Abstract
Ditch-pond systems can effectively alleviate the adverse effects of agricultural drainage on downstream canals and flood control in downstream areas. In this study, peak flow reduction rate (PFR) and drainage volume detention rate (DVD) are used to evaluate the effectiveness of an off-line ditch-pond system for reducing peak flow, retarding agricultural drainage water, and examining the key influencing factors. The results show that the PFR and DVD of the off-line ditch-pond system are significantly affected by three parameters: weir depth (), weir width (), and pond area-to-drainage area ratio (). Both the PFR and DVD increase with the increase in , , and . The effects of and on the PFR and the DVD are significant, whereas that is relatively small. Adjusting and increases both the PFR and DVD up to 80%. Specifically, contributes 75% of the variations in the PFR and the DVD, and affects only 17% of the PFR variations and 11% of the DVD variations. These findings confirm that an off-line ditch-pond system can be effectively used for the detention of agricultural drainage water. Thus, when such a system is designed with an appropriate diversion weir, the impact of agricultural drainage water on downstream canals and downstream areas can be reduced remarkably.
1. Introduction
Agricultural drainage can effectively eliminate the adverse effects of waterlogging on crop growth. However, this practice may increase the pressure on downstream canals and cause flooding in downstream areas. For example, the floods in the Huaihe river basin and the Taihu lake basin in China in 1991 were exacerbated by extensive agricultural drainage. Controlling downstream flood needs to slow down the discharge of the agricultural drainage water into major tributaries and maintaining appropriate soil water conditions for crop growth requires rapid waterlogging reduction by agricultural drainage, which conflicting requirement is more prominent in the middle and lower reaches of many rivers [1,2]. To address this problem, scattered ponds can be connected to drainage ditches to temporarily store a portion of the water from a drainage area and reduce the peak flow, and this strategy effectively reduces the impact of agricultural drainage on drainage canals and downstream areas [3,4]. Ditch-pond systems can also reduce the nonpoint pollution from farmlands and simultaneously store some of the drainage water for supplemental irrigation during a drought period [5,6,7].
To determine the effectiveness of ditch-pond systems for drainage water detention, Jiao et al. [8] evaluated the impact of the pond and overflow weir specifications on the reduction in the peak flow and the delay in the peak occurrence. They found that by adjusting the pond size and weir width, the peak flow can be reduced by 70% and delayed by five times. However, these findings of the associated influencing factors were based on the detention process conducted in an on-line ditch-pond system. In such a system, the entire water from a drainage ditch is directed to its pond and weir. In contrast, in an off-line ditch-pond system, only a portion of the drainage water is diverted into its pond. Consequently, the drainage water exchange processes in off-line and on-line systems differ [9]. Therefore, further research is required to explore the effects of the influence factors on the drainage detention performance in an off-line ditch-pond system. Thus, in this study, a parameter sensitivity analysis was conducted to evaluate the effectiveness of an off-line ditch-pond system for drainage detention and its influencing factors.
2. Evaluation of Drainage Detention Performance
2.1. Evaluation Indices and Influencing Factors
In an off-line ditch-pond system, a diversion ditch is used to connect a pond with a drainage ditch, and a side-weir regulates the flow rate of diverted water. The drainage detention performance of such a system is evaluated based on the extent of the peak flow reduction and the total amount of drainage water detention. Therefore, the peak flow reduction rate (PFR) and the drainage volume detention rate (DVD) were selected to evaluate the detention effectiveness of an off-line ditch-pond system. The PFR refers to the ratio of the difference between the upstream and downstream peak flows to the peak flow upstream of the ditch. The DVD is the ratio of the amount of water temporarily stored in the pond to the upstream total drainage volume. The sizes of the pond and diversion weir are the key factors that affect the performance of an off-line ditch-pond system. Therefore, this study evaluated the effects of the ratio of the pond area to the drainage area () and the width () and depth () of the diversion weir on the PFR and DVD of the off-line ditch-pond system.
To quantify the impacts of the variations in , , and on the PFR and DVD of the ditch-pond system, the Fourier amplitude sensitivity test (FAST) was used to calculate the first-order and total sensitivity indices of the three parameters [10]. The indices calculation and the FAST sample were conducted on the SIMLAB software, and the three influencing parameters were assumed to follow a uniform distribution [11]. Based on a field investigation and the literature review, the ranges of , , and values were selected as 0.00–0.25, 0.0–5.0 m, and 0.0–2.0 m, respectively [8,12]. The PFR and DVD values were calculated for the FAST samples within these ranges, and subsequently, FAST sensitivity analysis in the SIMLAB software was used to calculate the first-order and total sensitivity indices. The first-order sensitivity index of a parameter represents its primary effect on the variations in the PFR and the DVD, and it was calculated using the method recommended by Saltelliet et al. [13]. The total sensitivity index represents the cumulative impact of the first-order and interactive effects of the three parameters, and it was calculated using the Jansen method [14]. Under different combinations of the three parameters, the PFR and the DVD were determined using the following calculation method.
2.2. Calculation of Drainage Detention by an Off-Line Pond-Ditch System
In an off-line ditch-pond system, drainage water is diverted into the pond through a side-weir [15]. Thus, an effective description of the water flow exchange by the diversion weir is the key to characterizing the drainage detention process in a ditch-pond system. The water exchange between the drainage ditch and the pond through the side-weir is bidirectional. Under the condition that the water depth exceeds the weir height when the water level in the drainage ditch is high, water is diverted to the pond to reduce the drainage flow. In contrast, when the water level in the drainage ditch falls below that of the pond, the pond water flows back into the drainage ditch. Finally, the water level of the pond falls to the weir height, making the pond ready for the next drainage detention process. Based on the drainage water exchange process and comparison of the calculation formulae for the side-weir flow [16], the equation proposed by Hager [17] was selected to compute the flow rate of water diverted by a sharp-crested weir as follows:
where y = h/H; W = w/H; w is the height of the weir (m); h is the water stage height with respect to the ditch bottom (m); H is the energy head with respect to the ditch bottom (m); is the submergence coefficient; and is the gradient of the ditch. Based on the water depths of the drainage ditch and the pond as well as their submergence conditions, the submergence coefficient is determined as follows:
where + denotes the diversion of water from the drainage ditch to the pond; − indicates the backflow of water from the pond to the drainage ditch; is the depth of the pond (m); is the water depth of the drainage ditch (m); is the submergence ratio when water is diverted from the drainage ditch to the pond; and is the submergence ratio when the water in the pond flows back to the drainage ditch. The method proposed by Bradley et al. [18] was used to determine the submergence coefficient, f(x), as shown in Figure 1.
Figure 1.
Relationship between the submergence coefficient and submergence ratio.
Subsequently, the downstream flow rate of the drainage ditch is obtained by subtracting the rate of the diverted flow of the pond from the upstream flow rate as follows:
where and are the flow rates of the drainage ditch downstream and upstream, respectively, ().
3. Study Site
The drainage detention effect of an off-line ditch-pond system in the Gaoyou irrigation district in the lower reaches of the Huaihe river basin, China was evaluated. The district is low-lying, with dense river and canal networks as well as numerous ditches and ponds. The area has a subtropical humid monsoon climate, and the mean annual precipitation of 1030 mm mainly occurs from June to September, with frequent floods caused by rainstorms and typhoons. Owing to the frequent regional floods, this area is prone to waterlogging, and most of its existing detention ponds have lost their ability to store drainage water because they are used for aquaculture or lotus cultivation. Therefore, the typical rainfall drainage process of an enclosed paddy watershed with an area of 81,000 m2 and an average slope of 0.8% was selected to represent the inflow of a drainage ditch [8] (Figure 2). The objective was to evaluate the drainage detention performance of the off-line ditch-pond system and its influencing factors.
Figure 2.
Typical hydrograph of a drainage ditch at the study site.
The drainage water detention in the off-line ditch-pond system was simulated using the Hydrologic Engineering Centers River Analysis System (HEC-RAS) model [19,20]. The geometric parameters of the simulated off-line ditch-pond system are shown in Figure 3. In the simulation, the upstream inflow condition is as shown in Figure 2, and at the downstream outlet, the normal depth boundary condition is set. It is assumed that the pond only exchanges water with the drainage ditch and that the initial water depth of the pond equals the weir height. For each combination of , , and , the PFR and the DVD were calculated by comparing the changes in the upstream and downstream discharges of the drainage ditch.
Figure 3.
Geometric parameters of an off-line ditch-pond system.
4. Results and Discussion
4.1. Analysis of Influencing Factors
The sensitivity indices of the three key parameters that affect the peak flow reduction by the off-line system are listed in Table 1. Based on the first-order sensitivity indices, changing and can account for 75.6% and 17.4% PFR variations, respectively. In contrast, has only a small effect on the PFR and accounts for less than 1.0% PFR variations. Compared with the first-order sensitivity indices, the total sensitivity indices increase by varying degrees, and those of , , and increase by 13.5%, 61.5%, and 640%, respectively. These results indicate remarkable interactive effects among the three parameters, and the interactive effect of on the PFR variation is more significant than those of the others. The adjustments of and significantly affect the PFR variations, with the effect of being more significant.
Table 1.
Sensitivity indices of influencing parameters of off-line ditch-pond system with respect to peak flow reduction rate and drainage volume detention rate.
, , and also influence the DVD performance of the off-line ditch-pond system (Table 1). Based on the first-order sensitivity indices, adjusting and alone accounts for 75.8% and 11.3% DVD variations, respectively, whereas adjusting has the smallest effect (1.5%) on the DVD variation. Similar to the PFR case, compared with the first-order sensitivity indices, the total sensitivity indices show varying degrees of increase, and the contributions of , , and to the DVD variations increase by 18.1%, 98.2%, and 360%, respectively. In particular, the interactive effects of , which impacts the DVD variation the least when considered alone, are the most significant. Adjusting and considerably change the DVD, with having more significant effects on the DVD variation.
If the off-line ditch-pond system is adopted to store farmland drainage water, the order of importance of the influencing factors will be as follows: > > , and adjusting these parameters will have significant effects on the PFR and the DVD. Based on the above, changing results in more than 75.0% variations in the PFR and the DVD. This is because an increase in the weir depth enhances both the cross-sectional area of the diversion weir and the effective storage volume of the pond. In contrast, increasing has less pronounced effects as it only enlarges the cross-sectional area of the weir, and does not affect the pond storage volume [16]. Considering that changing the size of the pond alone has the smallest impact on the detention performance, deepening an existing pond is a strategy frequently used to improve the peak flow reduction [12]. The low sensitivity of the drainage detention to the pond size can be explained, considering that simply expanding the pond area can not alter the flow rate of the diversion weir. Therefore, it is essential to consider the strong interactive effects of the diversion weir parameters and find the optimal combination of all three influencing factors.
4.2. Evaluation of Detention Performance
The peak flow reduction of the off-line ditch-pond system and its variations under different combinations of the three parameters are shown in Figure 4a. It is noticeable that adjusting , , and affects the PFR of the off-line ditch-pond system substantially. Increasing , , or increases in the PFR, with the effects of and being more significant than that of . The three parameters have interactive effects on the PFR. For example, when = 0.05 (Figure 4b), as increases, the enhancement effect of on the PFR is increased, and the same is noted for as increases. For certain values of , high and imply high PFR. Therefore, adjusting the values of and result in an increase in the PFR of more than 80%.
Figure 4.
Peak flow reduction rates (PFR) of an off-line ditch-pond system under different combinations of , and . (a) Three-parameter combinations; (b) Two-parameter combinations ( = 0.05).
The drainage volume detention ratio of the off-line ditch-pond system and its variation under the combined influencing factors are shown in Figure 5a. Changes in , , and significantly affect the DVD of the off-line ditch-pond system. An increase in , , or alone increases the DVD, and the enhancement effects of and are more significant than that of . Remarkable interactions occur among the three parameters. For example, when = 0.05 (Figure 5b), as increases, the effects of on the DVD are enhanced, and the effects of on the DVD become stronger as increases. For certain values of , large and values imply high DVD. Hence, adjusting the values of and increase the DVD by more than 80%.
Figure 5.
Drainage volume detention rate (DVD) of off-line ditch-pond system under different combinations of , and . (a) Three-parameter combinations; (b) Two-parameter combinations ( = 0.05).
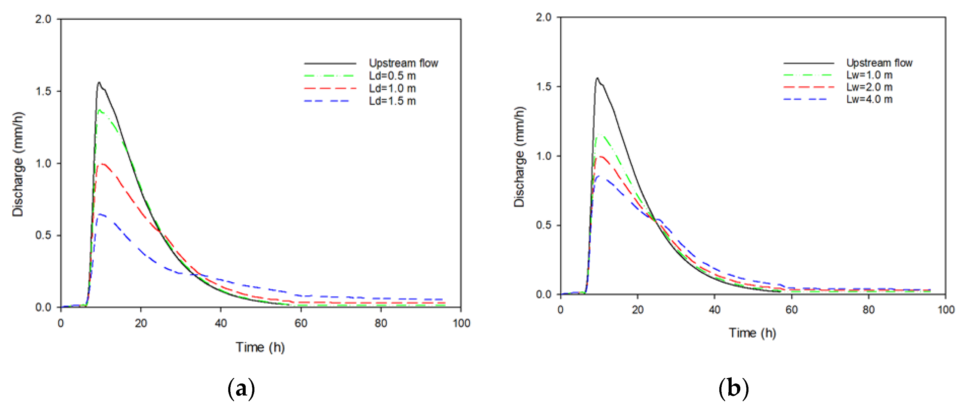
4.3. Analysis of the Hydrograph
To elucidate the effects of the weir specifications on the drainage detention performance of the off-line ditch-pond system, the upstream and downstream hydrographs of the drainage ditch were analyzed by considering different weir depths and widths (Figure 6). The off-line ditch-pond system reduces the peak flow by diverting the drainage water in the high-flow period. In addition, the peak-flow reduction enhances with the increase in and , and the peak-flow occurrence time is unaffected. For example, when = 0.05 and = 2.0 m, the peak flow is reduced by 11.0%, 34.8%, and 57.8% for = 0.5, 1.0, and 1.5 m, respectively. When = 0.05 and = 1.0 m, the peak flow is decreased by 24.1%, 34.8%, and 44.3%, for = 1.0, 2.0, and 4.0 m, respectively. The water flows back from the pond to the drainage ditch after the high-flow period, increasing the weir depth delays the time when the backflow starts to occur and increasing the weir width does not affect the backflow start time.
Figure 6.
Hydrographs of off-line ditch-pond system with different weir specifications. (a) = 0.05, = 2.0 m; (b) = 0.05, = 1.0 m.
Owing to the differences in the water exchange process of off-line and on-line ditch-pond systems, their drainage water detention performances and key influencing factors are also different [8]. In both types of ditch-pond systems, the peak flow is significantly reduced; however, the degrees of influence of the key parameters vary considerably. In an on-line system, the peak flow reduction is primarily affected by the changes in and , and has the maximum impact, whereas has the smallest. In an off-line system, the peak flow reduction rate is primarily affected by the changes in and , with having the least impact and largest. Another difference is that in an on-line system, adjusting the influencing parameters can significantly delay the peak flow occurrence, whereas, in an off-line system, it is unchanged. These differences in the drainage detention performance of the two types of ditch-pond systems suggest a requirement of alternative solutions for addressing different waterlogging conditions.
5. Conclusions
From the results of this study, the following conclusions can be drawn:
- (1)
- , , and affect the PFR and the DVD of an off-line ditch-pond system. accounts for more than 75% of the PFR and DVD variations, contributes the PFR and DVD variations by 17% and 11%, respectively, and has the least impact on them.
- (2)
- The PFR and DVD of an off-line ditch-pond system are significantly affected by , , and . Both increase with the increase in , , and , with the enhancement effects of and being more evident. Adjusting and can increase the PFR and DVD by up to 80%.
- (3)
- Drainage detention of an off-line ditch-pond system is based on the diversion of the drainage water into the detention pond during a high-flow period. Increasing the weir depth will delay the start time of the backflow from the pond to the drainage ditch.
Author Contributions
Conceptualization, T.S. and P.J.; methodology, R.W.; software, Y.W.; formal analysis, T.S. and P.J.; investigation, R.W.; writing and editing, P.J. and T.S. All authors have read and agreed to the published version of the manuscript.
Funding
This research was funded by the National Key Research and Development Project of China (2018YFC1508306) and the National Natural Science Foundation of China (52179054).
Conflicts of Interest
The authors declare no conflict of interest.
References
- Robinson, M.; Rycroft, D.W. The impact of drainage on streamflow. In Agricultural Drainage; Skaggs, R.W., Van Schilfgaarde, J., Eds.; ASA/CSSA/SSSA: Madison, WI, USA, 1999; pp. 767–800. [Google Scholar]
- Wang, S.L.; Wang, X.G.; Brown, L.C.; Qu, X.Y. Current status and prospects of agricultural drainage in China. Irrig. Drain. 2007, 56, S47–S58. [Google Scholar]
- Mitchell, N.; Kumarasamy, K.; Cho, S.J.; Belmont, P.; Dalzell, B.; Gran, K. Reducing high flows and sediment loading through increased water storage in an agricultural watershed of the upper Midwest, USA. Water 2018, 10, 1053. [Google Scholar] [CrossRef] [Green Version]
- Jiao, P.; Xu, D.; Wang, S.; Zhang, X. Design and application of drainage engineering in combination of ditch with ponds. Trans. Chin. Soc. Agric. Eng. 2015, 31, 83–88. [Google Scholar] [CrossRef]
- Li, S.S.; Liu, H.B.; Zhang, L.; Li, X.D.; Wang, H.; Zhuang, Y.H.; Zhang, F.L.; Zhai, L.M.; Fan, X.P.; Hu, W.L.; et al. Potential nutrient removal function of naturally existed ditches and ponds in paddy regions: Prospect of enhancing water quality by irrigation and drainage management. Sci. Total Environ. 2020, 718, 10. [Google Scholar] [CrossRef] [PubMed]
- Jia, Z.; Yin, X.; Luo, W.; Zou, J.; Chen, C. New indexes to evaluate the effect of segmental variations of distributed ditches on their pollutant retention in agricultural landscapes. Agric. Water Manag. 2021, 245, 8. [Google Scholar] [CrossRef]
- Jiao, P.; Yu, Y.; Xu, D. Effect of Drainage Water Reuse on Supplementary Irrigation and Drainage Reduction. Trans. ASABE 2018, 61, 1619–1626. [Google Scholar] [CrossRef]
- Jiao, P.; Xu, D.; Xu, J.; Xiong, Y.; Yu, Y. A drainage water transport model evaluates the waterlogging control effect of a coupled ditch and pond draiange engineering. J. Hydraul. Eng. 2020, 51, 358–366. [Google Scholar]
- Nix, S.J.; Durrans, S.R. Off-line stormwater detention systems. Water Resour. Bull. 1996, 32, 1329–1340. [Google Scholar] [CrossRef]
- Saltelli, A.; Tarantola, S.; Chan, K.P.S. A quantitative model-independent method for global sensitivity analysis of model output. Technometrics 1999, 41, 39–56. [Google Scholar] [CrossRef]
- Simlab. Simlab 2.2 Reference Manual; European Commission, Joint Research Centre: Brussels, Belgium, 2008. [Google Scholar]
- Ministry of Water Resources of the People’s Republic of China. Irrigation and Drainage Engineering Design Standards; GB 50288-2018; Ministry of Water Resources of the People’s Republic of China: Beijing, China, 2018.
- Saltelli, A.; Annoni, P.; Azzini, I.; Campolongo, F.; Ratto, M.; Tarantola, S. Variance based sensitivity analysis of model output. Design and estimator for the total sensitivity index. Comput. Phys. Commun. 2010, 181, 259–270. [Google Scholar] [CrossRef]
- Jansen, M.J.W. Analysis of variance designs for model output. Comput. Phys. Commun. 1999, 117, 35–43. [Google Scholar] [CrossRef]
- Jiao, P.; Xia, X.; Shen, T.; Xu, D.; Meng, Y.; YU, Y. Water Quantity Control Equipment. CN110331769A, 2019. Available online: http://www2.soopat.com/Patent/201910482979 (accessed on 25 October 2021).
- Kim, S.; Yoon, B.; Kim, S.; Kim, D. Design Procedure for Determining Optimal Length of Side-Weir in Flood Control Detention Basin Considering Bed Roughness Coefficient. J. Irrig. Drain. Eng. 2016, 142, 06016011. [Google Scholar] [CrossRef]
- Hager, W.H. Lateral Outflow Over Side Weirs. J. Hydraul. Eng. 1987, 113, 491–504. [Google Scholar] [CrossRef] [Green Version]
- Bradley, J.N. Hydraulics of Bridge Waterways, 2nd ed.; Federal Highway Administration: Washington, DC, USA, 1978.
- Ji, U.; Kim, S.; Yoon, B.; Kim, S. Analytical and Experimental Investigation of a Side-Weir Detention Basin in Flood-Level Reduction in the Main Channel. J. Irrig. Drain. Eng. 2013, 139, 663–671. [Google Scholar] [CrossRef]
- Brunner, G.W.; Warner, J.C.; Wolfe, B.C.; Piper, S.S.; Marston, L. HEC-RAS, River Analysis System Applications Guide; U.S. Army Corps of Engineers, Hydrologic Engineering Center: Davis, CA, USA, 2016.
Publisher’s Note: MDPI stays neutral with regard to jurisdictional claims in published maps and institutional affiliations. |
© 2021 by the authors. Licensee MDPI, Basel, Switzerland. This article is an open access article distributed under the terms and conditions of the Creative Commons Attribution (CC BY) license (https://creativecommons.org/licenses/by/4.0/).





