. Process. Landf. 2015, 40, 1029–1042. [Google Scholar] [CrossRef]
- Kong, D.; Miao, C.; Borthwick, A.G.L.; Duan, Q.; Liu, H.; Sun, Q.; Ye, A.; Di, Z.; Gong, W. Evolution of the Yellow River Delta and its relationship with runoff and sediment load from 1983 to 2011. J. Hydrol. 2015, 520, 157–167. [Google Scholar] [CrossRef]
- Mitosek, H.T. Climate variability and change within the discharge time-series-a statistical approach. Clim. Chang. 1995, 29, 101–116. [Google Scholar] [CrossRef]
- Caruso, B.; Newton, S.; King, R.; Zammit, C. Modelling climate change impacts on hydropower lake inflows and braided rivers in a mountain basin. Hydrol. Sci. J. 2017, 62, 928–946. [Google Scholar] [CrossRef]
- McKight, P.E.; Najab, J. Kruskal-Wallis test. In The Corsini Encyclopedia of Psychology and Behavioral Science; John Wiley & Sons, Inc.: Hoboken, NJ, USA, 2010. [Google Scholar] [CrossRef]
- Stahle, L.; Wold, S. Analysis of variance (ANOVA). Chemom. Intell. Lab. Syst. 1989, 6, 259–272. [Google Scholar] [CrossRef]
- Xu, J.; Yan, Y. Effect of reservoir construction on suspended sediment load in a large river system: Thresholds and complex response. Earth Surf. Process. Landf. 2010, 35, 1666–1673. [Google Scholar] [CrossRef]
- Guo, C.; Jin, Z.; Guo, L.; Lu, J.; Ren, S.; Zhou, Y. On the cumulative dam impact in the upper Changjiang River: Streamflow and sediment load changes. CATENA 2020, 184, 104250. [Google Scholar] [CrossRef]
- Nienhuis, J.H.; Ashton, A.D.; Giosan, L. What makes a delta wave-dominated? Geology 2015, 43, 511–514. [Google Scholar] [CrossRef]
- Gao, W.; Nienhuis, J.; Nardin, W.; Wang, Z.B.; Shao, D.; Sun, T.; Cui, B. Wave Controls on Deltaic Shoreline-Channel Morphodynamics: Insights from a Coupled Model. Water Resour. Res. 2020, 56, e2020WR027298. [Google Scholar] [CrossRef]
- Gao, W.; Li, D.; Wang, Z.B.; Nardin, W.; Shao, D.; Sun, T.; Miao, C.; Cui, B. The Longitudinal Profile of a Prograding River and Its Response to Sea Level Rise. Geophys. Res. Lett. 2020, 47, e2020GL090450. [Google Scholar] [CrossRef]
- Addo, K.A. Assessment of the volta delta shoreline change. J. Coast. Zone Manag. 2015, 18, 1–6. [Google Scholar] [CrossRef]
- Yang, S.L.; Shi, B.; Fan, J.; Luo, X.; Tian, Q.; Yang, H.; Chen, S.; Zhang, Y.; Zhang, S.; Shi, X.; et al. Streamflow Decline in the Yellow River along with Socioeconomic Development: Past and Future. Water 2020, 12, 823. [Google Scholar] [CrossRef]
- Ji, H.; Pan, S.; Chen, S. Impact of river discharge on hydrodynamics and sedimentary processes at Yellow River Delta. Mar. Geol. 2020, 425, 106210. [Google Scholar] [CrossRef]
- Liu, W.; Wang, S.; Sang, Y.-F.; Ran, L.; Ma, Y. Effects of large upstream reservoir operations on cross-sectional changes in the channel of the lower Yellow River reach. Geomorphology 2021, 387, 107768. [Google Scholar] [CrossRef]
- Ndehedehe, C.E.; Awange, J.L.; Kuhn, M.; Agutu, N.O.; Fukuda, Y. Analysis of hydrological variability over the Volta river basin using in-situ data and satellite observations. J. Hydrol. Reg. Stud. 2017, 12, 88–110. [Google Scholar] [CrossRef]
- Gyau-Boakye, P. Environmental impacts of the Akosombo dam and effects of climate change on the lake levels. Environ. Dev. Sustain. 2001, 3, 17–29. [Google Scholar] [CrossRef]
- Wang, G.; Wu, B.; Wang, Z.-Y. Sedimentation problems and management strategies of Sanmenxia Reservoir, Yellow River, China. Water Resour. Res. 2005, 41. [Google Scholar] [CrossRef]
- Fan, Y.; Chen, S.; Zhao, B.; Pan, S.; Jiang, C.; Ji, H. Shoreline dynamics of the active Yellow River delta since the implementation of Water-Sediment Regulation Scheme: A remote-sensing and statistics-based approach. Estuar. Coast. Shelf Sci. 2018, 200, 406–419. [Google Scholar] [CrossRef]
- Bi, N.H.; Wang, H.J.; Yang, Z.H. Recent changes in the erosion-accretion patterns of the active Huanghe (Yellow River) delta lobe caused by human activities. Cont. Shelf Res. 2014, 90, 70–78. [Google Scholar] [CrossRef]
- Chu, Z.X.; Sun, X.G.; Zhai, S.K.; Xu, K.H. Changing pattern of accretion/erosion of the modern Yellow River (Huanghe) subaerial delta, China: Based on remote sensing images. Mar. Geol. 2006, 227, 13–30. [Google Scholar] [CrossRef]
- Zhou, Y.; Huang, H.Q.; Nanson, G.C.; Huang, C.; Liu, G. Progradation of the Yellow (Huanghe) River delta in response to the implementation of a basin-scale water regulation program. Geomorphology 2015, 243, 65–74. [Google Scholar] [CrossRef]
- Yang, S.L.; Luo, X.; Temmerman, S.; Kirwan, M.; Bouma, T.; Xu, K.; Zhang, S.; Fan, J.; Shi, B.; Yang, H. Role of delta-front erosion in sustaining salt marshes under sea-level rise and fluvial sediment decline. Limnol. Oceanogr. 2020, 65, 1990–2009. [Google Scholar] [CrossRef]
- Bi, N.; Wang, H.; Wu, X.; Saito, Y.; Xu, C.; Yang, Z. Phase change in evolution of the modern Huanghe (Yellow River) Delta: Process, pattern, and mechanisms. Mar. Geol. 2021, 437, 106516. [Google Scholar] [CrossRef]
- Wang, S.; Fu, B.; Piao, S.; Lü, Y.; Ciais, P.; Feng, X.; Wang, Y. Reduced sediment transport in the Yellow River due to anthropogenic changes. Nat. Geosci. 2016, 9, 38–41. [Google Scholar] [CrossRef]
- Yin, Z.; Ottlé, C.; Ciais, P.; Zhou, F.; Wang, X.; Jan, P.; Dumas, P.; Peng, S.; Li, L.; Zhou, X.; et al. Irrigation, damming, and streamflow fluctuations of the Yellow River. Hydrol. Earth Syst. Sci. 2021, 25, 1133–1150. [Google Scholar] [CrossRef]
- Wang, Y.; Zhao, W.; Wang, S.; Feng, X.; Liu, Y. Yellow River water rebalanced by human regulation. Sci. Rep. 2019, 9, 9707. [Google Scholar] [CrossRef] [PubMed]
- Zhang, X.; Lu, Z.; Jiang, S.; Chi, W.; Zhu, L.; Wang, H.; Lv, K.; Wang, B.; Yang, Z. The progradation and retrogradation of two newborn Huanghe (Yellow River) Delta lobes and its influencing factors. Mar. Geol. 2018, 400, 38–48. [Google Scholar] [CrossRef]
- Wu, X.; Bi, N.; Syvitski, J.; Saito, Y.; Xu, J.; Nittrouer, J.A.; Bianchi, T.S.; Yang, Z.; Wang, H. Can reservoir regulation along the Yellow River be a sustainable way to save a sinking delta? Earth’s Future 2020, 8, e2020EF001587. [Google Scholar] [CrossRef]
- Anthony, E.J.; Almar, R.; Aagaard, T. Recent shoreline changes in the Volta River delta, West Africa: The roles of natural processes and human impacts. Afr. J. Aquat. Sci. 2016, 41, 81–87. [Google Scholar] [CrossRef]
- Rossi, G. L’Erosion du Littoral dans le Golfe du Bénin: Un Example de Perturbation d’un Équilibre Morphodynamique. Z. Geomorphol. 1989, 73, 139–165. [Google Scholar]
Publisher’s Note: MDPI stays neutral with regard to jurisdictional claims in published maps and institutional affiliations. |
© 2021 by the authors. Licensee MDPI, Basel, Switzerland. This article is an open access article distributed under the terms and conditions of the Creative Commons Attribution (CC BY) license (https://creativecommons.org/licenses/by/4.0/).









