Silica Removal from a Paper Mill Effluent by Adsorption on Pseudoboehmite and γ-Al2O3
Abstract
:1. Introduction
2. Materials and Methods
2.1. Materials
2.2. Metodology
2.3. Analytical Methods
3. Results and Discussion
3.1. Sorbents Characterization
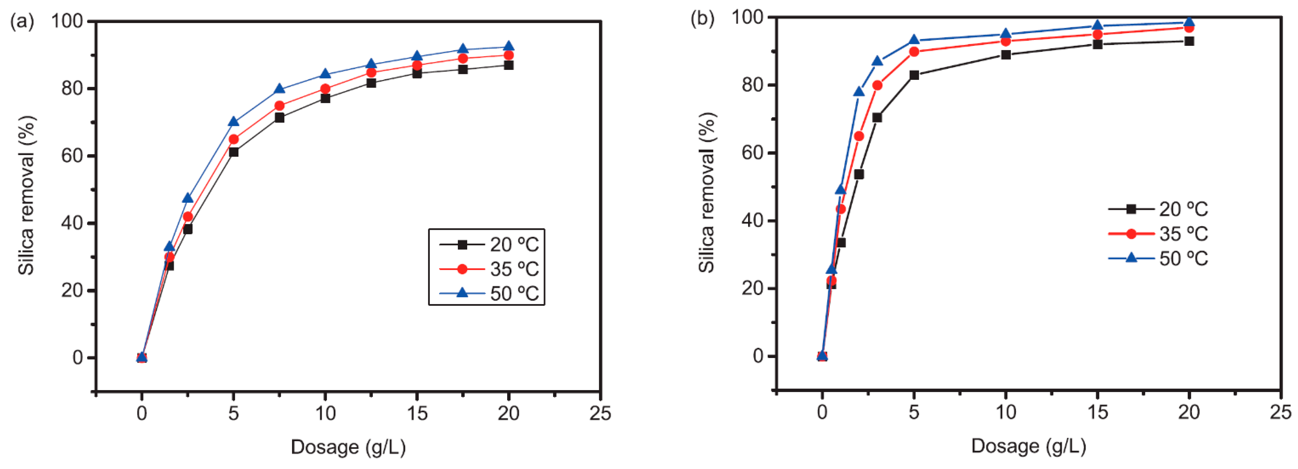
3.2. Effect of Sorbent Dosage
3.3. Effect of pH
3.4. Adsorption Kinetics
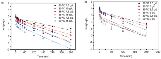
3.4.1. Lagergren’s Pseudo-First- and -Second-Order Models
3.4.2. Intraparticle Diffusion and Boyd Models
3.5. Equilibrium studies
3.6. Adsorption Thermodynamics
3.7. Effect of Competing Ions
4. Conclusions
Supplementary Materials
Author Contributions
Funding
Institutional Review Board Statement
Informed Consent Statement
Data Availability Statement
Conflicts of Interest
References
- Wachinski, A. Membrane Processes for Water Reuse, 1st ed.; McGrawHill: New York, NY, USA, 2012. [Google Scholar]
- Hankis, N.P.; Singh, R. Emerging Membrane Technology for Sustainable Water Treatment, 1st ed.; Elsevier Science: Amsterdam, The Netherlands, 2016. [Google Scholar]
- Blanco, L.; Hermosilla, D.; Blanco, A.; Swinnen, N.; Prieto, D.; Negro, C. MBR+ RO Combination for PVC Production Effluent Reclamation in the Resin Polymerization Step: A Case Study. Ind. Eng. Chem. Res. 2016, 55, 6250–6259. [Google Scholar] [CrossRef]
- Prieto, D.; Swinnen, N.; Blanco, L.; Hermosilla, D.; Cauwenberg, P.; Blanco, Á.; Negro, C. Drivers and economic aspects for the implementation of advanced wastewater treatment and water reuse in a PVC plant. Water Resour. Ind. 2016, 14, 26–30. [Google Scholar] [CrossRef] [Green Version]
- Pinto, H.B.; de Souza, B.M.; Dezotti, M. Treatment of a pesticide industry wastewater mixture in a moving bed biofilm reactor followed by conventional and membrane processes for water reuse. J. Clean. Prod. 2018, 201, 1061–1070. [Google Scholar] [CrossRef]
- Cinperi, N.C.; Ozturk, E.; Yigit, N.O.; Kitis, M. Treatment of woolen textile wastewater using membrane bioreactor, nanofiltration and reverse osmosis for reuse in production processes. J. Clean. Prod. 2019, 223, 837–848. [Google Scholar] [CrossRef]
- Nadeem, K.; Guyer, G.T.; Keskinler, B.; Dizge, N. Investigation of segregated wastewater streams reusability with membrane process for textile industry. J. Clean. Prod. 2019, 228, 1437–1445. [Google Scholar] [CrossRef]
- Ordóñez, R.; Hermosilla, D.; San Pío, I.; Blanco, Á. Evaluation of MF and UF as pretreatments prior to RO applied to reclaim municipal wastewater for freshwater substitution in a paper mill: A practical experience. Chem. Eng. J. 2011, 166, 88–98. [Google Scholar] [CrossRef] [Green Version]
- Ordóñez, R.; Hermosilla, D.; Merayo, N.; Gascó, A.; Negro, C.; Blanco, Á. Application of multi-barrier membrane filtration technologies to reclaim municipal wastewater for industrial use. Sep. Purif. Rev. 2014, 43, 263–310. [Google Scholar] [CrossRef] [Green Version]
- Hubbe, M.A.; Metts, J.R.; Hermosilla, D.; Blanco, A.; Yerushalmi, L.; Haghighat, F.; Lindohlm-Lehto, P.; Khodaparast, Z.; Kamalli, M.; Elliot, A. Wastewater Treatment and Reclamation: A Review of Pulp and Paper Industry Practices and Opportunities. BioResources 2016, 11, 7956–8091. [Google Scholar] [CrossRef] [Green Version]
- Petrinic, I.; Korenak, J.; Povodnik, D.; Hélix-Nielsen, C. A feasibility study of ultrafiltration/reverse osmosis (UF/RO)-based wastewater treatment and reuse in the metal finishing industry. J. Clean. Prod. 2015, 101, 292–300. [Google Scholar] [CrossRef]
- Cristóvão, R.O.; Botelho, C.M.; Martins, R.J.; Loureiro, J.M.; Boaventura, R.A. Fish canning industry wastewater treatment for water reuse—A case study. J. Clean. Prod. 2015, 87, 603–612. [Google Scholar] [CrossRef]
- Milne, N.A.; O’Reilly, T.; Sanciolo, P.; Ostarcevic, E.; Beighton, M.; Taylor, K.; Mullet, M.; Tarquin, A.J.; Gray, S.R. Chemistry of silica scale mitigation for RO desalination with particular reference to remote operations. Water Res. 2014, 15, 107–133. [Google Scholar] [CrossRef]
- Ordóñez, R.; Hermosilla, R.; San Pío, I.; Blanco, A. Replacement of fresh water use by final effluent recovery in a highly optimized 100% recovered paper mill. Water Sci. Technol. 2010, 62, 1694–1703. [Google Scholar] [CrossRef] [Green Version]
- Salvador Cob, S.; Beaupin, C.; Hofs, B.; Nederlof, M.M.; Harmsen, D.J.H.; Cornelissen, E.R.; Zwijnenburg, A.; Gencelli Güner, F.E.; Witkamp, G.J. Silica and silicate precipitation as limiting factors in high-recovery reverse osmosis operations. J. Membr. Sci. 2012, 423–424, 1–10. [Google Scholar] [CrossRef]
- Salvador Cob, S.; Yeme, C.; Hofs, B.; Cornelissen, E.R.; Vries, D.; Gencelli Güner, F.E.; Witkamp, G.J. Towards zero liquid discharge in the presence of silica: Stable 98% recovery in nanofiltration and reverse osmosis. Sep. Purif. Technol. 2015, 140, 23–31. [Google Scholar] [CrossRef]
- Matin, A.; Rahman, F.; Shafi, H.Z.; Zubair, S.M. Scaling of reverse osmosis membranes used in water desalination: Phenomena, impact, and control; future directions. Desalination 2019, 455, 135–157. [Google Scholar] [CrossRef]
- Park, Y.-M.; Yeon, K.-M.; Park, C.-H. Silica treatment technologies in reverse osmosis for industrial desalination: A review. Environ. Eng. Res. 2020, 25, 819–829. [Google Scholar] [CrossRef]
- Rathinam, K.; Abraham, S.; Oren, Y.; Schwahn, D.; Petry, W.; Kaufman, Y.; Kasher, R. Surface-induced silica scaling during brackish water desalination: The role of surface charge and specific chemical groups. Environ. Sci. Technol. 2019, 53, 5202–5211. [Google Scholar] [CrossRef] [PubMed]
- Ni, P.; Fox, J.T. Metal organic frameworks synthesized with green chemistry for the removal of silicic acid from aqueous solutions. Sep. Purif. Technol. 2021, 272, 118118. [Google Scholar] [CrossRef]
- Parks, J.L.; Edwards, M. Boron removal via formation of magnesium silicate solids during precipitative softening. J. Environ. Eng. 2007, 133, 149–156. [Google Scholar] [CrossRef]
- Hsu, H.; Chen, S.; Lin, C.; Chang, T. Silica pretreatment for RO membrane by softening-adsorption. J. Environ. Eng. Manag. 2008, 18, 99–103. [Google Scholar]
- Hermosilla, D.; Ordóñez, R.; Blanco, L.; de la Fuente, E.; Blanco, A. pH and particle structure effects on silica removal by coagulation. Chem. Eng. Technol. 2012, 35, 1632–1640. [Google Scholar] [CrossRef] [Green Version]
- Latour, I.; Miranda, R.; Blanco, A. Silica removal from newsprint mill effluents with aluminum salts. Chem. Eng. J. 2013, 230, 522–531. [Google Scholar] [CrossRef] [Green Version]
- Latour, I.; Miranda, R.; Blanco, A. Silica removal in industrial effluents with high silica content and low hardness. Environ. Sci. Pollut. Res. 2014, 21, 9832–9842. [Google Scholar] [CrossRef] [PubMed] [Green Version]
- Sasan, K.; Brady, P.V.; Krumhansl, J.L.; Nenoff, T.M. Exceptional selectivity for dissolved silicas in industrial waters using mixed oxides. J. Water Process. Eng. 2017, 20, 187–192. [Google Scholar] [CrossRef]
- Yu, M.-J.; Li, X.; Ahn, W.-S. Adsorptive removal of arsenate and ortophosphate anions by mesoporous alumina. Micropor Mesopor Mater. 2008, 113, 197–203. [Google Scholar] [CrossRef]
- Bouguerra, W.; Marzouk, I.; Hamrouni, B. Equilibrium and kinetic studies of adsorption of boron on activated alumina. Water Environ. Res. 2009, 81, 2455–2459. [Google Scholar] [CrossRef]
- Granados-Correa, F.; Jiménez-Becerril, J. Chromium (VI) adsorption on boehmite. J. Hazard. Mater. 2009, 162, 1178–1184. [Google Scholar] [CrossRef] [PubMed]
- Lee, G.; Chen, C.; Yang, S.-T.; Ahn, W.-S. Enhanced adsorptive removal of fluoride using mesoporous alumina. Microporous Mesoporous Mater. 2010, 127, 152–156. [Google Scholar] [CrossRef]
- Poursani, A.S.; Nilchi, A.; Hassani, A.H.; Shariat, M.; Nouri, J. A novel method for synthesis of nano-γ-Al2O3: Study of adsorption behavior of chromium, nickel, cadmium and lead ions. Int. J. Environ. Sci. Technol. 2015, 12, 2003–2014. [Google Scholar] [CrossRef] [Green Version]
- Sharawy, H.; Ossman, M.E.; Mansour, M.S. Kinetics modelling and adsorption isotherm studies for Cr(III) removal using boehmite nano-powder. Int. J. Chem. Biochem. Sci. 2013, 3, 9–18. [Google Scholar]
- Bouguerra, W.; Ben Sik Ali, M.; Hamrouni, B.; Dhahbi, M. Equilibrium and kinetic studies of adsorption of silica on activated alumina. Desalination 2007, 206, 141–146. [Google Scholar] [CrossRef]
- Sanciolo, P.; Milne, N.; Taylor, J.; Mullet, M.; Gray, S. Silica scale mitigation for high recovery reverse osmosis of groundwater for a mining process. Desalination 2014, 340, 49–58. [Google Scholar] [CrossRef] [Green Version]
- Miranda, R.; Nicu, R.; Latour, I.; Lupei, M.; Bobu, E.; Blanco, A. Efficiency of chitosans for the treatment of papermaking process water by dissolved air flotation. Chem. Eng. J. 2013, 231, 304–313. [Google Scholar] [CrossRef] [Green Version]
- Boguniewicz-Zabłocka, J.; & Kłosok-Bazan, I. Sustainable processing of paper industry water and wastewater: A case study on the condition of limited freshwater resources. Pol. J. Environ. Stud. 2020, 29, 2063–2070. [Google Scholar] [CrossRef]
- Huuha, T.S.; Kurniawan, T.A.; Sillanpää, M.E. Removal of silicon from pulping whitewater using integrated treatment of chemical precipitation and evaporation. Chem. Eng. J. 2010, 158, 584–592. [Google Scholar] [CrossRef]
- Latour, I.; Miranda, R.; Blanco, A. Silica removal with sparingly soluble magnesium compounds. Part I. Sep. Purif. Technol. 2014, 138, 210–218. [Google Scholar] [CrossRef] [Green Version]
- Latour, I.; Miranda, R.; Blanco, A. Optimization of silica removal with magnesium chloride in papermaking effluents: Mechanistic and kinetic studies. Environ. Sci. Pollut. Res. 2016, 23, 3707–3717. [Google Scholar] [CrossRef]
- Lv, Y.; Li, D.; Tang, P.; Feng, Y. A simple and promoter free way to synthesize spherical γ-alumina with high hydrothermal stability. Mater. Lett. 2015, 155, 75–77. [Google Scholar] [CrossRef]
- Latour, I. Silica Removal Pretreatment for Effluent Reuse in Graphic Paper Production. Ph.D. Thesis, Universidad Complutense de Madrid, Madrid, Spain, 2016. [Google Scholar]
- Tsukada, T.; Segawa, H.; Yasumori, A.; Okada, K. Crystallinity of boehmite and its effect on the phase transition temperature of alumina. J. Mater. Chem. 1999, 9, 549–553. [Google Scholar] [CrossRef]
- Brühne, S.; Gottlieb, S.; Assmus, W.; Alig, E.; Schmidt, M.U. Atomic structure analysis of nanocrystalline boehmite AlO(OH). Cryst. Growth Des. 2008, 8, 489–493. [Google Scholar] [CrossRef] [Green Version]
- Potdar, H.S.; Jun, K.-W.; Bae, J.W.; Kim, S.-M.; Lee, Y.-J. Synthesis of nano-sized porous γ-alumina powder via a precipitation/digestion route. Appl. Catal. A Gen. 2007, 321, 109–116. [Google Scholar] [CrossRef]
- Park, M.-C.; Lee, S.-R.; Kim, H.; Park, I.; Choy, J.-H. Tailoring porosity of colloidal boehmite sol by crystallite size. Bull. Korean Chem. Soc. 2012, 33, 1962–1966. [Google Scholar] [CrossRef]
- Wilhelm, S.; Kind, M. Influence of pH, temperature and sample size on natural and enforced syneresis of precipitated silica. Polymers 2015, 7, 2504–2521. [Google Scholar] [CrossRef] [Green Version]
- Granados-Correa, F.; Jiménez-Becerril, J. The effect of the calcination temperature of boehmite on its Co (II) adsorption properties. J. Ceram. Process. Res. 2012, 13, 142–148. [Google Scholar] [CrossRef]
- Leyva-Ramos, R.; Medellin-Castillo, N.A.; Jacobo-Azuara, A.; Mendoza-Barron, J.; Landin-Rodriguez, L.E.; Martinez-Rosales, J.M.; Aragon-Piña, A. Fluoride removal from water solution by adsorption on activated alumina prepared from pseudoboehmite. J. Environ. Eng. Manag. 2008, 18, 301–309. [Google Scholar]
- Miranda, R.; Latour, I.; Hörsken, A.; Jarabo, R.; Blanco, A. Enhanced Silica Removal by Polyamine-and Polyacrylamide-Polyaluminum Hybrid Coagulants. Chem. Eng. Technol. 2015, 38, 2045–2053. [Google Scholar] [CrossRef]
- Tombácz, E.; Dobos, Á.; Szekeres, M.; Narres, H.D.; Klump, E.; Dékány, I. Effect of pH and ionic strength on the interaction of humic acid with aluminum oxide. Colloid Polym. Sci. 2000, 278, 337–345. [Google Scholar] [CrossRef]
- Ning, R.Y. Discussion of silica speciation, fouling, control and maximum reduction. Desalination 2003, 151, 67–73. [Google Scholar] [CrossRef]
- Matson, J.V. Industrial Waste-Water Reuse by Selective Silica Removal over Activated Alumina. U.S. Patent 4276180, 1981. Available online: https://patents.google.com/patent/US4276180A/en (accessed on 8 February 2021).
- Chen, S.; Chang, T.; Lin, C. Silica pretreatment for a RO brackish water source with high magnesium. Water Sci Tech. Water Supply 2006, 6, 179–187. [Google Scholar] [CrossRef]
- Latour, I.; Miranda, R.; Blanco, A. Silica removal with sparingly soluble magnesium compounds. Part II. Sep. Purif. Technol. 2015, 149, 331–338. [Google Scholar] [CrossRef]
- Gong, W.X.; Qu, J.H.; Liu, R.P.; Lan, H.C. Adsorption of fluoride onto different types of aluminas. Chem. Eng. J. 2012, 189, 126–133. [Google Scholar] [CrossRef]
- Inglezakis, V.J.; Zorpas, A.A. Heat of adsorption, adsorption energy and activation energy in adsorption and ion exchange systems. Desalin. Water Treat. 2012, 39, 149–157. [Google Scholar] [CrossRef]
- Sasan, K.; Brady, P.V.; Krumhansl, J.L.; Nenoff, T.M. Removal of dissolved silica from industrial waters using inorganic ion exchangers. J. Water Process. Eng. 2017, 17, 117–123. [Google Scholar] [CrossRef] [Green Version]
- Viegas, R.M.; Campinas, M.; Costa, H.; Rosa, M.J. How do the HSDM and Boyd’s model compare for estimating intraparticle diffusion coefficients in adsorption processes. Adsorption 2014, 20, 737–746. [Google Scholar] [CrossRef]
- Le, D.M.; Sørensen, H.R.; Knudsen, N.O.; Meyer, A.S. Implications of silica on biorefineries—Interactions with organic material and mineral elements in grasses. Biofuel. Bioprod. Biotechnol. 2015, 9, 109–121. [Google Scholar] [CrossRef]














| Raw Water | Dissolved Fraction | ||
|---|---|---|---|
| Parameter | Value | Parameter | Value |
| pH | 8.4 ± 0.2 | Total solids (mg/L) | 2450 ± 60 |
| Conductivity (25 °C) (mS/cm) | 3.0 ± 0.1 | COD (mg/L) | 405 ± 17 |
| Total solids (mg/L) | 2520 ± 120 | Reactive silica (mg/L SiO2) | 175 ± 10 |
| Total suspended solids (mg/L) | 65 ± 15 | Sulphates (mg/L) | 395 ± 25 |
| Color (mg/L Pt) | 740 ± 20 | Chlorides (mg/L) | 128 ± 15 |
| Turbidity (NTU) | 24 ± 2 | Phosphates (mg/L) | 11.4 ± 0.5 |
| Total alkalinity (mg/L CaCO3) | 1060 ± 35 | Nitrates (mg/L) | 2.3 ± 0.1 |
| Total silica (mg/L SiO2) | 177 ± 12 | Nitrites (mg/L) | 1.0 ± 0.1 |
| Ammonium (mg/L) | 17.4 ± 0.4 | ||
| Na (mg/L) | 625 ± 14 | ||
| Ca (mg/L) | 35.8 ± 0.5 | ||
| Mg (mg/L) | 3.1 ± 0.2 | ||
| Adsorbent | BET Surface Area (m2/g) | BJH Pore Volume (cm3/g) | BJH Average Pore Size (nm) |
|---|---|---|---|
| Pseudoboehmite | 237.2 | 0.362 | 6.1 |
| γ-Al2O3 | 180.0 | 0.476 | 10.6 |
| Pseudoboehmite | ||||||||||||
| 7.5 g/L | 15 g/L | |||||||||||
| Pseudo-First-Order | Pseudo-Second-Order | Pseudo-First-Order | Pseudo-Second-Order | |||||||||
| T (°C) | qe (mg/g) | k1 (min−1) | Adj-R2 | qe (mg/g) | k1 (min−1) | Adj-R2 | qe (mg/g) | k1 (min−1) | Adj-R2 | qe (mg/g) | k1 (min−1) | Adj-R2 |
| 20 | 15.87 | 0.00517 | 0.893 | 21.80 | 0.001035 | 0.996 | 13.43 | 0.00794 | 0.884 | 11.40 | 0.004626 | 1.000 |
| 35 | 13.06 | 0.00640 | 0.862 | 22.06 | 0.002031 | 0.999 | 10.01 | 0.00885 | 0.861 | 11.68 | 0.008788 | 1.000 |
| 50 | 10.56 | 0.00928 | 0.868 | 22.90 | 0.004103 | 1.000 | 5.81 | 0.01019 | 0.800 | 12.08 | 0.020978 | 1.000 |
| γ-Al2O3 | ||||||||||||
| 2.5 g/L | 5 g/L | |||||||||||
| T (°C) | qe (mg/g) | k1 (min−1) | Adj-R2 | qe (mg/g) | k1 (min−1) | Adj-R2 | qe (mg/g) | k1 (min−1) | Adj-R2 | qe (mg/g) | k1 (min−1) | Adj-R2 |
| 20 | 37.25 | 0.00096 | 0.897 | 58.48 | 0.000866 | 0.999 | 16.69 | 0.00174 | 0.853 | 33.36 | 0.003213 | 0.9989 |
| 35 | 33.54 | 0.00153 | 0.812 | 62.19 | 0.001253 | 0.999 | 12.30 | 0.00244 | 0.719 | 33.68 | 0.004951 | 1.000 |
| 50 | 37.03 | 0.00159 | 0.869 | 65.49 | 0.001344 | 0.999 | 10.48 | 0.00312 | 0.571 | 33.90 | 0.005944 | 1.000 |
| Adsorbent | Dosage (g/L) | A0 (g/mg·min) | Ea (kJ/mol) | Adj.-R2 |
|---|---|---|---|---|
| Pseudoboehmite | 7.5 | 2750 | 36.1 | 0.998 |
| 15 | 22025 | 39.5 | 0.987 | |
| γ-Al2O3 | 2.5 | 11646 | 11.6 | 0.906 |
| 5 | 16228 | 16.2 | 0.955 |
| T (°C) | Dosage (g/L) | kip,1 (mg/g·min0.5) | kip,2 (mg/g·min0.5) | kip,3(mg/g·min0.5) | C1(mg/g) | C2(mg/g) | C3(mg/g) | R12 | R22 | R32 | |
|---|---|---|---|---|---|---|---|---|---|---|---|
| Pseudoboehmite | 20 | 7.5 | 1.68 | 0.67 | 0.32 | 0 | 6.80 | 12.13 | 0.980 | 0.981 | 1.000 |
| 15 | 2.85 | 1.10 | 0.18 | 0 | 7.48 | 17.87 | 0.995 | 0.975 | 0.994 | ||
| 35 | 7.5 | 2.78 | 0.65 | 0.12 | 0 | 9.62 | 17.67 | 0.990 | 0.967 | 1.000 | |
| 15 | 4.88 | 0.72 | 0.02 | 0 | 13.28 | 22.73 | 0.952 | 0.969 | 0.662 | ||
| 50 | 7.5 | 3.92 | 0.56 | 0.03 | 0 | 17.65 | 22.02 | 0.973 | 0.903 | 0.967 | |
| 15 | 8.98 | 0.67 | 0.02 | 0 | 13.10 | 23.92 | 0.838 | 0.903 | 0.461 | ||
| γ-Al2O3 | 20 | 2.5 | 16.79 | 2.87 | 0.34 | 0 | 15.24 | 22.02 | 0.973 | 0.987 | 0.967 |
| 5 | 12.40 | 2.66 | 0.11 | 0 | 10.74 | 30.05 | 1.000 | 0.967 | 0.864 | ||
| 35 | 2.5 | 14.03 | 2.48 | 0.34 | 0 | 27.61 | 50.63 | 0.918 | 0.970 | 0.945 | |
| 5 | 10.66 | 1.48 | 0.12 | 0 | 19.45 | 30.02 | 0.883 | 0.930 | 0.821 | ||
| 50 | 2.5 | 13.53 | 3.44 | 0.25 | 0 | 24.18 | 57.39 | 0.973 | 0.956 | 0.877 | |
| 5 | 10.88 | 2.00 | 0.09 | 0 | 19.31 | 30.96 | 0.957 | 0.909 | 0.961 |
| T (°C) | Pseudoboehmite | γ-Al2O3 | ||
|---|---|---|---|---|
| 7.5 g/L | 15 g/L | 2.5 g/L | 5 g/L | |
| 20 | 0.0040t + 0.081 (R2 = 0.970) | 0.0070t + 0.239 (R2 = 0.944) | 0.0068t + 0.166 (R2 = 0.983) | 0.0103t + 0.421 (R2 = 0.941) |
| 35 | 0.0055t + 0.236 (R2 = 0.944) | 0.0080t + 0.532 (R2 = 0.940) | 0.0078t + 0.342 (R2 = 0.928) | 0.0098t + 0.758 (R2 = 0.862) |
| 50 | 0.0084t + 0.463 (R2 = 0.936) | 0.0092t + 1.138 (R2 = 0.918) | 0.0103t + 0.304 (R2 = 0.945) | 0.0089t + 0.959 (R2 = 0.714) |
| Sorbent | T (°C) | Kd (L/g) | ΔG0 (kJ/mol) | ΔH0 (kJ/mol) | ΔS0 (kJ/mol·K) | R2 |
|---|---|---|---|---|---|---|
| 20 | 228 | −13.23 | 29.5 | 0.145 | 0.976 | |
| Pseudoboehmite | 35 | 353 | −15.02 | |||
| 50 | 705 | −17.61 | ||||
| 20 | 1113 | −17.09 | 18.8 | 0.123 | 0.997 | |
| γ-Al2O3 | 35 | 228 | −13.23 | |||
| 50 | 353 | −15.02 |
| Sorbent | Dosage (g/L) | T (°C) | Al (wt.%) | O (wt.%) | Si (wt.%) | Ca (wt.%) | Na (wt.%) |
|---|---|---|---|---|---|---|---|
| Fresh | - | 41.40 ± 0.50 | 58.60 ± 0.82 | - | - | - | |
| 7.5 | 20 | 35.18 ± 1.61 | 64.11 ± 1.61 | 0.71 ± 0.00 | - | - | |
| Pseudoboehmite | 7.5 | 50 | 39.88 ± 0.92 | 58.70 ± 1.19 | 0.96 ± 0.18 | 0.46 ± 0.20 | - |
| 15 | 20 | 39.71 ± 1.17 | 59.54 ± 1.45 | 0.52 ± 0.11 | 0.23 ± 0.11 | - | |
| 15 | 50 | 36.08 ± 0.78 | 62.93 ± 0.67 | 0.61 ± 0.03 | 0.13 ± 0.01 | 0.26 ± 0.15 | |
| Fresh | - | 48.3 ± 0.7 | 51.7 ± 0.7 | - | - | - | |
| γ-Al2O3 | 2.5 | 35 | 41.67 ± 0.95 | 52.66 ± 0.65 | 2.42 ± 0.12 | 2.37 ± 0.52 | 0.88 ± 0.55 |
| 5 | 35 | 40.38 ± 1.12 | 55.34 ± 1.20 | 1.97 ± 0.09 | 2.32 ± 0.40 | - |
Publisher’s Note: MDPI stays neutral with regard to jurisdictional claims in published maps and institutional affiliations. |
© 2021 by the authors. Licensee MDPI, Basel, Switzerland. This article is an open access article distributed under the terms and conditions of the Creative Commons Attribution (CC BY) license (https://creativecommons.org/licenses/by/4.0/).
Share and Cite
Miranda, R.; Latour, I.; Blanco, A. Silica Removal from a Paper Mill Effluent by Adsorption on Pseudoboehmite and γ-Al2O3. Water 2021, 13, 2031. https://doi.org/10.3390/w13152031
Miranda R, Latour I, Blanco A. Silica Removal from a Paper Mill Effluent by Adsorption on Pseudoboehmite and γ-Al2O3. Water. 2021; 13(15):2031. https://doi.org/10.3390/w13152031
Chicago/Turabian StyleMiranda, Ruben, Isabel Latour, and Angeles Blanco. 2021. "Silica Removal from a Paper Mill Effluent by Adsorption on Pseudoboehmite and γ-Al2O3" Water 13, no. 15: 2031. https://doi.org/10.3390/w13152031
APA StyleMiranda, R., Latour, I., & Blanco, A. (2021). Silica Removal from a Paper Mill Effluent by Adsorption on Pseudoboehmite and γ-Al2O3. Water, 13(15), 2031. https://doi.org/10.3390/w13152031

