Evaluation of the Hydraulic Performance of a Rear-Parapet Vertical Breakwater under Regular Waves through Hydraulic Experiments
Abstract
1. Introduction
2. Experimental Setup and Analytical Methods
2.1. Wave Channel
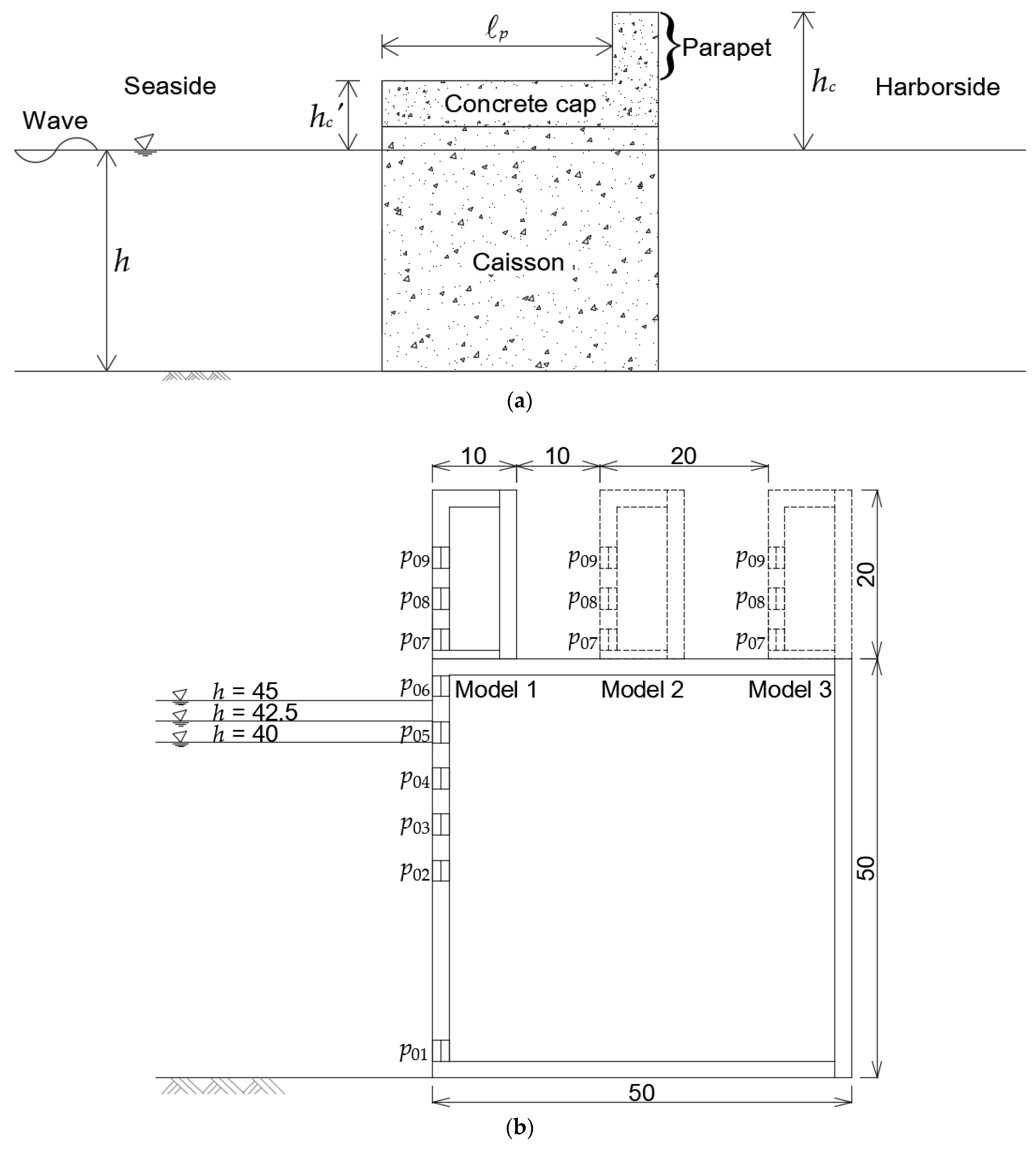
2.2. Installation of Breakwater Models and Wave Gauges
2.3. Breakwater Models with Pressure Gauges
2.4. Test Waves
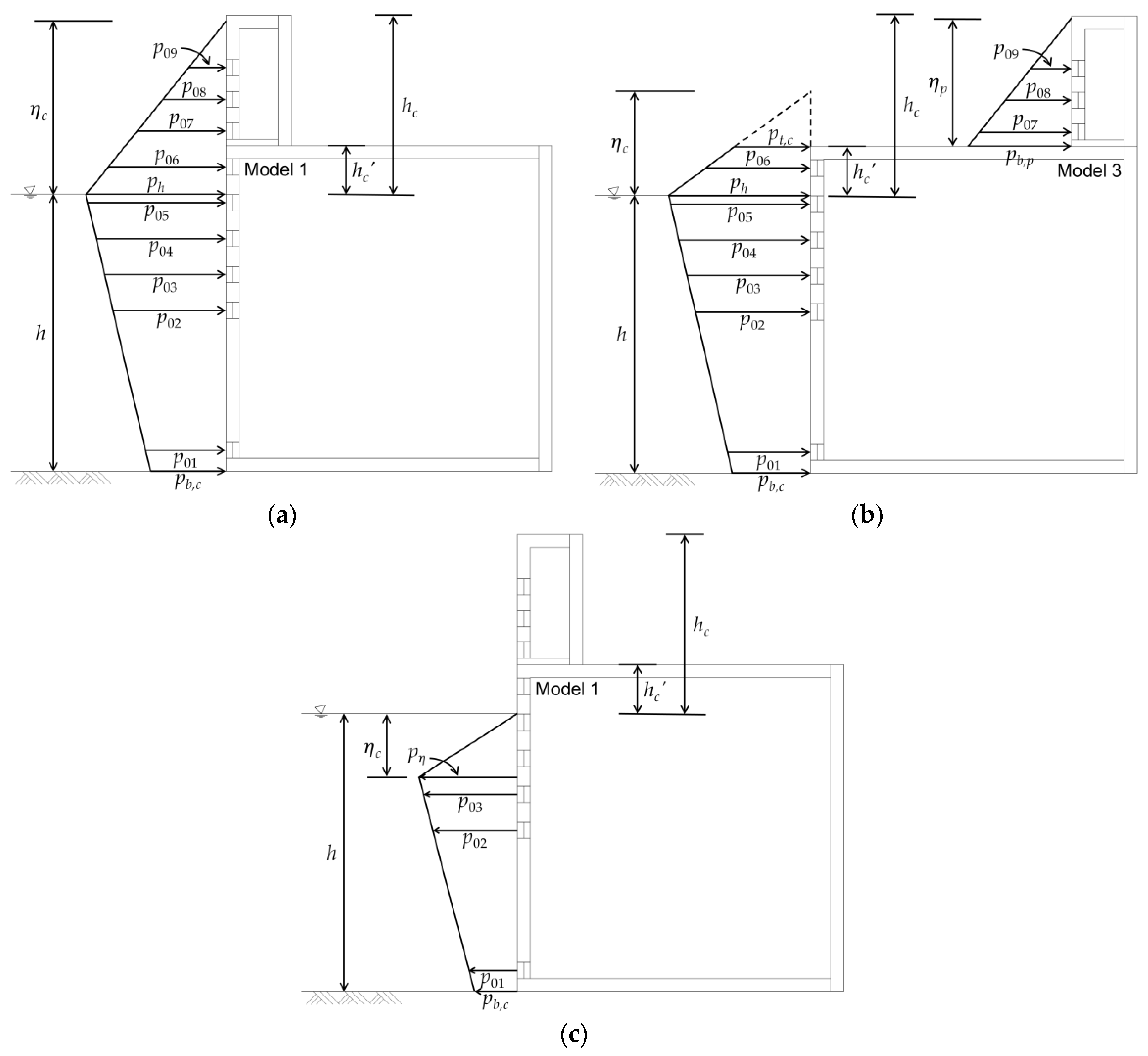
2.5. Wave Force Calculation
2.6. Required Self-Weight Calculation
2.7. Bearing Pressure Calculation
3. Experimental Results and Discussions
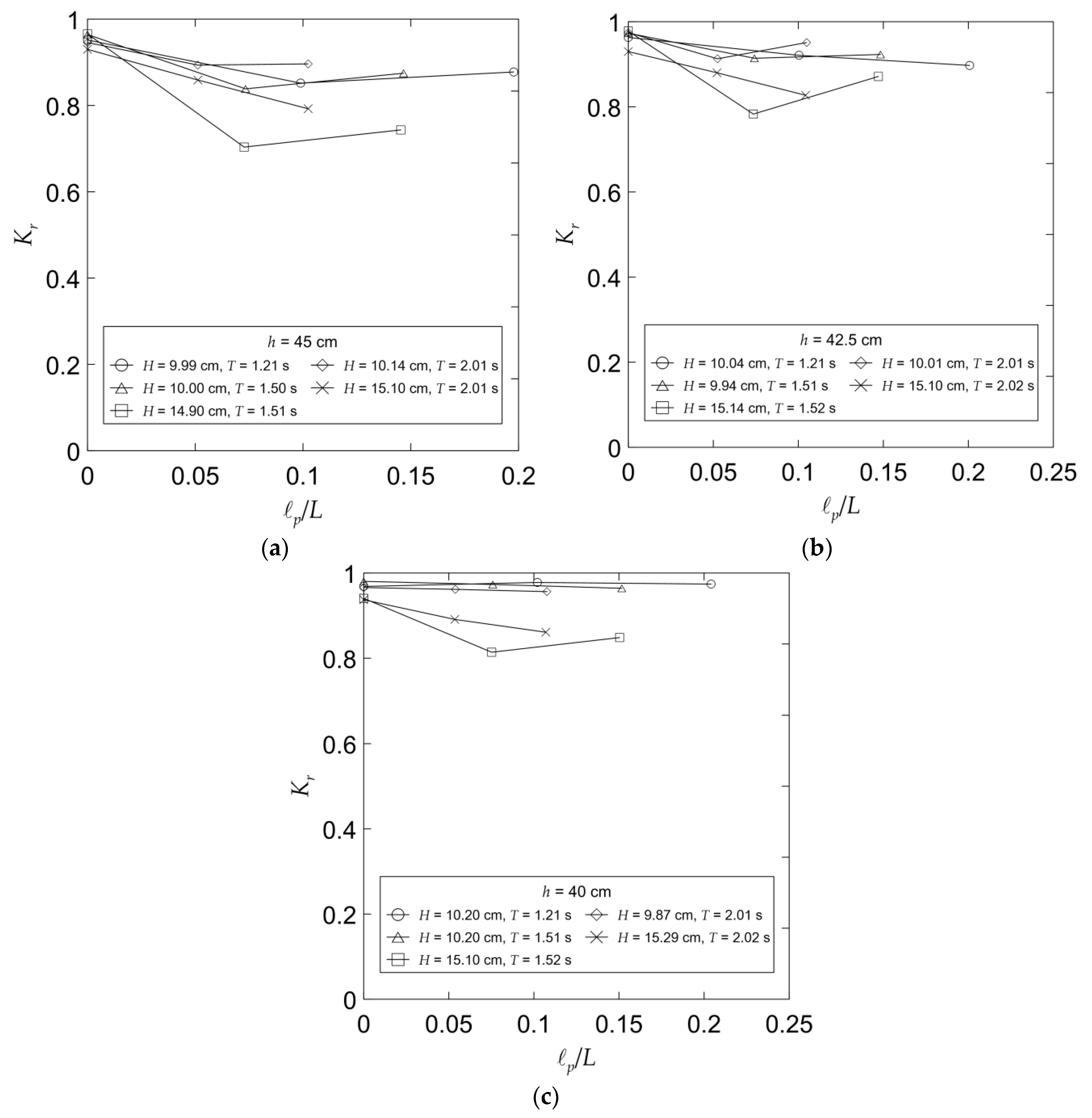
3.1. Runup, Reflection, and Pressure
3.2. Wave Force
3.3. Required Self-Weight
3.4. Bearing Pressure
4. Conclusions
- The introduction of a rear parapet can reduce the maximum wave force acting on a breakwater. Up to 20.78% reduction is possible under the tested conditions. This reduction is feasible because the wave energy reflected from the parapet is significantly attenuated by the wave breaking, splashing, waterfall, etc., in addition to allowing the wave force acting on the parapet to move with the phase difference by moving the parapet to the harborside.
- Impulsive wave pressure, one of the problems experienced by rear parapets, can be mitigated by increasing the height at the offshore freeboard , and the more the parapet fits the inner side of the port, the more advantageous. Under the experimental conditions, impulsive wave pressure was not generated when the incident wave was 0.5 times or more, and the magnitude of the impulsive wave pressure was significantly reduced when the breakwater was installed inside the port rather than at the breakwater center.
- By applying a rear parapet, it is possible to increase the economic efficiency of a breakwater. Under the experimental conditions, the required self-weight and maximum bearing pressure can be reduced by up to 82.7% and 47.6% of the conventional values.
Author Contributions
Funding
Conflicts of Interest
References
- Yamada, Y.; Satoh, M.; Sugi, M.; Kodama, C.; Noda, A.T.; Nakano, M.; Nasuno, T. Response of tropical cyclone activity and structure to global warming in a high-resolution global nonhydrostatic model. J. Clim. 2017, 30, 9703–9724. [Google Scholar] [CrossRef]
- The Intergovernmental Panel on Climate Change (IPCC). Global Warming of 1.5 °C; Intergovernmental Panel on Climate Change (IPCC): Geneva, Switzerland, 2019. [Google Scholar]
- Cha, E.J.; Knutson, T.R.; Lee, T.C.; Ying, M.; Nakaegawa, T. Third assessment on impacts of climate change on tropical cyclones in the typhoon committee region–Part II: Future projections. Trop. Cyclone Res. Rev. 2020, 9, 75–86. [Google Scholar] [CrossRef]
- Hyein E&C. Report of the Working Design Project of Gageodo Port for the Construction to Repair Damage Caused by the Typhoon; Ministry for Food, Agriculture, Forestry and Fisheries (MIFAFF): Gwacheon-si, Korea, 2012. (In Korean)
- DY Engineering. Report of the Working Design Project of Seogwipo Port for the Construction to Repair Damage Caused by the Typhoon; DY Engineering: Jeju Special Self-Governing Province, Korea, 2013. (In Korean) [Google Scholar]
- SEKWANG EnC. Report of the Working Design Project of Counter Facilities of Gamcheon Port for the Construction to Repair Damage Caused by the Typhoon; Ministry of Oceans and Fisheries: Sejong-si, Korea, 2018. (In Korean)
- Contestabile, P.; Crispino, G.; Russo, S.; Gisonni, C.; Cascetta, F.; Vicinanza, D. Crown wall modifications as response to wave overtopping under a future sea level scenario: An experimental parametric study for an innovative composite seawall. Appl. Sci. 2020, 10, 2227. [Google Scholar] [CrossRef]
- Mares-Nasarre, P.; van Gent, M.R.A. Oblique wave attack on rubble mound breakwater crest walls of finite length. Water 2020, 12, 353. [Google Scholar] [CrossRef]
- Park, W.S.; Seo, J.; Won, D.; Lee, B.W. Stability assessment formulas for an interlocking caisson breakwater under oblique wave conditions. J. Coast. Res. 2018, 85, 1236–1240. [Google Scholar] [CrossRef]
- Zhang, N.; Zhang, Q.; Wang, K.-H.; Zou, G.; Jiang, X.; Yang, A.; Li, Y. Numerical simulation of wave overtopping on breakwater with an armor layer of accropode using SWASH model. Water 2020, 12, 386. [Google Scholar] [CrossRef]
- Di Lauro, E.; Maza, M.; Lara, J.L.; Losada, I.J.; Contestabile, P.; Vicinanza, D. Advantages of an innovative vertical breakwater with an overtopping wave energy converter. Coast Eng. 2020, 159, 103713. [Google Scholar] [CrossRef]
- Cho, J.H.; Park, W.K.; Choe, H.; Oh, S.B. Research and analysis on reinforcement case of rubble-mound and vertical caisson breakwaters. In Proceedings of the Korean Society of Civil Engineers, Gyeongju, Korea, 17–19 October 2018; pp. 11–12. (In Korean). [Google Scholar]
- Hong, K.; Kang, Y.-K.; Kim, H.-J.; Yoon, H.-S.; Ryu, C.-R. Analysis of change process in the design conditions of harbor breakwaters in Korea. J. Korean Soc. Coast. Ocean Eng. 2018, 30, 123–133. (In Korean) [Google Scholar] [CrossRef][Green Version]
- Ko, J.-H.; Kwon, O.-G.; Song, S.-H.; Kim, D.-K. Design of construction of contour facilities to improve calmness of Gamcheon harbor. In Proceedings of the Conference of Korean Association of Ocean Science Technology Society, Busan, Korea, 2–3 June 2011; pp. 2021–2024. (In Korean). [Google Scholar]
- Yamamoto, Y.; Mototama, K.; Kamikubo, K. Study on an iMprovement Method for Breakwaters at Small Ports. Research Report, Cold-Region Hydraulic and Aquatic Environmental Engineering Research Group; Public Works Research Institute (PWRI): Ibaraki, Japan, 2013. (In Japanese) [Google Scholar]
- Niigata Research and Engineering Office for Port and Airport. Available online: http://www.gicho.pa.hrr.mlit.go.jp/english/activities/activities04-05.html (accessed on 24 July 2020).
- USA Army Corps of Engineers. Coastal Engineering Manual (CEM), Engineer Manual 1110-2-1100; USA Army Corps of Engineers: Washington, WA, USA, 2002; Volume 6.
- Oh, S.-H. Analysis of the effect of reducing wave overtopping by wave return walls. J. Korean Soc. Coast. Ocean Eng. 2016, 28, 1–6. (In Korean) [Google Scholar] [CrossRef]
- Van der Meer, J.W.; Allsop, N.W.H.; Bruce, T.; de Rouck, J.; Kortenhaus, A.; Pullen, T.; Schüttrumpf, H.; Troch, P.; Zanuttigh, B. Manual on Wave Overtopping of Sea Defences and Related Structures: An Overtopping Manual Largely Based on European Research, but for Worldwide Application. EurOtop. 2018. Available online: http://www.overtopping-manual.com (accessed on 24 July 2020).
- Jung, J.-S.; Yoon, J.-S. Experimental study for overtopping discharges of sea dike having low mound and high wave wall (LMHW). J. Korean Soc. Coast. Ocean Eng. 2019, 31, 335–343. (In Korean) [Google Scholar] [CrossRef][Green Version]
- Oh, S.-H.; Lee, J.S.; Lee, J. Introduction to physical experiment building of KIOST in Busan. In Proceedings of the 10th International Conference on Asian and Pacific Coasts 2019 (APAC 2019), Hanoi, Vietnam, 25–28 September 2019; Nguyen, T.V., Dou, X., Tran, T.T., Eds.; Springer: Singapore, 2020; pp. 221–226. [Google Scholar]
- Lee, B.W.; Seo, J.; Park, W.-S.; Won, D. A hydraulic experimental study of a movable barrier on a revetment to block wave overtopping. Appl. Sci. 2020, 10, 89. [Google Scholar] [CrossRef]
- Andersen, T.L.; Eldrup, M.R.; Firgaard, P. Estimation of incident and reflected components in highly nonlinear regular waves. Coast. Eng. 2017, 119, 51–64. [Google Scholar] [CrossRef]
- Meinert, P.; Andersen, T.L.; Frigaard, P. AwaSys 7 User Manual; Aalborg University: Aalborg, Denmark, 2017. [Google Scholar]
- Andersen, T.L.; Clavero, M.; Firgaard, P.; Losada, M.; Puyol, J.I. A new active absorption system and its performance to linear and non-linear waves. Coast. Eng. 2016, 114, 47–60. [Google Scholar] [CrossRef]
- Park, W.S.; Oh, Y.M.; Chun, I.S. Separation technique of incident and reflected waves using least squares method. J. Korean. Soc. Coast. Ocean Eng. 1992, 4, 139–145. (In Korean) [Google Scholar]
- Suh, K.D.; Park, W.S.; Park, B.S. Separation of incident and reflected waves in wave-current flumes. Coast. Eng. 2001, 43, 149–159. [Google Scholar] [CrossRef]
- Goda, Y. Random Seas and Design of Maritime Structures, 3rd ed.; Advanced Series on Ocean Engineering; World Scientific: Singapore, 2010; Volume 33. [Google Scholar]
- Chen, X.; Hofland, B.; Altomare, C.; Suzuki, T.; Uijttewaal, W. Forces on a vertical wall on a dike crest due to overtopping flow. Coast. Eng. 2015, 95, 94–104. [Google Scholar] [CrossRef]
- Chen, X.; Hofland, B.; Uijttewaal, W. Maximum overtopping forces on a dike-mounted wall with a shallow foreshore. Coast. Eng. 2016, 116, 89–102. [Google Scholar] [CrossRef]
- Lundgren, H. Wave shock forces: An analysis of deformation and forces in the wave and in the foundation. In Symposium “Research on Wave Action”; Delft Hydraulics Lab: Delft, The Netherlands, 1969; pp. 1–20. [Google Scholar]
- Takahashi, S.; Tanimoto, K.; Suzumura, S. Generation Mechanism of Impulsive Pressure by Breaking Wave on a Vertical Wall. Rep. Port Harb. Res. Inst. 1983, 22, 3–31. (In Japanese) [Google Scholar]
- Takahashi, S.; Shimosako, K. Wave pressure on a perforated wall caisson. In Proceedings of the International Conference on Hydro-Technical Engineering for Port and Harbor Construction (HYDROPORT’94), Yokosuka, Japan, 19–21 October 1994; pp. 747–764. [Google Scholar]
- Oh, S.-H.; Ji, C.-H. Simultaneous measurement of wave forces and pressures on a double-chamber perforated caisson. Meas. Sci. Technol. 2019, 30, 105801. [Google Scholar] [CrossRef]
- Hattori, M.; Arami, A.; Yui, T. Wave impact pressure on vertical walls under breaking waves of various types. Coast. Eng. 1994, 22, 79–114. [Google Scholar] [CrossRef]
- Cuomo, G.; Allsop, W.; Bruce, T.; Pearson, J. Breaking wave loads at vertical seawalls and breakwaters. Coast. Eng. 2010, 57, 424–439. [Google Scholar] [CrossRef]
















| h (cm) | T (s) | H (cm) |
|---|---|---|
| 40.0 | 1.21 | 10.20 |
| 1.51 | 10.20 | |
| 1.52 | 15.10 | |
| 2.01 | 9.87 | |
| 2.02 | 15.29 | |
| 42.5 | 1.21 | 10.04 |
| 1.51 | 9.94 | |
| 1.52 | 15.14 | |
| 2.01 | 10.01 | |
| 2.02 | 15.10 | |
| 45.0 | 1.21 | 9.99 |
| 1.50 | 10.00 | |
| 1.51 | 14.90 | |
| 2.01 | 10.14 | |
| 2.01 | 15.10 |
| h (cm) | H (cm) | T (s) | Model | Contribution Ratio (%) | |||||
|---|---|---|---|---|---|---|---|---|---|
| 40.0 | 10.20 | 1.21 | 0.9804 | 1 2 3 | 0 0.1021 0.2041 | 1.0 0.9748 0.9791 | 0.9899 0.9724 0.9747 | 0.0101 0.0024 0.0044 | 1.01 0.25 0.45 |
| 10.20 | 1.51 | 0.9804 | 1 2 3 | 0 0.0758 0.1516 | 1.0 0.9855 0.9841 | 0.9904 0.9835 0.9806 | 0.0096 0.0020 0.0035 | 0.96 0.20 0.36 | |
| 15.10 | 1.52 | 0.6623 | 1 2 3 | 0 0.0752 0.1504 | 1.0 0.9149 0.9464 | 0.9541 0.9128 0.9438 | 0.0459 0.0021 0.0026 | 4.59 0.23 0.27 | |
| 9.87 | 2.01 | 1.0132 | 1 2 3 | 0 0.0538 0.1076 | 1.0 0.9800 0.9827 | 0.9902 0.9790 0.9811 | 0.0098 0.0010 0.0017 | 0.98 0.10 0.17 | |
| 15.29 | 2.02 | 0.6540 | 1 2 3 | 0 0.0535 0.1070 | 1.0 0.8831 0.9004 | 0.9295 0.8819 0.8991 | 0.0705 0.0012 0.0013 | 7.05 0.13 0.15 | |
| 42.5 | 10.04 | 1.21 | 0.7470 | 1 2 3 | 0 0.1004 0.2007 | 1.0 0.9580 0.9459 | 0.9548 0.9553 0.9372 | 0.0452 0.0027 0.0087 | 4.52 0.28 0.92 |
| 9.94 | 1.51 | 0.7545 | 1 2 3 | 0 0.0742 0.1483 | 1.0 0.9341 0.9512 | 0.9628 0.9325 0.9458 | 0.0372 0.0016 0.0054 | 3.72 0.17 0.57 | |
| 15.14 | 1.52 | 0.4954 | 1 2 3 | 0 0.0735 0.1471 | 1.0 0.8465 0.8897 | 0.8934 0.8191 0.8872 | 0.1066 0.0274 0.0025 | 10.66 3.23 0.28 | |
| 10.01 | 2.01 | 0.7493 | 1 2 3 | 0 0.0524 0.1049 | 1.0 0.9360 0.9574 | 0.9696 0.9350 0.9553 | 0.0304 0.0010 0.0021 | 3.04 0.11 0.22 | |
| 15.10 | 2.02 | 0.4967 | 1 2 3 | 00 .0521 0.1043 | 1.0 0.8450 0.8531 | 0.8914 0.8438 0.8518 | 0.1086 0.0013 0.0014 | 10.86 0.15 0.16 | |
| 45.0 | 9.99 | 1.21 | 0.5005 | 1 2 3 | 0 0.0989 0.1978 | 1.0 0.8823 0.9036 | 0.9172 0.8796 0.8815 | 0.0828 0.0027 0.0221 | 8.28 0.31 2.45 |
| 10.00 | 1.50 | 0.50 | 1 2 3 | 0 0.0733 0.1466 | 1.0 0.8640 0.9107 | 0.9255 0.8622 0.9057 | 0.0745 0.0018 0.0050 | 7.45 0.21 0.55 | |
| 14.90 | 1.51 | 0.3356 | 1 2 3 | 0 0.0727 0.1454 | 1.0 0.8332 0.8223 | 0.8593 0.6840 0.8187 | 0.1407 0.1492 0.0036 | 14.07 17.91 0.43 | |
| 10.14 | 2.01 | 0.4931 | 1 2 3 | 0 0.0512 0.1024 | 1.0 0.8822 0.9016 | 0.9355 0.8812 0.8984 | 0.0645 0.0010 0.0033 | 6.45 0.11 0.36 | |
| 15.10 | 2.01 | 0.3311 | 1 2 3 | 0 0.0512 0.1024 | 1.0 0.8812 0.7922 | 0.8596 0.7617 0.7900 | 0.1404 0.1196 0.0022 | 14.04 13.57 0.27 |
| h (cm) | H (cm) | T (s) | Model | (cm) | for Model Scale | for Real Scale | |
|---|---|---|---|---|---|---|---|
| 40.0 | 15.29 | 2.02 | 1 | 0 | 7.43 | 10.36 | 414.25 |
| 2 | 0.0535 | 9.18 | 7.40 | 296.00 | |||
| 3 | 0.1070 | 9.18 | 7.55 | 301.84 | |||
| 42.5 | 15.10 | 2.02 | 1 | 0 | 6.72 | 11.92 | 476.98 |
| 2 | 0.0521 | 9.40 | 7.21 | 288.25 | |||
| 3 | 0.1043 | 9.43 | 7.25 | 289.95 | |||
| 45.0 | 15.10 | 2.01 | 1 | 0 | 6.46 | 13.07 | 522.91 |
| 2 | 0.0512 | 6.16 | 12.09 | 483.52 | |||
| 3 | 0.1024 | 9.77 | 6.85 | 273.86 |
© 2020 by the authors. Licensee MDPI, Basel, Switzerland. This article is an open access article distributed under the terms and conditions of the Creative Commons Attribution (CC BY) license (http://creativecommons.org/licenses/by/4.0/).
Share and Cite
Lee, B.W.; Park, W.-S. Evaluation of the Hydraulic Performance of a Rear-Parapet Vertical Breakwater under Regular Waves through Hydraulic Experiments. Water 2020, 12, 2428. https://doi.org/10.3390/w12092428
Lee BW, Park W-S. Evaluation of the Hydraulic Performance of a Rear-Parapet Vertical Breakwater under Regular Waves through Hydraulic Experiments. Water. 2020; 12(9):2428. https://doi.org/10.3390/w12092428
Chicago/Turabian StyleLee, Byeong Wook, and Woo-Sun Park. 2020. "Evaluation of the Hydraulic Performance of a Rear-Parapet Vertical Breakwater under Regular Waves through Hydraulic Experiments" Water 12, no. 9: 2428. https://doi.org/10.3390/w12092428
APA StyleLee, B. W., & Park, W.-S. (2020). Evaluation of the Hydraulic Performance of a Rear-Parapet Vertical Breakwater under Regular Waves through Hydraulic Experiments. Water, 12(9), 2428. https://doi.org/10.3390/w12092428
