Diversity of Groundwater Crustaceans in Wells in Various Geologic Formations of Southern Poland
Abstract
:1. Introduction
2. Materials and Methods
2.1. Study Area
2.2. Sampling and Measurements of Water Properties
2.3. Statistical Analyses
3. Results
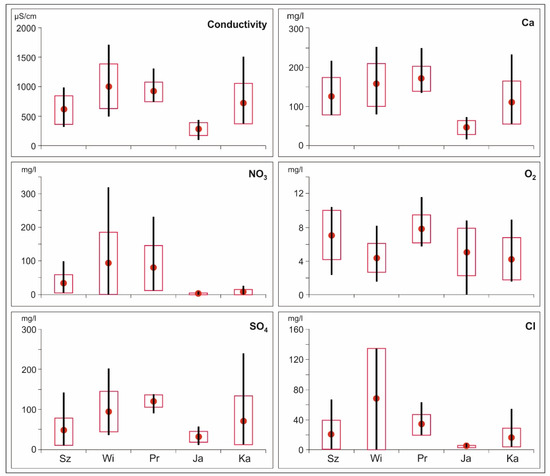
3.1. Physical and Chemical Water Properties of the Studied Wells
3.2. Crustaceans in the Studied Wells
3.3. Statistical Analyses
3.4. Crustacea in Subterranean Waters of Poland-State of Current Knowledge
4. Discussion
Author Contributions
Funding
Institutional Review Board Statement
Informed Consent Statement
Data Availability Statement
Acknowledgments
Conflicts of Interest
References
- Gibert, J.; Culver, D.C. Assessing and conserving groundwater biodiversity: An introduction. Freshw. Biol. 2009, 54, 639–648. [Google Scholar] [CrossRef]
- Sket, B. High biodiversity in hypogean waters and its endangerment-the situation in Slovenia, the Dinaric karst, and Europe. Crustaceana 1999, 72, 767–779. [Google Scholar] [CrossRef]
- Dumnicka, E.; Galas, J.; Krodkiewska, M. Patterns of benthic fauna distribution in wells: The role of anthropogenic impact and geology. Vadose Zone J. 2017, 16, 1–9. [Google Scholar] [CrossRef]
- Kayo, R.T.; Mormonier, P.; Togouet, S.H.Z.; Nola, M.; Piscart, C. An annotated checklist of freshwater Stygobiontic crustaceans of Africa and Madagascar. Crustaceana 1912, 85, 1613–1631. [Google Scholar]
- Řeháčková, V. Well-water organisms of Prague. Rozpr. Cesk. Akad. Ved. 1953, 63, 1–35. [Google Scholar]
- Kulhavý, V. Beitrag zur Kenntnis der Crustaceenfauna tschechoslowakischer Grundgewässer. Vestn. Cesk. Spol. Zool. 1960, 24, 287–306. [Google Scholar]
- Terek, J.; Brázda, J. Fauna of wells outside settlements on Východoslovenská nižina (Czechoslovakia). Biologia 1986, 41, 971–979. [Google Scholar]
- Hahn, H.J.; Fuchs, A. Distribution patterns of groundwater communities cross aquifer types in south-western Germany. Freshw. Biol. 2009, 54, 848–860. [Google Scholar] [CrossRef]
- Arnscheidt, J.; Hahn, H.J.; Fuchs, A. Aquatic subterranean Crustacea in Ireland: Results and new records from a pilot study. Cave Karst Sci. 2008, 35, 53–58. [Google Scholar]
- Wrześniowski, A. O trzech kiełżach podziemnych. Pamiętnik Fizyogr. 1888, 8, 221–330. [Google Scholar]
- Jaworowski, A. Fauna studzienna miast Krakowa i Lwowa. Spraw. Kom. Fizyograf. AU W Krakowie 1893, 28, 29–48. [Google Scholar]
- Skalski, A.W. Ośliczka Asellus aquaticus (L.) (Isopoda) w wodach podziemnych południowej Polski. V Rocz. Muz. Okręgowego W Częstochowie Przyr. 1981, 2, 85–88. [Google Scholar]
- Sywula, T. Bathynella natans Vejdovsky, 1882 i Proasellus slavus (Remy, 1948), nowe dla Polski podziemne skorupiaki. Prz. Zool. 1989, 33, 77–82. [Google Scholar]
- Tabacki, A. Widłonogi (Copepoda) rzeki Grabi (część faunistyczna). Zesz. Nauk. Uniw. Łódź, seria II, Nauki Mat.-Przyr. 1971, 44, 31–52. [Google Scholar]
- Tabacki, A. Widłonogi (Copepoda) wód studziennych okolic Sulejowa koło Łodzi. Acta Univ. Lodz. Zeszyty Naukowe UŁ. Nauki Mat-Przyr. Ser. II 1980, 33, 123–128. [Google Scholar]
- Wróblewski, A.; Sywula, T. Copepoda-Widłonogi. In Checklist of animals of Poland; Razowski, J., Ed.; ISEZ PAN: Kraków, Poland, 1997; pp. 158–164. [Google Scholar]
- Czaja, M. Widłonogi Copepoda Cyclopoida Ojcowskiego Parku Narodowego. Master’s Thesis, University of Gdansk, Gdansk, Poland, 1999. [Google Scholar]
- Karpowicz, M. New data to the knowledge on the Harpacticoida (Crustacea, Copepoda) fauna in Poland. Fragm. Faun. 2016, 59, 87–98. [Google Scholar]
- Kur, J. Zmienność Populacyjna Widłonogów Copepoda w Wodach Podziemnych Południowej Polski. Praca Doktorska; IOP Publishing: Kraków, Poland, 2012. [Google Scholar]
- Kur, J.; Mioduchowska, M.; Kilikowska, A. Distribution of cyclopoid copepods in different subterranean habitats (southern Poland). Oceanol. Hydrobiol. Stud. 2020, 49, 255–266. [Google Scholar] [CrossRef]
- Sywula, T. The ostracods (Ostracoda) of the River Raba and of certain aquatic environments connected with it. Acta Hydrobiol. 1974, 16, 255–277. [Google Scholar]
- Sywula, T. Notes on Ostracoda. XIV. Interesting species from the basin of the River Raba (South Poland). Ann. Zool. 1974, 32, 59–73. [Google Scholar]
- Sywula, T. New species of Ostracoda (Crustacea) from subterranean waters of Poland. Bull Acad. Pol. Sci. Ser. Sci. Biol. Cl II 1976, 24, 271–278. [Google Scholar]
- Sywula, T. Małżoraczki (Ostracoda) wód podziemnych Polski. V Rocznik Muzeum Okręgowego W Częstochowie Przyroda 1981, 2, 89–96. [Google Scholar]
- Sywula, T. Skorupiaki (Crustacea) Bieszczadów (z wyjątkiem Malacostraca). Monogr. Bieszcz. 2000, 7, 49–54. [Google Scholar]
- Skalski, A.W. Flora i fauna jaskiń Wyżyny Krakowsko-Częstochowskiej. I Sympozjum Jurajskie Człowiek i środowisko naturalne Wyżyny Krakowsko-Wieluńskiej. Dąbrowa Górnicza 5-6 V; Dąbrowa Górnicza: Silesia, Poland, 1992; Volume 1993, pp. 145–187. [Google Scholar]
- Baltanás, A.; Namiotko, T.; Danielopol, D.L. Biogeography and disparity within the genus Cryptocandona (Crustacea, Ostracoda). Vie Et Milieu Life Environ. 2000, 50, 297–310. [Google Scholar]
- Sywula, T.; Jędryczkowski, W.B. Skorupiaki (Crustacea). In Flora i Fauna Pienin; Razowski, J., Ed.; Monografie Pienińskie: Krościenko, Poland, 2000; pp. 107–110. [Google Scholar]
- Von Haeckel, K. Niphargus aquilex im Odergebiet. Zool. Anz. 1907, 32, 430–431. [Google Scholar]
- Micherdziński, W. Kiełże rodzaju Gammarus FABRICIUS (Amphipoda) w wodach Polski. Acta Zool. Crac. 1959, 4, 527–637. [Google Scholar]
- Skalski, A.W. Niphargus casimiriensis sp.n., a new species of hypogeous amphipod from Poland (Crustacea, Niphargidae). Acta Hydrobiol. 1980, 22, 217–227. [Google Scholar]
- Skalski, A.W. Niphargus leopoliensis Jaworowski, 1983 (Amphipoda) in Poland. Przegląd Zool. 1980, 24, 97–101. [Google Scholar]
- Skalski, A.W. The hypogeous gammarids in Poland (Crustacea, Amphipoda, Gammaridae). Acta Hydrobiol. 1970, 12, 431–437. [Google Scholar]
- Skalski, A.W. Distribution des Amphipodes souterrains en Pologne, avec notes sur la variabilite du Niphargus tatrensis Wrześniowski. In Proceedings of the Actes du Ier Colloque International sur le genre Niphargus, Verona, Italy, 15–19 April 1969. [Google Scholar]
- Skalski, A.W. Podziemne obunogi (Amphipoda) Polski. V Rocznik Muzeum Okręgowego W Częstochowie. Przyroda 1981, 2, 61–83. [Google Scholar]
- Skalski, A.W. Groundwater fauna of the Małopolska Gap of the Vistula. Pol. Arch. Hydrobiol. 1982, 29, 387–404. [Google Scholar]
- Konopacka, A.; Jażdżewski, K. Groundwater crustaceans of the wells in the Grabia river system (Central Poland). In Proceedings of the 2nd European Crustacean Conference, Liege, Belgium, 2–6 September 1996. [Google Scholar]
- Dumnicka, E.; Galas, J. An overview of stygobiontic invertebrates of Poland based on published data. Subterr. Biol. 2017, 23, 1–18. [Google Scholar] [CrossRef] [Green Version]
- Karpowicz, M.; Pociecha, A.; Hołyńska, M.; Dumnicka, E.; Galas, J. Groundwater copepods from Carpathian flysch in south Poland. In Proceedings of the III Krajowa Konferencja Zooplanktonowa, Szczecinek, Poland, 20–22 June 2018. [Google Scholar]
- Janetzky, W.; Enderle, R.; Noodt, W. Bd. 8/4, 2: Crustacea: Copepoda: Gelyelloida und Harpacticoida; Fischer: Stuttgart, Germany, 1996. [Google Scholar]
- Błędzki, L.A.; Rybak, J.I. Freshwater Crustacean Zooplankton of Europe: Cladocera & Copepoda (Calanoida, Cyclopoida). Key to Species Identification, with Notes on Ecology, Distribution, Methods and Introduction to Data Analysis; Springer: Berlin/Heidelberg, Germany, 2016. [Google Scholar]
- Pesce, G.L.; Galassi, D.P. New or rare species of Diacyclops Kiefer, 1927 (Copepoda, Cyclopoida) from different groundwater habitats in Italy. Hydrobiologia 1987, 148, 103–114. [Google Scholar] [CrossRef]
- Sywula, T. Małżoraczki Ostracoda; PWN: Warszawa-Poznań, Poland, 1974. [Google Scholar]
- Meisch, C. Freshwater Ostracoda of Western and Central Europe; Spektrum Akademischer: Heidelberg, Germany, 2000. [Google Scholar]
- Namiotko, T.; Danielopol, D.L.; Meisch, C.; Gross, M.; Mori, N. Redefinition of the genus Typhlocypris Vejdovský, 1882 (Ostracoda, Candonidae). Crustaceana 2014, 87, 952–984. [Google Scholar] [CrossRef] [PubMed] [Green Version]
- Namiotko, T.; Danielopol, D.L.; Baltanás, A. Soft body morphology, dissection and slide-preparation of Ostracoda: A primer. Joannea Geologie Und Paläontologie 2011, 11, 327–343. [Google Scholar]
- Clarke, K.R.; Gorley, R.N. PRIMER v7: User Manual/Tutorial; PRIMER-E Ltd.: Plymouth, UK, 2015. [Google Scholar]
- Schellenberg, A. Die Höhlenfauna des Glazer Schneeberges. 2. Höchlenamphipoden des Glatzer Schneeberges. Beitrage zur Biologie des Glatzer Schneeberges 1935, 1, 72–75. [Google Scholar]
- Karaman, G.S.; Pinkster, S. Freshwater Gammarus species from Europe, North Africa and adjacent regions of Asia (Crustacea-Amphipoda). Part I. Gammarus pulex-group and related species. Bijdragen Tot De Dierkunde 1977, 47, 1–97. [Google Scholar] [CrossRef] [Green Version]
- Hajduk, Z.; Ogorzałek, A. Niphargellus arndti (Schellenberg, 1933) z jaskini Kontaktowej koło Kletna. Acta Univ. Wratislav. 3. Stud. Geograf. 1978, 24, 155–157. [Google Scholar]
- Lorenc, M.W.; Chlebicki, A.; Szumska, E. Mieszkańcy dawnych wyrobisk kopalni złota w Złotym Stoku. In Proceedings of the Materiały 37 Sympozjum Speleologicznego, Wojcieszów, Poland, 24–26 October 2003. [Google Scholar]
- Konopacka, A.; Sobocińska, V. Uwagi na temat występowania skorupiaka Synurella ambulans (Müll.) (Amphipoda, Crangonyctidae) w Polsce. Przegl. Zool. 1992, 36, 123–131. [Google Scholar]
- Dumnicka, E.; Wojtan, K. Faune aquatique de la grotte Chelosiowa Jama (Montagnes Świętokrzyskie, Pologne Centrale). Mém. Biospéol. 1994, 21, 53–56. [Google Scholar]
- Dumnicka, E.; Galas, J.; Karlikowska, J.; Sznober, N. Temporary co–existence of aquatic and terrestrial invertebrates in shallow periodically flooded and frozen cave. Biologia 2015, 70, 1201–1209. [Google Scholar] [CrossRef]
- Dumnicka, E.; Wojtan, K. Differences between cave water ecological systems in the Kraków—Częstochowa Upland. Stygologia 1990, 5, 241–247. [Google Scholar]
- Chodorowska, W.; Chodorowski, A. Ugrupowania fauny wodnej w jaskiniach tatrzańskich. Speleologia II 1960, 1, 57–62. [Google Scholar]
- Stammer, H.J. Die Höhlenfauna des Glazer Schneeberges. 8. Die Wasserfauna der Schneeberghöhlen. Beitrage Zur Biologie Des Glatzer Schneeberges 1936, 2, 199–214. [Google Scholar]
- Konopacka, A. Studnie Okolic Rzeki Grabi; University of Lodz: Lodz, Poland, 1993; Unpublished work. [Google Scholar]
- Jakubisiak, S. Materiały do fauny skorupiaków widłonogich (Copepoda) z rodziny Harpacticidae w Poznańskiem i na Pomorzu. Spraw. Komisji Fizjograf. PAU 1931, 65, 31–65. [Google Scholar]
- Klie, W. Candona latens, ein neuer Muschelkrebs aus dem Grundwasser von Mittelfranken. Zool. Anz. 1940, 131, 101–104. [Google Scholar]
- Klie, W. Zur Kenntnis der Ostracodenarten Candona eremita (Vejdovsky) und Candona reducta Alm. Mitteilungen über Höhlen Und Karstforschung 1940, 1, 24–29. [Google Scholar]
- Heck, K.L.; van Belle, G.; Simberloff, D. Explicit calculation of the rarefaction curves diversity measurement and the determination of sufficient sample size. Ecology 1975, 56, 1459–1461. [Google Scholar] [CrossRef]
- Różkowski, J. Transformations in chemical composition of karst water in the southern part of the Cracow upland (Rudawa and Prądnik drainage areas). Kras Speleol. 1996, 1, 1–106. [Google Scholar]
- Różkowski, J. Groundwaters of Carbonate Formations in the Southern Part of Jura Krakowsko-Częstochowska and Problems with Their Protection; University of Silesia: Katowice, Poland, 2006. [Google Scholar]
- Ellis, J.; Dottridge, J. Nitrate contamination of shallow groundwater in the Carpathian foothills (southern Poland). Prace Geograf. 1998, 103, 147–157. [Google Scholar]
- Żelazny, M. Biogenic Compounds in Precipitation Water, Streamwater and Groundwater in Catchments with Different Land Uses in the Wiśnickie Foothills, Southern Poland. Inst. of Geogr. and Spatial Manage; Jagiellonian University: Kraków, Poland, 2005. [Google Scholar]
- Iepure, S.; Namiotko, T.; Danielopol, D.L. Evolutionary aspects within the species group Pseudocandona eremita (Vejdovský) (Ostracoda, Candonidae). Hydrobiologia 2007, 585, 159–180. [Google Scholar] [CrossRef]
- Namiotko, T. Freshwater Ostracoda (Crustacea) of Żuławy Wiślane (Vistula Fen Country, Northern Poland). Acta Zool. Crac. 1990, 33, 459–484. [Google Scholar]
- Namiotko, T.; Sywula, T. Zgrupowanie skorupiaków (Crustacea) rowów melioracyjnych koło Szymankowa na Żuławach Wiślanych. Zesz. Nauk. Uniw. Gdański Biologia 1993, 10, 159–162. [Google Scholar]
- Mesquita-Joanes, F.; Viehberg, F.; Smith, A.J. The biology and ecology of ostracods. In Ostracoda as Proxies for Quaternary Climate Change. Developments in Quaternary Science Series; Horne, D.J., Holmes, J.A., Rodriguez-Lazaro, J., Viehberg, F.A., Eds.; Elsevier Science Publishing: Amsterdam, The Netherlands, 2012; Volume 17, pp. 15–35. [Google Scholar]
- Malard, F.; Plenet, S.; Gibert, J. The use of invertebrates in ground water monitoring: A rising research field. Groundw. Monit. Remediat. 1996, 16, 103–113. [Google Scholar] [CrossRef]
- Danielopol, D.L.; Griebler, C.; Gunatilaka, A.; Notenboom, J. Present state and future prospects for groundwater ecosystems. Environ. Conserv. 2003, 30, 104–130. [Google Scholar] [CrossRef] [Green Version]





| Localization | Coordinates | Geology Type | No of Studied Wells | Dates of Samplings | Depth (m) |
|---|---|---|---|---|---|
| Szklary (Sz) | 50°10′ N; 19°42′ E | Jurassic limestone | 7 | June, August, October 2010 | 1.5–20 |
| Witkowice (Wi) | 50°10′ N; 19°94′ E | Jurassic limestone | 7 | May, July, October 2012 | 4.5–20 |
| Jaszczurowa (Ja) | 49°47′ N; 19°30′ E | Carpathian flysch | 5 | June, August, November 2012 | 1–4 |
| Kawec (Ka) | 49°84′ N; 20°22′ E | Carpathian flysch | 7 | May, July, October 2013 | 1.9–12.5 |
| Prandocin (Pr) | 50°15′ N; 20°06′ E | Cretaceous marls | 7 | May, August 2016 | 6–14 |
| Crustacean Groups | Order | Taxa and Life Stages of Invertebrates | Wells | ||||
|---|---|---|---|---|---|---|---|
| Szklary | Jaszczurowa | Kawec | Witkowice | Prandocin | |||
| Copepoda | Cyclopoida | nauplii Cyclopoida | + | + | + | ||
| copepodids Cyclopoida | + | + | + | + | |||
| Acanthocyclops kieferi (Chappuis, 1925) | + | ||||||
| Acanthocyclops vernalis (Fischer, 1853) | + | + | |||||
| Acanthocyclops robustus (Sars G.O., 1863) | + | ||||||
| Diacyclops sp. | + | ||||||
| Diacyclops bisetosus (Rehberg, 1880) | + | + | |||||
| Diacyclops crassicaudis (Sars G.O., 1863) | + | + | |||||
| Diacyclops crassicaudis brahycercus (Kiefer, 1927) | + | ||||||
| Megacyclops viridis (Jurine, 1820) | + | ||||||
| Paracyclops imminutus Kiefer 1929 | + | ||||||
| Tropocyclops prasinus (Fischer,1860) | + | ||||||
| Harpacticoida | copepodids Harpacticoida | + | |||||
| Elaphoidella elaphoides (Chappuis, 1923) | + | ||||||
| Elaphoidella cf. elaphoides | + | ||||||
| Mesochra sp. (Schmeil, 1894) | + | ||||||
| Ostracoda | Cavernocypris subterranea (Wolf, 1920) | + | + | ||||
| Cryptocandona matris (Sywula, 1976) | + | ||||||
| Cryptocandona sp. | + | ||||||
| Cyclocypris ovum (Jurine, 1820) | + | ||||||
| Cyclocypris cf. serena (Koch, 1838) | + | ||||||
| Cypria ophtalmica (Jurine, 1820) | + | ||||||
| Fabaeformicandona brevicornis (Klie, 1925) | + | ||||||
| Potamocypris cf. pallida Alm, 1914 | + | ||||||
| Typhlocypris cf. eremita (Vejdovsky, 1882) | + | + | |||||
| Bathynellacea | Bathynella natans Vejdovsky, 1882 | + | |||||
| Amphipoda | Niphargus tatrensis Wrześniowski, 1888 | + | + | ||||
| Sum of taxa | 4 | 4 | 7 | 4 | 11 | ||
| Group/Taxa | Habitat (No of Object) | Region | Refrences | ||
|---|---|---|---|---|---|
| Caves | Wells | Interstitial Waters | |||
| AMPHIPODA | |||||
| Crangonyx paxi # Schellenberg, 1935 | 1 | Sudety Mts | [48] | ||
| Gammarus balcanicus Schäferna, 1922 | 1 | Pieniny Mts | [30] | ||
| Gammarus fossarum Koch, 1836 | 1 | Beskid Zach. Mts | [30] | ||
| Gammarus pulex polonensis # Karaman and Pinkster, 1977 | + | Wielkopolsko-Kujawska Low. | [49] | ||
| Niphargus aquilex # (?) Schiödte, 1856 | + | Wielkopolsko-Kujawska Low. | [29] | ||
| Niphargus casimiriensis # Skalski, 1980 | 11 | Małopolska Upl. | [36] | ||
| Niphargus leopoliensis #* Jaworowski, 1893 | 3 | Kraków-Wieluń Upl., Małopolska Upl., Bieszczady Mts | [36] | ||
| Niphargus tatrensis #* Wrześniowski, 1888 | 13 | + | + | Kraków-Wieluń Upl., Małopolska Upl., Sudety Mts, Beskid Zach. Mts, Beskid Wsch. Mts, Bieszczady Mts, Tatra Mts, Pogórze Wiśnickie foothills,. | see [38], orginal data |
| Niphargellus arndti # (Schellenberg, 1933) | 3 | Sudety Mts | [48,50,51] | ||
| Synurella ambulans (Müller, 1846) | 1 | Małopolska Upl. | [52] | ||
| Synurella coeca # Dobreanu and Manolache, 1951 | 4 | Małopolska Upl. | [36] | ||
| Synurella tenebrarum # (Wrześniowski, 1888) | + | Beskid Zach. Mts | [10] | ||
| BATHYNELLACEA | |||||
| Bathynella natans # Vejdovsky, 1882 | 1 | 5 | Sudety Mts., Beskid Zach. Mts, Miechów Upl. | [13], orginal data | |
| ISOPODA | |||||
| Asellus aquaticus (L.) | 2 | 8 | Kraków-Wieluń Upl., Małopolska Upl., Swiętokrzyskie Mts, Beskid Wsch. Mts | [12,37,53,54] | |
| Proasellus slavus # (Remy, 1948) | 5 | 1 | Beskid Zach. Mts | [13] | |
| COPEPODA | |||||
| CYCLOPOIDA | |||||
| Acanthocyclops kieferi (Chappuis, 1925) | 7 | 3 | 1 | Kraków-Wieluń Upl., Małopolska Upl., Świętokrzyskie Mts, Sudety Mts, Beskid Zach. Mts, Pieniny Mts, Tatra Mts | [20], orginal data |
| Acanthocyclops rhenanus # Kiefer, 1936 | + ! | Małopolska Upl. | [14] | ||
| Acanthocyclops robustus (Sars G.O.,1863) | 4 | 2 | 1 | Sudety Mts, Kraków-Wieluń Upl., Małopolska Upl., Pieniny Mts | [20,55], orginal data |
| Acanthocyclops venustus (Norman and Scott, 1906) | 3 | 1 | 2 | Kraków-Wieluń Upl., Małopolska Upl., Pieniny Mts | [20] |
| Acanthocyclops vernalis (Fischer, 1853) | 1 | 4 | 1 | Małopolska Upl., Upper Silesia, Beskid Mały. | [14,20], orginal data |
| Cyclops abyssorum (Sars G.O.,1863) | 1 | Tatra Mts | [20] | ||
| Cyclops bohater Koźmiński, 1933 | 1 | Tatra Mts | [20] | ||
| Cyclops pulchellus Koch, 1838 (1) | 1 | Kraków-Wieluń Upl. | [11] | ||
| Cyclops strenuus Fischer, 1851 | 2 | Kraków-Wieluń Upl., Małopolska Upl. | [15,17] | ||
| Cyclops vicinus Uljanin, 1875 | 1 | 1 | Kraków-Wieluń Upl., Małopolska Upl. | [20] | |
| Diacyclops sp. | 1 | Kraków-Wieluń Upl. | [orginal data] | ||
| Diacyclops abyssicola (Lilljeborg, 1901) | 1 | 1 | Upper Silesia, Małopolska Upl. | [20] | |
| Diacyclops bicuspidatus (Claus, 1857) | 7 | 2 | 2 | Kraków-Wieluń Upl., Małopolska Upl., Lubelska Upl., Pieniny Mts | [14,15,20,37,54] |
| Diacyclops bisetosus (Rehberg, 1880) | 2 | 1 | Kraków-Wieluń Upl., Małopolska Upl. | [17], orginal data | |
| Diacyclops clandestinus # (Yeatman, 1964) (2) | 1 | 1 | Upper Silesia, Tatra Mts | [20,56] | |
| Diacyclops crassicaudis (Sars G.O., 1863) | 1 | + | Małopolska Upl., Kraków-Wieluń Upl. | [14,20,37], orginal data | |
| Diacyclops crassicaudis brachycercus (Kiefer, 1927) | 1 | Małopolska Upl. | [orginal data] | ||
| Diacyclops disjunctus (Thallwitz, 1927) (3) | 2 | Sudety Mts., | [57] | ||
| Diacyclops languidoides (Lilljeborg, 1901) | 5 | 1 | 1 | Upper Silesia, Małopolska Upl., Beskid Zach. Mts, Pieniny Mts | [15,20] |
| Diacyclops languidus (Sars G.O., 1863) | 1 | Małopolska Upl. | [15] | ||
| Diacyclops nanus (Sars G.O., 1863) | 1 | 1 | Kraków-Wieluń Upl., Małopolska Upl. | [20] | |
| Eucyclops macruroides (Lilljeborg, 1901) | 2 | 2 | Upper Silesia, Małopolska Upl. | [14,20] | |
| Eucyclops serrulatus (Fischer, 1851) | 2 | 6 | 3 | Kraków-Wieluń Upl., Małopolska Upl., Świętokrzyskie Mts, Pieniny Mts | [14,15,20] |
| Eucyclops speratus (Lilljeborg, 1901) | 1 | Małopolska Upl. | [14] | ||
| Graeteriella unisetigera # (Graeter, 1908) | 1 | Wielkopolsko-Kujawska Low. | [16] | ||
| Macrocyclops albidus (Jurine, 1820) | 1 | 1 | 3 | Upper Silesia, Kraków-Wieluń Upl., Małopolska Upl., Lubelska Upl., Sudety Mts | [14,17,20] |
| Macrocyclops fuscus (Jurine, 1820) | 1 | Małopolska Upl. | [14] | ||
| Megacyclops gigas (Claus,1857) | 1 | Pieniny Mts | [20] | ||
| Megacyclops viridis (Jurine, 1820) | 4 | 2 | Kraków-Wieluń Upl., Małopolska Upl., Sudety Mts, Beskid Mały | [14,20,54,57], orginal data | |
| Metacyclops sp. | 1 | Kraków-Wieluń Upl. | [55] | ||
| Paracyclops affinis (Sars G.O., 1863) | 1 | 1 | Kraków-Wieluń Upl., Małopolska Upl. | [20,37] | |
| Paracyclops fimbriatus (Fischer, 1853) | 1 | 4 | 1 | Kraków-Wieluń Upl., Małopolska Upl., Beskid Zach. Mts | [15,17,37] |
| Paracyclops imminutus Kiefer 1929 | 1 | Beskid Mały | [orginal data] | ||
| Paracyclops poppei (Rehberg, 1880) | 2 | 2 | Kraków-Wieluń, Małopolska Upls, Sudetes, Beskid Zach. Mts | [20] | |
| Thermocyclops crassus (Fischer, 1853) Tropocyclops prasinus (Fischer, 1860) | 1 | 1 | Małopolska Upl. Beskid Mały | [20] [orginal data] | |
| CALANOIDA | |||||
| Eudiaptomus graciloides (Lilljeborg, 1888) | 1 | Małopolska Upl. | [15] | ||
| HARPACTICOIDA | |||||
| Attheyella wierzejskii (Mrázek, 1893) | 1 | 1 | Małopolska Upl., Sudety Mts | [20] | |
| Bryocamptus cuspidatus (Schmeil, 1893) | 1 | Małopolska Upl. | [58] | ||
| Bryocamptus dacicus (Chappuis, 1923) | 2 | Sudety Mts | [57] | ||
| Bryocamptus echinatus (Mrázek, 1893) | 1 | Małopolska Upl. | [58] | ||
| Bryocamptus typhlops (Mrázek, 1893) | 1 | Sudety Mts | [57] | ||
| Canthocamptus microstaphylinus (Wolf, 1909) | 1 | 1 | Małopolska Upl., Lubelska Upl. | [19] | |
| Canthocamptus staphylinus (Jurine, 1820) | 1 | 1 | Małopolska Upl., Lubelska Upl. | [19] | |
| Elaphoidella elaphoides # (Chappuis, 1924) | 4 | Podlasie Low., Małopolska Upl. | [18,58], orginal data | ||
| Elaphoidella cf. elaphoides # | 1 | Pogórze Wiśnickie foothills | [orginal data] | ||
| Epactophanes richardi Mrázek, 1893 | 1 | Sudety Mts., | [57] | ||
| Nitokra hibernica hyalina Jakubisiak, 1929 Mesochra sp. (Schmeil, 1894) | 1 | + | Wielkopolsko-Kujawska Low. Małopolska Upl. | [59] [orginal data] | |
| OSTRACODA | |||||
| Bradleystrandesia reticulata (Zaddach, 1844) (4) | no details on habitats | no details on sites | [24] | ||
| Candona candida (O.F. Müller, 1776) | + | + | Kraków-Wieluń Upl., Sudety Mts, Beskid Zach. Mts, Bieszczady Mts, Małopolska Upl. Wielkopol.-Kujawska Low, Lublin Upl.. | [24,26,36,60,61] | |
| Cavernocypris subterranea (Wolf, 1919) | +, 2 | + | Sudety Mts, Beskid Zach. Mts, Bieszczady Mts, Kraków-Wieluń Upl., Małopolska Upl. | [24,26,60,61], orginal data | |
| Cryptocandona sp. | 1 | Pogórze Wiśnickie foothills | [orginal data] | ||
| Cryptocandona matris # (Sywula, 1976) | + | Małopolska Upl., Beskid Zach. Mts, Beskid Wsch. Mts, Bieszczady Mts, Pieniny Mts, Lublin Upl., Pogórze Wiśnickie foothills | [23,24,25,27,28,36], orginal data | ||
| Cryptocandona reducta (Alm, 1914) | + | + | Sudety Mts, other sites | [24,27,60,61] | |
| Cryptocandona vavrai Kaufmann, 1900 | + | + | Sudety Mts, Beskid Zach., Tatra Mts | [24,27,60,61] | |
| Cyclocypris ovum (Jurine, 1820) | no details on habitats | 1 | no details on sites, Pogórze Wiśnickie foothills | [24], orginal data | |
| Cyclocypris serena (Koch, 1838) | no details on habitats | no details on sites | [24] | ||
| Cyclocypris cf. serena (Koch, 1838) | 1 | Kraków-Wieluń Upl. | [orginal data] | ||
| Cypria ophtalmica (Jurine, 1820) | + | + | Sudety Mts, Beskid Zach. Mts., Pogórze Wiśnickie foothills | [24], orginal data | |
| Cypria reptans Bronstein, 1928 | + | no details on sites | [24] | ||
| Darwinula stevensoni (Brady and Robertson, 1870) | + | no details on sites | [24] | ||
| Eucypris pigra (Fischer, 1851) | + | no details on sites | [24] | ||
| Fabaeformiscandona breuili #* (Paris, 1920) (5) | + | + | Sudety Mts, Bieszczady Mts, Pieniny Mts, Beskid Zach. Mts, Wielkopolsko-Kujawska Low. | [22,24,25,28] | |
| Fabaeformiscandona brevicornis (Klie, 1925) (6) | 1 | + | no details on sites, Beskid Mały | [24], orginal data | |
| Fabaeformiscandona latens #* (Klie, 1940) | + | Sudety Mts, Beskid Zach. Mts. | [22,24] | ||
| Fabaeformiscandona wegelini #* (Petkovski, 1962) | + | + | Sudety Mts, Beskid Zach. Mts, Małopolska Upl., Wielkopolsko-Kujawska Low., Lublin Upl.. | [22,24,36] | |
| Herpetocypris sp. | no details on habitats | no details on sites | [24] | ||
| Ilyocypris bradyi Sars, 1890 | + | no details on sites | [24] | ||
| Limnocythere inopinata (Baird, 1843) | + | no details on sites | [24] | ||
| Mixtacandona sp. # | + | Małopolska Upl. | [24,36] | ||
| Nannocandona faba Ekman, 1914 | + | + | Sudety Mts | [24] | |
| Nannocandona stygia # Sywula, 1976 | + | + | Sudety Mts, Beskid Zach. Mts. | [23,24] | |
| Neglecandona lindneri (Petkovski, 1969) | no details on habitats | no details on sites | [24] | ||
| Neglecandona neglecta (Sars, 1887) | + | no details on sites | [24] | ||
| Notodromas monacha (O.F. Müller, 1776) | no details on habitats | no details on sites | [24] | ||
| Physocypria kraepelini G.W. Müller, 1903) (7) | + | no details on sites | [24] | ||
| Potamocypris fulva (pallida) (Brady, 1868) | + | + | Sudety Mts, Beskid Zach, Bieszczady Mts | [24] | |
| Potamocypris cf. pallida (Alm, 1914) | 1 | Małopolska Upl. | [orginal data] | ||
| Potamocypris zschokkei (Kaufman, 1900) (8) | + | no details on sites, except Kraków-Wieluń Upl. | [24,26] | ||
| Pseudocandona albicans (Brady, 1864) (9) | + | + | Małopolska Upl., Kraków-Wieluń Upl., Sudety Mts, Beskid Zach. Mts | [21,22,24,25,26,36] | |
| Pseudocandona compressa (Koch, 1838) | + | no details on sites | [24] | ||
| Pseudocandona mira # (Sywula, 1976) | + | Beskid Zach. Mts | [23] | ||
| Pseudocandona pratensis (Hartwig, 1901) | + | Sudety Mts and other sites | [24,60] | ||
| Pseudocandona sarsi (Hartwig,1899) | + | + | + | Małopolska Upl., Kraków-Wieluń Upl., Sudety Mts, Beskid Zach. Mts | [24,37,54,60] |
| Pseudocandona semicognita (Schafer, 1934) | no details on habitats | no details on sites | [24] | ||
| Pseudocandona triquetroides (Sywula, 1974) | + | Sudety Mts, Beskid Zach. Mts | [24] | ||
| Typhlocypris eremita # * (Vejdovsky, 1882) | + | Sudety Mts, Małopolska Upl., Wielkopolsko-Kujawska Low., Beskid Zach. Mts, Lublin Upl.. | [24,36], Sywula-pers. notes | ||
| Typhlocypris cf. eremita (Vejdovsky, 1882) | 2 | Kraków-Wieluń Upl., Małopolska Upl. | [orginal data] | ||
| Typhlocypris szoecsi # (Farkas, 1958) | Małopolska Upl., Beskid Zach. Mts, Lublin Upl.. | [24,36] | |||
Publisher’s Note: MDPI stays neutral with regard to jurisdictional claims in published maps and institutional affiliations. |
© 2021 by the authors. Licensee MDPI, Basel, Switzerland. This article is an open access article distributed under the terms and conditions of the Creative Commons Attribution (CC BY) license (https://creativecommons.org/licenses/by/4.0/).
Share and Cite
Pociecha, A.; Karpowicz, M.; Namiotko, T.; Dumnicka, E.; Galas, J. Diversity of Groundwater Crustaceans in Wells in Various Geologic Formations of Southern Poland. Water 2021, 13, 2193. https://doi.org/10.3390/w13162193
Pociecha A, Karpowicz M, Namiotko T, Dumnicka E, Galas J. Diversity of Groundwater Crustaceans in Wells in Various Geologic Formations of Southern Poland. Water. 2021; 13(16):2193. https://doi.org/10.3390/w13162193
Chicago/Turabian StylePociecha, Agnieszka, Maciej Karpowicz, Tadeusz Namiotko, Elżbieta Dumnicka, and Joanna Galas. 2021. "Diversity of Groundwater Crustaceans in Wells in Various Geologic Formations of Southern Poland" Water 13, no. 16: 2193. https://doi.org/10.3390/w13162193
APA StylePociecha, A., Karpowicz, M., Namiotko, T., Dumnicka, E., & Galas, J. (2021). Diversity of Groundwater Crustaceans in Wells in Various Geologic Formations of Southern Poland. Water, 13(16), 2193. https://doi.org/10.3390/w13162193

