Abstract
The focus of this work is on the evaluation of selected water quality indicators as per the applicable regulations, taking into account European and national legislation and the evaluation of the risk of contamination of surface waters with toxic elements using the contamination factor () and the degree of pollution (). The studied area of Slovinky is an important ore region, with rich deposits of copper and silver ores that have been mined for centuries. One of the most important remnants of mining activities in this area is the Slovinky tailing impoundment. The sludge pond area has an area of 15 ha, and the height of the dam is 113 m above sea level, which makes the sludge pond one of the tallest water structures in Slovakia. The Slovinský creek was monitored in the years 2010, 2011, and 2019 at five sampling points, which were selected to map the entire length of the water flow from the source to the estuary to the river Hornád. Risk elements (As, Cu, Cd, and Fe) and physicochemical parameters (such as temperature, dissolved oxygen concentration, conductivity, resistivity, salinity, total dissolved solids, NaCl, redox potential, and pH) were included in this study and evaluated according to applicable regulations, taking into account European legislation (Act No. 269/2010 Coll., guideline value WHO 2011). The results of the experimental studies showed that the highest values of As and Cu were measured at the site where drainage waters from the Slovinky tailing impoundment and mining water of the Alžbeta shaft flow into the creek. The concentration of As exceeded the limit value by up to 31 times and the concentration of Cu 16.8–134.5 times. At the same time, the highest values of conductivity, salinity, total dissolved solids, and NaCl were found, and there was no acidification of water at the site that had the highest pollution. Water contamination was assessed based on and ; our findings showed that the surface water from the site of contamination, along the entire length of the stream, was very highly contaminated with risk elements in the order of As > Fe > Cu, and the level of contamination decreased with distance from the site of contamination. Our research shows that seepage of toxic substances from sludge ponds and abandoned mines has caused the requirements for the quality of surface water of the Slovinský creek not to be met. In connection with mining activities, surface streams act as a transport medium through which other components of the environment can be polluted.
1. Introduction
The start of industrial production brought, at first, environmental pollution, which gradually led to the disruption of natural habitats; due to inadequate production technologies, contaminants were transmitted into the soil, water, and air. The mining and processing of natural resources were concentrated in large industrial sites, which were often situated in vulnerable natural environments [1]. Mining activity is considered one of the most significant sources of pollution by risk elements [2]. The mining industry results in the accumulation of large amounts of tailings [3], which occupies large amounts of soil resources and causes serious pollution of environmental components (soil, water, air, biota) [4]. Risk elements are the natural constituents of the earth’s crust, and some of them are essential for the growth and development of plants, humans, and animals. Risk elements are persistent toxic pollutants that are characterised by latent, long-term, cumulative, and irreversible characteristics [5,6].
The release of persistent toxic pollutants into the natural environment, whether from geogenic sources or as a result of anthropogenic activities [7,8,9], can be associated with many environmental problems (contamination of soil, water, and biota) [10,11], resulting from their toxicity, non-biodegradability, and persistence [12].
Waste rock, tailings, and mine waste directly discharged into the environment and water resources have the potential to pollute the environment [13] and pose a serious threat to public health [14]; the same toxic elements in tailings are prone to leaching into the surrounding environment by water and wind [15]. Numerous studies have pointed to an increase in total concentrations of trace metals, such as Hg, As, Cd, Cu, Pb, Zn, Cr and Sb, in the atmosphere, soils, sediments, waters, and biota near mining activities [16,17,18,19].
Acid mine runoff, a primary source of risk element contamination, is also a global environmental problem due to persistent toxic pollutants in both active and abandoned mining areas [20,21,22,23]. Acid mine waters are characterised by a low pH, high concentrations of transition metals (Fe, Cu, Zn), and the presence of highly valuable metals such as rare earth elements at lower concentrations [24].
The contamination of surface waters with acidic mining waters and lower pH values increases the concentration of sulphates and trace metals [25]. If trace metals are present as mobile and bioavailable forms, they can easily upset the ecological balance of aquatic ecosystems [26]. Different indices of geoaccumulation [27] and degrees of contamination [28] are used to analyse water quality in places with significant mining activity.
The current study was carried out in an area that was intensively influenced by mining activities for a long time. The studied area of Slovinky is a significant ore area with rich deposits of copper and silver ores, the subject of extraction for centuries. After the decline of mining focused on copper ores, the mining industry in Slovinky was redirected to the extraction of iron ores in the second half of the 19th century. One of the most significant remains of the mining activities in this area is the Slovinky tailing impoundment. The tailing impoundment has an area of 15 ha, and the height of its dyke is 113 m above sea level, which puts the tailing impoundment among the highest water structures in Slovakia. The surface of the tailing impoundment consists of a solid-consistency material that has been formed by the gradual evaporation of water from the liquid mud that was transported to the tailing impoundment. Towards the bedrock, there are liquid sand and water. The mud of the tailing impoundment contains elements of gold, silver, iron, copper, arsenic, and other metals. The tailing impoundment poses a threat to the environment for several reasons. At the sludge bed, dust particles are transmitted, which are transported over long distances, thereby reducing air quality and transferring toxic elements. Soaks of the contaminants into the groundwater are also dangerous. In the village of Slovinky and its surroundings, there are seven other tailing impoundments, which, due to the unsatisfactory state of the dam and drainage system, pose a threat, especially during torrential rains [29].
The aim of this study is to: (i) examine selected physicochemical properties and risk elements in the surface waters in a spatial and temporal dimension; (ii) evaluate selected water quality indicators according to applicable regulations, taking into account European and national legislation; (iii) assess the risks of the contamination of surface waters with toxic elements from the tailing impoundment as a remnant of mining activities.
2. Materials and Methods
2.1. Study Area Description
Slovinky (48°55’48.9’’N; 20°53’51,0’’E) originated as a mining settlement in the 14th century. The cadastre of the village is situated southwest of Krompachy at an altitude of 400 to 1081 m above sea level. The area of Slovinky and the surrounding area was characterised by a significant number of deposits of silver, copper, and iron ores. Mining activity was terminated in Slovinky in 1993.
The investigated area is located in the Spiš region, which represents an area of second environmental quality, i.e., a region with a slightly disturbed environment. It is also partially located in the Rudňany district, which has a significantly disturbed environment [30]. As a result of long-term and intensive mining and processing activities, the area has been polluted by risk elements, and the landscape has been deformed by extensive anthropogenic forms [29]. During the mining of mineral deposits, together with the utility component, large volumes of residual material were moved, which were subsequently stored in the form of mining landfills, heaps and sludge, which significantly disrupted the landscape structure and contaminated individual components of the environment. The limit values of Hg, Cu, Zn, As, Cd and Pb are exceeded in the soils in the investigated area [1,31].
According to geomorphological division, the investigated area belongs to the area of the Slovak Ore Mountains in the Inner Western Carpathians [32]; from the geological point of view, it consists mainly of metamorphic sandstone and quartz phyllites. The predominant soil types are cambium, with a shallow to medium depth. Fluvials have developed in a small area along the watercourse. The area of interest is moderately warm to cold, with an average annual temperature of 7.7 °C and an average precipitation angle of 625 mm [33].
Slovinský creek springs at an altitude of 1050 m above sea level. The catchment area of the Slovinský creek reaches 78.59 km2. In the town of Krompachy, the stream was partly artificially folded in the first half of the 20th century and regulated with stone paving. The specific runoff reaches the value of 6.23 l/s/km; the average flow rate is 0.49 m/s [30]. In the past, the groundwater regime was strongly influenced by mining activities, on the basis of which a special group of water and mining waters was also separated.
The Slovinky tailing impoundment is located in the northeastern part of the cadastral territory of the Slovinky municipality. The flotation sludge was weighed through the pipeline here, which was wasted after the ore treatment in the mines of Slovinky. Its activity was terminated after an accident in 1999, during which the drainage pipeline ruptured. At present, 4.8 million cubic metres of sludge of solid consistency are stored here. The slope of the dam was terraced using mining tailings, and, to stabilise the slope, trees and grass vegetation were planted. The surface of the body of sludge is made of a solid-consistency material; towards the subsoil, there are liquid sand and water. The two highest terraces of the tailing impoundment are not reclaimed and are without vegetation. The vegetation of the Slovinky tailing impoundment is characterised by a low representation and abundance of species. Substrates containing contaminants select the species composition of vegetation. The dam of the tailing impoundment consists of a planted shrubland, with a predominance of Betula pendula and Pinus sylvestris. We also recorded the infestation trees—Corylus avellana and Larix decidua—with accompanying species in the undergrowth of Agrostis capillaris, Fragaria vesca, Tussilago farfara, and Festuca rubra. Species near the air pollution field of the tailing impoundment manifest signs of degradation and are mainly dwarfed forms of woody plants, which are mostly in shrub form. The current state of the dam and drainage system of the tailing impoundment is not satisfactory, and there is a danger, especially during torrential rains [1].
2.2. Mapping and Sampling
Experimental works were carried out in the years 2010, 2011, and 2019 in the area of Central Spiš. Water samples were taken from a small stream from the Slovinský creek at five sampling points, which were selected to map the entire length of the watercourse, from the spring to the mouth of the Hornád, using glass bottle samples. The bottle samples were first washed and rinsed with demineralised water. The bottle samples were then put in a cool box and taken to the laboratory for further treatment. The locations of the sampling points are shown in Figure 1. The sampling was in accordance with STN EN ISO 5667 [34].
Figure 1.
Locations of the research sites in the investigated area of the Slovinský creek (Slovakia).
2.3. Laboratory Analysis, Pollution Indices, and Statistical Analyses
The analysis of the water samples was carried out directly at sampling points and in the Laboratory of Environmental Analysis of the Department of Environmental Management, University of Prešov, in Prešov and the accredited geoanalytical laboratory of the State Geological Institute Dionýz Štúr in Spišská Nová Ves.
Physical–chemical parameters (pH, temperature, dissolved oxygen concentration, conductivity, resistivity, salinity, and total dissolved solids) were monitored directly at the sampling points and evaluated using a WTW Multi 3410 SET 4 instrument (WTW Xylem Analytics Group, Weilheim, Germany). Using a Eutech CyberScan PC650 multimeter (Singapore), we measured the amount of NaCl in the water. The redox potential was measured by a METTLER TOLEDO instrument (Mettler-Toledo Group, Greifensee, Switzerland) with an InLab Redox electrode in the laboratory within 24 h of sampling.
In an accredited laboratory, the amounts of Cu and Fe in the samples were determined using atomic emission spectrometry with inductive bound plasma; the amount of As and Cd were determined using weight spectrometry with inductive bound plasma. The measured values were compared with the limit values according to Act No. 269/2010 Coll. [35], which is in line with European legislation.
Water contamination was evaluated using the contamination factor and the degree of contamination according to Hakanson [36]:
where Ci is the average risk element concentration and is the background risk element concentration for the surface water of the Slovak Republic [37]. The following terminology may be used in this risk index approach to get a uniform way of describing the contamination factor by Hakanson [36]: < 1, low contamination factor (indicating low sediment contamination of the substance in question); 1 ≤ < 3, moderate contamination factor; 3 ≤ < 6, considerable contamination factor; ≥ 6, very high contamination factor.
The degree of total environmental contamination is defined as the sum of all :
where is the measure of the degree of overall contamination in a particular sampling site, defined as the sum of all . The following terminology may be used to describe the degree of contamination: < 8, low degree of contamination; 8 ≤ < 16, moderate degree of contamination; 16 ≤ < 32, considerable degree of contamination; ≥ 32, very high degree of contamination, indicating serious anthropogenic pollution.
The obtained data were processed statistically by means of Statistica software (Ver. 13, 2015) and PAST 4.0. The data were log-transformed before the analysis.
3. Results
3.1. Risk Elements Pollution of Water
The main sources of pollution of the Slovinský creek are the surface and drainage waters of the Slovinky tailing impoundment and the outflows of the mining water of the Alžbeta shaft. In the central part of Krompachy, the source of pollution is the industrial enterprise Kovohuty Krompachy.
The amount of drainage water and the content of risk elements are monitored by the Ministry of the Environment and the State Geological Institute Dionýz Štúr within the partial monitoring system. According to the monitoring results, an average of 10.9 l/s of drainage water and 24.3 L/s of mining water flowed from the Alžbeta shaft in 2015 from the Slovinky tailing impoundment. This amount is indicative because the measurements were performed only twice a year. In the rainy season, the amount of drainage water is probably higher. The results of monitoring show that this water contains increased concentrations of As, Hg, Cu, Sb, Mn and SO4 [38]. The flow of the drainage water and the amount of risk elements from the tailing impoundment and the shaft are given in Table 1.
Table 1.
Amount of drainage water (L/s) and content of risk elements (mg/L) of drainage water of the Slovinky tailing impoundment and mining waters of the Alžbeta shaft in 2015 [38].
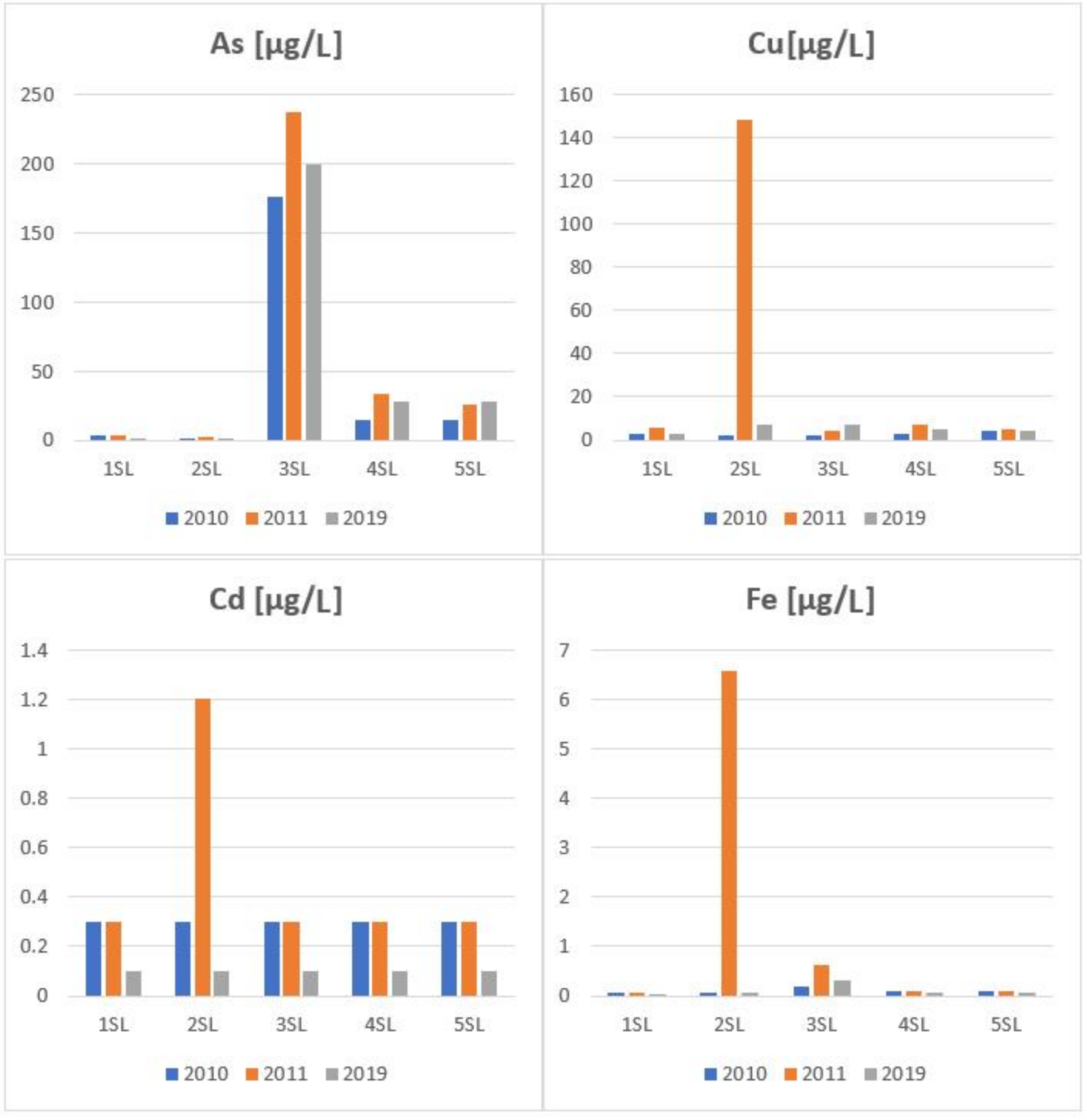
Figure 2 shows the concentrations of risk elements in water samples from five sampling points in the three monitored years. The greatest pollution of the Slovinský creek was witnessed in all the monitored years in the place where drainage waters from the Slovinky tailing impoundment and the mining water of the Alžbeta shaft (sampling point 3SL) flow into the creek. In this section of the watercourse, there is a long-term increase in the concentration of arsenic that does not meet the requirements for surface water quality according to Act No. 269/2010 Coll. [35]. The highest values were measured in 2011, when the concentration of arsenic exceeded the limit value for As up to 31 times. There were also high concentrations of As at the 4SL and 5SL sampling points in all these years. The measured As values at these localities were in the range of 14–27.9 μg/L, which exceeds the limit value by 2–4 times.
Figure 2.
The measured values of risk elements in the water samples of the Slovinský creek (Slovakia). (Notes: limit value Act No. 269/2010 Coll. of Laws: As—7.5 µg/L, Cu—1.1—8.8 µg/L, Cd—0.08–0.25 µg/L, Fe—2 mg/L; guideline value of WHO: As—10.0 µg/L, Cu—2000 µg/L, Cd—3.0 µg/L, Fe—2 mg/L, Fe—an allocation of 10% of this PMTDI (provisional maximum tolerable daily intake) to drinking-water gives a value of about 2 mg/L, which does not present a hazard to health).
In 2011, the concentrations of risk elements changed significantly compared to 2010. As a result of logging and the increased movement of heavy machinery, the surface of the mining heaps deposited in the upper part of the stream was disturbed [1], which caused a significant increase in copper (a 74-fold increase compared to 2010), iron, and cadmium at the 2SL site. The iron concentration at this point exceeded the maximum allowable concentration by more than three times. The limit values for cadmium are set by the regulation in the range of 0.45–1.5 µg/L, depending on the hardness of the water determined by the CaCO3 concentration, which we did not determine, so we cannot say unequivocally whether the amount of Cd (1.2 μg/L) exceeded the limit values.
In 2019, compared to 2011, there was a decrease in the concentrations of risk elements, with the exception of copper at the 3SL site and arsenic at the 5SL site. Arsenic pollution at the 3SL site was also mitigated, but it significantly exceeded the recommended limit value set by Act No. 269/2010 Coll. [35] by 26.5 times. Arsenic pollution also persisted at the 4SL and 5SL sampling points, despite the fact that the pollution was diluted downstream. In comparison to the concentration of the monitored risk elements of Cu, Cd, and Fe with WHO [39] values for drinking water showed that most metals in the observed temporal and spatial dimension were below the detected limits, even though they were present in the water at very low concentrations. However, the As content was found to be well above the limit values set by the Drinking Water Directive [39]. In water, it is mostly present as arsenate (+5), but in anaerobic conditions, it is likely to be present as arsenite (+3). It is usually present in natural waters at concentrations of less than 1–2 μg/L [39]. Arsenic leaching occurs in both acidic and basic pH ranges, as indicated by studies by Guo et al. [40] and Al-Abed et al. [41]. Our research shows that seepage of toxic substances from sludge ponds and abandoned mines has caused the requirements for the quality of the surface water of the Slovinský creek not to be met. In connection with mining activities, surface streams act as a transport medium through which other components of the environment can be polluted.
3.2. Physicochemical Parameters of Waters
When assessing surface water quality, it is important to examine physicochemical parameters, the changes of which may indicate water pollution. Parameters such as pH and redox potential (Eh) affect the migration of risk elements. The solubility of hazardous elements and their mobility may increase due to reduced conditions, the lowering of pH values in the range of 2–6 and higher salt concentrations [42,43,44]. The analysis was performed for 9 water quality indicators and evaluated according to valid regulations, taking into account European legislation [35,39]. Table 2 and Figure 3 show the physicochemical parameters measured during the observed period. In general, all measured physicochemical parameters (i.e., temperature, dissolved oxygen concentration (mg/l), conductivity (Μs/cm), resistivity (kΩ cm), salinity (ppt), total dissolved solids (TDS; mg/l), NaCl (ppm), redox potential (Eh; mV) and pH) were within the acceptable values of WHO guidelines for drinking water [39] and Act No. 269/2010 Coll. [35], which sets the requirements for achieving good water conditions. The results of non-metric multidimensional scaling (NMDS) (Figure 4) have shown that above-the-limit concentrations of risk elements (Cu, As, Fe, Cd) have significantly affected (longer arrows indicate impact) the monitored environmental parameters (dissolved oxygen concentration, conductivity, resistivity, salinity, total dissolved solids, NaCl, redox potential and pH). The direction and length of the vectors of environmental parameters were computed by Bray–Curtis distances. Risk elements had a significant effect on resistivity and salinity in the investigated 3SL region.
Table 2.
The measured values of physicochemical parameters in the water samples of the Slovinský creek (Slovakia).
Figure 3.
The measured values of physicochemical parameters in the water samples of the Slovinský creek (Slovakia), expressed as descriptive statistics. (Note: TDS—total dissolved solids).
Figure 4.
Graphic output of the NMDS ordination displaying localities and significant environmental vectors. (Notes: DOC—dissolved oxygen concentration, Con—conductivity, Res—resistivity, Sal—salinity, TDS—total dissolved solids, Eh—redox potential, 1SL–5SL—sampling sites).
In addition to the above parameters, we also monitored the pH of the water samples as one of the most important parameters influencing metal content in a bioaccessible form in the environment [1]. Act No. 269/2010 Coll. [35] sets a pH limit value in the range of 6 to 8.5. In the monitored years of 2010, 2011, and 2019, the water at most sampling points complied with the requirements set by the law, with the exception of 2019 at the 5SL site (pH 8.7). In the mining water represented by the outflow of drainage water from the sludge pond and from the shaft, the pH value reached 7.37 to 7.55 (Figure 5); at the same time, the sludge pond material had an alkaline character; this appears to be consistent with the study by Al-Abed et al. [41].
Figure 5.
The measured values of pH in the water samples of the Slovinský creek (Slovakia).
3.3. Assessment of Water Pollution and Statistical Analyses
The assessment of water contamination, calculated on the basis of Hakanson’s contamination factor () and the degree of contamination () [36], for each toxic element and each sampling site in the observed watercourse profile is given in Table 3. Based on the mean contamination factor (), the surface waters were classified as very highly contaminated with risk elements, from the point of contamination to the mouth of the monitored stream (sampling points 2SL to 5SL). The 3SL sampling site was highly contaminated with toxic elements in the order As > Fe > Cu, resp. As > Fe. The level of contamination () was very high at sampling sites 2SL to 5SL ( ≥ 63.6–509.4). These findings suggest that surface waters from the site of pollution, along the entire length of the stream, are very highly contaminated with risk elements, the level of pollution decreases with distance from the site of pollution, and the water contamination is the result of mining residues. Water quality deteriorates at high As levels, as pointed out in the study by Boateng et al. [27].
Table 3.
Ranking order of water contamination of the investigated locality according to the value and the sequence of the contamination factors ().
The dendrogram of the hierarchical cluster analysis (HCA) of the concentration of risk elements in relation to the time and space of the investigated water source is shown in Figure 6. Hierarchical algorithms find successive clusters following previously established clusters. These algorithms are usually either agglomerative (“bottom-up”) or divisive (“top-down”). The method for this study is by divisive “top-down” sequestering, utilising Euclidean distance and single linkage, beginning with the entire set and proceeding to divide it into successively smaller clusters. The HCA has identified three groups of metal associations: Group I includes the area above the pollution source; the areas under the sources of pollution, up to the mouth of the river Hornád, form Group II; Group III contains the site of the highest pollution in the observed period. The results of the HCA analysis confirmed that the contamination of the study area comes from anthropogenic sources. The high content of As, Cu, Cd, and Fe in the water source comes from the sludge pond and shaft as a remnant of mining activities and activities associated with different intensities of logging, in which the surface of old heaps is disturbed.
Figure 6.
Dendrogram derived from the hierarchical cluster analysis (HCA) of risk elements in the water samples, in relation to time and space, of the Slovinský creek (Slovakia).
4. Conclusions
In the context of mining activity, surface water acts as a transport medium of pollution, thus expanding the area of impact of old mining activities on the environment. The examined area of Slovinky is a significant ore area with rich deposits of copper and silver ores, which have been the subject of extraction for centuries. One of the most significant remains of mining activities in this area is the Slovinky tailing impoundment. The tailing impoundment has an area of 15 ha, and the height of its dyke is 113 m above sea level, which puts the tailing impoundment among the highest water structures in Slovakia. The mud of the tailing impoundment contains elements of gold, silver, iron, copper, arsenic, and other metals. The tailing impoundment poses a threat to the environment for several reasons. At the tailing impoundment, dust particles are transmitted, which are transported over long distances, thereby reducing air quality and transferring toxic elements. The contaminants in the water resources are also a threat. The results of experimental studies have shown that the highest values of As and Cu were measured at the site where drainage waters from the Slovinky tailing impoundment and the mining water of the Alžbeta shaft flow into the creek. In this section of the watercourse, there is a long-term increase in the concentration of arsenic that does not meet the requirements for surface water quality according to Act No. 269/2010 Coll. and WHO guidelines. The concentration of As exceeded the limit value by up to 31 times and the concentration of Cu by 16.8-134.5 times. At the same time, the highest values of conductivity, salinity, total dissolved solids and NaCl were found, and there was no acidification of water at the site of the greatest pollution. Assessing water contamination, based on the contamination factor and the degree of contamination, our findings indicate that surface waters from the contamination site, along the entire flow length, are highly contaminated with risk elements in the order As > Fe > Cu; the contamination level decreases with distance from the contamination site. The water contamination is the result of the action of the remnants of mining activities. Our research shows that seepage of toxic substances from sludge ponds and abandoned mines has caused the requirements for surface water quality of the Slovinský creek not to be met. In connection to mining activities, surface streams act as a transport medium through which other components of the environment can be polluted.
Author Contributions
Conceptualisation, D.F., J.F. and L.Š.; methodology, D.F. and J.F.; investigation, J.F. and L.Š.; resources, D.F. and L.Š.; data analysis, D.F. and J.F.; writing—original draft preparation, D.F., J.F. and L.Š.; writing—review and editing, D.F. and L.Š. All authors have read and agreed to the published version of the manuscript.
Funding
This research was funded by VEGA grant number 1/0313/19, KEGA grant number 011PU-4/2019, and APVV-20-0140.
Institutional Review Board Statement
Not applicable.
Informed Consent Statement
Not applicable.
Acknowledgments
The study was supported by VEGA 1/0313/19 (Ecosystem approach as a parameter of modern environmental research of contaminated areas), KEGA 011PU-4/2019 (Implementation of environmental education and research into the teaching of management courses in study program management) and APVV-20-0140 (Possibilities of critical raw material recovery by advanced methods of mining waste processing).
Conflicts of Interest
The authors declare no conflict of interest.
References
- Angelovičová, L.; Boguská, Z.; Fazekašová, D. Diversity and Quality of Selected Components of the Environment in the Middle Spiš; University of Presov in Presov: Prešov, Slovakia, 2015; p. 122. [Google Scholar]
- Li, Z.; Ma, Z.; Van der Kuijp, T.J.; Yuan, Z.; Huang, L. A review of soil heavy metal pollution from mines in China: Pollution and health risk assessment. Sci. Total Environ. 2014, 468–469, 843–853. [Google Scholar] [CrossRef] [PubMed]
- Bian, Z.; Dong, J.; Lei, S.; Leng, H.; Mu, S.; Wang, H. The impact of disposal and treatment of coal mining wastes on environment and farmland. Environ. Geol. 2009, 58, 625–634. [Google Scholar] [CrossRef]
- Jiang, X.; Lu, W.X.; Yang, Q.C.; Yang, Z.P. Potential ecological risk assessment and prediction of soil heavy metal pollution around coal gangue dump. Nat. Hazards Earth Syst. Sci. 2014, 14, 1977–2010. [Google Scholar] [CrossRef] [Green Version]
- Chibuike, G.U.; Obiora, S.C. Heavy metal polluted soils: Effect on plants and bioremediation methods. Appl. Environ. Soil Sci. 2014, 2014, 243–254. [Google Scholar] [CrossRef] [Green Version]
- Huang, Y.; Chen, Q.; Deng, M.; Japenga, J.; Li, T.; Yang, X. Heavy metal pollution and health risk assessment of agricultural soils in a typical peri-urban area in southeast China. J. Environ. Manag. 2018, 207, 159–168. [Google Scholar] [CrossRef]
- Bhuiyan, M.A.H.; Dampare, S.B.; Islam, M.A.; Suzuki, S. Source apportionment and pollution evaluation of heavy metals in water and sediments of Buriganga River, Bangladesh, using multivariate analysis and pollution evaluation indices. Environ. Monit. Assess. 2015, 187, 4075. [Google Scholar] [CrossRef] [PubMed]
- Barton, H.J. Advantages of the use of deciduous teeth, hair, and blood analysis for lead and cadmium bio-monitoring in children. A study of 6-year-old children from Krakow (Poland). Biol. Trace. Elem. Res. 2010, 43, 637–658. [Google Scholar] [CrossRef] [PubMed] [Green Version]
- Song, Y.; Ji, J.; Mao, C.; Yang, Z.; Yuan, X.; Ayoko, G.A.; Fros, R.L. Heavy metal contamination in sus-pended soils of Changjiang River—Environmental implications. Geoderma 2010, 159, 286–295. [Google Scholar] [CrossRef]
- Chopin, E.I.B.; Alloway, B.J. Distribution and mobility of trace elements in soil and vegetation around the mining and smelting areas of Tharsis, Riotinto and Huelva, Iberian Pyrite Belt, SW Spain. Water Air Soil Pollut. 2007, 182, 245–261. [Google Scholar] [CrossRef]
- Mohamed, A.; Nasser, W.S.; Osman, T.A.; Toprak, M.S.; Muhammed, M.; Uheida, A. Removal of chromium (VI) from aqueous solutions using surface modified composite nanofibers. J. Colloid Interface Sci. 2017, 505, 682–691. [Google Scholar] [CrossRef]
- Kumar, V.; Parihar, R.D.; Sharma, A.; Bakshi, P.; Sidhu, G.P.S.; Bali, A.S.; Karaouzas, I.; Bhardwaj, R.; Thukral, A.K.; Gyasi-Agyei, Y.; et al. Global evaluation of heavy metal content in surface water bodies: A meta-analysis using heavy metal pollution indices and multivariate statistical analyses. Chemosphere 2019, 236, 124364. [Google Scholar] [CrossRef]
- Wang, P.; Sun, Z.; Hu, Y.; Cheng, H. Leaching of heavy metals from abandoned mine tailings brought by precipitation and the associated environmental impact. Sci. Total Environ. 2019, 695, 133893. [Google Scholar] [CrossRef]
- Gyamfi, E.; Appiah-Adjei, E.K.; Adjei, K.A. Potential heavy metal pollution of soil and water resources from artisanal mining in Kokoteasua, Ghana. Groundw. Sustain. Dev. 2019, 8, 450–456. [Google Scholar] [CrossRef]
- Rowe, R.K.; Hosney, M.S. Laboratory investigation of GCL performance for covering arsenic contaminated mine wastes. Geotext. Geomembr. 2013, 39, 63–77. [Google Scholar] [CrossRef]
- Strzebońska, M.; Jarosz-Krzemińska, E.; Adamiec, E. Assessing historical mining and smelting effects on heavy metal pollution of river systems over span of two decades. Water Air Soil Pollut. 2017, 228, 141. [Google Scholar] [CrossRef] [Green Version]
- Wasiu, M.O.; Ayodele, O.E.; Ayodele, T.I.; Oluremi, O.I.; Temitope, O.K.; Temitope, F.O. Heavy metal contamination in stream water and sediments of gold mining areas of South Western Nigeria. Afr. J. Environ. Sci. Technol. 2016, 10, 150–161. [Google Scholar] [CrossRef] [Green Version]
- Morton-Bermea, O.; Gómez-Bernal, J.M.; Armienta, M.A.; Lozano, R.; Hernández-Álvarez, E.; Romero, F.; Castro-Larragoitia, J. Metal accumulation by plant species growing on a mine contaminated site in Mexico. Environ. Earth Sci. 2013, 71, 5207–5213. [Google Scholar] [CrossRef]
- Sánchez de la Campa, A.M.; de la Rosa, J.D.; Fernández-Caliani, J.C.; González-Castanedo, Y. Impact of abandoned mine waste on atmospheric respirable particulate matter in the historic mining district of Rio Tinto (Iberian Pyrite Belt). Environ. Res. 2011, 111, 1018. [Google Scholar] [CrossRef]
- Blowes, D.W.; Ptacek, C.J.; Jambor, J.; Weisener, C.J. The geochemistry of acid mine drainage. Treatise Geochem. 2003, 9, 149–204. [Google Scholar] [CrossRef]
- Espana, J.S.; Pamo, E.L.; Santofimia, E.; Aduvire, O.; Reyes, J.; Barettino, D. Acid mine drainage in the Iberian Pyrite Belt (Odiel river watershed, Huelva, SW Spain): Geochemistry, mineralogy and environmental implications. Appl. Geochem. 2005, 20, 1320–1356. [Google Scholar] [CrossRef]
- Akcil, A.; Koldas, S. Acid mine drainage (AMD): Causes, treatment and case studies. J. Clean. Prod. 2006, 14, 1139–1145. [Google Scholar] [CrossRef]
- Favas, P.J.C.; Sarkar, S.K.; Rakshit, D.; Venkatachalam, P.; Prasad, M.N.V. Acid mine drainages from abandoned mines hydrochemistry, environmental impact, resource recovery, and prevention of pollution (Chapter 17). Environ. Mater. Waste Resour. Recover. Pollut. Prev. 2016, 14, 413–462. [Google Scholar] [CrossRef]
- López, J.; Reig, M.; Gilbert, O.; Cortina, J.L. Integration of nanofiltration membranes in recovery options of rare earth elements from acidic mine waters. J. Clean. Prod. 2019, 210, 1249–1260. [Google Scholar] [CrossRef]
- Nordstrom, D.K. Mine waters: Acid to circumneutral. Elements 2011, 7, 393–398. [Google Scholar] [CrossRef]
- Yang, S.X.; Liao, B.; Li, J.T.; Guo, T.; Shu, W.S. Acidification, heavy metal mobility and nutrient accumulation in the soil–plant system of a revegetated acid mine wasteland. Chemosphere 2010, 80, 852–859. [Google Scholar] [CrossRef]
- Boateng, E.; Dowuona, G.N.N.; Nude, P.M.; Foli, G.; Gyekye, P.; Jafaru, H.M. Geochemical assessment of the impact of mine tailings reclamation on the quality of soils at AngloGold concession, Obuasi, Ghana. Res. J. Environ. Earth Sci. 2012, 4, 466–474. [Google Scholar]
- Likuku, A.S.; Mmolawa, K.B.; Gaboutloeloe, G.K. Assessment of heavy metal enrichment and degree of contamination around the copper-nickel mine in the Selebi Phikwe Region, Eastern Botswana. Environ. Ecol. Res. 2013, 1, 32–40. [Google Scholar] [CrossRef]
- Čech, V.; Krokusová, J.; Kunáková, L. Pond Slovinky near Krompachy. Folia Geogr. 2011, 17, 64–81. [Google Scholar]
- Klinda, J.; Mičík, T.; Némethová, M.; Slámková, M. Environmentálna Regionalizácia Slovenskej Republiky/Environmental Regionalization of the Slovak Republic; Ministerstvo Životného Prostredia: Bratislava, Slovakia, 2016. [Google Scholar]
- Takáč, P.; Szabová, T.; Kozáková, Ľ.; Benková, M. Heavy metals and their bioavailability from soils in the long-term polluted Central Spiš region of SR. Plant Soil Environ. 2009, 55, 167–172. [Google Scholar] [CrossRef] [Green Version]
- Mazúr, E.; Lukniš, M. Regional Division SSR; Geografický Ústav SAV: Bratislava, Slovakia, 1980. (In Slovak) [Google Scholar]
- Slovak Hydrometeorological Institute. Climate Atlas of Slovakia; SHI: Bratislava, Slovakia, 2015. [Google Scholar]
- STN EN ISO 5667-1. Water Quality—Sampling—Part 1: Guidance on the Design of Sampling Programmes and Sampling Techniques; Slovak Institution of Technical Standardization: Bratislava, Slovakia, 2006. [Google Scholar]
- The National Council of the Slovak Republic. Act of the National Council of the Slovak Republic No. 269/2010 Coll. Of Laws; The National Council of the Slovak Republic: Bratislava, Slovakia, 2010. [Google Scholar]
- Hakanson, L. An Ecological Risk Index for Aquatic Pollution Control—A Sedimentological Approach. Water Res. 1980, 14, 975–1001. [Google Scholar] [CrossRef]
- Čurlík, J.; Šefčík, P. Geochemický Atlas Slovenskej republiky/Geochemical Atlas of the Slovak Republic; SSCRI: Bratislava, Slovakia, 1999. [Google Scholar]
- Ministry of the Environment Slovak Republic and the State Geological Institute Dionýz Štúr. Impact of Mineral Extraction on the Environment; Report 2015; MoE and SGIDŠ: Spišská Nová Ves, Slovakia, 2016.
- WHO–World Health Organisation. Guidelines for Drinking-Water Quality; WHO Press: Geneva, Switzerland, 2011. [Google Scholar]
- Guo, Y.G.; Huang, P.; Zhang, W.G.; Yuan, X.W.; Fan, F.X.; Wang, H.L.; Liu, J.S.; Wang, Z.H. Leaching of heavy metals from Dexing copper mine tailings pond. T. Nonferr. Metals Soc. 2013, 23, 3068–3075. [Google Scholar] [CrossRef]
- Al-Abed, S.R.; Jegadeesan, G.; Purandare, J.; Allen, D. Arsenic release from iron rich mineral processing waste: Influence of pH and redox potential. Chemosphere 2007, 66, 775–782. [Google Scholar] [CrossRef]
- Fazekašová, D.; Barančíková, G.; Torma, S.; Ivanová, M.; Manko, P. Chemical and Environmental Aspect of The Component of the Environment and Landscape; University of Presov in Presov: Prešov, Slovakia, 2014; 257p. [Google Scholar]
- Saria, L.; Shimaoka, T.; Miyawaki, K. Leaching of heavy metals in acid mine drainage. Waste Manag. Res. 2006, 24, 134–140. [Google Scholar] [CrossRef]
- Davranchea, M.; Bollingera, J.C.; Bril, H. Effect of reductive conditions on metal mobility from wasteland solids: An example from the Mortagne-du-Nord site (France). Appl. Geochem. 2003, 18, 383–394. [Google Scholar] [CrossRef]
Publisher’s Note: MDPI stays neutral with regard to jurisdictional claims in published maps and institutional affiliations. |
© 2021 by the authors. Licensee MDPI, Basel, Switzerland. This article is an open access article distributed under the terms and conditions of the Creative Commons Attribution (CC BY) license (https://creativecommons.org/licenses/by/4.0/).





