Evaluation of the RF-Based Downscaled SMAP and SMOS Products Using Multi-Source Data over an Alpine Mountains Basin, Northwest China
Abstract
:1. Introduction
2. Study Area and Data
2.1. Study Area
2.2. Data
2.2.1. In Situ Soil Moisture Observations
2.2.2. Satellite Soil Moisture Data Products
2.2.3. Soil Moisture Reanalysis Products
2.2.4. MODIS Products
2.2.5. Topographic Data
3. Methods
3.1. Random Forest Downscaling Method
3.2. Triple Collocation Error Model
- Linear calibration is sufficient;
- The measurement errors are uncorrelated to each other;
- The measurement errors are constant over the range of measured values.
- 4.
- Linear calibration is sufficient;
- 5.
- The errors εi in Formula (1) have zero average and variance σi2;
- 6.
- The errors εi are uncorrelated to each other, to the common signal t, and to the calibration parameters.
3.3. TVDI
4. Results
4.1. Prediction Performance Results of the RF Method
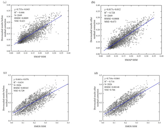
4.2. Downscaled Results Based on the RF Method
4.3. Validation with the In Situ SSM Measurements of Babaohe River Basin
4.4. Validation with the TC Model in Upstream of the Heihe River Basin
4.5. Validation with the Trend Analysis of TVDI in Upstream of the Heihe River Basin
5. Discussion
6. Conclusions
Author Contributions
Funding
Institutional Review Board Statement
Informed Consent Statement
Data Availability Statement
Acknowledgments
Conflicts of Interest
Abbreviations
| SSM | Surface soil moisture |
| RF | Random forest |
| SMAP | Soil Moisture Active Passive Mission |
| SMOS | Soil Moisture and Ocean salinity |
| TC | Triple Collocation |
| TVDI | Temperature Vegetation Dryness Index |
| RMSE | Root square error |
| AMSR-E | Advanced Microwave Scanning Radiometer |
| AMSR-2 | Advanced Microwave Scanning Radiometer-2 |
| FY | Feng Yun |
| LST | Land Surface Temerature |
| GWR | Geographically Weighted Regression |
| MODIS | Moderate-Resolution Imaging Spectroradiometer |
| OLS | Ordinary Least Square |
| HIWATER | Heihe Watershed Allied Telemetry Experimental Research |
| CLDAS CMA | Land Data Assimilation System |
| LAI | Leaf area index |
| ALB | albedo |
| ET | evapotranspiration |
| NDVI | Normalized Difference Vegetation Index |
| DEM | Digital elevation model |
References
- Chen, S.; She, D.; Zhang, L.; Guo, M.; Liu, X. Spatial downscaling methods of soil moisture based on multisource remote sensing data and its application. Water 2019, 11, 1401. [Google Scholar] [CrossRef] [Green Version]
- Mao, Y.; Crow, W.T.; Nijssen, B. Dual state/rainfall correction via soil moisture assimilation for improved streamflow simulation: Evaluation of a large-scale implementation with Soil Moisture Active Passive (SMAP) satellite data. Hydrol. Earth Syst. Sci. 2020, 24, 615–631. [Google Scholar] [CrossRef] [Green Version]
- McColl, K.A.; Alemohammad, S.H.; Akbar, R.; Konings, A.G.; Yueh, S.; Entekhabi, D. The global distribution and dynamics of surface soil moisture. Nat. Geosci. 2017, 10, 100–104. [Google Scholar] [CrossRef]
- Seneviratne, S.I.; Corti, T.; Davin, E.L.; Hirschi, M.; Jaeger, E.B.; Lehner, I.; Orlowsky, B.; Teuling, A.J. Investigating soil moisture-climate interactions in a changing climate: A review. Earth-Sci. Rev. 2010, 99, 125–161. [Google Scholar] [CrossRef]
- Luca, B.; Angelica, T.; Paolo, F.; Wouter, D.; Felix, Z.; Alexander, G.; Diego, F.P. How much water is used for irrigation? A new approach exploiting coarse resolution satellite soil moisture products. Int. J. Appl. Earth Obs. Geoinf. 2018, 73, 752–766. [Google Scholar] [CrossRef]
- Hagan, D.F.T.; Wang, G.; Liang, X.S.; Dolman, H.A.J. A time-varying causality formalism based on the liang-kleeman information flow for analyzing directed interactions in nonstationary climate systems. J. Clim. 2019, 32, 7521–7537. [Google Scholar] [CrossRef]
- Jalilvand, E.; Tajrishy, M.; Brocca, L.; Massari, C.; Ghazi Zadeh Hashemi, S.A.; Ciabatta, L. Estimating the drainage rate from surface soil moisture drydowns: Application of DfD model to in situ soil moisture data. J. Hydrol. 2018, 565, 489–501. [Google Scholar] [CrossRef]
- Kim, H.; Parinussa, R.; Konings, A.G.; Wagner, W.; Cosh, M.H.; Lakshmi, V.; Zohaib, M.; Choi, M. Global-scale assessment and combination of SMAP with ASCAT (active) and AMSR2 (passive) soil moisture products. Remote Sens. Environ. 2018, 204, 260–275. [Google Scholar] [CrossRef]
- Vogel, M.; Zscheischler, J.; Seneviratne, S. Varying soil moisture-atmosphere feedbacks explain divergent temperature extremes and precipitation projections in Central Europe. Earth Syst. Dyn. 2018, 9, 1107–1125. [Google Scholar] [CrossRef] [Green Version]
- Kim, S.; Zhang, R.; Pham, H.; Sharma, A. A review of satellite-derived soil moisture and its usage for flood estimation. Remote Sens. Earth Syst. Sci. 2019, 2, 225–246. [Google Scholar] [CrossRef]
- Tian, S.; Tregoning, P.; Renzullo, L.J.; Dijk, A.V.; Walker, J.P.; Pauwels, V.; Allgeyer, S. Improved water balance component estimates through joint assimilation of GRACE water storage and SMOS soil moisture retrievals. Water Resour. Res. 2017, 53, 1820–1840. [Google Scholar] [CrossRef]
- Dorigo, W.A.; Wagner, W.; Hohensinn, R.; Hahn, S.; Paulik, C.; Xaver, A.; Gruber, A.; Drusch, M.; Mecklenburg, S.; Vanch, M. The international soil moisture network: A data hosting facility for global in situ soil moisture measurements. Hydrol. Earth Syst. Sci. 2011, 15, 1675–1698. [Google Scholar] [CrossRef] [Green Version]
- Zreda, M.; Shuttleworth, W.J.; Zeng, X.; Zweck, C.; Desilets, D.; Franz, T.; Rosolem, R. Cosmos: The cosmic-ray soil moisture observing system. Hydrol. Earth Syst. Sci. 2012, 16, 4079–4099. [Google Scholar] [CrossRef] [Green Version]
- Gelaro, R.; Mccarty, W.; Suárez, M.J.; Todling, R.; Zhao, B. The modern-era retrospective analysis for research and applications, version 2 (MERRA-2). J. Clim. 2017, 30, 5419–5454. [Google Scholar] [CrossRef] [PubMed]
- Wigneron, J.P.; Li, X.; Frappart, F.; Fan, L.; Moisy, C. SMOS-IC data record of soil moisture and L-VOD: Historical development, applications and perspectives. Remote Sens. Environ. 2021, 254, 112–238. [Google Scholar] [CrossRef]
- Parinussa, R.M.; De Jeu, R.A.M.; Van der Schalie, R.; Crow, W.T.; Lei, F.; Holmes, T.R.H. A Quasi-Global Approach to Improve Day-Time Satellite Surface Soil Moisture Anomalies through the Land Surface Temperature Input. Climate 2016, 4, 50. [Google Scholar] [CrossRef] [Green Version]
- Zawadzki, J.; Kędzior, M. Soil moisture variability over Odra watershed: Comparison between SMOS and GLDAS data. Int. J. Appl. Earth Obs. Geoinf. 2016, 45, 110–124. [Google Scholar] [CrossRef]
- Kędzior, M.; Zawadzki, J. Comparative study of soil moisture estimations from SMOS satellite mission, GLDAS database, and cosmic-ray neutrons measurements at COSMOS station in Eastern Poland. Geoderma 2016, 283, 21–31. [Google Scholar] [CrossRef]
- Piles, M.; Sánchez, N.; Vall-Llossera, M.; Camps, A.; Martínez-Fernandez, J.; Martinez, J.; Gonzalez-Gambau, V. A downscaling approach for SMOS land observations: Evaluation of high-resolution soil moisture maps over the Iberian peninsula. IEEE J. Sel. Top. Appl. Earth Obs. Remote Sens. 2014, 7, 3845–3857. [Google Scholar] [CrossRef] [Green Version]
- Entekhabi, D.; Njoku, E.G.; O’Neill, P.E.; Kellogg, K.H.; Crow, W.T.; Edelstein, W.N.; Entin, J.K.; Goodman, S.D.; Jackson, T.J.; Johnson, J.; et al. The Soil Moisture Active Passive (SMAP) Mission. Proc. IEEE 2010, 98, 704–716. [Google Scholar] [CrossRef]
- Tagesson, T.; Horion, S.; Nieto, H.; Zaldo Fornies, V.; Mendiguren González, G.; Bulgin, C.E.; Ghent, D.; Fensholt, R. Disaggregation of SMOS soil moisture over West Africa using the Temperature and Vegetation Dryness Index based on SEVIRI land surface parameters. Remote Sens. Environ. 2018, 206, 424–441. [Google Scholar] [CrossRef] [Green Version]
- Usowicz, B.; Marczewski, W.; Usowicz, J.B.; Łukowski, M.I.; Lipiec, J. Comparison of surface soil moisture from SMOS satellite and ground measurements. Int. Agrophysics 2014, 28, 359–369. [Google Scholar] [CrossRef] [Green Version]
- Sridhar, V.; Jaksa, W.T.A.; Fang, B.; Lakshmi, V.; Hubbard, K.G.; Jin, X. Evaluating Bias-Corrected AMSR-E Soil Moisture Using In Situ Observations and Model Estimates. Vadose Zo. J. 2013, 12, 1–13. [Google Scholar] [CrossRef]
- Abbaszadeh, P.; Moradkhani, H.; Zhan, X. Downscaling SMAP Radiometer Soil Moisture Over the CONUS Using an Ensemble Learning Method. Water Resour. Res. 2019, 55, 324–344. [Google Scholar] [CrossRef] [Green Version]
- Das, N.N.; Entekhabi, D.; Dunbar, R.S.; Colliander, A.; Chen, F.; Crow, W.; Jackson, T.J.; Berg, A.; Bosch, D.D.; Caldwell, T.; et al. The SMAP mission combined active-passive soil moisture product at 9 km and 3 km spatial resolutions. Remote Sens. Environ. 2018, 211, 204–217. [Google Scholar] [CrossRef]
- Colliander, A.; Jackson, T.J.; Chan, S.K.; O’Neill, P.; Bindlish, R.; Cosh, M.H.; Caldwell, T.; Walker, J.P.; Berg, A.; McNairn, H.; et al. An assessment of the differences between spatial resolution and grid size for the SMAP enhanced soil moisture product over homogeneous sites. Remote Sens. Environ. 2018, 207, 65–70. [Google Scholar] [CrossRef]
- Parinussa, R.M.; Holmes, T.R.H.; Wanders, N.; Dorigo, W.A.; De Jeu, R.A.M. A preliminary study toward consistent soil moisture from AMSR2. J. Hydrometeorol. 2015, 16, 932–947. [Google Scholar] [CrossRef]
- Park, S.; Park, S.; Im, J.; Rhee, J.; Shin, J.; Park, J.D. Downscaling GLDAS Soil moisture data in East Asia through fusion of Multi-Sensors by optimizing modified regression trees. Water 2017, 9, 332. [Google Scholar] [CrossRef] [Green Version]
- Al-Jassar, H.K.; Rao, K.S. Monitoring of soil moisture over the Kuwait desert using remote sensing techniques. Int. J. Remote Sens. 2010, 31, 4373–4385. [Google Scholar] [CrossRef]
- Zhao, W.; Sánchez, N.; Lu, H.; Li, A. A spatial downscaling approach for the SMAP passive surface soil moisture product using random forest regression. J. Hydrol. 2018, 563, 1009–1024. [Google Scholar] [CrossRef]
- Chauhan, N.S.; Miller, S.; Ardanuy, P. Spaceborne soil moisture estimation at high resolution: A microwave-optical/IR synergistic approach. Int. J. Remote Sens. 2003, 24, 4599–4622. [Google Scholar] [CrossRef]
- Choi, M.; Hur, Y. A microwave-optical/infrared disaggregation for improving spatial representation of soil moisture using AMSR-E and MODIS products. Remote Sens. Environ. 2012, 124, 259–269. [Google Scholar] [CrossRef]
- Xu, S.; Wu, C.; Wang, L.; Gonsamo, A.; Shen, Y.; Niu, Z. A new satellite-based monthly precipitation downscaling algorithm with non-stationary relationship between precipitation and land surface characteristics. Remote Sens. Environ. 2015, 162, 119–140. [Google Scholar] [CrossRef]
- Zhan, C.; Han, J.; Hu, S.; Liu, L.; Dong, Y. Spatial Downscaling of GPM Annual and Monthly Precipitation Using Regression-Based Algorithms in a Mountainous Area. Adv. Meteorol. 2018, 2018, 1506017. [Google Scholar] [CrossRef] [Green Version]
- Brunsdon, C.; Fotheringham, A.S.; Charlton, M.E. Geographically weighted regression: A method for exploring spatial nonstationarity. Geogr. Anal. 1996, 28, 281–298. [Google Scholar] [CrossRef]
- Breiman, L. Random forests. Mach. Learn. 2001, 45, 5–32. [Google Scholar] [CrossRef] [Green Version]
- Im, J.; Park, S.; Rhee, J.; Baik, J.; Choi, M. Downscaling of AMSR-E soil moisture with MODIS products using machine learning approaches. Environ. Earth Sci. 2016, 75, 1120. [Google Scholar] [CrossRef]
- Park, S.; Im, J.; Park, S.; Rhee, J. AMSR2 soil moisture downscaling using multisensor products through machine learning approach. Int. Geosci. Remote Sens. Symp. 2015, 201, 1984–1987. [Google Scholar] [CrossRef]
- Stoffelen, A. Toward the true near-surface wind speed: Error modeling and calibration using triple collocation. J. Geophys. Res. Ocean. 1998, 103, 7755–7766. [Google Scholar] [CrossRef]
- Yuan, Q.; Xu, H.; Li, T.; Shen, H.; Zhang, L. Estimating surface soil moisture from satellite observations using a generalized regression neural network trained on sparse ground-based measurements in the continental U.S. J. Hydrol. 2020, 580, 124351. [Google Scholar] [CrossRef]
- Gruber, A.; Dorigo, W.A.; Zwieback, S.; Xaver, A.; Wagner, W. Characterizing Coarse-Scale Representativeness of in situ Soil Moisture Measurements from the International Soil Moisture Network. Vadose Zo. J. 2013, 12, vzj2012.0170. [Google Scholar] [CrossRef] [Green Version]
- Draper, C.; Reichle, R.; de Jeu, R.; Naeimi, V.; Parinussa, R.; Wagner, W. Estimating root mean square errors in remotely sensed soil moisture over continental scale domains. Remote Sens. Environ. 2013, 137, 288–298. [Google Scholar] [CrossRef] [Green Version]
- Zhang, L.; He, C.; Li, J.; Wang, Y.; Wang, Z. Comparison of IDW and Physically Based IDEW Method in Hydrological Modelling for a Large Mountainous Watershed, Northwest China. River Res. Appl. 2017, 33, 912–924. [Google Scholar] [CrossRef]
- Li, X.; Liu, S.; Ma, M.; Xiao, Q.; Liu, Q.; Jin, R.; Che, T.; Wang, W.; Qi, Y.; Li, H.; et al. HiWATER: An integrated remote sensing experiment on hydrological and ecological processes in the Heihe River Basin. Adv. Earth Sci. 2012, 27, 481–498. [Google Scholar] [CrossRef]
- Jin, R.; Li, X.; Yan, B.; Luo, W.; Li, X.; Guo, J.; Ma, M.; Kang, J.; Zhang, Y. In troduction of eco-hydrological wireless sensor network in the Heihe River BasinScience. Adv. Earth Sci. 2012, 27, 993–1005. [Google Scholar] [CrossRef]
- Li, X.; Jin, R.; Liu, S.; Ge, Y.; Xiao, Q.; Liu, Q.; Ma, M.; Ran, Y. Upscaling research in HiWATER: Progress and prospects. J. Remote Sens. 2016, 20, 921–932. [Google Scholar] [CrossRef]
- Jin, R.; Kang, J.; Li, X.; Ma, M. HiWATER: WATERNET observation dataset in the upper reaches of the Heihe River Basin in 2015 Monitoring. Natl. Tibet. Plateau Data Cent. 2016. [Google Scholar] [CrossRef]
- Entekhabi, D.; Entekhabi, D.; Yueh, S.; O’Neill, P.; Kellogg, K.; Allen, A.; Bindlish, R.; Brown, M.; Chan, S.; Colliander, A.; et al. SMAP Handbook–Soil Moisture Active Passive: Mapping Soil Moisture and Freeze/Thaw from Space; JPL Publication: Pasadena, CA, USA, 2014. [Google Scholar]
- Entekhabi, D.; Njoku, E.; O’Neill, P.; Spencer, M.; Jackson, T.; Entin, J.; Im, E.; Kellogg, K. The soil moisture active/passive mission (SMAP). Int. Geosci. Remote Sens. Symp. 2008, 3, 3–6. [Google Scholar]
- O’Neill, P.; Chan, S.; Bindlish, R.; Jackson, T.; Colliander, A.; Dunbar, S.; Chen, F.; Piepmeier, J.; Yueh, S.; Entekhabi, D.; et al. Assessment of version 4 of the SMAP passive soil moisture standard product. Int. Geosci. Remote Sens. Symp. 2017, 7, 3941–3944. [Google Scholar] [CrossRef] [Green Version]
- Kerr, Y.H.; Waldteufel, P.; Wigneron, J.P.; Martinuzzi, J.M.; Berger, M. Soil moisture retrieval from space: The soil moisture and ocean salinity (smos) mission. IEEE Trans. Geosci. Electron. 2002, 39, 1729–1735. [Google Scholar] [CrossRef]
- Dandridge, C.; Fang, B.; Lakshmi, V. Downscaling of SMAP Soil Moisture in the Lower Mekong River Basin. Water 2020, 12, 56. [Google Scholar] [CrossRef] [Green Version]
- Yishay, M.; Mariano, S. Learning with Maximum-Entropy Distributions. Mach. Learn. 2001, 45, 123–145. [Google Scholar]
- Bai, J.; Cui, Q.; Zhang, W.; Meng, L. An approach for downscaling SMAP soil moisture by combining Sentinel-1 SAR and MODIS data. Remote Sens. 2019, 11, 2736. [Google Scholar] [CrossRef] [Green Version]
- Can, R.; Kocaman, S.; Gokceoglu, C. A comprehensive assessment of XGBoost algorithm for landslide susceptibility mapping in the upper basin of Ataturk Dam, Turkey. Appl. Sci. 2021, 11, 4993. [Google Scholar] [CrossRef]
- Başağaoğlu, H.; Chakraborty, D.; Winterle, J. Reliable Evapotranspiration Predictions with a Probabilistic Machine Learning Framework. Water 2021, 13, 557. [Google Scholar] [CrossRef]
- Shapley, L.S. A value for n-person games. Contrib. Theory Games 1953, 2, 307–317. [Google Scholar]
- Lundberg, S.M.; Erion, G.; Chen, H.; DeGrave, A.; Prutkin, J.M.; Nair, B.; Katz, R.; Himmelfarb, J.; Bansal, N.; Lee, S.-I. From local explanations to global understanding with explainable AI for trees. Nat. Mach. Intell. 2020, 2, 2522–5839. [Google Scholar] [CrossRef]
- Inge, S.; Kjeld, R.; Jens, A. A simple interpretation of the surface temperature/vegetation index space for assessment of surface moisture status. J. Remote Sens. Environ. 2018, 79, 213–224. [Google Scholar] [CrossRef]
- Chen, F.; Crow, W.T.; Rajat, B.; Andreas, C.; Burgin, M.S.; Jun, A.; Aido, K. Global-scale evaluation of smap, smos and ascat soil moisture products using triple collocation. Remote Sens. Environ. 2018, 214, 1–13. [Google Scholar] [CrossRef]
- Leroux, D.J.; Kerr, Y.; Richaume, P.; Fieuzal, R. Spatial distribution and possible sources of SMOS errors at the global scale. Remote Sens. Environ. 2013, 133, 240–250. [Google Scholar] [CrossRef] [Green Version]
- Gruber, A.; Su, C.-H.; Crow, W.T.; Zwieback, S.; Dorigo, W.A.; Wagner, W. Estimating error cross-correlation in soil moisture data sets using extended collocation analysis. J. Geophys. Res. Atmos 2016, 121, 1208–1219. [Google Scholar] [CrossRef] [Green Version]
- Pierdicca, N.; Fascetti, F.; Pulvirenti, L.; Crapolicchio, R. Error characterization of soil moisture satellite products: Retrieving error cross-correlation through extended quadruple collocation. IEEE J. Sel. Top. Appl. Earth Obs. Remote Sens. 2017, 10, 4522–4530. [Google Scholar] [CrossRef]















| In Situ Points | Node ID | Longitude | Latitude | Altitude (m asl) |
|---|---|---|---|---|
| WATERNET-54 | 10 | 100.788 | 38.020 | 3484 |
| WATERNET-11 | 11 | 101.000 | 37.908 | 3449 |
| WATERNET-16 | 12 | 100.379 | 38.243 | 3766 |
| WATERNET-31 | 13 | 100.440 | 38.149 | 3462 |
| WATERNET-35 | 15 | 100.589 | 37.925 | 3767 |
| WATERNET-18 | 16 | 100.282 | 38.093 | 3792 |
| WATERNET-04 | 18 | 100.144 | 38.121 | 3458 |
| WATERNET-01 | 20 | 100.228 | 38.068 | 3538 |
| WATERNET-53 | 21 | 100.925 | 37.909 | 3526 |
| WATERNET-12 | 24 | 100.333 | 37.994 | 3813 |
| WATERNET-55 | 26 | 100.319 | 38.184 | 3045 |
| WATERNET-27 | 29 | 100.564 | 38.067 | 3414 |
| WATERNET-30 | 30 | 100.269 | 38.216 | 3091 |
| WATERNET-40 | 31 | 100.234 | 38.048 | 3656 |
| WATERNET-32 | 32 | 100.919 | 37.979 | 3580 |
| WATERNET-52 | 33 | 100.606 | 37.971 | 3335 |
| WATERNET-05 | 34 | 100.541 | 37.986 | 3356 |
| WATERNET-02 | 36 | 100.282 | 38.258 | 3818 |
| WATERNET-22 | 37 | 100.198 | 38.178 | 3050 |
| WATERNET-37 | 38 | 101.074 | 37.923 | 3744 |
| WATERNET-25 | 40 | 100.227 | 38.037 | 3846 |
| WATERNET-06 | 41 | 100.671 | 37.908 | 3635 |
| WATERNET-42 | 47 | 100.966 | 37.962 | 3515 |
| WATERNET-33 | 48 | 100.985 | 37.871 | 3661 |
| WATERNET-10 | 49 | 100.700 | 38.027 | 3478 |
| SSM | R | RMSE (m3/m3) | Bias (m3/m3) | ubRMSE |
|---|---|---|---|---|
| SMAP | 0.31 | 0.139 | –0.132 | 0.045 |
| Downscaled SMAP | 0.56 | 0.118 | –0.115 | 0.028 |
| SMOS | 0.24 | 0.207 | –0.133 | 0.158 |
| Downscaled SMOS | 0.32 | 0.108 | –0.099 | 0.047 |
Publisher’s Note: MDPI stays neutral with regard to jurisdictional claims in published maps and institutional affiliations. |
© 2021 by the authors. Licensee MDPI, Basel, Switzerland. This article is an open access article distributed under the terms and conditions of the Creative Commons Attribution (CC BY) license (https://creativecommons.org/licenses/by/4.0/).
Share and Cite
Wen, Y.; Zhao, J.; Zhu, G.; Xu, R.; Yang, J. Evaluation of the RF-Based Downscaled SMAP and SMOS Products Using Multi-Source Data over an Alpine Mountains Basin, Northwest China. Water 2021, 13, 2875. https://doi.org/10.3390/w13202875
Wen Y, Zhao J, Zhu G, Xu R, Yang J. Evaluation of the RF-Based Downscaled SMAP and SMOS Products Using Multi-Source Data over an Alpine Mountains Basin, Northwest China. Water. 2021; 13(20):2875. https://doi.org/10.3390/w13202875
Chicago/Turabian StyleWen, Yuanyuan, Jun Zhao, Guofeng Zhu, Ri Xu, and Jianxia Yang. 2021. "Evaluation of the RF-Based Downscaled SMAP and SMOS Products Using Multi-Source Data over an Alpine Mountains Basin, Northwest China" Water 13, no. 20: 2875. https://doi.org/10.3390/w13202875
APA StyleWen, Y., Zhao, J., Zhu, G., Xu, R., & Yang, J. (2021). Evaluation of the RF-Based Downscaled SMAP and SMOS Products Using Multi-Source Data over an Alpine Mountains Basin, Northwest China. Water, 13(20), 2875. https://doi.org/10.3390/w13202875

