Abstract
We measured benthic fluxes of dissolved nutrients in subtidal sediments and intertidal soils associated with river-pulse events from Mississippi River via the operation of a river diversion structure at Caernarvon, LA. Experiments measuring benthic fluxes in subtidal habitats were conducted during the early spring flood pulse (February and March) each year from 2002 to 2004, compared to benthic fluxes of intertidal habitats measured in February and March 2004. Nitrate (NO3−) uptake rates for subtidal sediments and intertidal soils depended on overlying water NO3− concentrations at near-, mid-, and far-field locations during river-pulse experiments when water temperatures were >13 °C (NO3− removal was limited below this temperature threshold). NO3− loading to upper Breton Sound was estimated for nine river-pulse events (January, February, and March in 2002, 2003, and 2004) and compared to NO3− removal estimated by the subtidal and intertidal habitats based on connectivity, area, and flux rates as a function of NO3− concentration and water temperature. Most NO3− removal was accomplished by intertidal habitats compared to subtidal habitats with the total NO3− reduction ranging from 8% to 31%, depending on water temperature and diversion discharge rates. River diversion operations have important ecosystem design considerations to reduce the negative effects of eutrophication in downstream coastal waters.
1. Introduction
Diverting freshwater from the Mississippi River into adjacent coastal wetlands and estuaries is one approach to the comprehensive restoration plan being implemented in coastal Louisiana to reduce delta degradation [1,2]. The concept of reconnecting the river to its floodplain as a means of restoring wetlands is rooted in the river-pulse concept of enhancing biological productivity and maintaining diversity in a river-floodplain ecosystem [3,4,5,6]. This idea evolved from the river continuum concept [7], which describes the development of the structure and function of biotic communities along a longitudinal gradient in dynamic equilibrium with the physical environment [8]. The pulsing water-flow regime from river diversions supplies coastal wetlands with freshwater, sediments, and nutrients, enhancing productivity, vertical sediment accretion, and marsh stability [6,9,10,11,12]. The first major freshwater diversion to begin operation in 1991 along the lower Mississippi is located at Caernarvon, LA, about 32 km south of New Orleans. The Caernarvon diversion structure is designed with a maximum pulse of 227 m3/s and impacts the wetlands of the upper Breton Sound Estuary [13]. The largest sediment diversion project being designed for the mid-Barataria coastal basin is rated at 2124 m3/s, which will be one of the largest river diversion projects in the country. These diversions are part of a comprehensive approach to utilize the river-pulse of the Mississippi River to reduce wetland losses in Mississippi River Delta [14].
The increased use of diversion structures to deliver controlled river-pulses from the Mississippi River to nourish coastal wetlands has also caused concern about the water quality standards of downstream coastal basins [15,16]. The effects of nutrient loading from a river river-pulse on the eutrophication of coastal bays and estuaries in the northern Gulf of Mexico have increased over the past several decades [17]. Nitrogen is most often the limiting nutrient for primary productivity in estuarine and coastal waters, and nitrate-nitrogen (NO3−) concentrations in the Mississippi River have more than doubled over the last few decades since the 1950s [18,19,20]. Increases in NO3− concentrations in the Mississippi River are due to the increasing use of nitrogen fertilizer for agricultural lands in the river basin, and increased nitrogen loading has exacerbated the incidence and severity of hypoxic water formation in Louisiana’s coastal waters [21]. In addition to hypoxia, loading of dissolved nitrogen and phosphorous to estuaries can stimulate harmful algal blooms that may harm oysters, alter food web structure, or cause fish kills [17]. There is concern that those freshwater pulses from river diversions may result in the eutrophication of estuarine waters, causing water quality problems in coastal basins that are intended to benefit from wetland restoration [12,22,23].
Biogeochemical transformations in subtidal sediments and intertidal soils can control the fate of nutrients introduced to coastal basins during freshwater pulses [6,12,22,23]. These transformations result not only in changes in the chemical forms of river nutrients introduced to coastal basins, but also affect the mass balance or loading of nutrients to any particular region of the system. The import and export of inorganic and organic matter, water column-sediment exchange, plant uptake, and the removal of nutrients from a coastal basin via immobilization or losses of nutrients to the atmosphere control the water quality conditions of downstream estuarine ecosystems in response to upstream riverine inputs (Figure 1). Subtidal sediments in channels are the primary source of contact with riverine waters during river-pulse events, although this nutrient exchange is restricted to the bottom of the water column. Intertidal wetlands are natural sinks for nutrients, particularly NO3− nitrogen, because of high rates of denitrification resulting from reduced soil conditions. Yet, the percent time that the wetland is inundated controls the contribution of this process to removing nutrients from river waters introduced to coastal basins [24,25,26,27,28,29]. Thus, the routing of river water among subtidal and intertidal habitats during a diversion-pulse event will control the fate of nutrients from upstream tidal freshwater to downstream estuarine ecosystems [13,25,30].
Figure 1.
Schematic that describes the role of benthic fluxes as potential sinks of nitrogen in Breton Sound as influenced by both subtidal sediments and intertidal wetlands by burial and denitrification. (B = biogenic nutrients; I = Inorganic nutrients; G = gaseous nutrients; S = nutrient sequestration).
There are very distinct differences in water flow characteristics of river-pulse waters if routed along channels and bays of the outfall region compared to connectivity of waters to intertidal wetland platforms. River-pulse events typically have flows within the channels that have a high Reynolds number and are described as turbulent, consisting of many overlaying eddies that arise from the velocity of water combined with minute topographical effects [31]. When water levels reach a stage that allows overbank flows into wetland platforms, flows are often reduced but can still be turbulent depending on velocity and topographical effects of the wetland surface and vegetation [31,32]. The relative thickness of the boundary layer at the sediment-water interface controls benthic fluxes in subtidal vs intertidal habitats, as indicated by the Reynolds number across these habitats. The velocity and depth of diverted water during a river-pulse event over subtidal and intertidal habitats also establish very distinct water temperature gradients in the two environments, which can control the biogeochemical transformations that occur at the sediment-water interface in both habitats. For example, the connectivity of channel and floodplain environments in the Wax Lake Delta have demonstrated that water residence time in coastal deltaic floodplains can increase water temperatures of channel water flowing into wetland platforms [24]. This connectivity can have significant control on the fate of NO3− transported across delta landscapes [33,34]. The connectivity of subtidal and intertidal habitats may determine how nutrients are processed in the outfall area of coastal basins and thus determine their vulnerability to potential eutrophication during river-pulse events.
The connectivity of subtidal and intertidal habitats during river-pulse events during diversion operations decrease with increasing distance from the diversion structure. In the outfall region of the Caernarvon diversion structure, sediment deposition rates were highest within 6 km of the diversion and were substantially lower at >10 km from the diversion [6,13]. There was also a general pattern that sediment deposition rates were higher at the marsh edge, or fringe, than at the interior. Porewater salinities of intertidal wetlands increased with distance from the diversion from 0 to 2.0 g/kg in near- and mid-field sites compared to 1.5–10 g/kg at far-field sites. Porewater concentrations of ammonium (NH4+) and soluble reactive phosphorus (SRP) in intertidal wetlands decrease with increased distance from the diversion structure ranging from 98.9 μM at near-field sites to 10.8 μM at far-field locations [6]. Mean annual SRP concentrations showed the same general pattern as NH4+, ranging from 6.6 μM to 1.2 μM at near-field and far-field locations, respectively. These decreasing concentrations of suspended sediment and surface water and porewater nutrients with increasing distance from the diversion in the upper Breton Sound indicate that biogeochemical processes shift with distance downstream from diversion structure. We established a field experiment to determine factors controlling rates of nutrient exchange across sediment-water interface in subtidal and intertidal habitats to determine their contribution to the patterns of nutrient distribution in the upper outfall regions of a diversion during river-pulse events. Total input and removal rates of NO3− were estimated for nine river-pulse events for the upper Breton Sound region to compare with system level estimates of NO3− removal efficiencies to provide insights concerning how best to operate diversions to reduce nitrogen loading to downstream estuarine ecosystems.
2. Materials and Methods
2.1. Study Site
Breton Sound Estuary (Figure 2), located on the Mississippi Deltaic Plain in southeast Louisiana, consists of 1100 km2 of fresh, intermediate, brackish, and saline wetlands [26]. The estuary is hydrologically bounded to the west by the levee along the Mississippi River, to the north by the natural levees of Bayou La Loutre, and to the east by the spoil banks of the Mississippi River Gulf Outlet navigation canal. The Caernarvon freshwater diversion (Figure 2), located on the east bank of the Mississippi River near Caernarvon, LA, delivers water from the Mississippi River into the upper part of Breton Sound when gates are open to hydraulic flow [13]. The Caernarvon diversion was completed in 1991, representing the first major river diversion designed to control salinity distributions as a means of coastal restoration along the lower Mississippi River Delta. The diversion structure consists of five box culverts with vertical lift gates, and the entire structure has the capability of diverting 226 m3/s of water. Typically, the marshes in the upper part of Breton Sound are flooded by a diversion flow rate of around 115 m3/s [13]. Big Mar was constructed as a settling basin for the diversion and is an upstream reference station of freshwater and sediments from the Mississippi River that flow through the river diversion structure. The upper part of the estuary consists of fresh marshes dominated by Sagittaria lancifolia and Eleocharis spp., and the mid-estuary is composed of mesohaline wiregrass communities typically dominated by Spartina patens. Wetlands in the lower part of the estuary are characterized by polyhaline oystergrass communities dominated by Spartina alterniflora and Juncus roemerianus [35].
Figure 2.
Location of stations used to measure benthic fluxes in subtidal and marsh environments. Subtidal benthic stations (●) are located in Big Mar, Lake Leary (west and east), and Grand Lake. Marsh fluxes include both flumes (▪) and chambers (▲) located at Big Mar, at the Delacroix Camp, and downstream at Spanish Lake (core fluxes only). Shaded area is the outfall region of upper Breton Sound that was distributed among near-, mid-, and far-field zones.
This study established specific operating schedules of the Caernarvon river diversion structure with the Louisiana Department of Natural Resources to coincide with field measurements to test the fate of nutrients delivered by freshwater river-pulse events to the outfall area in the upper Breton Sound [6,36]. These operational schedules are referred to as river-pulse experiments and include three high-flow (>112 m3/s) events in the early spring (January, February and March) each year from 2002 to 2004. The effects of these controlled experimental river-pulses were carefully monitored and examined during February and March of each year for a wide array of physical, biogeochemical, and ecological parameters of water and subtidal and intertidal habitats [6,13,36]. We report sediment-water fluxes in subtidal and intertidal habitats during selected river-pulse events to examine the spatial and temporal patterns of potential nutrient fluxes as Mississippi River flows into the outfall area of a coastal basin. Results of these fluxes allowed us to specifically analyze the conditions promoting the removal of NO3− from diverted waters in the outfall region under different operational features of a river diversion.
2.2. Subtidal Benthic Fluxes
Sediment cores with 15 cm diameter were taken seasonally at five locations with increasing distance from Big Mar, including one near field (NF) site (in Big Mar, NF-1), two mid-field (MF) sites (west (MF-1) and east (MF-2) areas of Lake Leary), and two far-field (FF) sites (one at Grand Lake (FF-1) and the other at Little Lake (FF-2)) (Figure 2). Three field campaigns were conducted sampling subtidal sediment cores from each of five locations with subsequent incubations in the laboratory during freshwater pulse events in February and March 2002, 2003, and 2004. Benthic nutrient exchange rates were estimated using a continuous flow system [25,37,38]. The setup for all ambient experiments was similar (Figure 3d), using 18 individual cores incubated in a continuous flow of overlying filtered water (0.1 µm) from the respective subtidal sites (Table 1). Dissolved oxygen and inorganic nutrients of the overlying water in each core was sampled several times at time intervals equivalent to a complete turnover of water in each core after reaching equilibrium [25]. Exchange rate calculations are based on concentration differences between the influent and effluent lines and corrected for a control core with filtered water and no sediment.
Figure 3.
(a) Top view photos of marsh flux chambers used to measure intertidal benthic fluxes. (b) Full view of three chambers, with cores mounted, placed in large cooling tanks for incubation. (c) The marsh flume design to study nutrient exchange. (d) Schematic of the flow-through system used to measure subtidal benthic flux of nutrients in Breton Sound (after [38]).
Table 1.
Physical and chemical characteristics of ambient overlying water in the five stations studied during six pulse experiments.
Besides these ambient benthic fluxes at five fixed subtidal stations, manipulations were performed on selected cores from field sites to test the response of nutrient fluxes with a combination of manipulations. One manipulation measured benthic fluxes from NF-1 (Big Mar) and FF-1 (Grand Lake) incubated with ambient water amended with enriched NO3− concentration in the overlying water. Three manipulations at NF-1 included ambient NO3− concentration (40 µM) and two nitrate enrichments of 100 and 155 µM. Three manipulations at the FF-1 site included ambient NO3− concentration (0.2 µM) and two NO3− enrichments of 27 µM and 166 µM. In another manipulation, benthic fluxes were measured at MF-2 (Lake Leary) with ambient water (0.2 µM NO3−) enriched with 38, 93, 131, and 148 µM NO3−. Finally, the far-field site at Grand Lake (FF-1) was manipulated by comparing fluxes at ambient NO3− concentrations compared to fluxes when water from Big Mar (near-field site) was added to simulate ambient NO3− concentrations of a river-pulse. These latter manipulations were performed during each river-pulse event in February and March in 2003 and 2004. The ambient and manipulated concentrations of NO3− included increases from 24 to 53 µM in February 2003, 37-102 µM in March 2003, 10–54 µM in February 2004, and 0.4–110 µM NO3− in March 2004 (Table 1). Finally, experiments using ambient filtered water were performed on all five subtidal sites in July 2002 to test for effects of warmer water temperature conditions on benthic fluxes.
2.3. Intertidal Benthic Fluxes
2.3.1. Flux Chambers
Intertidal benthic fluxes were measured using a modification of the batch sediment core incubation method [39,40]. Flux chambers were designed to measure intertidal benthic fluxes using intact sediment cores sampled from three sites at increasing distance from the river diversion. A near-field (NF) site was established 1 km from the diversion at Big Mar along Manuel Canal, a mid-field (MF) location 5 km along Manual Canal, and a far-field (FF) location 10 km downstream at Spanish Lake (Figure 2). Spatial differences in intertidal benthic fluxes between the fringe (<10 m from channel) and interior (>50 m from channel) zones were also examined at the NF and FF sites for a total of five sites of intertidal habitat tested. Three 20-cm diameter cores were extracted from each site with intact soil-plant material to examine nutrient exchanges between the soil surface and the overlying water. The three intact cores from each of five sites were transported to a field station near the MF location. The three cores from each site on each day were mounted into one plexiglass incubation sampling chamber, and each chamber was considered an experimental (sampling) unit (Figure 3a,b). The sampling and incubation protocols were repeated for three days and were considered replicates.
The marsh incubation chambers were placed in large (200 L) tubs that contained ambient water from a nearby channel circulating to control water temperature to near ambient levels. Ambient river water (20 L) collected from the outfall channel near the river diversion structure was gently added to each chamber and circulated with small circulation pumps during incubation. An additional marsh-flux chamber, with no cores attached, was filled with 20 L of ambient water and used as a water-column control. Water samples (200 mL) were collected from each chamber at the start of the incubation, and at 1.5 h intervals for a 6-h incubation period. Benthic fluxes of dissolved nitrogen (NH4+, NO3−, NO2−, dissolved organic nitrogen (DON)) and dissolved phosphorus (soluble reactive phosphorus (SRP) and dissolved organic phosphorus (3.4)) were measured at each intertidal site during two river-pulse events in February and March 2004.
2.3.2. Flumes
We modified a flume approach [41,42,43] to test benthic nutrient fluxes at more ambient conditions of sheet-flow across intertidal habitats. The flume design represents an upstream-downstream mesocosm that tracts change in nutrient concentration in sheet-flow over the marsh surface at the soil-water interface [44]. Parallel flume walls were constructed by connecting corrugated plastic panels (1.4 m wide by 2.5 m long) to produce flume structures (Figure 3c). The flume walls were 4 m apart, and the entire length of each flume was 100 m. Flumes were constructed at two sites in upper Breton Sound Estuary including a near-field (NF) flume 3.0 km downstream (29°49′18.07″ N, 89°54′18.35″ W) and a flume 7.7 km downstream (29°46′58.86″ N, 89°56′3.63″ W) from the Caernarvon diversion outfall canal. The MF flume was only functional during the March 2004 river-pulse event. Individual samples were collected at upstream and downstream points simultaneously every 2 h for the duration of the sampling period. Samples were collected 10 cm above the soil surface using an automatic water sampler (ISCO 3700 Full-Size Portable Sampler, Teledyne, Thousand Oaks, CA, USA). Flow data were recorded continuously throughout the river-pulse events with a SonTek Argonaut ADV located 3 m north of the downstream point of each flume. Each flow meter was placed 10 cm above the soil surface to measure flow mid-depth of the water column. Two YSI 600XLM data sondes were placed outside each of the two flume sites near the upstream and downstream locations to measure water levels, specific conductivity, and water temperature.
2.4. Landscape Nutrient Surveys
Two types of landscape survey were conducted to measure water quality of sheet-flow over intertidal wetlands during river-pulse events from Big Mar south to Oak River (Figure 2). A 1200-m water quality transect was established 180.6 degrees south from the NF flume by sampling approximately 75 m apart using an airboat during the March 2004 river-pulse. Water samples at about mid-depth of the sheet-flow over the marsh surface was sampled for NO3− concentration, water temperature, conductivity, pH, SRP, and NH4+. A second survey was established, sampling sheet-flow exiting the marsh surface along a canal transect from 29°47.58.47 N, 89°57.17.77 W to 29°47.5.25 N, 89°56.19.85 W, a distance of approximately 2.4 km with four sampling stations equally distanced 600 m apart during the March 2004 river-pulse event. Measurements included NO3− concentrations at each location.
2.5. Analytical Techniques
2.5.1. Sediment Samples
Three 10-cm diameter soil cores were collected at each intertidal wetland site to a depth of 10 cm in March 2004. The cores were weighed before and after drying at 60 °C to constant weight to estimate soil bulk density. Dried cores were ground with a Wiley Mill, homogenized, and used to measure total soil carbon and nitrogen with an Elemental Analyzer NA2500 using standard protocols. C:N ratios were calculated for each site and location.
2.5.2. Water Samples
Water samples collected during the subtidal benthic experiments were filtered through GF/C filters and analyzed for nutrients using standard colorimetric techniques [45,46] on a Lachat Instruments Quickchem FIA+ 8000 Series Automated Ion Analyzer. Samples collected during the intertidal chamber-flux experiments were processed as follows: two unfiltered 60-mL samples were analyzed for total nitrogen (TN) and total phosphorus (TP). Water samples were filtered using 0.4-µm glass fiber filters and frozen immediately after processing. Each water sample was analyzed for Si, NH4, NO2, NO3−, SRP, total dissolved nitrogen (TDN), and total dissolved phosphorus (TDP) based on methods described for subtidal experiments. Dissolved inorganic nitrogen (DIN) was calculated summing the concentrations of NH4, NO2, and NO3−. The same techniques were used to analyze chemical constituents for water samples collected during the intertidal flume experiments.
2.6. Statistical Analyses
2.6.1. Subtidal Benthic Fluxes
Repeated measures analysis of variance (ANOVA) was used to test the difference in nutrients and dissolved O2 fluxes among experimental sites in each of the river-pulse events. We used repeated measures for the three repeated sampling events of an individual core over time to confirm that each core achieved a steady state (no significant difference over time in each core) during the sampling period [25,38]. Site and pulse-event differences were tested using one-way ANOVA by treating the results from the five experimental sites and two pulse events by year as a whole. Significant differences were also tested on the interaction between pulse-events nested in zones (near-, mid- and far-field sites) using ANOVA. When differences were significant at a 95% confidence level, Tukey’s HSD post hoc test was used to perform all pairwise comparisons and letters designated significant differences (p = 0.05). Data analyses were performed using JMP software. Benthic fluxes were presented as means with error bars of standard error (SE).
2.6.2. Intertidal Benthic Fluxes
Potential nutrient fluxes were estimated by calculating the slope in regression analysis of concentration versus time of incubation. Non-significant regressions based on changes over time that were less than the analytical variability (defined as 0.2 μM) was interpreted as net zero fluxes. The slope in the water-column control chamber was subtracted from the slope in each marsh-flux chamber, and this volumetric flux was converted to an area flux using the measured volume: area ratio of each chamber. Statistical software SAS was used for all regression analysis, the determination of fluxes, and ANOVA to evaluate the flux data [47,48]. The assumption of normality was tested using normal probability plots, and all data were normally distributed. Bulk density, total carbon, total nitrogen, and C:N ratios were tested for differences among sites. Spatial and temporal differences in flux rates were tested among the five sites (NF, MF, and FF locations with fringe and interior locations at NF and FF and only interior at MF). Untransformed means ± standard error (SE) are reported for all comparisons in this study.
2.6.3. Intertidal Flume Fluxes
A Wilcoxon test for two paired values coupled with a Monte Carlo exact test was used to determine that upstream and downstream nutrient concentrations within a flume were not significantly different. These two tests were also used to determine if upstream concentrations between sites for a specific flume treatment were significantly different. The Wilcoxon test was chosen as a non-parametric substitute for t-tests since the concentration data were not normally distributed. Results of the intertidal flume were included since nutrient concentrations from the NF compared to MF flumes help to define landscape patterns concerning the fate of nutrients during river-pulse events.
2.7. System Analyses
We used several guidelines on how water is routed through channels and wetlands along with factors that control rates of NO3− removal by subtidal sediments and intertidal soils to estimate NO3− removal rates during the river-pulse experiments. The first consideration in developing removal estimates for the nine pulses analyzed was to estimate the relative areas of near-field, mid-field, and far-field regions of the outfall area for both subtidal and intertidal habitats (Table 2). Information obtained from [13] was used to apply channel and intertidal areas within 6 km and 10 km from the Caernarvon diversion structure to estimate near-field and mid-field regions, respectively. The far-field region extended down to Spanish, Grand, and Little Lake regions along the route of the Oak River as a west boundary over to Bayou Aux Beouf as an east boundary. We used an estimated area of 33,288 ha for the total outfall area that was distributed between 6593 ha of subtidal habitats and 26,695 ha of intertidal habitats. The near- and far-field subtidal habitats were 12–18% of the total area (752 and 2517 ha, respectively), dominated by Big Mar and Lake Leary. The far-field area of subtidal habitat increased in proportion to this outfall zone to 24% (2517 ha) with the inclusion of Spanish Lake, Grand Lake, and Little Lake. However, 80% of the outfall area was dominated by intertidal habitat and thus presented significant potential for processing NO3− removal.
Table 2.
The distribution of subtidal and intertidal areas in the near-field, mid-field and far-field outfall region impacted by water from river input discharged from the Caernarvon diversion when operating (degree of exchange based upon estimates of 6 and 10 km radius from diversion structure from evidence in [13].
Water is routed through two major channel pathways from the Caernarvon diversion channel with about 50% of the water flowing east along Bayou Mandeville to Lake Leary and then flowing through Bayou Terra aux Boeuf to Grand Lake and Little Lake. In comparison, about 20% of the diversion discharge flows west along Manuel’s Canal to Oak River down to Spanish Lake [13,26]. Thus about 70% of the NO3− transported by diversion discharge comes in contact with subtidal benthic habitats across these eastern and western routes. About 30% of the diversion discharge flows over channel banks to become wetland sheet-flow (residual flow in [13]) and is in contact with intertidal benthic habitats, which is obviously required for NO3− removal to occur. These percentages of flow across the upper Breton Sound outfall area are general estimates and depend on the discharge flow at the diversion structure relative to water levels downstream at the far-field coastal boundary. The relative water levels at the coastal boundary relative to the discharge at the Caernarvon diversion is particularly important in determining how NO3− is routed over intertidal habitats relative to water staying in channels [13]. If diversion discharge is <100 m3/s, nearly 99% of the flow remains in channels flowing east and west from upper to lower Breton Sound. If diversion discharge reaches 115 m3/s, near-field intertidal habitats will be inundated with water from the diversion, and at 145 m/s discharge, mid-field intertidal habitats will be flooded with river water from the diversion [13]. Based on water behavior during 2002 and 2003 pulse events, the far-field intertidal habitats were not considered to be flooded by water from diversion operations, and thus not included in these estimates of NO3− removal in upper Breton Sound.
3. Results
3.1. Experimental Field Conditions
3.1.1. Water Column
The physical and chemical characteristics of channel and bay waters have similar patterns from near field to far field locations in the February and March river-pulse experiments in each of the three years (Table 1). Water temperatures are colder in the near field stations near Big Mar ranging from 7.6 to 13.1 °C compared to 12.0 to 21.9 °C in the far field stations. Water in the mid field stations had the greatest range from 8.4 to 21.5 °C. Water conductivity indicates how much of these changes may be related to mixing with higher salinity water in lower Breton Sound as the near field station ranged from 264 to 473 µS/cm compared to the higher value of 1605 µS/cm at FF-2 in March 2004. Conductivity at the far field stations reflects the strength of the freshwater pulse downstream, with values ranging from 393 µS/cm and 264 µS/cm in March 2003 and February 2004 river-pulse events. The mid-field stations in all the river-pulse events had conductivity values similar to near field stations.
NO3− concentrations in overlying water of the intertidal soil experiments ranged from 53.2 to 109.8 µM in the near field station, indicating the level of nitrogen loading into Breton Sound from the river with higher values during the March river-pulses in 2003 and 2004 (Table 3). Concentrations in the mid field stations were less, ranging from 54.1 to 95.7 µM compared to 0.4 to 36.8 µM in FF-1. FF-2 station in Little Lake presented very different NO3− concentrations, with a range from 51.4 to 109.8 µM, some of which can be associated with lower conductivity values. Dissolved oxygen, NH4, and SRP had no clear patterns in concentration with distance downfield from the diversion structure among river-pulse events (Table 1).
Table 3.
Physical and chemical characteristics of the ambient overlying water in the two pulse experiments that subtidal and intertidal cores were incubated to measure benthic fluxes.
Water quality characteristics at subtidal compared to intertidal stations during the river-pulse events in February and March 2004 demonstrate distinct differences when water from channels become sheet-flow onto wetland platforms (Table 1, Table 3 and Table 4). Surface water conductivity at the NF flume averaged 360 µS/cm during February pulse compared to 490 µS/cm during the March pulse and to 780 µS/cm in the MF flume during the March pulse (Table 4). Water temperatures in NF flumes ranged from 11.3 to 15 °C compared to 20.8 °C at the MF flume. Mean water temperatures at NF flume during the March river-pulse was 3.7° C higher (15.0 °C) than during the February pulse. NO3− concentrations in the NF intertidal flume in February and March 2004 are similar to the values observed in the subtidal core experiments at about 55 and 100 µM, respectively. However, NO3− concentrations in the MF flume in March was only 0.20 µM, one of the lowest concentrations in overlying water observed in any of the subtidal or intertidal habitats in near-, mid-, or far-field stations.
Table 4.
Parameters in the Near-field and Mid-field flumes during the February and March pulses.
The physical characteristics of surface water flow at the intertidal flumes also demonstrate distinct differences in near- and mid-field conditions during river-pulse events in February and March 2004 (Table 4). Water depth was about 0.3 m in both river-pulse experiments. Surface water flow in the near-field reference flume was higher at 3.03 cm/s in the February experiment compared to 2.33 cm/s in March 2004. Flow in the MF flume was only 0.22 cm/s in March 2004, much less than the NF flume. Water residence time in the NF flume was 0.92 h and 1.22 h in February and March river-pulse events, respectively. In contrast, water residence time in the MF flume was 19.7 h in March 2004 (Table 4). The Reynolds number indicated turbulent conditions at the sediment-water interface in the NF flume in both February and March events (6627 and 7847, respectively), but was laminar in the MF flume (601).
3.1.2. Sediments
Bulk density in the top 5 cm of soil differed significantly among the intertidal wetland sites, with greater values in near-field fringe and interior sites to lower values in the mid- and far-field sites (Table 5). Bulk density was greatest at the near-field fringe site (0.429 g/cm3), and lowest at the far-field fringe site (0.136 g/cm3). Soil bulk density was significantly lower at the near-field and far-field interior sites than at the respective fringe sites. Generally, bulk density decreased from the near-field to the far-field site, and from the fringe to the interior marsh zones.
Table 5.
Physical and chemical characteristics of sediments used in subtidal and intertidal cores to measure benthic fluxes.
Total carbon concentration (Table 5) was lowest at the near-field fringe site (85.8 mg/g), and greatest at the far-field fringe site (351.8 mg/g). There was no significant difference between the midfield interior site and the far-field interior site. The spatial pattern of total soil carbon concentration was the inverse of the pattern for bulk density at these five sites, reflecting the increasing importance of organic material deposition versus mineral sediment deposition with increased distance from the river diversion. Total soil nitrogen concentration of the top 5 cm (Table 5) followed a similar pattern as total soil carbon for these five sites, with the lowest concentration at the near-field interior site (7.4 mg/g) and the highest concentration at the mid-field interior site (24.7 mg/g). Carbon to nitrogen ratios (C:N) in the top 5 cm of soil were less at the near-field fringe site (11.1) and increased to 16 with distance from river diversion.
3.2. Subtidal Benthic Fluxes
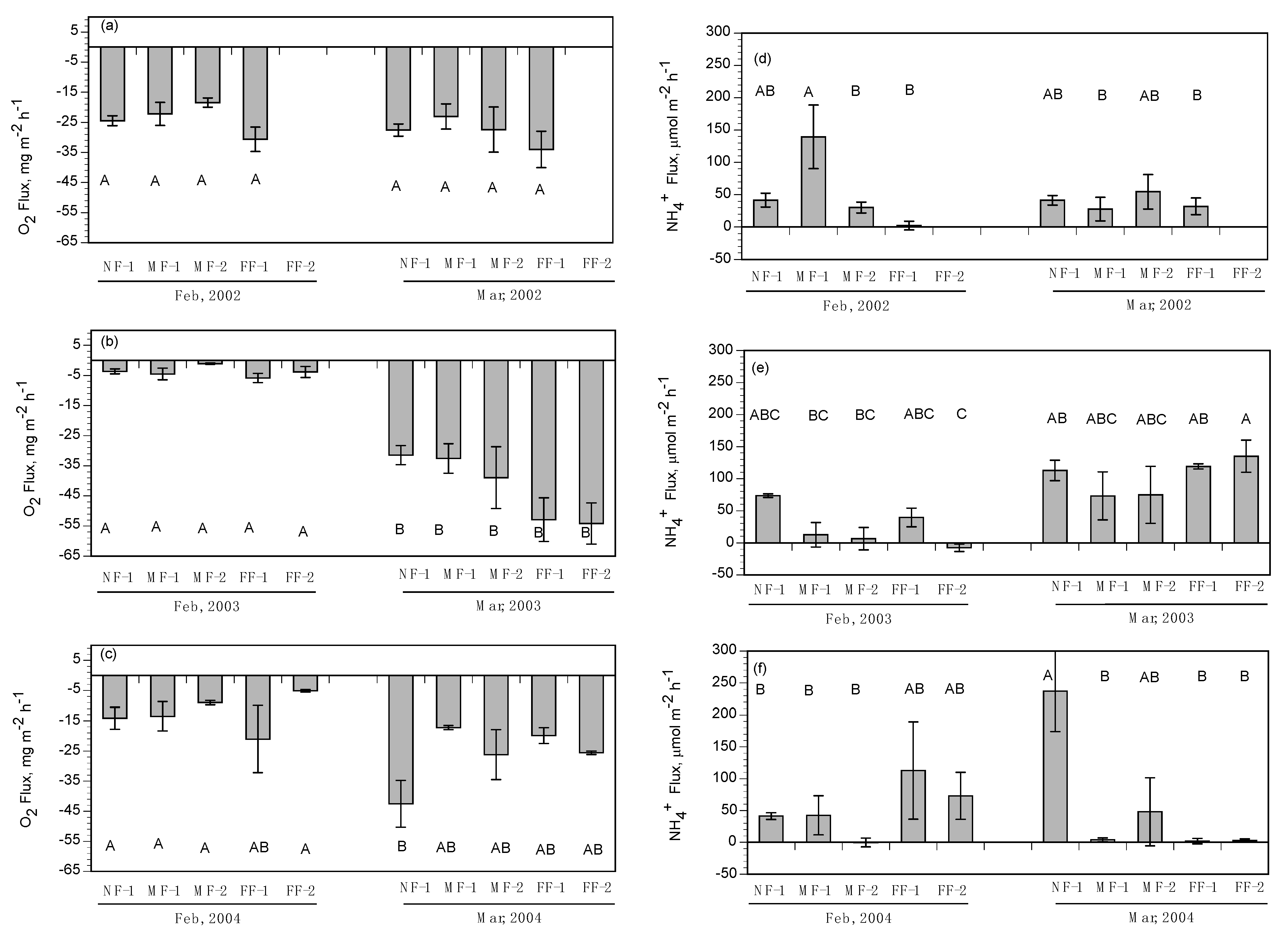
Patterns in benthic dissolved O2 consumption were distinct among the six river-pulse experiments and differed among the near-, mid-, and far-field subtidal stations during any one pulse event (Figure 4a–c). Dissolved O2 fluxes in the subtidal cores were lowest during the February 2003 river-pulse event at values generally <−5 mg m−2 h−1 from near-field to far-field distances from the diversion structure compared to about −15 mg m−2 h−1 at all sites during February 2004 and about −25 mg m−2 h−1 among subtidal sites in February 2002, March 2002, and March 2004 river-pulse experiments. Both the February and March 2002 fluxes of dissolved O2 were similar during both pulsed events (Figure 4a). Benthic dissolved O2 consumption exhibited more spatial variation among the near-, mid-, and far-field stations from the river diversion in both the March 2003 and 2004 experiments (Figure 4b,c). The most significant spatial differences were in March 2003 with a gradual increase from −35 mg m−2 h−1 to −55 mg m−2 h−1 in dissolved O2 consumption with increased distance from the river diversion (Figure 4b). Fluxes of dissolved O2 during the Marsh 2004 pulse event also varied across stations from −15 to −38 mg m−2 h−1 but with no clear pattern with distance from the river diversion (Figure 4c).
Figure 4.
Subtidal benthic fluxes of dissolved oxygen (O2, a–c) and ammonium (NH4+, d–f) at five stations in Breton Sound during spring diversion pulses (February and March) in 2002 (a,d), 2003 (b,e), and 2004 (c,f). (NF = Near-field, MF = Mid-field, FF = Far-field).
NH4+ benthic fluxes at most stations and among river-pulse events were <50 µmol m−2 h−1, with no clear pattern in terms of distance from the river diversion (Figure 4d–f). The exception was during March 2003 river-pulse experiment when NH4+ benthic fluxes from sediment were >75 µmol m−2 h−1 (Figure 4e) and about 50 µmol m−2 h−1 during February 2004 pulse (Figure 4f). The most significant spatial variation in NH4+ benthic fluxes occurred in the March 2004 river-pulse, with the greatest rates near the river diversion at 200 µmol m−2 h−1, but rates were <50 µmol m−2 h−1 at the other subtidal stations during this experiment (Figure 4f).
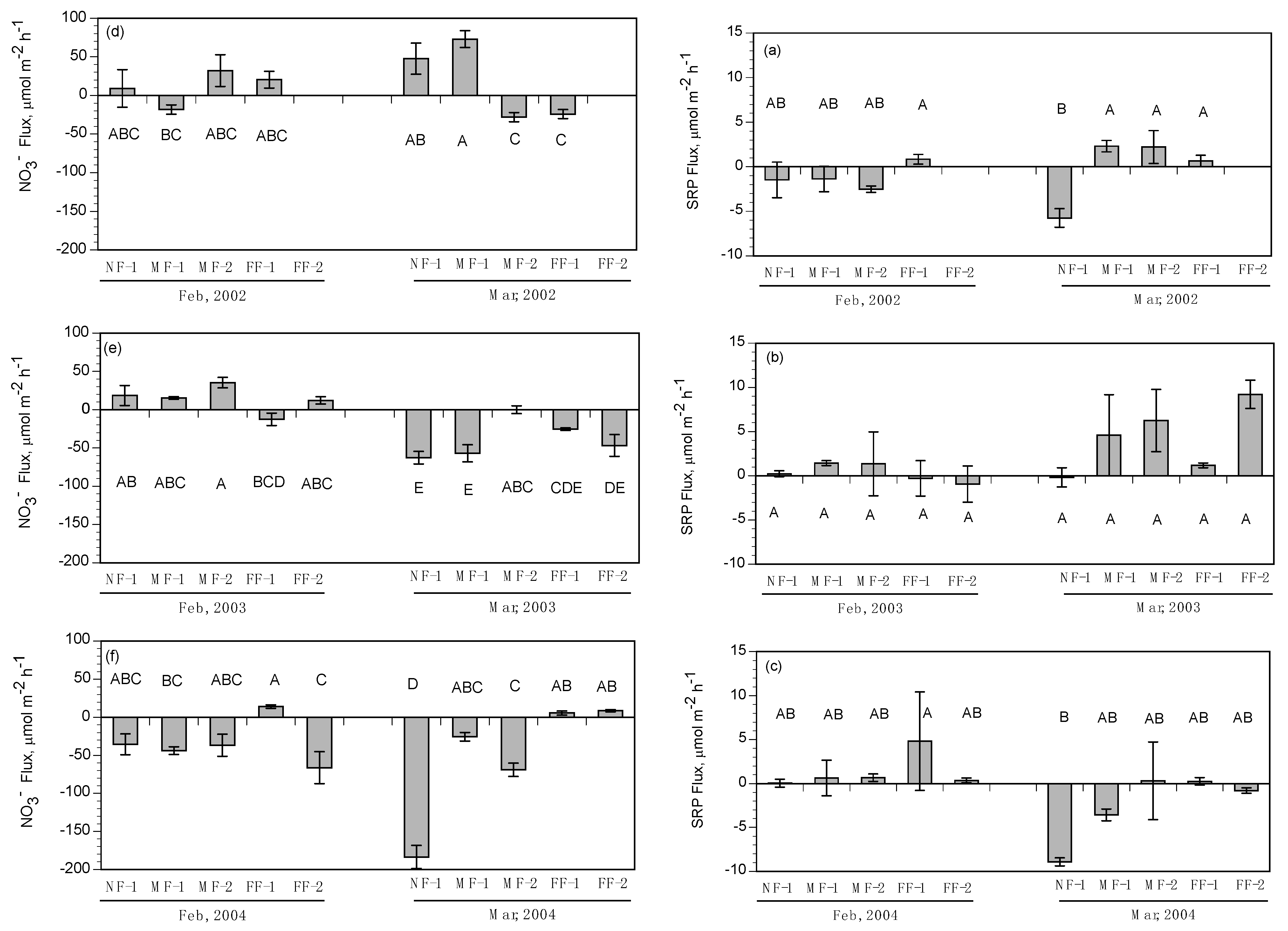
Benthic SRP fluxes were both positive and negative and nearly all rates were <5 µmol m−2 h−1 in both directions for February 2002, March 2002, February 2003, and February 2004 river-pulse experiments (Figure 5a–c). Among these pulsed events, negative SRP fluxes were significant at NF-1 in March 2002 compared to release at FF-1 in February 2004. Benthic SRP fluxes in the March 2003 river-pulse event were clearly distinct from the other experiments with rates >5 µmol m−2 h−1 at MF−1, MF−2, and nearly 10 µmol m−2 h−1 at FF-2 (Figure 5b). The other distinct SRP flux was observed at NF-1 during the March 2004 river-pulse experiment, which is also the station and experiment that had the highest inorganic nitrogen fluxes noted above (Figure 5c).
Figure 5.
Subtidal benthic fluxes of soluble reactive phosphorus (SRP, a–c) and nitrate (NO3−, d–f) at five stations in Breton Sound during spring diversion pulses (February and March) in 2002 (a,b), 2003 (b,e), and 2004 (c,f). (NF = Near-field, MF = Mid-field, FF = Far-field).
Benthic NO3− fluxes were both positive (sediment release) and negative (sediment uptake) among the near-, mid-, and far-field sites in the six river-pulse experiments (Figure 5d–f). Rates were lower in February 2002, March 2002, and February 2003 with sediment release about 25 µmol m−2 h−1 and sediment uptake about −25 µmol m−2 h−1 (Figure 5d–f). Rates were higher and nearly all NO3− removal in March 2003 and February 2004, but with no clear pattern among near-, mid-, and far-field stations (Figure 5e–f), since nearly all rates were about −50 µmol m−2 h−1. The highest NO3− removal flux was observed at NF-1 and MF-2 during March 2004, but NO3− flux was positive at both far-field stations during this experiment (Figure 5f).
Benthic NO3− fluxes were all negative when amended with NO3− in laboratory manipulation experiments when water temperatures were nearly 20 °C (Figure 6a–c). When subtidal sediments at NF-1 and FF-1 were subjected to overlying water NO3− concentrations from 100 to 155 µM and 27 to 166 µM, respectively, benthic NO3− removal rates increased significantly ranging from −100 to −600 µmol m−2 h−1 (Figure 6a). Nitrate removal rates decreased with decreasing ambient NO3− concentrations in July 2002 with increased distance from the river diversion (NF-1 to FF-1) (Figure 6b). In a second laboratory manipulation in August 2002, subtidal sediments from MF-2 were manipulated with water near the river diversion outfall area with amendments of 38, 93, 131, and 148 µM of NO3−. Benthic NO3− uptake rates significantly increased with each amendment ranging from nearly 0 µmol m−2 h−1 in controls (0.2 µM) to −600 µmol m−2 h−1 at the greater NO3− concentration (Figure 6b). The influence of greater NO3− concentrations in near-field waters on stimulating benthic NO3− removal downstream (FF-1) during high-discharge pulses is evident when comparing NO3− uptake rates between ambient waters with those from Big Mar (Figure 6c). In the February and March 2004 experiments, the ambient NO3− flux was positive as reported above and became significantly negative to rates up to −145 µmol m−2 h−1 when NO3− concentrations increased from 0.4 to 110 µM.
Figure 6.
Subtidal benthic fluxes of nitrate (NO3−) in field manipulations of changing nitrate concentrations in overlying water at different benthic sites. Treatments are defined by site location (NF = near-field, MF = mid-field, FF = far-field) treated with different concentrations of nitrate (concentration is value in parentheses, µM). (a) NF-1 and FF-1 sites manipulated by adding enrichments of NO3−. (b) NF, MF and FF stations during July 2002 and MF station with ambient (0.2 µM NO3−) water enriched with different concentrations of NO3− in August 2002. (c) FF-1 station with ambient water compared to water from Big Mar during each of four pulse experiments including February 2003 and 2004, and March 2003 and 2004.
3.3. Intertidal Benthic Fluxes
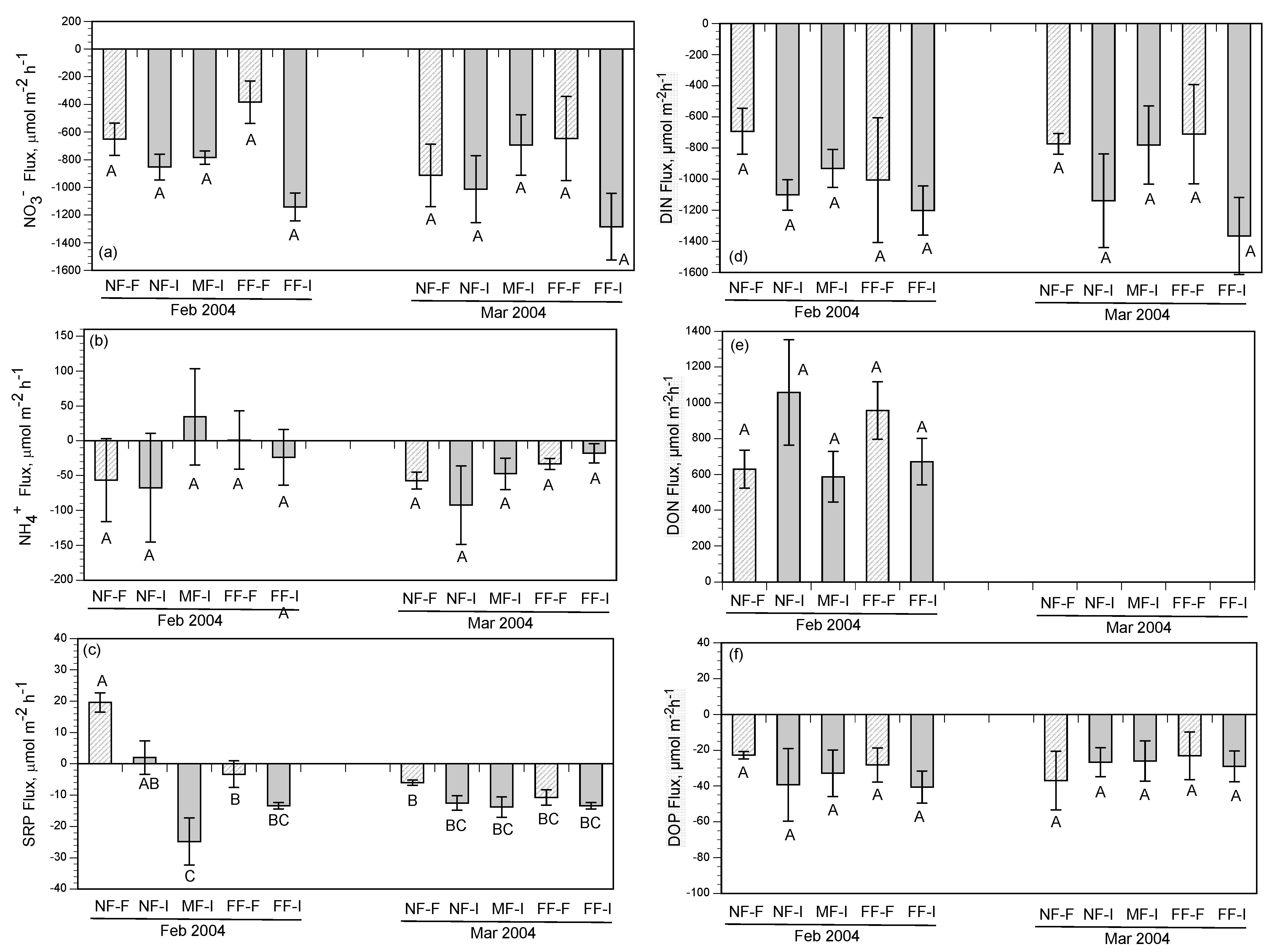
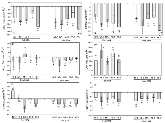
There was significant effect of site on benthic NO3− fluxes (F = 5.8801, p = 0.0013) into marsh soils during the two river-pulse experiments (February and March) in 2004 (Figure 7a). Fluxes were greater at the far-field interior site (about −1200 μmol m−2 h−1) during the February and March 2004 pulses, and lowest at the far-field fringe site (−484 μmol m−2 h−1) during February 2004 pulse. Benthic NO3− uptake was lower at the fringe intertidal sites than interior locations at the far-field site in both the February and March 2004, but this difference between the fringe and interior sites was not observed during these two pulse events at the near-field site. The average benthic NO3− flux for all sites and both pulse events was −826 μmol m−2 h−1 (SE ± 123).
Figure 7.
Intertidal benthic fluxes of (a) NO3−, (b) NH4+ and (c) SRP, (d) DIN, (e) DON, and (f) DOP during the February and March pulse experiments (2004) at five locations based on distance from diversion structure (NF-F = near-field fringe, NF-I = near-field interior, MF-I = mid-field interior, FF-F = far-field fringe, and FF-I = far-field interior.). Bars with diagonal lines are fringe and gray shade are interior. Bars with same letter are not significantly different based on Tukey least squares analysis.
Benthic NH4+ fluxes at the intertidal sites were highly variable in both river-pulse experiments, with no clear pattern of uptake or release (Figure 7b). NH4+ uptake by marsh soil occurred at all sites during the March 2004 pulse, but there were no significant differences among sites. The highest uptake rate by marsh soil was at NF-I during the March pulse (−96.5 μmol m−2 h−1), and the greatest release rate was at MF-I during the February pulse (8.2 μmol m−2 h−1). Generally, NH4+ fluxes for February (−26.6 μmol m−2 h−1) and March (−53.9 μmol m−2 h−1) pulses were negative, indicating a slight uptake of NH4+ by the marsh soil during river-pulse experiments.
Benthic SRP fluxes exhibited spatial and temporal patterns that were similar to NH4+ fluxes during the two river-pulse experiments (Figure 7c). There was a significant effect of site * event (F = 6.7194, p < 0.0001), which indicates that spatial patterns were not consistent during each of these experiments. During the February 2004 event, the NF-F (19.9 μmol m−2 h−1) and NF-I (2.0 μmol m−2 h−1) sites released SRP from marsh soils into the water column, while intertidal soils at the MF-I (−24.8 μmol m−2 h−1), FF-F (−3.3 μmol m−2 h−1), and FF-I (−13.4 μmol m−2 h−1) sites removed SRP. During the March 2004 pulse experiment, all five sites had SRP uptake (−11.3 μmol m−2 h−1), with no significant difference among the five sites.
Fluxes of dissolved inorganic nitrogen (DIN) (Figure 7d) followed similar patterns as the fluxes for NO3−. Benthic DIN uptake occurred at all sites during February (−987.6 μmol m−2 h−1) and March (−954.2 μmol m−2 h−1). Unlike the results for NO3−, there was no significant effect of site for DIN fluxes. Dissolved organic nitrogen (DON) fluxes (Figure 7e) were 780.7 μmol m−2 h−1 (SE ± 95.0) in February and 725.8 μmol m−2 h−1 (SE ± 56.0) in March, with no significant effect of site. Comparing DIN and DON flux rates during the February 2004 experiments indicates a net uptake of total dissolved nitrogen (TDN) of −206.3 μmol m−2 h−1. Benthic fluxes of dissolved organic phosphorous (DOP) were generally into the marsh soil during the February (−32.8 μmol m−2 h−1) and March (−28.4 μmol m−2 h−1) river-pulse events (Figure 7f).
3.4. Landscape Nutrient Gradients
Landscape nutrient gradients can be observed by comparing concentrations of sheetflow water in the NF and FF flumes (Table 4). Nutrient concentrations of NO2− and SRP were below 1 µM in the NF flume during the February pulse, while concentrations of most other nutrients measured were above 50 µM (Table 4). NO3− concentrations of waters within the NF flume during the March pulse dominated DIN and TDN and were >40 µM higher compared to February pulse (Table 4). Concentrations of TN were about 10 µM higher in March than in February. Nutrient concentrations were nearly always higher at the near-field site than the mid-field site (Table 4). Concentrations of every other nutrient constituent were significantly higher at near-field than mid-field sites, and nearly a 100 µM concentration difference of NO3−, DIN, and TDN was observed between the two flume sites in March 2004.
Water sampled across a transect of the intertidal wetland landscape had similar conductivity around 400 µS/cm indicating sheet-flow from the river diversion with the exception of the most downstream sample that had a conductivity of 250 µS/cm, indicating a different source of water (Figure 8a). Water temperature increased with distance along the landscape transect from about 11 °C at the upstream stations near the near-field flume where water from river diversion was flowing through the Big Mar region becoming sheet-flow on the intertidal platform. NO3− concentrations in waters at these sites were about 100 µM. As distance downstream increased from Big Mar south, water temperature increased and NO3− decreased, but conductivity remained around 400 µS/cm. By about 1000 m downstream from the near-field flume, water temperature had increased to 20 °C and NO3− was <1 µM, while conductivity had not changed from values at the near-field flume. As distance increased along the transect to about 1200 m, water temperature increased to 23.5 °C and NO3− was nearly undetectable.
Figure 8.
(a) Transect of water samples in intertidal wetlands during pulse with change in water temperature with conductivity and nitrate concentration. (b) Concentrations of nitrate in water column in channel center (channel) and where water was flowing from marsh into channel (edge). See Figure 2 for specific sampling location for (a,b).
NO3− concentrations along the four stations in the channel of a canal where river-pulse waters from the river diversion were flowing during the March 2004 experiment were similar at 68 µM (Figure 8b). The last station, about 2.4 km downstream along the canal had a lower NO3− concentration of 50 µM. Water flowing as sheet-flow from the edge of the marsh platform was <50% of the NO3− concentration of the channel water sampled at each location ranging from 35 µM at station 1 to 20 µM at station 3. At station 4, again, the channel station had lower NO3− concentration, and NO3− in sheet-flow waters from the marsh edge was nearly undetectable.
4. Discussion
4.1. Factors Controlling Nitrogen Fluxes
Estuarine ecosystems function as a source, sink, or transformer of nitrogen depending on the relative rates of biological, chemical, and physical processes involving nitrogen transformations in subtidal and intertidal habitats [49,50,51]. In our study, NO3− removal rates from the water column in intertidal habitats ranged from −383.7 to −1289.3 µmol m−2 h−1. Benthic NO3− fluxes were always into the marsh soil, as high concentrations of NO3− in the diversion water set up a relatively strong concentration gradient between the pore water and the overlying water in each experiment. High NO3− concentrations in the water column can enhance diffusion into wetland soils, as NO3− concentrations are typically very low under reduced soil conditions. A previous flux study conducted using benthic sediment slurries [52] in the diversion outfall area measured NO3− removal rates ranging from −137 to −1390 µmol m−2 h−1, which are similar to range observed in our study.
Denitrification, the biologically mediated reduction of NO3−, removes NO3− in wetland systems and rates have been shown to be dependent on NO3− concentration [27,53,54]. Benthic NO3− uptake rates by subtidal sediments were higher during warmer months and more strongly dependent on the available NO3− concentration in the overlying water (Figure 9a). Sediment removal rates were greater when water temperatures were warm and NO3− concentrations >75 µM. When water temperatures at near-field stations were colder during river-pulse events in February, NO3− concentration was not a determining factor in NO3− uptake rates by subtidal sediments. Seasonal conditions of the river-pulse via the diversion structure influences water temperatures in the near-field outfall area. The effect of colder water temperatures from river-pulses was also observed in mid-field regions during the stronger pulse events in February 2002, 2003, and 2004 (water conductivities were similar to river conditions at all stations during these pulses).
Figure 9.
(a) Rate of nitrate uptake (µmol m−2 h−1) versus nitrate concentration for all the subtidal sediment experiments with grouping by water temperature >13 °C (black circles) and <13 °C (grey diamonds). The polynomial curve fit is only for concentration and rates measured at temperatures >13 °C. (b) Rate of nitrate uptake (µmol m−2 h−1) versus nitrate concentration for intertidal sediment experiments in this study and in [25] and [56] with grouping by water temperature >13 °C and sediment organic matter > 5% (black circles); compared to <13 °C and sediment organic matter <5% (grey diamonds). The linear curve fit is only for concentration and rates of the black circles.
When all the benthic NO3− fluxes at water temperatures <13 °C are plotted versus NO3− concentration, the range in benthic flux rates are mostly NO3− release from sediments (Figure 9a). When flux rates are plotted for those experiments with water temperature >13 °C, there is a significant polynomial expression with two degrees between NO3− concentration and NO3− uptake by subtidal sediments (Y = (−0.0128 × X2) + (0.1678 × X) − 1.6187, R22 = 0.441, R12 = 0.409, R2 = 0.441). This seasonal pattern of benthic NO3− removal in response to water temperature and NO3− concentration in overlying water was observed for sediment oxygen demand and benthic NO3− fluxes in subtidal and intertidal soils of Wax Lake Delta [25]. These biogeochemical patterns also describe how an active delta ecosystem responds to seasonal conditions associated with the controlled diversion of the Mississippi River [11]. As observed in upper Breton Sound, river water temperatures at Wax Lake Delta are 8–10 °C in February and March in the channel and in subtidal wetlands inundated with overbank flooding. As water residence time increases in coastal deltaic floodplains, water temperature increases up to 10 °C above those in the channel [24]. When water temperatures increased during late spring and summer, higher NO3− concentrations caused increased rates of benthic NO3− removal and denitrification [25,53].
There is evidence that seasonal water temperatures also controlled benthic fluxes of NO3− in intertidal habitats. Chamber experiments of intertidal fluxes regulated water temperatures >20 °C to match higher mid-field conditions observed in landscape surveys. This is in contrast to the colder water temperatures observed in near-field flume in February. In addition, we used water from Big Mar in all the intertidal sediment flux experiments, and therefore did not experiment with varying NO3− concentrations as we did for the subtidal benthic flux experiments. Accordingly, there were no significant differences in NO3− fluxes of intertidal soils between the February and March river-pulse events since higher water temperatures and NO3− concentrations were used in all river-pulse experiments. Based on flume observations, the overlying water column at the near-field sites is approximately 10 °C colder than water at the mid-field and far-field sites in February and March, due to colder river water controlling sheet-flow when the river-pulse is routed onto wetland platforms. River waters in intertidal habitats in the near-field locations also had greater NO3− concentrations, as observed in the near-field subtidal habitats during river-pulse events. However, as intertidal sheet-flow moved downstream, water temperatures increased and NO3− concentrations decreased, indicating that NO3− benthic fluxes in the field should vary in contrast to the intertidal flux rates measured in our chamber experiments.
We used NO3− flux experiments from intertidal wetlands in Wax Lake Delta [24,25,53,55] along with intertidal rates measured for upper Breton Sound in this study to estimate temperature and NO3− concentration effects on NO3− removal by intertidal soils (Figure 9b). NO3− fluxes at water temperatures >13 °C and NO3− concentrations ranging from 2 to 80 µM were selected from the combined data sets for Wax Lake Delta intertidal soils. However, sediment organic matter had to be accounted for in developing a function between NO3− concentration and NO3− flux rates, given the strong response of NO3− uptake rates to this soil variable experimentally demonstrated at Wax Lake Delta [25,53]. Sediment organic matter content of the intertidal wetlands soils at Breton Sound were greater (85–350 mg/gdm) than intertidal wetlands at Wax Lake Delta (20–100 mg/gdm). Lower sediment organic matter concentrations in Wax Lake Delta is particularly evident in younger intertidal soils [56]. As observed for subtidal sediments, water temperatures below 13 °C reduce the response of NO3− fluxes relative to NO3− concentrations in Wax Lake Delta intertidal soils. We excluded those experiments with water temperature <13 °C and sediment organic matter <50 mg/g dm to compare with intertidal soils of upper Breton Sound (Figure 9b). Using intertidal wetlands flux rates in this study along with the selected fluxes from studies at Wax Lake Delta, we developed a significant linear function between NO3− concentration and NO3− removal rates (Figure 9b; Y = −8.4634 × X, R2 = 0.828). This supports previous research results that sediment NO3− fluxes and denitrification rates are proportional to NO3− concentrations in overlying waters depending on water temperatures [57,58,59,60].
NH4+ fluxes were highly variable with no clear pattern except for a slight uptake of NH4+ during the February and March flood-pulse experiments. This trend seems to contradict the general estuarine model of wetlands exporting reduced nitrogen forms to surrounding water bodies, but key differences between the methods used in this study and the standard approaches (benthic cores and flumes) may have resulted in a greater uptake of NH4+ by marsh soils in our study. A flume study conducted in a tidal freshwater marsh [61] showed that the marsh consistently acted as a sink for NH4, and those vegetated areas removed more NH4 from the water column than unvegetated areas. The inclusion of vegetation in the cores, along with relatively high NH4+ concentrations in the diversion water, may have contributed to the increased variability of flux direction and rate. Plants take up NH4+ preferentially as a source of nitrogen, and the presence of intact vegetation could have led to higher rates of NH4+ uptake in our study. The flux rates in this study show that the marshes of Breton Sound may have the capacity to remove small amounts of NH4+ from the water column under specific conditions.
4.2. Nitrate Removal
The capacity of nutrients, particularly NO3−, to be removed from river water diverted by the Caernarvon structure in the upper region of Breton Sound is particularly important since the anticipated increase in nutrient loading downstream could potentially reduce water quality [26,54]. NO3− concentration in the Mississippi River at Caernarvon typically ranges from 60 to 120 µM, which is substantially higher than most ambient concentrations found in the adjacent coastal estuaries [26]. It is therefore critical to understand the capacity of habitats in the outfall region of upper Breton Sound to remove NO3− from the water column prior to its transport downstream. The impact of the Mississippi River diversion at Caernarvon on nutrient cycling in the upper Breton Sound estuary is an important factor in establishing operational management guidelines for this restoration strategy [1,2].
Daily NO3− loading (MT/day) for each of the nine pulse events (three each in 2002, 2003, and 2004) was based on the discharge rate and NO3− concentration at the Caernarvon diversion structure (Figure 10a–c). The daily NO3− loading was summed for the duration of each pulse event to determine total input as MT N/pulse (Figure 11a). The distribution of 70% to subtidal habitats and 30% to intertidal habitats was used to estimate the relative loading to each of these two habitats for each pulse (Figure 11a). Nitrate loading was always higher in the January pulse of each year due to the longer duration ranging from 251 (2003) to 296 (2004) MT/pulse compared to lower NO3− loading in February pulses ranging from 112 (2004) to 174 (2002) MT/pulse (Figure 11a). The February and March pulses were shorter in duration but had greater daily discharge rates (Figure 10a). The highest daily NO3− loading occurred during March 2002 pulse at about 20 MT/day (Figure 10C). Based on the 70:30 split between subtidal and intertidal flows, the majority of NO3− per pulse came in contact with subtidal sediments ranging from 78 (February 2004) to 207 (January 2004) MT/pulse (Figure 11a).
Figure 10.
Description of three pulses in January, February, and March during each year of 2002, 2003, and 2004 that were analyzed for fate of nitrate (NO3−) in the upper Breton Sound outfall area of Caernarvon freshwater diversion. (a) Discharge each day of the diversion pulse (m3/s). (b) Nitrate concentration estimated in the water introduced from river into the upper Breton Sound (µM). (c) Nitrate loading (MT/day) into upper Breton Sound based on daily discharge (a) and nitrate concentration (µM). (d) Water temperature recorded at Caernarvon freshwater diversion from the outfall channel (°C).
Figure 11.
(a) Estimates of nitrate loading to upper Breton Sound based on routing along channels and bays (black bar) and as sheet-flow over intertidal wetlands (gray bar) during nine flood-pulse events of the Caernarvon freshwater diversion based on discharge rates and NO3− concentrations measured near diversion outlet in January, February and March of 2002, 2003, and 2004. The total NO3− load was distributed 70% to subtidal and 30% to intertidal [13]. (b) Estimates of NO3− removal during each flood-pulse experiment based on benthic uptake rates and area of contact with diverted water with subtidal and intertidal habitats using thresholds of field conditions explain in this study. (c) Estimates for input (gray bar) and removal (black bar) are the subtidal and intertidal habitats. All units of input and removal are metric tons per pulse event (MT/pulse).
The contact of diversion water with subtidal habitats was considered each day during a river-pulse. The two major factors controlling NO3− flux for both subtidal and intertidal soils were water temperature and NO3− concentration, as described in Section 4.1. First, water temperature had to be >13 °C for subtidal removal rates to be calculated with the function established with NO3− concentration (see Figure 9). The near-field subtidal habitats used water temperatures observed at Caernarvon diversion (USGS 295124089542100 Caernarvon Outfall Channel at Caernarvon, LA) and NO3− concentration at Big Mar to calculate NO3− fluxes using the equation in Figure 9a. The near-field station had water temperature from Caernarvon outfall channel increased by 3 °C and NO3− concentrations at Big Mar reduced by 20% to calculate daily NO3− fluxes (based on changes observed in the field, see Table 2). Daily NO3− fluxes at far-field locations are based on adjustments to water temperature and NO3− concentration of 7 °C and 50%, respectively (Table 2). Using these rules, daily NO3− fluxes were calculated for each of the three respective regions (near-, mid-, far-field), multiplied by the area of each region (Table 5), and summed for the days of the respective nine pulse events to estimate total NO3− removal for subtidal habitats (Figure 11b).
Contact of waters from a river-pulse with intertidal habitats occurred only on days the daily diversion discharge reached threshold for near- and mid-field marshes described above (115 and 145 m3/s, respectively). As stated, our calculations assume that far-field marshes were not inundated with water from the Caernarvon diversion [13]. NO3− concentrations used to calculate daily benthic fluxes were adjusted from those measured at Big Mar assuming a 50% reduction in concentration for waters in the near-field intertidal wetlands and 90% reduction in concentration for waters in the mid-field region. These assumptions in reducing NO3− concentrations are based on observations at the flumes and landscape surveys in each region (Table 3). Water temperature was not used to calculate daily benthic NO3− fluxes, but a water temperature factor was imposed on the near-field marshes by assuming the first 150 m inland along shore was not active due to colder water temperatures. This assumption resulted in about 25% of the near-field intertidal wetlands being considered as inactive when inundation occurred. The intertidal area used in the near-field region was 3045 ha rather than the 4061 ha of near-field wetlands (Table 5). Daily NO3− removal for the near- and mid-field regions was calculated depending on diversion discharge (threshold that determines if intertidal habitat is inundated) and concentration (using function in Figure 9b), then summed to estimate NO3− removal per pulse for intertidal habitats (Figure 11b).
The amount of NO3− removed in the subtidal and intertidal habitats was calculated for each river-pulse event and compared to NO3− loading to that habitat for all nine river-pulse events (Figure 11b,c). The sum of NO3− removed by subtidal and intertidal habitats was compared to the total NO3− loading during each pulse event (Figure 11c). It is important to compare the efficiency of NO3− removed relative to the amount loaded to each respective habitat and then evaluate the total amount of NO3− removed during any one river-pulse event. During each river-pulse event, the total amount of NO3− removed by the intertidal habitat was much greater (17 to 64 MT/pulse) than removal by subtidal sediments (1–12 MT/pulse) (Figure 11b). Subtidal sediments removed from 1–8% of the NO3− loaded to channels and lakes of the outfall region of upper Breton Sound (Figure 11c). Intertidal soils, however, removed 6–109% of the NO3− loaded to intertidal wetlands during the nine pulse events (Figure 11c). The lower percentage of NO3− removal for both subtidal and intertidal soils was during the January river-pulses of each year and greater removal values occurred during the March pulses. This seasonal difference in the efficiency of NO3− removal was particularly evident in the intertidal wetlands as demonstrated by the range of 6–19% in January compared to 76–109% in March (Table 6).
Table 6.
Estimates of nitrate loading to upper Breton Sound from nine river-pulse experiments of the Caernarvon diversion based on discharge rates and NO3− concentrations measured near diversion outlet during each pulse. Estimates of NO3− removal during each pulse experiment is based on uptake rates and area of contact with diverted water using assumptions explain in this study. Percent of the NO3− input that is removed by subtidal, intertidal, and total outfall area are provided in percent of input NO3− estimated for each pulse. All units of input and removal are metric tons per pulse event (MT/pulse).
The lower efficiencies in NO3− removal in January compared to February and March are associated with conditions during diversion operations. One such condition is that water temperatures are colder in January, with most days <12 °C and reaching 8 °C during operations. These temperatures reduced subtidal NO3− removal, even at the mid-field stations. The lower NO3− removal efficiencies of intertidal wetland soils were not due to such a factor as water temperature since the shallow water would heat up to >12 °C within 150 m transport across the wetland surface. However, diversion discharge rates in January, particularly in 2002, did not reach the thresholds for wetland inundation. The intertidal NO3− removal efficiency in January 2002 was only 6% and 16% in January 2003. At higher daily discharge rates in February and March of 2003 and 2004, nearly all the NO3− that was loaded into intertidal wetlands was removed (Figure 11c). These estimates are consistent with both the observations of NO3− concentrations at the mid-field flume and landscape surveys.
Total NO3− removal ranged from a low of 22.99 MT/pulse in January 2002 to high of 71.51 MT in March 2004 (Figure 11b). These ranges are also the river-pulses when the lowest and highest of total NO3− removal efficiencies occurred (8–36%, Table 6). Removal efficiencies were much greater in March and February than January, associated with factors of temperature and frequency of wetland inundation noted in previous paragraph. These total NO3− removal efficiencies are much lower than the 55–86% removal based on changes in NO3− concentration in the upper Breton Sound outfall region [26,30,62]. These reported removal efficiencies consider the differences in upstream and downstream concentrations of NO3− accounting for dilution using salinity as a conservative constituent. Estimates of NO3− removal in this study only consider the contribution of benthic NO3− fluxes as the removal process. All our experiments were run with filtered overlying water in cores incubated in the dark to exclude water column processing of nutrients in our experimental system. Water-column phytoplankton as well as heterotrophs may compete for the dissolved NO3− in the water, with rates under strong control of water temperature. During higher standing stocks of phytoplankton in March, this competition may significantly contribute to NO3− removal within the system, and thus concentrations in upstream and downstream stations. In those situations, estimates of system NO3− removal may be underestimated by sediment fluxes alone. Phytoplankton serve only as a temporary sink for NO3−, while NO3− taken up by the sediments can be denitrified, thus providing a more permanent sink. Plankton organisms convert inorganic N to biogenic N (Figure 1) that can be cycled through the food chain, excreted as NH4 or DON, or exported with tidal flux out of the estuary. Biogenic N deposited on the sediment surface can be buried over time and provide a permanent sink of the river-derived nitrogen.
Following the fate of NO3− during river-pulse events in upper Breton Sound using the methods described in this study does not account for the net flux of total nitrogen (TN) during these events. The loss of TN in the outfall region has been noted to average about 50% [26,30,62], based on the decrease in concentration greater than the dilution with seawater downstream from the diversion input. It is obvious in our few sediment flux observations that while there may be a net uptake of NO3− and dissolved inorganic nitrogen (DIN) by subtidal and intertidal soils, there were several observations of significant efflux of DON. At times, the DON efflux was greater than DIN influx. This pattern is consistent with many reports that wetland ecosystems may transform nutrients in estuaries with net uptake (removal) of DIN and export of organic nitrogen [41,50,63]. Fluxes of DIN, made up mostly of NO3− in our study, were dominated by intertidal soils, while DON was released from the soil into the water column. A comparison of the rates of DIN uptake and DON release by intertidal soils showed that the intertidal habitat acted as a sink for dissolved nitrogen, with uptake rates ranging from 11.5 to 25.3 g N m−2 yr−1. Various estimates of TN uptake across the upper Breton Sound outfall areas range from 2.3 g N m−2 yr−1 [64] and 5.6 g N m−2 yr−1 [26] to 13.4 g N m−2 yr−1 [30]. Scaling all the different processes of nitrogen species from inorganic to organic to nitrogen gas will require better documentation to determine how subtidal and intertidal habitats contribute to the net sink, source or transformer of nitrogen introduced from river-pulse events. However, the contributions of benthic fluxes estimated in this study highlight the loss of NO3− in the system, which is the major source of nitrogen from the river for downstream estuarine waters.
5. Conclusions-Ecosystem Design
The fate of NO3− input from river-pulse events associated with diversion operations is a function of how diverted water is distributed over subtidal and intertidal habitats. Processes associated at the boundaries of aquatic and wetland ecosystems are considered to represent a critical element of ecosystem design as part of restoration strategies [65]. The focus of river diversion operations is on sediment deposition as a resource to promote wetland soil formation and increase soil surface elevation [13,66]. However, the fate of nutrients associated with diversion operations can impact the eutrophication of estuaries in the outfall region downstream. As dissolved constituents in diverted river water, dissolved nutrients may impact a larger region of the outfall zone than suspended sediments, as has been described for river plumes in active deltas [67]. This study offers insights into what operations may contribute to the efficiency by which benthic processes in subtidal and intertidal habitats may remove NO3− from river diverted waters.
It is important to consider the increased efficiency of NO3− removal by intertidal soils compared to subtidal sediments as important to the ecosystem design of river diversion operations. Diverted water from a river diversion structure that becomes sheet-flow over intertidal wetlands provides access to habitats that have a much higher efficiency of NO3− removal compared to water exposed to subtidal sediments. Nutrient removal here presents a very important distinction between ecosystem design and transformation. In the case of upper Breton Sound, most of the NO3− removal efficiency as defined by a reduction in NO3− concentration may be due to uptake in the water column, considering that the NO3− removal efficiencies by benthic processes do not match system level analyses. The transformation from inorganic to biogenic N is different from an influx to sediments that ‘removes’ nitrogen from flux to downstream ecosystems (Figure 1). Most of the sediment influx of NO3− may be assumed to be denitrified [25,53,55], yet, importantly, it is removal from the water column which reduces the transport of inorganic nitrogen as a source of eutrophication to downstream ecosystems.
It is clear that, even in cooler months, access of NO3− river-pulse waters to intertidal wetlands of upper Breton Sound in near- and mid-field regions is the most efficient way to reduce NO3− or biogenic N transport to downstream ecosystems. Moreover, this contact with intertidal wetlands is a function of diversion discharge rates that form sheet-flow over intertidal wetland soils. The thresholds that promote intertidal connectivity to river-pulse waters are very clear for the Caernarvon diversion, and discharge rates among the nine river-pulse events in this study have very significant consequences in terms of NO3− removal. Given that sheet-flow is shallow (about 0.75 m), water temperatures increase over short distances above thresholds for NO3− influx into soils to occur, and these conditions are different compared to subtidal habitats in channels and lakes. The input of about 66 million m3 of diverted water (assuming 30% of flow is sheet-flow) during a river-pulse over an outfall area of about 15,000 ha of wetlands results in a water depth of about 0.44 m. Surface water in an intertidal wetland at this latitude would increase the water temperature by about 1 °C for every 150 m distance at a flow rate of 3 cm/s (assuming solar input of 1367 J m−2 s−1). Under these conditions, wetland soils would reduce about 100% of the NO3− loading to the intertidal habitat. The connectivity of intertidal floodplains to river diversion outflows has been demonstrated to significantly increase water age and temperature in the Wax Lake Delta [24]. It is the combination of river pulse discharges that raises water elevation in channels to allow for sheet-flow to occur over intertidal soils, and thus contact time for benthic fluxes to remove NO3− from overlying water [25,33,34]. Again, given the ability of water temperatures to increase above critical thresholds of NO3− influx in intertidal habitats located in warm, temperate climates, removal efficiencies are function of wetland inundation frequency and wetland area [11,25]. The connectivity of intertidal wetland areas sufficient to remove NO3− at fluxes controlled by water temperature and NO3− concentrations to reduce the downstream flow of inorganic nutrients is a critical ecosystem design consideration of river diversion operations.
The path of NO3− in a river-pulse event may also result in the reduction of NO3− concentrations in the subtidal habitats of an outfall area downstream from a diversion. However, sediment influx represents a small contribution (1–10%) of the amount of loading that can be removed. Moreover, this contribution is very sensitive to water temperatures, as well as NO3− concentration (residence time is not factored into this analysis but should be included in further system analyses). It is important to emphasize, in this analysis, that while NO3− removal was very efficient for NO3− that was loaded to intertidal habitats in this study of nine pulse events, the combined contributions of subtidal and intertidal habitats resulted in no more than 40% of NO3− removal. About 60% of NO3− removal in the Wax Lake Delta occurs in the subtidal hydrogeomorphic zones compared to only 40% of NO3− removal in the intertidal and supratidal zones considering the hydroperiod, land area, and denitrification fluxes [25]. The greater contribution of subtidal habitats in this younger active delta is largely due to the larger area of these habitats in developing active delta floodplains compared to older coastal basins. However, the intertidal wetlands of Wax Lake Delta are inundated more frequently in response to daily operations of river-pulse events, compared to less frequent river-pulse events in the upper Breton Sound. Ecosystem designs of discharge flows, outfall area distributions of subtidal and intertidal habitats, along with residence times of water in subtidal lakes and bays will need to be considered to enhance NO3− removal in contrast to NO3− transformations. It is evident how efficiently intertidal habitats remove NO3− given the process of wetland inundation with river-pulse operations.
Author Contributions
Conceptualization, R.R.T., S.R., D.C.B., J.B.; methodology, R.R.T., S.R., D.C.B., J.B.; formal analysis and investigation, R.R.T., S.R., D.C.B., J.B.; resources, R.R.T.; writing—R.R.T., S.R., D.C.B., J.B.; visualization, R.R.T., S.R., D.C.B., J.B.; supervision, R.R.T.; project administration, R.R.T.; funding acquisition, R.R.T. All authors have read and agreed to the published version of the manuscript.
Funding
This research was funded by with a grant provided through the Water and Watershed Research Program of the EPA/USDA/NSF (EPA Grant Number: R828009). Louisiana Department of Natural Resources (#2503–01–27) funding supported this work. the USDA/CSREES/EPA Nutrient Science for Improved Watershed Management Program (#2002–00561).
Acknowledgments
Additional support came from the Delacroix Corporation and the University of Louisiana at Lafayette Graduate Student Organization to D. Bond and J. Baker. Special thanks to Gregg Snedden, Erick Swenson, Nicole Poret, Edward Castaneda, and Kim de Mutsert for their field and laboratory assistance.
Conflicts of Interest
The authors declare no conflict of interest. The funders had no role in the design of the study; in the collection, analyses, or interpretation of data; in the writing of the manuscript, or in the decision to publish the results.
References
- Day, J.W., Jr.; Boesch, D.F.F.; Clairain, E.J.J.; Kemp, G.P.P.; Laska, S.D.B.; Mitsch, W.J.J.; Orth, K.; Mashriqui, H.; Reed, D.J.J.; Shabman, L.; et al. Restoration of the Mississippi Delta: Lessons from Hurricanes Katrina and Rita. Science 2007, 315, 1679–1684. [Google Scholar] [CrossRef] [Green Version]
- Paola, C.; Twilley, R.R.; Edmonds, D.A.; Kim, W.; Mohrig, D.; Parker, G.; Viparelli, E.; Voller, V.R.V.R. Natural Processes in Delta Restoration: Application to the Mississippi Delta. Annu. Rev. Mar. Sci. 2011, 3, 67–91. [Google Scholar] [CrossRef] [PubMed]
- Bayley, P.B. Understanding Large River: Floodplain Ecosystems. BioScience 1995, 45, 153–158. [Google Scholar] [CrossRef]
- Sparks, R.E. Need for ecosystem management of large rivers and their floodplains. BioScience 1995, 45, 168–182. [Google Scholar] [CrossRef]
- Twilley, R.R.; Bentley, S.J.; Chen, Q.; Edmonds, D.A.; Hagen, S.C.; Lam, N.S.N.; Willson, C.S.; Xu, K.; Braud, D.W.; Peele, H.R.; et al. Co-evolution of wetland landscapes, flooding, and human settlement in the Mississippi River Delta Plain. Sustain. Sci. 2016, 11, 711–731. [Google Scholar] [CrossRef] [Green Version]
- Day, J.W.; Cable, J.E.; Cowan, J.H.; DeLaune, R.; de Mutsert, K.; Fry, B.; Mashriqui, H.; Justic, D.; Kemp, P.; Lane, R.R.; et al. The Impacts of Pulsed Reintroduction of River Water on a Mississippi Delta Coastal Basin. Coast. Res. 2009, 10054, 225–243. [Google Scholar] [CrossRef] [Green Version]
- Vanote, R.L.; Minshall, W.G.; Cummins, K.W.; Sedell, J.R.; Cushing, C.E. The River Continuum Concept. Can. J. Fish Aquat. Sci. 1980, 37, 130–137. [Google Scholar] [CrossRef]
- Johnson, B.L.; Richardson, W.B.; Naimo, T.J. Past, present, and future concepts in large river ecology: How rivers function and how human activities influence river processes. BioScience 1995, 45, 134–141. [Google Scholar] [CrossRef]
- DeLaune, R.; Sasser, C.; Evers-Hebert, E.; White, J.; Roberts, H. Influence of the Wax Lake Delta sediment diversion on aboveground plant productivity and carbon storage in deltaic island and mainland coastal marshes. Estuar. Coast. Shelf Sci. 2016, 177, 83–89. [Google Scholar] [CrossRef]
- Elsey-Quirk, T.; Graham, S.A.; Mendelssohn, I.A.; Snedden, G.; Day, J.W.; Twilley, R.; Shaffer, G.; Sharp, L.; Pahl, J.; Lane, R. Mississippi river sediment diversions and coastal wetland sustainability: Synthesis of responses to freshwater, sediment, and nutrient inputs. Estuar. Coast. Shelf Sci. 2019, 221, 170–183. [Google Scholar] [CrossRef]
- Twilley, R.; Day, J.; Bevington, A.; Castañeda-Moya, E.; Christensen, A.; Holm, G.; Heffner, L.; Lane, R.; McCall, A.; Aarons, A. Ecogeomorphology of coastal deltaic floodplains and estuaries in an active delta: Insights from the Atchafalaya Coastal Basin. Coast. Shelf Sci. 2019, 227, 106341. [Google Scholar] [CrossRef]
- White, J.R.; DeLaune, R.D.; Justic, D.; Day, J.W.; Pahl, J.; Lane, R.R.; Boynton, W.R.; Twilley, R.R. Consequences of Mississippi River diversions on nutrient dynamics of coastal wetland soils and estuarine sediments: A review. Estuar. Coast. Shelf Sci. 2019, 224, 209–216. [Google Scholar] [CrossRef]
- Snedden, G.A.; Cable, J.E.; Swarzenski, C.; Swenson, E. Sediment discharge into a subsiding Louisiana seltaic estuary through a Mississippi River diversion. Estuar. Coast. Shelf Sci. 2007, 71, 181–193. [Google Scholar] [CrossRef]
- Ou, Y.; Xue, Z.G.; Li, C.; Xu, K.; White, J.R.; Bentley, S.J.; Zang, Z. A numerical investigation of salinity variations in the Barataria Estuary, Louisiana in connection with the Mississippi River and restoration activities. Estuar. Coast. Shelf Sci. 2020, 245, 107021. [Google Scholar] [CrossRef]
- Twilley, R.R.; Rivera-Monroy, V.H. Sediment and nutrient trade-offs in restoring Mississippi River Delta: Restoration versus eutrophicaion. J. Contemp. Water Res. Educ. 2009, 141, 1–6. [Google Scholar] [CrossRef]
- Bargu, S.; Justic, D.; White, J.R.; Lane, R.; Day, J.; Paerl, H.; Raynie, R. Mississippi River diversions and phytoplankton dynamics in deltaic Gulf of Mexico estuaries: A review. Estuar. Coast. Shelf Sci. 2019, 221, 39–52. [Google Scholar] [CrossRef]
- Riekenberg, J.; Bargu, S.; Twilley, R. Phytoplankton Community Shifts and Harmful Algae Presence in a Diversion Influenced Estuary. Estuaries Coasts 2014, 38, 2213–2226. [Google Scholar] [CrossRef]
- Rabalais, N.N.; Turner, R.E.; Dortch, Q.; Justic, D.; Bierman, V.J., Jr.; Wiseman, W.J., Jr. Nutirent-enhanced productivity in the northern Gulf of Mexico: Past, present and future. Hydrobiologia 2002, 475, 39–63. [Google Scholar] [CrossRef]
- Rabalais, N.N.; Turner, R.E.; Justić, D.; Dortch, Q.; Wiseman, W.J.; Gupta, B.K.S. Nutrient changes in the Mississippi River and system responses on the adjacent continental shelf. Estuaries 1996, 19, 386–407. [Google Scholar] [CrossRef]
- Broussard, W.; Turner, R.E. A century of changing land-use and water-quality relationships in the continental US. Front. Ecol. Environ. 2009, 7, 302–307. [Google Scholar] [CrossRef]
- Rabalais, N.N.; Turner, R.E.; Scavia, D. Beyond Science into Policy: Gulf of Mexico Hypoxia and the Mississippi River: Nutrient policy development for the Mississippi River watershed reflects the accumulated scientific evidence that the increase in nitrogen loading is the primary factor in the worsening of hypoxia in the northern Gulf of Mexico. AIBS Bull. 2002, 52, 129–142. [Google Scholar]
- Lane, R.R.; Madden, C.J.; Day, J.W., Jr.; Solet, D.J. Hydrologic and nutrient dynamics of a coastal bay and wetland receiving discharge from the Atchafalaya River. Hydrobiologia 2011, 658, 55–66. [Google Scholar] [CrossRef]
- Roberts, B.J.; Doty, S.M. Spatial and temporal patterns of benthic respiration and net nutrient fluxes in the Atchafalaya River Delta Estuary. Estuaries Coasts 2015, 38, 1918–1936. [Google Scholar] [CrossRef]
- Christensen, A.; Twilley, R.R.; Willson, C.S.; Castañeda-Moya, E. Simulating hydrological connectivity and water age within a coastal deltaic floodplain of the Mississippi River Delta. Estuar. Coast. Shelf Sci. 2020, 245, 106995. [Google Scholar] [CrossRef]
- Li, S.; Christensen, A.; Twilley, R.R. Benthic fluxes of dissolved oxygen and nutrients across hydrogeomorphic zones in a coastal deltaic floodplain within the Mississippi River delta plain. Biogeochemistry 2020, 149, 115–140. [Google Scholar] [CrossRef]
- Lane, R.R.; Day, J.W., Jr. Water quality analysis of a freshwater diversion at Caernarvon, Louisiana. Estuaries 1999, 22, 327–336. [Google Scholar] [CrossRef]
- Smith, C.J.; DeLaune, R.D.; Patrick, W.H., Jr. Fate of riverine nitrate entering an estuary: I. Denitrification and nitrogen burial. Estuaries 1985, 8, 15–21. [Google Scholar] [CrossRef]
- Reddy, K.R.; Patrick, W.H., Jr. Effects of alternate aerobic and anaerobic conditions on redox potential, organic matter decomposition and nitrogen loss in a flooded soil. Soil Biol. Biochem. 1975, 7, 87–94. [Google Scholar] [CrossRef]
- Patrick, W.; Jugsujinda, A. Sequential reduction and oxidation of inorganic nitrogen, manganese, and iron in flooded soil. Soil Sci. Soc. Am. J. 1992, 56, 1071–1073. [Google Scholar] [CrossRef]
- Lane, R.R.; Day, J.W.; Justic, D.; Reyes, E.; Marx, B.; Day, J.N.; Hyfield, E. Changes in stoichiometric Si, N and P ratios of Mississippi River water diverted through coastal wetlands to the Gulf of Mexico. Estuar. Coast. Shelf Sci. 2004, 60, 1–10. [Google Scholar] [CrossRef]
- Okubo, A.; Levin, S.A. Diffusion and Ecological Problems: Modern Perspectives; Springer: New York, NY, USA, 2001. [Google Scholar]
- Schlichting, H.; Gersten, K. Boundary-Layer Theory; Springer: Berlin/Heidelberg, Germany, 2016. [Google Scholar]
- Hiatt, M.; Castañeda-Moya, E.; Twilley, R.; Hodges, B.R.; Passalacqua, P. Channel-Island Connectivity Affects Water Exposure Time Distributions in a Coastal River Delta. Water Resour. Res. 2018, 54, 2212–2232. [Google Scholar] [CrossRef]
- Hiatt, M.; Passalacqua, P. Hydrological connectivity in river deltas: The first-order importance of channel-island exchange. Water Resour. Res. 2015, 51, 2264–2282. [Google Scholar] [CrossRef] [Green Version]
- Visser, J.M.; Sasser, C.E.; Chabreck, R.H.; Linscombe, R. Marsh vegetation types of the Mississippi River deltaic plain. Estuaries 1998, 21, 818–828. [Google Scholar] [CrossRef]
- Day, J.; Lane, R.; Moerschbaecher, M.; DeLaune, R.; Mendelssohn, I.; Baustian, J.; Twilley, R. Vegetation and Soil Dynamics of a Louisiana Estuary Receiving Pulsed Mississippi River Water Following Hurricane Katrina. Estuaries Coasts 2013, 36, 665–682. [Google Scholar] [CrossRef]
- Miller-Way, T.; Boland, G.S.; Rowe, G.T.; Twilley, R.R. Sediment Oxygen Consumption and Benthic Fluxes on the Louisiana Nutrient Shelf: A Continental Methodological Comparison. Estuaries 1994, 17, 809–815. [Google Scholar] [CrossRef]
- Miller-Way, T.; Twilley, R.R. Theory and operation of continuous flow systems for the study of benthic-pelagic coupling. Mar. Ecol. Prog. Ser. 1996, 140, 257–269. [Google Scholar] [CrossRef] [Green Version]
- Cowan, J.L.; Pennock, J.R.; Boynton, W.R. Seasonal and interannual patterns of sedimentwater nutrient and oxygen fluxes in Mobile Bay, Alabama (USA): Regulating factors and ecological significance. Mar. Ecol. Prog. Ser. 1996, 141, 229–245. [Google Scholar] [CrossRef] [Green Version]
- Asmus, R.; Jensen, M.; Jensen, K.; Kristensen, E.; Asmus, H.; Wille, A. The role of water movement and spatial scaling for measurement of dissolved inorganic nitrogen fluxes in intertidal sediments. Estuar. Coast. Shelf Sci. 1998, 46, 221–232. [Google Scholar] [CrossRef]
- Childers, D.L.; Davis, S.E.; Twilley, R.; Rivera-Monroy, T.S. Wetland-water column interactions and the biogeochemistry of estuary-watershed coupling around the gulf of Mexico. Biochem. Gulf. Mex. Estuaries 1999, 73, 211–235. [Google Scholar]
- Childers, D.L.; Day, J.W., Jr. A flow-through flume technique for quantifying nutrient and materials fluxes in microtidal estuaries. Estuar. Coast. Shelf Sci. 1988, 27, 483–494. [Google Scholar] [CrossRef]
- Childers, D.L.; Day, J.W., Jr. Marsh-water column interactions in two Louisiana estuaries. II. Nutrient dynamics. Estuaries 1990, 13, 404–417. [Google Scholar] [CrossRef]
- Beyers, R.J.; Odum, H.T. Ecological Microcosms; Springer Science & Business Media: New York, NY, USA, 2012. [Google Scholar]
- Strickland, J.D.H.; Parsons, T.R. A Practical Handbooks of Sea-Water Analysis; Fisheries of Research Board of Canada: Ottawa, ON, Canada, 1972. [Google Scholar]
- Federation, W.E.; Association, A. Standard Methods for the Examination of Water and Wastewater; American Public Health Association (APHA): Washington, DC, USA, 2005. [Google Scholar]
- Institute, S. Base SAS 9.4 Procedures Guide; SAS Institute: Cary, NC, USA, 2015. [Google Scholar]
- Littell, R.C.; Milliken, G.A.; Stroup, W.W.; Wolfinger, R.D.; Schabenberger, O. SAS System for Mixed Models; SAS Institute: Cary, NC, USA, 1996. [Google Scholar]
- Megonigal, J.P.; Neubauer, S.C. Biogeochemistry of Tidal Freshwater Wetlands; Coastal Wetlands; Elsevier: Amsterdam, The Netherlands, 2019; pp. 641–683. [Google Scholar]
- Tobias, C.; Neubauer, S. Salt Marsh Biogeochemistry—An Overview. In COASTAL WETLANDS: An Integrated Ecosystem Approach; Elsevier: Cambridge, MA, USA, 2009; Volume 76, pp. 445–492. [Google Scholar] [CrossRef]
- Boynton, W.R.; Hagy, J.D.; Cornwell, J.C.; Kemp, W.M.; Greene, S.M.; Owens, M.S.; Baker, J.E.; Larsen, R.K. Nutrient budgets and management actions in the Patuxent River estuary, Maryland. Estuaries Coasts 2008, 31, 623–651. [Google Scholar] [CrossRef]
- DeLaune, R.; Jugsujinda, A. Denitrification potential in a Louisiana wetland receiving diverted Mississippi River water. Chem. Ecol. 2003, 19, 411–418. [Google Scholar] [CrossRef]
- Li, S.; Twilley, R.R. Nitrogen dynamics of inundated sediments in an emerging coastal deltaic floodplain in mississippi river delta using isotope pairing technique to test response to nitrate enrichment and sediment organic matter. Estuaries Coasts 2021, 1–17. [Google Scholar] [CrossRef]
- Mitsch, W.J.; Day, J.W.; Zhang, L.; Lane, R.R. Nitrate-nitrogen retention in wetlands in the Mississippi River Basin. Ecol. Eng. 2005, 24, 267–278. [Google Scholar] [CrossRef]
- Henry, K.M.; Twilley, R.R. Nutrient biogeochemistry during the early stages of delta development in the Mississippi River deltaic plain. Ecosystems 2014, 17, 327–343. [Google Scholar] [CrossRef]
- Bevington, A.E.; Twilley, R.R. Island Edge Morphodynamics along a Chronosequence in a Prograding Deltaic Floodplain Wetland. J. Coast. Res. 2018, 34, 806–817. [Google Scholar] [CrossRef]
- Cornwell, J.C.; Kemp, W.M.; Kana, T.M. Denitrification in coastal ecosysems: Methods, environmental controlsl, and ecosystem level controls, a review. Aquat. Ecol. 1999, 33, 41–54. [Google Scholar] [CrossRef]
- Eyre, B.; France, L. Importance of marine imputs to the sediment and nutrient load of coastal-plain estuaries: A case study of Pumicestone Passage, south-eastern Queensland, Australia. Mar. Freshw. Res. 1997, 48, 277–286. [Google Scholar] [CrossRef]
- Giblin, A.E.; Hopkinson, C.S.; Tucker, J. Benthic metabolism and nutrient cycling in Boston Harbor, Massachusetts. Estuaries 1997, 20, 346–364. [Google Scholar] [CrossRef]
- Scaroni, A.E.; Nyman, J.A.; Lindau, C.W. Comparison of denitrification characteristics among three habitat types of a large river floodplain: Atchafalaya River Basin, Louisiana. Hydrobiologia 2011, 658, 17–25. [Google Scholar] [CrossRef]
- Childers, D.L. Fifteen Years of Marsh Flumes: A Review of Marsh-Water Column Interactions in Southeastern USA Estuaries; Global Wetlands: Old World and New; Elsevier Science: New York, NY, USA, 1994; pp. 277–293. [Google Scholar]
- Lundberg, C.J.; Lane, R.R.; Day, J.W., Jr. Spatial and temporal variations in nutrients and water-quality parameters in the Mississippi River-influenced Breton Sound Estuary. J. Coast. Res. 2014, 30, 328–336. [Google Scholar] [CrossRef]
- Reddy, K.; DeLaune, R.D. Biogeochemistry of Wetlands: Science and Applications; Handbook of Soil Science: Boca Roton, FL, USA, 2008. [Google Scholar] [CrossRef]
- Hyfield, E.C.; Day, J.W.; Cable, J.E.; Justic, D. The impacts of re-introducing Mississippi River water on the hydrologic budget and nutrient inputs of a deltaic estuary. Ecol. Eng. 2008, 32, 347–359. [Google Scholar] [CrossRef]
- Ross, M.R.V.; Bernhardt, E.S.; Doyle, M.W.; Heffernan, J.B. Designer Ecosystems: Incorporating Design Approaches into Applied Ecology. Annu. Rev. Environ. Resour. 2015, 40, 419–443. [Google Scholar] [CrossRef]
- Cahoon, D.R.; White, D.A.; Lynch, J.C. Sediment infilling and wetland formation dynamics in an active crevasse splay of the Mississippi River delta. Geomorphology 2011, 131, 57–68. [Google Scholar] [CrossRef]
- Bianchi, T.S.; Allison, M.A. Large-river delta-front estuaries as natural “recorders” of global environmental change. Proc. Natl. Acad. Sci. USA 2009, 106, 8085–8092. [Google Scholar] [CrossRef] [Green Version]
Publisher’s Note: MDPI stays neutral with regard to jurisdictional claims in published maps and institutional affiliations. |
© 2021 by the authors. Licensee MDPI, Basel, Switzerland. This article is an open access article distributed under the terms and conditions of the Creative Commons Attribution (CC BY) license (https://creativecommons.org/licenses/by/4.0/).










