Activated Ailanthus altissima Sawdust as Adsorbent for Removal of Acid Yellow 29 from Wastewater: Kinetics Approach
Abstract
:1. Introduction
2. Materials and Methods
2.1. Acid Yellow 29 as Adsorbate and Activation of Sawdust
2.2. Instruments Used in the Study
2.2.1. UV-Spectrophotometer
2.2.2. SEM
2.2.3. XRD and EDX
2.2.4. BET Surface Area Analyzer
2.3. Adsorption Experiments
3. Results and Discussion
3.1. Characterization of the Sample
3.1.1. SEM Study
3.1.2. EDX Analysis
3.1.3. FTIR Analysis
3.1.4. Surface Area
3.2. Kinetics Studies
3.2.1. The Effect of Contact Time on Adsorption
3.2.2. Pseudo-1st Order Reaction Rate Equation
3.2.3. Pseudo Second Order Kinetic Equation
3.2.4. Elovich Model
3.2.5. Intraparticle Diffusion Model
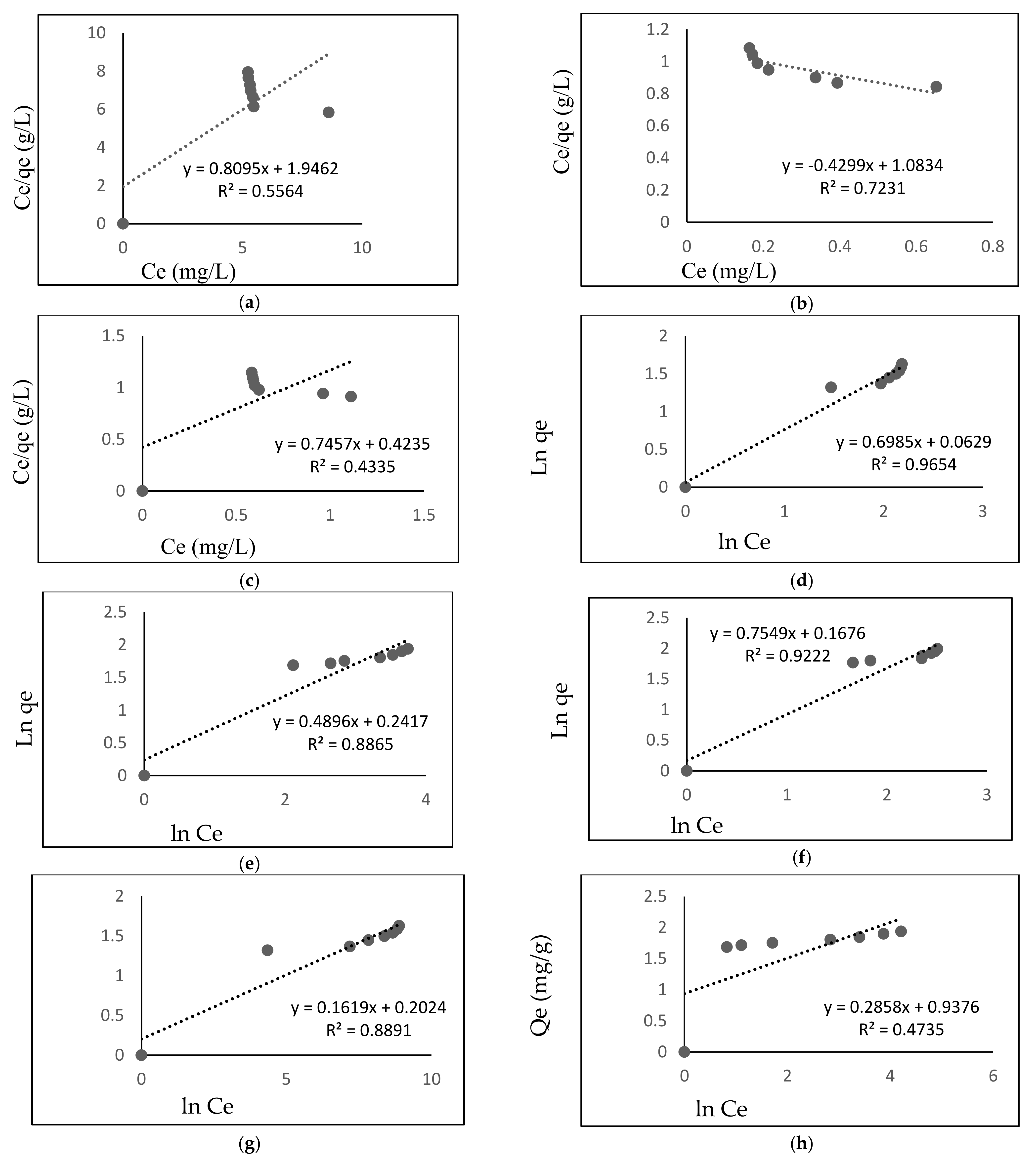
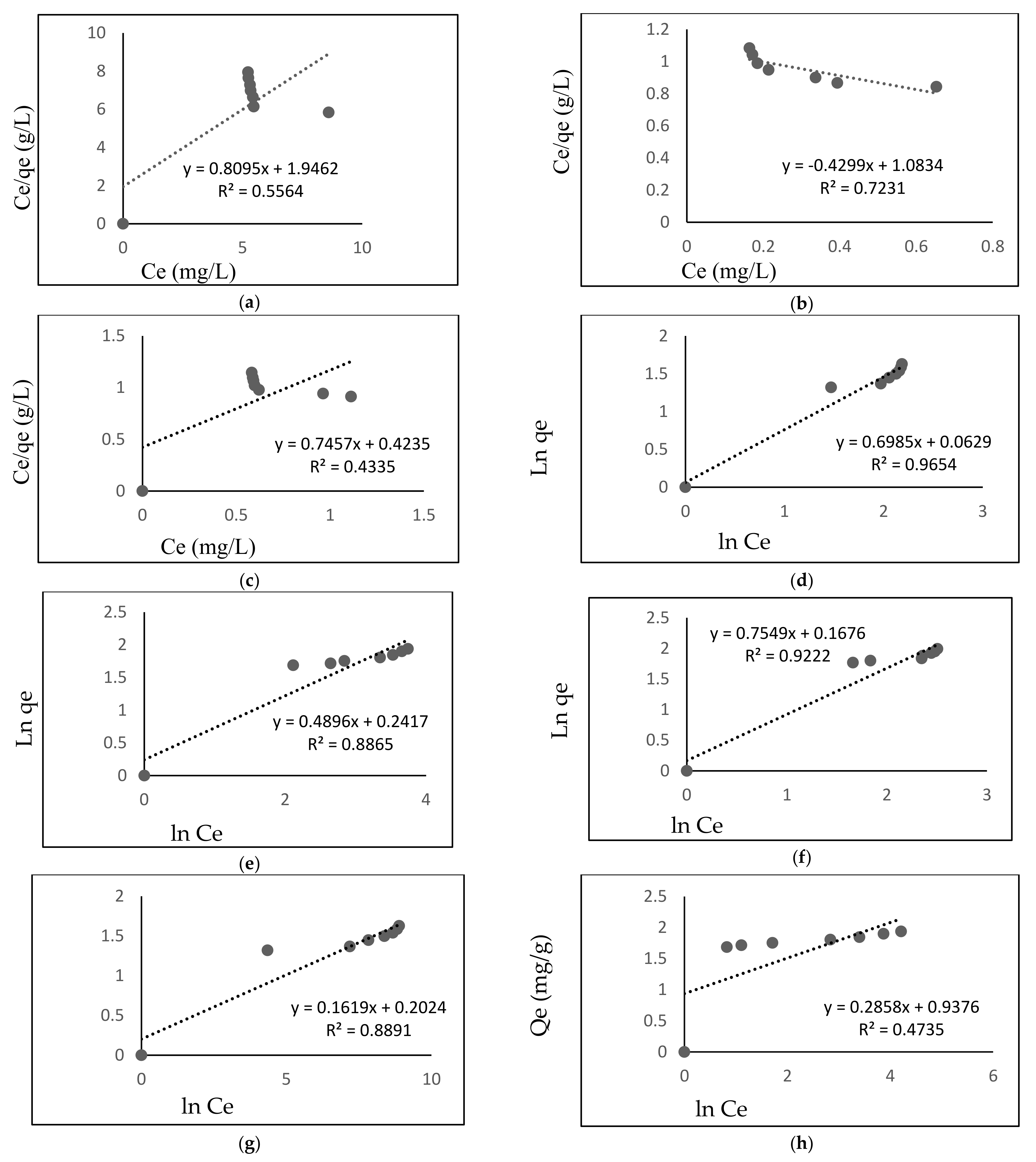
3.3. Isotherm Studies
3.3.1. Langmuir Adsorption Model
3.3.2. Freundlich Adsorption Isotherm Model
3.3.3. Temkin Isotherm Model for Adsorption
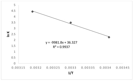
3.4. Thermodynamics Parametes for Adsorption of AY 29 on Sawdust
3.5. Comparison of Adsorption Capacities of Present Adsorbent with Those Reported in Literature
4. Conclusions
Author Contributions
Funding
Institutional Review Board Statement
Informed Consent Statement
Data Availability Statement
Conflicts of Interest
References
- Ikram, M.; Zahoor, M.; Batiha, G.E.-S. Biodegradation and decolorization of textile dyes by bacterial strains: A biological approach for wastewater treatment. Z. Phys. Chem. 2020, 2020, 1708. [Google Scholar]
- Khayam, S.M.U.; Zahoor, M.; Khan, E.; Shah, M. Reduction of keto group in drimarene blue by Aspergillus niger; a predominant reason for subsequent decolorization. Fresenius Environ. Bull. 2020, 29, 1397–1410. [Google Scholar]
- Ikram, M.; Zahoor, M.; Khan, E.; Khayam, S.M.U. Biodegradation of Novacron Turqueiose (Reactive Blue 21) by Pseudomonas aeruginosa. J. Chem. Soc. Pak. 2020, 42, 737–745. [Google Scholar]
- Ahmed, I.; Jhung, S.H. Adsorptive desulfurization and denitrogenation using metal-organic frameworks. J. Hazard. Mater. 2016, 301, 259–276. [Google Scholar] [CrossRef] [PubMed]
- Aguilera-Sigalat, J.; Bradshaw, D. Synthesis and applications of metal-organicframework quantum dot (QD@MOF) composites. Coord. Chem. Rev. 2016, 307, 267–291. [Google Scholar] [CrossRef] [Green Version]
- Adegoke, K.A.; Bello, O.S. Dye sequestration using agricultural wastes as adsorbents. Water Resour. Ind. 2015, 12, 8–24. [Google Scholar] [CrossRef] [Green Version]
- Zhou, Y.; Zhang, L.; Cheng, Z. Removal of organic pollutants from aqueous solution using agricultural wastes A review. J. Mol. Liq. Sci. 2015, 140, 132–139. [Google Scholar] [CrossRef]
- Alam, S.; Khan, M.S.; Umar, A.; Khattak, R.; Rahman, N.u.; Zekker, I.; Burlakovs, J.; Rubin, S.S.d.; Ghangrekar, M.M.; Bhowmick, G.D.; et al. Preparation of Pd–Ni Nanoparticles Supported on Activated Carbon for Efficient Removal of Basic Blue 3 from Water. Water 2021, 13, 1211. [Google Scholar] [CrossRef]
- Umar, A.; Khan, M.S.; Alam, S.; Zekker, I.; Burlakovs, J.; DC Rubin, S.S.; Bhowmick, G.D.; Kallistova, A.; Pimenov, N.; Zahoor, M. Synthesis and Characterization of Pd-Ni Bimetallic Nanoparticles as Efficient Adsorbent for the Removal of Acid Orange 8 Present in Wastewater. Water 2021, 13, 1095. [Google Scholar] [CrossRef]
- Mahalakshmi, M.; Saranaathan, S.E. Film pore diffusion modeling for solution on to acid treated sugar cane bagasse. Desalination Water Treat. 2019, 168, 324–339. [Google Scholar] [CrossRef]
- Veliev, E.V.; Ozturk, T.; Veli, S.; Fatullayev, A.G. Application of Diffusion Model for Adsorption of Azo Reactive Dye on Pumice. Pol. J. Environ. Stud. 2006, 15, 347–353. [Google Scholar]
- Zadeh, B.S.; Esmaeili, H.; Foroutan, R.; Mousavi, S.M.; Hashemi, S.A. Removal of Cd2+ from Aqueous Solution using Eucalyptus Sawdust as a Bio-Adsorbent: Kinetic and Equilibrium Studies. J. Environ. Treatment Techniques 2020, 8, 112–118. [Google Scholar]
- Giwa, A.A.; Oladipo, M.A.; Salam, K.A.A. Adsorption of Rhodamine B from single, binary and ternary dye systems using Sawdust of Parkia biglobosa as adsorbent: Isotterm kinetic and thermodynamics studies. J. Chem. Pharm. Res. 2015, 7, 454–475. [Google Scholar]
- Giwa, A.A.; Olajire, A.A.; Oladipo, M.A.; Bello, M.O.; Bello, I.A. Adsorption of ternary metals system onto the sawdust of locust bean tree (Parkiabiglobosa): Equilibrium, kinetics and thermodynamics studies. Int. J. Sci. Eng. Res. 2013, 4, 1275–1296. [Google Scholar]
- Bagane, M.; Guiza, S. Removal of a dye from textile effluents by adsorption. Annu. Chim. 2000, 25, 615–626. [Google Scholar] [CrossRef]
- Alam, S.; Khan, M.S.; Bibi, W.; Zekker, I.; Burlakovs, J.; Ghangrekar, M.M.; Bhowmick, G.D.; Kallistova, A.; Pimenov, N.; Zahoor, M. Preparation of Activated Carbon from the Wood of Paulownia tomentosa as an Efficient Adsorbent for the Removal of Acid Red 4 and Methylene Blue Present in Wastewater. Water 2021, 13, 1453. [Google Scholar] [CrossRef]
- Farinella, N.V.; Matos, G.D.; Arruda, M.A.Z. Grape bagasse as a potential biosorbent of metals in effluent treatments. Bioresour. Technol. 2007, 98, 1940–1946. [Google Scholar] [CrossRef]
- Olajire, A.A.; Giwa, A.A.; Bello, I.A. Competitive adsorption of dye species from aqueous solution onto melon husk in single and ternary dye systems. Int. J. Environ. Sci. Technol. 2015, 12, 939–950. [Google Scholar] [CrossRef] [Green Version]
- Ayati, A.; Shahrak, M.N.; Tanhaei, B.; Sillanpaa, M. Emerging adsorptive removal of azo dye by metaleorganic frameworks. Chemosphere 2016, 160, 30–44. [Google Scholar] [CrossRef]
- Giwa, A.A.; Bello, I.A.; Olajire, A.A. Removal of basic dye from aqueous solution by adsorption on melon husk in binary and ternary systems. Chem. Process. Eng. Res. 2013, 13, 51–68. [Google Scholar]
- Malkoc, E.; Nuhoglu, Y. Fixed bed studies for the sorption of chromium (VI) onto tea factory waste. Chem. Eng. Sci. 2006, 61, 4363–4372. [Google Scholar] [CrossRef]
- Rattanaphani, S.; Chairat, M.; Bremner, J.; Rattanaphani, V. An adsorption and thermodynamic study of lac dyeing on cotton pretreated with chitosan. Dye. Pigment. 2007, 72, 88–96. [Google Scholar] [CrossRef]
- Tounsadi, H.; Metarfi, Y.; Barka, N.; Taleb, M.; Rais, Z. Removal of Textile Dyes by Chemically Treated Sawdust of Acacia: Kinetic and Equilibrium Studies. J. Chem. 2020, 2020, 1–12. [Google Scholar] [CrossRef]
- Doltabadi, M.; Alidadi, H.; Davoudi, M. Comparative study of cationic and anionic dye removal from aqueous solutions using sawdust-based adsorbent. Environ. Prog. Sustain. Energy 2016, 35, 1078–1090. [Google Scholar] [CrossRef]
- Hameed, B.H.; Ahmad, A.L.; Latiff, K.N.A. Adsorption of basic dye (methylene blue) onto activated carbon prepared from rattan sawdust. Dye. Pigment. 2007, 75, 143–149. [Google Scholar] [CrossRef]








| Chemical Name | Acid Yellow 29 |
|---|---|
| Molecular Formula | C22H17ClN5NaO6S2 |
| Molecular Weight | 569.97 g/mol |
| Classification | Anionic |
| Physical Description | Yellow Powder |
| λmax | 407 nm |
| Solubility in water | Concrete value of solubility in water |
| Kinetic Model | Parameter | Adsorption Temperatures | ||
|---|---|---|---|---|
| 10°C | 20°C | 30°C | ||
| Pseudo-first order | qe | 9.467 | 12.798 | 11.46 |
| k1 | −5 × 10−6 | −6 × 10−6 | −7 × 10−6 | |
| R2 | 0.9974 | 0.9977 | 0.99 | |
| Pseudo-second order | qe | 0.001792 | 0.003306 | 0.001947 |
| k2 | 121876 | 111880 | 118227 | |
| R2 | 0.9999 | 1 | 0.9999 | |
| Intra particle diffusion | kip | 0.002 | 0.0024 | 0.0028 |
| Intercept | 0.7855 | 0.8052 | 0.8442 | |
| R2 | 0.9972 | 0.9991 | 0.9865 | |
| Elovich | B | 0.0136 | 0.0172 | 0.0195 |
| R2 | 0.9376 | 0.9937 | 0.9503 | |
| Isotherm Models | Parameters | Adsorption Temperatures | ||
|---|---|---|---|---|
| 20 °C | 30 °C | 40 °C | ||
| Langmuir | qmax | 0.8095 | 0.4299 | 0.7457 |
| KL | 1.9462 | 1.0834 | 0.4235 | |
| R2 | 0.8451 | 0.7231 | 0.8433 | |
| Freundlich | slope | 0.6985 | 0.4896 | 11.46 |
| kf | 0.0629 | 0.2417 | 0.7549 | |
| R2 | 0.9654 | 0.8865 | 0.1676 | |
| Temkin | B1 | 0.1619 | 0.2858 | 0.1321 |
| KT | 0.2024 | 0.9376 | 0.5149 | |
| R2 | 0.8891 | 0.7435 | 0.7312 | |
| ∆G° (KJmol−1) | ∆H° (KJmol−1) | ∆S° (KJ mol−1K−1) | Ea (KJmol−1) | ||
|---|---|---|---|---|---|
| 20 °C | 30 °C | 40 °C | −9.981 | 0.0363 | 0.013 |
| −0.275 | −3.422 | −6.171 | |||
| Dyes | Adsorbent | Qmax (mg/g) | Reference |
|---|---|---|---|
| Methylene blue and brilliant blue | Basic sawdust acacia Acidic sawdust acacia | 8.13 and 267.04 6.19 and 230.76 | [23] |
| Basic Red 46 and Reactive Red 196 | sawdust-based adsorbent | 13.94 and 13.39 | [24] |
| Methylene blue | Rattan sawdust | 294.14 | [25] |
| Acid Yellow 29 | Activated Ailanthus altissima Sawdust | 13 | Present study |
Publisher’s Note: MDPI stays neutral with regard to jurisdictional claims in published maps and institutional affiliations. |
© 2021 by the authors. Licensee MDPI, Basel, Switzerland. This article is an open access article distributed under the terms and conditions of the Creative Commons Attribution (CC BY) license (https://creativecommons.org/licenses/by/4.0/).
Share and Cite
Rahman, N.u.; Ullah, I.; Alam, S.; Khan, M.S.; Shah, L.A.; Zekker, I.; Burlakovs, J.; Kallistova, A.; Pimenov, N.; Vincevica-Gaile, Z.; et al. Activated Ailanthus altissima Sawdust as Adsorbent for Removal of Acid Yellow 29 from Wastewater: Kinetics Approach. Water 2021, 13, 2136. https://doi.org/10.3390/w13152136
Rahman Nu, Ullah I, Alam S, Khan MS, Shah LA, Zekker I, Burlakovs J, Kallistova A, Pimenov N, Vincevica-Gaile Z, et al. Activated Ailanthus altissima Sawdust as Adsorbent for Removal of Acid Yellow 29 from Wastewater: Kinetics Approach. Water. 2021; 13(15):2136. https://doi.org/10.3390/w13152136
Chicago/Turabian StyleRahman, Najeeb ur, Ihsan Ullah, Sultan Alam, Muhammad Sufaid Khan, Luqman Ali Shah, Ivar Zekker, Juris Burlakovs, Anna Kallistova, Nikolai Pimenov, Zane Vincevica-Gaile, and et al. 2021. "Activated Ailanthus altissima Sawdust as Adsorbent for Removal of Acid Yellow 29 from Wastewater: Kinetics Approach" Water 13, no. 15: 2136. https://doi.org/10.3390/w13152136
APA StyleRahman, N. u., Ullah, I., Alam, S., Khan, M. S., Shah, L. A., Zekker, I., Burlakovs, J., Kallistova, A., Pimenov, N., Vincevica-Gaile, Z., Jani, Y., & Zahoor, M. (2021). Activated Ailanthus altissima Sawdust as Adsorbent for Removal of Acid Yellow 29 from Wastewater: Kinetics Approach. Water, 13(15), 2136. https://doi.org/10.3390/w13152136

