Angular Modeling of the Components of Net Radiation in Agricultural Crops and Its Implications on Energy Balance Closure
Abstract
1. Introduction
2. Materials and Methods
2.1. Energy Balance and Net Radiation
2.2. One-Parameter Model for BRDF and BEDF
2.3. Study Area
2.4. Instrumentation
- (a)
- A metallic stand for accurately positioning the height of each sensor. The stand consists of an extensible mast with clamping mechanisms at 2.5 m, 4.0 m, and 5.5 m.
- (b)
- (c)
- Control card and software for operating the polycarbonate structure.
- (d)
- Crop reflectance sensor. A hyperspectral (continuous data in 2 nm-wide bands on the 350 to 2500 nm region) radiometer with a 25° viewing angle (ASDTM; FieldSpecFR Jr optical fiber).
- (e)
- Radiative temperature sensor for the crop. ApogeeTM model IRTS infrared thermometer with an 18.4° viewing angle (3:1 sensor height viewing:diameter ratio).
- (f)
- Console for system operation and data storage.
2.5. Experimental Design
2.6. Measurement of Footprints
3. Results
3.1. Model Adjustments
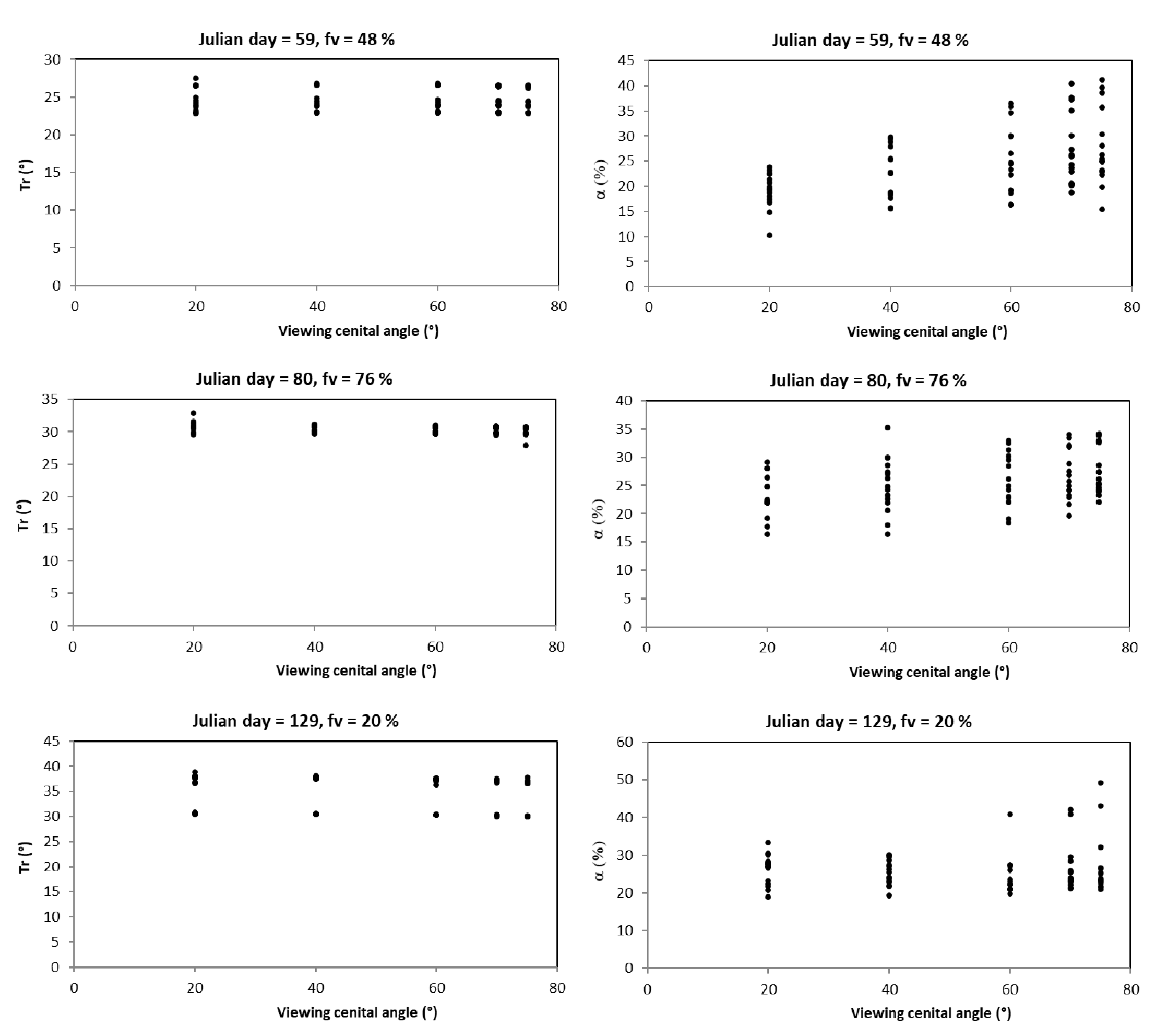
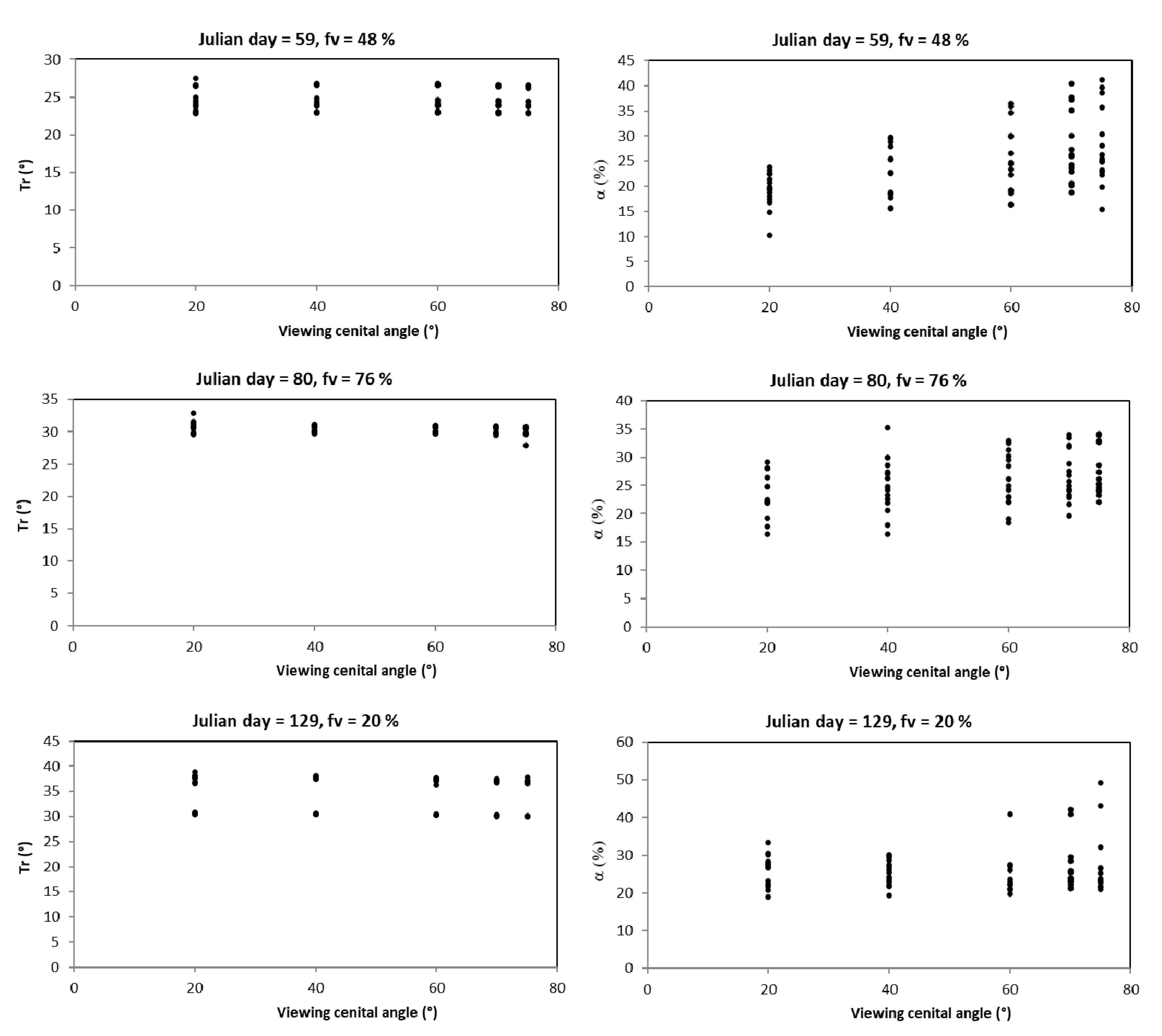
3.2. Patterns of Variation with View and Sensor Zenith Angles
4. Discussion
4.1. Model Adjustments
4.2. Patterns under Sun-Sensor Geometry Variations and Their Implications for the Energy Balance Closure
5. Conclusions
Author Contributions
Funding
Institutional Review Board Statement
Informed Consent Statement
Data Availability Statement
Acknowledgments
Conflicts of Interest
References
- Bala, G.; Caldeira, K.; Wickett, M.; Phillips, T.J.; Lobell, D.; Delire, C.; Mirin, A. Combined climate and carbon-cycle effects of large-scale deforestation. Proc. Natl. Acad. Sci. USA 2007, 104, 6550–6555. [Google Scholar] [CrossRef] [PubMed]
- Stoy, P.C.; El-Madany, T.S.; Fisher, J.B.; Gentine, P.; Gerken, T.; Good, S.P.; Klosterhalfen, A.; Liu, S.; Miralles, D.G.; Pe-rez-Priego, O.; et al. Reviews and syntheses: Turning the challenges of partitioning ecosystem evaporation and transpiration into opportunities. Biogeosciences 2019, 16, 3747–3775. [Google Scholar] [CrossRef]
- Nemani, R.R.; Keeling, C.D.; Hashimoto, H.; Jolly, W.M.; Piper, S.C.; Tucker, C.J.; Myneni, R.B.; Running, S.W. Climate-driven increases in global terrestrial net primary production from 1982 to 1999. Science 2003, 300, 1560–1563. [Google Scholar] [CrossRef]
- Allen, R.G.; Pereira, L.S.; Raes, D.; Smith, M.M. Crop Evapotranspiration: Guidelines for Computing Crop Require-Ments. Irrigation and Drainage. Paper No. 56. FAO: Rome, Italy, 1998. Available online: http://www.fao.org/tempref/SD/Reserved/Agromet/PET/FAO_Irrigation_Drainage_Paper_56.pdf (accessed on 12 February 2020).
- Bastiaanssen, W.; Menenti, M.; Feddes, R.; Holtslag, B. A remote sensing surface energy balance algorithm for land (SEBAL). 1. Formulation. J. Hydrol. 1998, 212–213, 198–212. [Google Scholar] [CrossRef]
- Roerink, G.; Su, Z.; Menenti, M. S-SEBI: A simple remote sensing algorithm to estimate the surface energy balance. Phys. Chem. Earth Part B Hydrol. Ocean. Atmos. 2000, 25, 147–157. [Google Scholar] [CrossRef]
- Allen, R.G.; Tasumi, M.; Trezza, R. Satellite-based energy balance for mapping evapotranspiration with internalized calibration (METRIC)—model. J. Irrig. Drain. Eng. 2007, 133, 380–394. [Google Scholar] [CrossRef]
- Courault, D.; Seguin, B.; Olioso, A. Review on estimation of evapotranspiration from remote sensing data: From empirical to numerical modeling approaches. Irrig. Drain. Syst. 2005, 19, 223–249. [Google Scholar] [CrossRef]
- Kalma, J.D.; McVicar, T.; McCabe, M. Estimating land surface evaporation: A review of methods using remotely sensed surface temperature data. Surv. Geophys. 2008, 29, 421–469. [Google Scholar] [CrossRef]
- Gowda, P.H.; Chavez, J.L.; Colaizzi, P.D.; Evett, S.R.; Howell, T.A.; Tolk, J.A. ET mapping for agricultural water management: Present status and challenges. Irrig. Sci. 2007, 26, 223–237. [Google Scholar] [CrossRef]
- Zeng, Z.; Peng, L.; Piao, S. Response of terrestrial evapotranspiration to Earth’s greening. Curr. Opin. Environ. Sustain. 2018, 33, 9–25. [Google Scholar] [CrossRef]
- Baldocchi, D.D.; Hincks, B.B.; Meyers, T.P. Measuring biosphere-atmosphere exchanges of biologically related gases with micrometeorological methods. Ecology 1988, 69, 1331–1340. [Google Scholar] [CrossRef]
- Verma, S.B. Micrometeorological methods for measuring surface fluxes of mass and energy. Remote Sens. Rev. 1990, 5, 99–115. [Google Scholar] [CrossRef]
- Lecrlerc, M.Y.; Thurtell, G.W. Footprint prediction of scalar fluxes using a Markovian analysis. Bound. -Layer MeTeor. 1990, 52, 247–258. Available online: https://www.aminer.cn/pub/53e999e7b7602d970222d7e7/footprint-prediction-of-scalar-fluxes-using-a-markovian-analysis (accessed on 12 February 2020). [CrossRef]
- Schmid, H.P. Footprint modeling for vegetation atmosphere exchange studies: A review and perspective. Agric. For. Meteorol. 2002, 113, 159–183. [Google Scholar] [CrossRef]
- Vesala, T.; Kljun, N.; Rannik, R.J.; Sogachev, A.; Markkanen, T.; Sabelfeld, K.; Foken, T.; Leclerc, M. Flux and concentration footprint modelling: State of the art. Environ. Pollut. 2008, 152, 653–666. [Google Scholar] [CrossRef]
- Schmid, H.P. Experimental design for flux measurements: Matching scales of observations and fluxes. Agric. For. Meteorol. 1997, 87, 179–200. [Google Scholar] [CrossRef]
- Wilson, K.; Goldstein, A.; Falge, E.; Aubinet, M.; Baldocchi, D.; Berbigier, P.; Bernhofer, C.; Ceulemans, R.J.; Dolman, A.; Field, C.; et al. Energy balance closure at FLUXNET sites. Agric. For. Meteorol. 2002, 113, 223–243. [Google Scholar] [CrossRef]
- Foken, T. The energy balance closure problem: An overview. Ecol. Appl. 2008, 18, 1351–1367. [Google Scholar] [CrossRef]
- Chen, B.; Black, T.A.; Coops, N.; Hilker, T.; Trofymow, J.A.; Morgenstern, K. Assessing tower flux footprint climatology and scaling between remotely sensed and eddy covariance measurements. Bound.-Layer Meteorol. 2008, 130, 137–167. [Google Scholar] [CrossRef]
- Wohlfahrt, G.; Tasser, E. A mobile system for quantifying the spatial variability of the surface energy balance: Design and application. Int. J. Biometeorol. 2014, 59, 617–627. [Google Scholar] [CrossRef][Green Version]
- Chehbouni, A.; Watts, C.; Kerr, Y.H.; Dedieu, G.; Rodriguez, J.C.; Santiago, F.; Cayrol, P.; Boulet, G.; Goodrich, D.C. Methods to aggregate turbulent fluxes over heterogeneous surfaces: Application to SALSA data set in Mexico. Agric. For. Meteorol. 2000, 105, 133–144. [Google Scholar] [CrossRef]
- Anderson, M.; Norman, J.; Kustas, W.; Houborg, R.; Starks, P.; Agam, N. A thermal-based remote sensing technique for routine mapping of land-surface carbon, water and energy fluxes from field to regional scales. Remote Sens. Environ. 2008, 112, 4227–4241. [Google Scholar] [CrossRef]
- Jiang, L.; Yang, H.; Li, X.; Ding, X. Modeling effective directional emissivity of row crops. In Proceedings of the IEEE Xplore. Conference: Geoscience and Remote Sensing Symposium, IGARSS ’01. (2001). IEEE 2001 International, Sydney, NSW, Australia, 9–13 July 2001; Volume 4. [Google Scholar] [CrossRef]
- Colaizzi, P.D.; O’Shaughnessy, S.A.; Gowda, P.H.; Evett, S.R.; Howell, T.A.; Kustas, W.P.; Anderson, M. Radiometer footprint model to estimate sunlit and shaded components for row crops. Agron. J. 2010, 102, 942–955. [Google Scholar] [CrossRef]
- Zhao, F.; Gu, X.; Verhoef, W.; Wang, Q.; Yu, T.; Liu, Q.; Huang, H.; Qin, W.; Chen, L.; Zhao, H. A spectral directional reflectance model of row crops. Remote Sens. Environ. 2010, 114, 265–285. [Google Scholar] [CrossRef]
- Du, Y.; Cao, B.; Li, H.; Bian, Z.; Qin, B.; Xiao, Q.; Liu, Q.; Zeng, Y.; Su, Z. Modeling directional brightness temperature (DBT) over crop canopy with effects of intra-row heterogeneity. Remote Sens. 2020, 12, 2667. [Google Scholar] [CrossRef]
- Stoy, P.; Mauder, M.; Foken, T.; Marcolla, B.; Boegh, E.; Ibrom, A.; Arain, M.A.; Arneth, A.; Aurela, M.; Bernhofer, C.; et al. A data-driven analysis of energy balance closure across FLUXNET research sites: The role of landscape scale heterogeneity. Agric. For. Meteorol. 2013, 171–172, 137–152. [Google Scholar] [CrossRef]
- Priestley, C.H.B.; Taylor, R.J. On the assessment of surface heat flux and evaporation using large scale parameters. Mon. Weather Rev. 1972, 100, 81–92. [Google Scholar] [CrossRef]
- Garatuza-Payan, J.; Shuttleworth, W.J.; Encinas, D.; McNeil, D.D.; Stewart, J.B.; DeBruin, H.; Watts, C. Measurement and modelling evaporation for irrigated crops in north-west Mexico. Hydrol. Process. 1998, 12, 1397–1418. [Google Scholar] [CrossRef]
- Aubinet, M.; Grelle, A.; Ibrom, A.; Rannik, Ü.; Moncrieff, J.; Foken, T.; Kowalski, A.; Martin, P.; Berbigier, P.; Bernhofer, C.; et al. Estimates of the annual net carbon and water exchange of forests: The EUROFLUX methodology. Adv. Ecol. Res. 1999, 30, 113–175. [Google Scholar] [CrossRef]
- Mauder, M.; Foken, T.; Cuxart, J. Surface-energy-balance closure over land: A review. Bound. -Layer Meteorol. 2020, 177, 395–426. [Google Scholar] [CrossRef]
- Monteith, J.L.; Unsworth, M.H. Principles of Environmental Physics; Eduard Arnold: London, UK, 1990. [Google Scholar] [CrossRef]
- Brutsaerth, W. Evaporation into the Atmosphere: Theory, History and Applications; Reidel: Dordrecht, The Netherlands, 1982; Reidel 299. [Google Scholar]
- Garatuza-Payán, J.; Pinker, R.; Shuttleworth, W.J.; Watts, C.J. Solar radiation and evapotranspiration in northern Mexico estimated from remotely sensed measurements of cloudiness. Hydrol. Sci. J. 2001, 46, 465–478. [Google Scholar] [CrossRef][Green Version]
- Kimes, D. Effects of vegetation canopy structure on remotely sensed canopy temperatures. Remote Sens. Environ. 1980, 10, 165–174. [Google Scholar] [CrossRef]
- Matthias, A.D.; Yates, S.R.; Zhang, R.; Warrick, A.W. Radiant temperatures of sparse plant canopies and soil using IR thernometry. IEEE Trans. Geosci. Remote Sens. 1987, GE-25, 516–520. [Google Scholar] [CrossRef]
- Salisbury, J.W.; D’Aria, D.M. Emissivity of terrestrial materials in the 8–14 μm atmospheric window. Remote Sens. Environ. 1992, 42, 83–106. [Google Scholar] [CrossRef]
- Cuenca, J.; Sobrino, J.A. Experimental measurements for studying angular and spectral variation of thermal infrared emissivity. Appl. Opt. 2004, 43, 4598–4602. [Google Scholar] [CrossRef]
- Jupp, D.L. Directional radiance and emissivity measurement models for remote sensing of the surface energy balance. Environ. Model. Softw. 1998, 13, 341–351. [Google Scholar] [CrossRef]
- Snyder, W.; Wan, Z. BRDF models to predict spectral reflectance and emissivity in the thermal infrared. IEEE Trans. Geosci. Remote Sens. 1998, 36, 214–225. [Google Scholar] [CrossRef]
- Ballard, J. Thermal infrared hot spot and dependence on canopy geometry. Opt. Eng. 2001, 40, 1435–1437. [Google Scholar] [CrossRef][Green Version]
- Sobrino, J.; Jiménez-Muñoz, J.C.; Verhoef, W. Canopy directional emissivity: Comparison between models. Remote Sens. Environ. 2005, 99, 304–314. [Google Scholar] [CrossRef]
- Chehbouni, A.; Nouvellon, Y.; Lhomme, J.-P.; Watts, C.; Boulet, G.; Kerr, Y.; Moran, M.; Goodrich, D. Estimation of surface sensible heat flux using dual angle observations of radiative surface temperature. Agric. For. Meteorol. 2001, 108, 55–65. [Google Scholar] [CrossRef]
- Ranson, K.; Irons, J.; Daughtry, C. Surface albedo from bidirectional reflectance. Remote Sens. Environ. 1991, 35, 201–211. [Google Scholar] [CrossRef]
- Wanner, W.; Li, X.; Strahler, A.H. On the derivation of kernels for kernel-driven models of bidirectional reflectance. J. Geophys. Res. Space Phys. 1995, 100, 21077–21089. [Google Scholar] [CrossRef]
- Paz, F.; Marín, M.I. Desarrollo de un modelo genérico de footprint para sensores estáticos del sistema suelo-vegetación. Terra Latinoam. 2019, 37, 27–34. [Google Scholar] [CrossRef]
- Marcolla, B.; Cescatti, A. Geometry of the hemispherical radiometric footprint over plant canopies. Theor. Appl. Clim. 2017, 134, 981–990. [Google Scholar] [CrossRef]
- Bolaños-González, M.A.; Paz-Pellat, F.; Palacios-Vélez, E.; Mejía-Sáenz, E.; Huete, A. Modelation of the sun-sensor geometry effects in the vegetation reflectance. Agrociencia 2007, 41, 527–537. Available online: http://www.scielo.org.mx/scielo.php?script=sci_arttext&pid=S1405-31952007000500527&lng=es&tlng=es (accessed on 12 February 2020).
- Bolaños, G.; Martín, A.; Paz, P.F. Modelación general de los efectos de la geometría de iluminación-visión en la reflectancia de pastizales. Rev. Mex. Cien. Pecuari. 2010, 1, 349–361. Available online: http://www.scielo.org.mx/scielo.php?script=sci_arttext&pid=S2007-11242010000400004&lng=es&tlng=es (accessed on 12 February 2020).
- González, A.C.; Pellat, F.P.; Marin, M.I.; Bautista, E.L.; Chávez, J.; Bolaños, M.; Oropeza, J.L. Factor de la reflectancia bi-cónica en especies vegetales contrastantes: Modelación de los ángulos cenitales. Rev. Terra Latinoam. 2018, 36, 105–119. [Google Scholar] [CrossRef][Green Version]
- Pellat, F.P.; Cano, A.; Bolaños, M.; Chavez, J.; Marin, M.I.; Romero, E. Factor de la reflectancia bi-cónica en especies vegetales contrastantes: Modelación global. Rev. Terra Latinoam. 2018, 36, 61. [Google Scholar] [CrossRef][Green Version]
- Paz, F.; Medrano, Y.E. Patrones espectrales multi-angulares de clases globales de coberturas del suelo usando el sensor remoto POLDER-1. Terra Latinoam. 2015, 33, 129–137. Available online: http://www.scielo.org.mx/scielo.php?script=sci_arttext&pid=S0187-57792015000200129 (accessed on 12 February 2020).
- Paz, F.; Medrano, Y.E. Discriminación de coberturas del suelo usando datos espectrales multi-angulares del sensor POL-DER-1: Alcances y limitaciones. Terra Latinoam. 2016, 34, 187–200. Available online: http://www.scielo.org.mx/scielo.php?script=sci_arttext&pid=S0187-57792016000200187 (accessed on 12 February 2020).
- Medrano-Ruedaflores, E.R.; Paz-Pellat, F.; Oropeza-Mota, J.L.; Valdez-Lazalde, J.R.; Bolaños-Gonzálezy, M. Evaluación de un modelo de la BRDF a partir de simulaciones con modelos semi-empíricos lineales (SEL). Terra Latinoam. 2013, 31, 181–192. Available online: http://www.scielo.org.mx/scielo.php?script=sci_abstract&pid=S0187-57792013000400181&lng=es&nrm=iso (accessed on 12 February 2020).
- Pascual, F.; Paz, F.; Bolaños, M. Estimación de biomasa aérea en cultivos con sensores remotos. Terra Latinoam. 2012, 30, 17–28. Available online: http://www.scielo.org.mx/scielo.php?script=sci_arttext&pid=S0187-57792012000100017&lng=es&tlng=es (accessed on 12 February 2020).
- Reyes, M.; Paz, F.; Casiano, M.; Pascual, F.; Marín, M.I.; Rubiños, E. Characterization of stress effect using spectral vegetation indexes for the estimate of variables related to aerial biomass. Agrociencia 2011, 45, 221–233. Available online: http://www.scielo.org.mx/scielo.php?script=sci_arttext&pid=S1405-31952011000200007&lng=es&tlng=es (accessed on 12 February 2020).
- Casiano, M.; Paz, F.; Zarco, A.; Bolaños, M.; Palacios, E. Escalamiento espacial de medios heterogéneos espectrales usando invarianzas temporales. Terra Latinoam. 2012, 30, 315–326. Available online: https://www.redalyc.org/articulo.oa?id=57325814003 (accessed on 12 February 2020).
- Chirouze, J.; Boulet, G.; Jarian, L.; Fieuzal, R.; Rodriguez, J.C.; Exxahar, J.; Er-Raki, S.; Bigeard, G.; Merlin, O.; Garatuza-Payan, J.; et al. Inter-comparison of four remote sensing based surface energy balance methods to retrieve surface evapotranspiration and water stress of irrigated fields in semi-arid climate. Hydrol. Earth Syst. Sci. 2014, 18, 1165–1188. [Google Scholar] [CrossRef]
- Liang, S. Narrowband to broadband conversions of land surface albedo I: Algorithms. Remote Sens. Environ. 2001, 76, 213–238. [Google Scholar] [CrossRef]
- Liang, S.; Shuey, C.J.; Russ, A.L.; Fang, H.; Chen, M.; Walthall, C.L.; Daughtry, C.; Hunt, R. Narrowband to broadband conversions of land surface albedo: II. Validation. Remote Sens. Environ. 2003, 84, 25–41. [Google Scholar] [CrossRef]
- Pellat, F.P. Estimación de la cobertura aérea de la vegetación herbácea usando sensores remotos. Rev. Terra Latinoam. 2018, 36, 239–259. [Google Scholar] [CrossRef]
- Snyder, W. Reciprocity of the bidirectional reflectance distribution function (BRDF) in measurements and models of structured surfaces. IEEE Trans. Geosci. Remote Sens. 1998, 36, 685–691. [Google Scholar] [CrossRef]
- Di Girolamo, L. Generalizing the definition of the bi-directional reflectance distribution function. Remote Sens. Environ. 2003, 88, 479–482. [Google Scholar] [CrossRef]
- Idso, S.B.; Aase, J.K.; Jackson, R.D. Net radiation—Soil heat flux relations as influenced by soil water content variations. Bound. -Layer Meteorol. 1975, 9, 113–122. [Google Scholar] [CrossRef]
- Santanello, J.A.; Friedl, M.A. Diurnal covariation in soil heat flux and net radiation. J. Appl. Meteorol. 2003, 42, 851–862. [Google Scholar] [CrossRef]
- Su, Z. The Surface Energy Balance System (SEBS) for estimation of turbulent heat fluxes. Hydrol. Earth Syst. Sci. 2002, 6, 85–100. [Google Scholar] [CrossRef]
- Anderson, M.C.; Norman, J.M.; Mecikalski, J.R.; Otkin, J.A.; Kustas, W.P. A climatological study of evapotranspiration and moisture stress across the continental United States based on thermal remote sensing: 1. Model formulation. J. Geophys. Res. Space Phys. 2007, 112. [Google Scholar] [CrossRef]
- Twine, T.; Kustas, W.; Norman, J.; Cook, D.; Houser, P.; Meyers, T.; Prueger, J.; Starks, P.; Wesely, M. Correcting eddy-covariance flux underestimates over a grassland. Agric. For. Meteorol. 2000, 103, 279–300. [Google Scholar] [CrossRef]
- Shao, C.; Li, L.; Dong, G.; Chen, J. Spatial variation of net radiation and its contribution to energy balance closures in grassland ecosystems. Ecol. Process. 2014, 3, 7. [Google Scholar] [CrossRef]
- Wohlfahrt, G.; Hammerle, A.; Niedrist, G.; Scholtz, K.; Tomelleri, E.; Zhao, P. On the energy balance closure and net radiation in complex terrain. Agric. For. Meteorol. 2016, 226–227, 37–49. [Google Scholar] [CrossRef]
- Leuning, R.; van Gorsel, E.; Massman, W.J.; Isaac, P.R. Reflections on the surface energy imbalance problem. Agric. For. Meteorol. 2012, 156, 65–74. [Google Scholar] [CrossRef]
- Fritschen, L.; Qian, P. Net radiation, sensible and latent heat flux densities on slopes computed by the energy balance method. Bound. -Layer Meteorol. 1990, 53, 163–171. [Google Scholar] [CrossRef]
- Nie, D.; Demetriades-Shah, T.; Kanemasu, A.E.T. Surface energy fluxes on four slope sites during FIFE 1988. J. Geophys. Res. Space Phys. 1992, 97, 18641–18649. [Google Scholar] [CrossRef]












| Plot | Surface Area (Ha) | Crop | Furrow Orientation | Furrow Spacing (cm) | Plant Height at the Start of the Experiment (cm) |
|---|---|---|---|---|---|
| PH1 | 89.9 | Bean | North–South | 160 | 0 |
| PH3 | 38.75 | Sorghum | East–West | 80 | 0 |
| PH4 | 38.86 | Chickpea | North–South | 80 | 30 |
| PH5 | 9.59 | Safflower | North–South | 80 | 6 |
| PH6 | 47.97 | Wheat | North–South | 100 | 70 |
| Sensor Height (m) | Azimuth Angle (ϕv) | Zenith Angle (θv) | No. of Readings |
|---|---|---|---|
| 2.5 | 15°, 45°, 90°, 135° y 165° | 40°, 60°, 70°, 75° | 20 |
| 4.0 | 15°, 45°, 90°, 135° y 165° | 20°, 40°, 60°, 70°, 75° | 25 |
| 5.0 | 15°, 45°, 90°, 135° y 165° | 20°, 40°, 60°, 70°, 75° | 25 |
| Sensor | Height (m) | θv (°) | 2a (m) | 2b (m) | Area (m2) |
|---|---|---|---|---|---|
| Apogee | 2.5 | 40 | 1.45 | 1.11 | 1.26 |
| 2.5 | 60 | 3.63 | 1.82 | 5.18 | |
| 2.5 | 70 | 9.00 | 3.09 | 21.80 | |
| 2.5 | 75 | 20.23 | 5.26 | 83.64 | |
| 4.0 | 20 | 1.51 | 1.42 | 1.69 | |
| 4.0 | 40 | 2.31 | 1.77 | 3.22 | |
| 4.0 | 60 | 5.81 | 2.91 | 13.27 | |
| 4.0 | 70 | 14.39 | 4.94 | 55.81 | |
| 4.0 | 75 | 32.37 | 8.42 | 214.11 | |
| 5.5 | 20 | 2.08 | 1.96 | 3.20 | |
| 5.5 | 40 | 3.18 | 2.44 | 6.09 | |
| 5.5 | 60 | 7.99 | 4.00 | 25.08 | |
| 5.5 | 70 | 19.79 | 6.79 | 105.52 | |
| 5.5 | 75 | 44.51 | 11.58 | 404.81 | |
| ASD | 2.5 | 40 | 1.96 | 1.50 | 2.31 |
| 2.5 | 60 | 5.20 | 2.61 | 10.66 | |
| 2.5 | 70 | 15.07 | 5.20 | 61.52 | |
| 2.5 | 75 | 52.46 | 13.80 | 568.79 | |
| 4.0 | 20 | 2.02 | 1.90 | 3.02 | |
| 4.0 | 40 | 3.13 | 2.40 | 5.90 | |
| 4.0 | 60 | 8.32 | 4.18 | 27.29 | |
| 4.0 | 70 | 24.11 | 8.32 | 157.50 | |
| 4.0 | 75 | 83.94 | 22.09 | 1456.10 | |
| 5.5 | 20 | 2.78 | 2.61 | 5.70 | |
| 5.5 | 40 | 4.30 | 3.30 | 11.16 | |
| 5.5 | 60 | 11.44 | 5.74 | 51.60 | |
| 5.5 | 70 | 33.14 | 11.44 | 297.77 | |
| 5.5 | 75 | 115.42 | 30.37 | 2752.94 |
Publisher’s Note: MDPI stays neutral with regard to jurisdictional claims in published maps and institutional affiliations. |
© 2021 by the authors. Licensee MDPI, Basel, Switzerland. This article is an open access article distributed under the terms and conditions of the Creative Commons Attribution (CC BY) license (https://creativecommons.org/licenses/by/4.0/).
Share and Cite
Paz, F.; Marín, M.I.; Garatuza, J.; Watts, C.; Rodríguez, J.C.; Yepez, E.A.; Libert, A.; Bolaños, M.A. Angular Modeling of the Components of Net Radiation in Agricultural Crops and Its Implications on Energy Balance Closure. Water 2021, 13, 3028. https://doi.org/10.3390/w13213028
Paz F, Marín MI, Garatuza J, Watts C, Rodríguez JC, Yepez EA, Libert A, Bolaños MA. Angular Modeling of the Components of Net Radiation in Agricultural Crops and Its Implications on Energy Balance Closure. Water. 2021; 13(21):3028. https://doi.org/10.3390/w13213028
Chicago/Turabian StylePaz, Fernando, Ma Isabel Marín, Jaime Garatuza, Christopher Watts, Julio Cesar Rodríguez, Enrico A. Yepez, Antoine Libert, and Martín Alejandro Bolaños. 2021. "Angular Modeling of the Components of Net Radiation in Agricultural Crops and Its Implications on Energy Balance Closure" Water 13, no. 21: 3028. https://doi.org/10.3390/w13213028
APA StylePaz, F., Marín, M. I., Garatuza, J., Watts, C., Rodríguez, J. C., Yepez, E. A., Libert, A., & Bolaños, M. A. (2021). Angular Modeling of the Components of Net Radiation in Agricultural Crops and Its Implications on Energy Balance Closure. Water, 13(21), 3028. https://doi.org/10.3390/w13213028

