Observed Microphysical Characteristics of Stratiform and Convective Precipitation over an Inland Arid Region of the Qinghai–Tibet Plateau
Abstract
1. Introduction
2. Materials and Methods
2.1. Study Area
2.2. Research Data
2.3. Methods
3. Results and Discussion
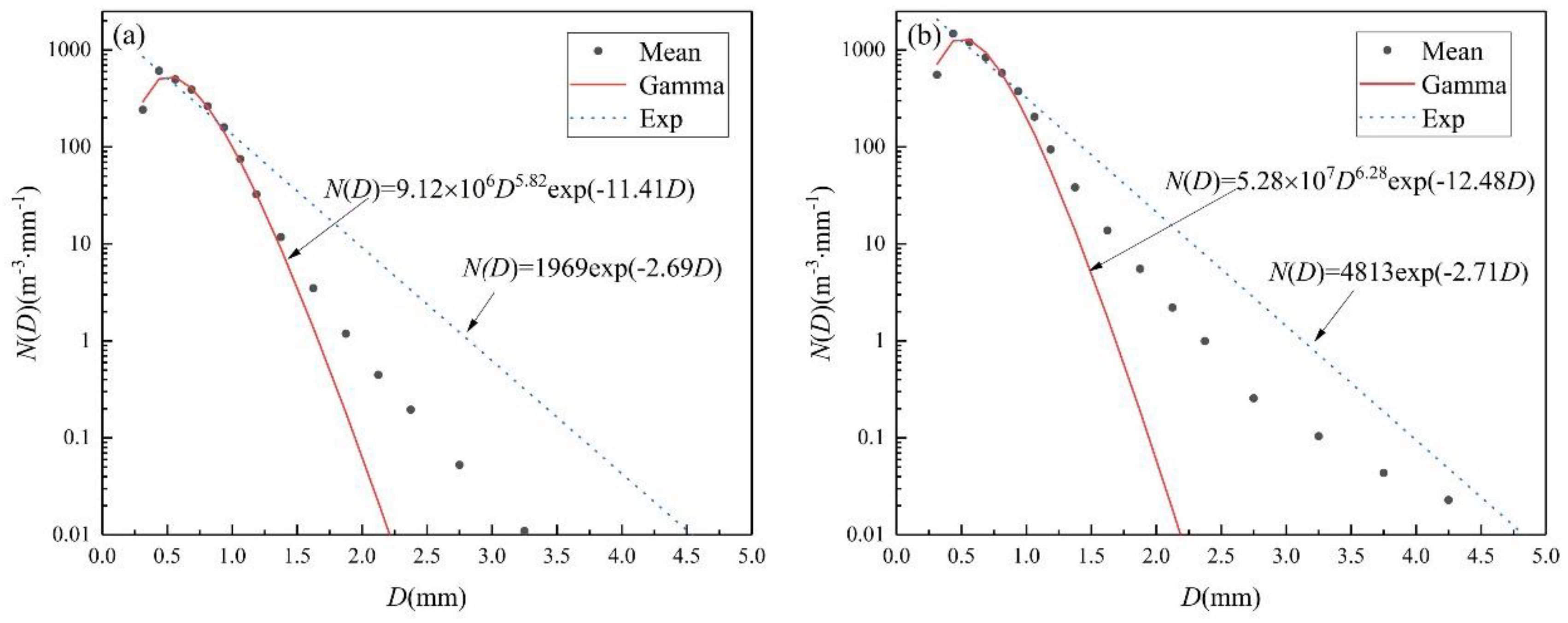
3.1. Raindrop Size Distribution
3.2. Contributions of Raindrops with Different Sizes to Microphysical Parameters
3.3. Characteristics of Microphysical Parameters
3.4. Z–R Relationship
4. Conclusions
Author Contributions
Funding
Acknowledgments
Conflicts of Interest
Appendix A
| NO | Date | Time (UTC+8) | Number of Samples | Maximum Rainfall Intensity (mm·h−1) | Standard Deviation (mm·h−1) | Echo Intensity (dBz) | Maximum Echo (dBz) | Type |
|---|---|---|---|---|---|---|---|---|
| 1 | 2019/6/27 | 00:55–01:28 | 34 | 0.67 | 0.11 | 15.11 | 18.97 | S |
| 2 | 2019/6/27 | 03:00–04:43 | 103 | 4.31 | 0.87 | 20.37 | 32.35 | S |
| 3 | 2019/6/29 | 13:46–14:39 | 54 | 4.42 | 1.06 | 21.76 | 36.19 | S |
| 4 | 2019/6/29 | 17:33–18:12 | 40 | 3.85 | 1.1 | 19 | 31.48 | S |
| 5 | 2019/6/29 | 19:22–20:24 | 63 | 2.1 | 0.39 | 19.94 | 33.14 | S |
| 6 | 2019/7/6 | 20:48–22:37 | 102 | 3.25 | 0.84 | 19.65 | 27.81 | S |
| 7 | 2019/7/10–7/11 | 20:01–05:24 | 539 | 4.73 | 0.71 | 19.39 | 36.25 | S |
| 8 | 2019/7/14 | 18:19–18:50 | 32 | 3.06 | 0.74 | 20.19 | 27.67 | S |
| 9 | 2019/7/17 | 00:15–03:01 | 145 | 3.65 | 0.88 | 16.08 | 32.11 | S |
| 10 | 2019/7/17 | 05:03–05:51 | 46 | 1.7 | 0.47 | 12.75 | 22.09 | S |
| 11 | 2019/7/18 | 09:30–10:16 | 46 | 0.78 | 0.18 | 13.75 | 21.48 | S |
| 12 | 2019/7/21 | 07:14–07:57 | 40 | 0.54 | 0.12 | 15 | 20.64 | S |
| 13 | 2019/7/21 | 10:18–11:09 | 51 | 0.64 | 0.14 | 13.9 | 18.61 | S |
| 14 | 2019/8/5 | 02:16–03:25 | 70 | 0.69 | 0.21 | 11.51 | 22.61 | S |
| 15 | 2019/9/7–9/8 | 22:44–00:31 | 105 | 2.19 | 0.71 | 15.11 | 28.18 | S |
| 16 | 2019/9/8 | 14:31–15:14 | 43 | 0.52 | 0.10 | 12.57 | 19.43 | S |
| 17 | 2019/9/8 | 15:36–16:12 | 37 | 4.36 | 1.30 | 18.57 | 35.30 | S |
| 18 | 2019/9/19 | 01:11–04:39 | 200 | 1.85 | 0.53 | 14.26 | 25.81 | S |
| 19 | 2019/6/27 | 21:06–22:43 | 94 | 10.6 | 2.93 | 25.34 | 36.77 | C |
| 20 | 2019/7/04 | 22:02–23:00 | 57 | 38.69 | 10.43 | 24.36 | 53.81 | C |
| 21 | 2019/7/06 | 23:05–00:48 | 99 | 54.32 | 18.33 | 23.75 | 45.15 | C |
| 22 | 2019/7/07 | 11:20–12:08 | 49 | 6.25 | 1.63 | 19.81 | 32.81 | C |
| 23 | 2019/7/11 | 19:25–20:04 | 40 | 5.57 | 1.59 | 20.61 | 31.04 | C |
| 24 | 2019/7/17 | 07:32–08:35 | 64 | 8.34 | 2.43 | 21.04 | 37.63 | C |
| 25 | 2019/8/26 | 16:11–17:04 | 53 | 14.28 | 3.98 | 22.48 | 39.80 | C |
| 26 | 2019/9/11 | 20:34–21:06 | 33 | 6.23 | 2.21 | 21.60 | 41.28 | C |
| 27 | 2019/6/27 | 18:38–19:34 | 57 | 5.49 | 1.43 | 20.63 | 29.63 | M |
| 28 | 2019/7/13 | 20:47–21:23 | 37 | 7.17 | 0.85 | 25.08 | 30.77 | M |
| 29 | 2019/8/7–8/8 | 23:08–02:31 | 184 | 7.86 | 1.22 | 19.56 | 38.84 | M |
References
- Kisi, O.; Sanikhani, H. Prediction of long-term monthly precipitation using several soft computing methods without climatic data. Int. J. Climatol. 2015, 35, 4139–4150. [Google Scholar] [CrossRef]
- Shi, H.Y.; Chen, J.; Li, T.J.; Wang, G.Q. A new method for estimation of spatially distributed rainfall through merging satellite observations, raingauge records, and terrain digital elevation model data. J. Hydro-Environ. Res. 2020, 28, 1–14. [Google Scholar] [CrossRef]
- Shi, H.Y.; Li, T.J.; Wei, J.H. Evaluation of the gridded CRU TS precipitation dataset with the point raingauge records over the Three-River Headwaters region. J. Hydrol. 2017, 548, 322–332. [Google Scholar] [CrossRef]
- Liu, S.N.; Shi, H.Y.; Sivakumar, B. Socioeconomic drought under growing population and changing climate: A new index considering the resilience of a regional water resources system. J. Geophys. Res. Atmos. 2020, 125. [Google Scholar] [CrossRef]
- Liu, S.N.; Shi, H.Y. A recursive approach to long-term prediction of monthly precipitation using genetic programming. Water Resour. Manag. 2019, 33, 1103–1121. [Google Scholar] [CrossRef]
- Caracciolo, C.; Napoli, M.; Porcu, F.; Prodi, F.; Dietrich, S.; Zanchi, C.; Orlandini, S. Raindrop size distribution and soil erosion. J. Irrig. Drain. Eng. 2012, 138, 461–469. [Google Scholar] [CrossRef]
- Yau, M.K.; Rogers, R.R. A Short Course in Cloud Physics; Elsevier: Amsterdam, The Netherlands, 1996. [Google Scholar]
- Radhakrishna, B.; Rao, T.N. Statistical characteristics of multipeak raindrop size distributions at the surface and aloft in different rain regimes. Mon. Weather Rev. 2009, 137, 3501–3518. [Google Scholar] [CrossRef]
- Zhang, G.; Sun, J.; Brandes, E.A. Improving parameterization of rain microphysics with disdrometer and radar observations. J. Atmos. Sci. 2006, 63, 1273–1290. [Google Scholar] [CrossRef]
- Scheleusener, P.E. Drop Size Distribution and Energy of Falling Raindrops from a Medium Pressure Irrigation Sprinkler. Ph.D. Thesis, Michigan State University, East Lansing, MI, USA, 1967. [Google Scholar]
- Hall, M.J. Use of the stain method in determining of the dropsize distribution of coarse liquid sprays. Trans. ASAE 1970, 13, 33–37. [Google Scholar] [CrossRef]
- Ulbrich, C.W.; Atlas, D. Rainfall microphysics and radar properties: Analysis methods for drop size spectra. J. Appl. Meteorol. 1998, 37, 912–923. [Google Scholar] [CrossRef]
- Ulbrich, C.W.; Atlas, D. Microphysics of raindrop size spectra: Tropical continental and maritime storms. J. Appl. Meteorol. Climatol. 2007, 46, 1777–1791. [Google Scholar] [CrossRef]
- Steiner, M.; Smith, J.A. Scale dependence of radar-rainfall rates-an assessment based on raindrop spectra. J. Hydrometeorol. 2004, 5, 1171–1180. [Google Scholar] [CrossRef]
- Williams, C.R.; Bringi, V.N.; Carey, L.D.; Chandrasekar, V.; Gatlin, P.N.; Haddad, Z.S.; Meneghini, R.; Munchak, S.J.; Nesbitt, S.W.; Petersen, W.A.; et al. Describing the shape of raindrop size distributions using uncorrelated raindrop mass spectrum parameters. J. Appl. Meteorol. Climatol. 2014, 53, 1282–1296. [Google Scholar] [CrossRef]
- Gamache, J.F.; Houze, R.A., Jr. Mesoscale air motions associated with a tropical squall line. Mon. Weather Rev. 1982, 110, 118–135. [Google Scholar] [CrossRef]
- Johnson, R.H.; Hamilton, P.J. The relationship of surface pressure features to the precipitation and air flow structure of an intense mid-latitude squall line. Mon. Weather Rev. 1988, 116, 1444–1472. [Google Scholar] [CrossRef]
- Bringi, V.N.; Chandrasekar, V.; Hubbert, J.; Gorgucci, E.; Randeu, W.L.; Schoenhuber, M. Raindrop size distribution in different climatic regimes from disdrometer and dual-polarized radar analysis. J. Atmos. Sci. 2003, 60, 354–365. [Google Scholar] [CrossRef]
- Liu, H.Y.; Lei, H.C. Characteristics of rain from stratiform versus convective cloud based on surface raindrop data. Chin. J. Atmos. Sci. 2006, 30, 693–702. (In Chinese) [Google Scholar]
- Marzano, F.S.; Cimini, D.; Montopoli, M. Investigating precipitation microphysics using groundbased microwave remote sensors and disdrometer data. Atmos. Res. 2010, 97, 583–600. [Google Scholar] [CrossRef]
- Chen, B.; Yang, J.; Pu, J. Statistical characteristics of raindrop size distribution in the Meiyu season observed in Eastern China. J. Meteorol. Soc. Jpn. 2013, 91, 215–227. [Google Scholar] [CrossRef]
- Chandrasekar, V.; Bringi, V.N. Simulation of radar re-flectivity and surface measurements of rainfall. J. Atmos. Ocean. Technol. 1987, 4, 464–478. [Google Scholar] [CrossRef]
- Smith, J.A.; Seo, D.J.; Baeck, M.L.; Hudlow, M.D. An intercomparison study of NEXRAD precipitation estimates. Water Resour. Res. 1996, 32, 2035–2045. [Google Scholar] [CrossRef]
- Young, C.B.; Nelson, B.R.; Bradley, A.A.; Smith, J.A.; Peters-Lidard, C.D.; Kruger, A.; Baeck, M.L. An evaluation of NEXRAD precipitation estimates in complex terrain. J. Geophys. Res. Atmos. 1999, 104, 19691–19703. [Google Scholar] [CrossRef]
- Chapon, B.; Delrieu, G.; Gosset, M.; Boudevillain, B. Variability of rain drop size distribution and its effect on the Z-R relationship: A case study for intense Mediterranean rainfall. Atmos. Res. 2008, 87, 52–65. [Google Scholar] [CrossRef]
- Verrier, S.; Barthes, L.; Mallet, C. Theoretical and empirical scale dependency of Z-R relationships: Evidence, impacts, and correction. J. Geophys. Res. Atmos. 2013, 118, 7435–7449. [Google Scholar] [CrossRef]
- Hasan, M.M.; Sharma, A.; Johnson, F.; Mariethoz, G.; Seed, A. Correcting bias in radar Z-R relationships due to uncertainty in point rain gauge networks. J. Hydrol. 2014, 519, 1668–1676. [Google Scholar] [CrossRef]
- Fang, X.; Shao, A.M.; Yue, X.J.; Liu, W.C. Statistics of the Z-R relationship for strong convective weather over the Yangtze-Huaihe river basin and its application to radar reflectivity data assimilation for a heavy rain event. J. Meteorol. Res. 2018, 32, 598–611. [Google Scholar] [CrossRef]
- Wu, Y.; Liu, L. Statistical characteristics of raindrop size distribution in the Tibetan Plateau and Southern China. Adv. Atmos. Sci. 2017, 34, 727–736. [Google Scholar] [CrossRef]
- Xi, Y.; Miao, C.Y.; Wu, J.W.; Duan, Q.; Lei, X.; Li, H. Spatiotemporal changes in extreme temperature and precipitation events in the Three-Rivers Headwater region, China. J. Geophys. Res. Atmos. 2018, 123. [Google Scholar] [CrossRef]
- Shi, H.Y.; Li, T.J.; Wei, J.H.; Fu, W.; Wang, G. Spatial and temporal characteristics of precipitation over the Three-River Headwaters region during 1961–2014. J. Hydrol. Reg. Stud. 2016, 6, 52–65. [Google Scholar] [CrossRef]
- Liang, L.Q.; Li, L.J.; Liu, C.M.; Cuo, L. Climate change in the Tibetan Plateau Three Rivers Source region: 1960–2009. Int. J. Climatol. 2013, 33, 2900–2916. [Google Scholar] [CrossRef]
- Cao, L.G.; Pan, S.M. Changes in precipitation extremes over the “Three-River Headwaters” region, hinterland of the Tibetan Plateau, during 1960–2012. Quat. Int. 2014, 321, 105–115. [Google Scholar] [CrossRef]
- Duan, A.M.; Hu, J.; Xiao, Z.X. The Tibetan Plateau summer monsoon in the CMIP5 simulations. J. Clim. 2013, 26, 7747–7766. [Google Scholar] [CrossRef]
- Loffler-Mang, M.; Joss, J. An optical distrometer for measuring size and velocity of hydrometers. J. Atmos. Ocean. Technol. 2000, 17, 130–139. [Google Scholar] [CrossRef]
- Battaglia, A.; Rustemeier, E.; Tokay, A.; Blahak, U.; Simmer, C. PARSIVEL snow observations: A critical assessment. J. Atmos. Ocean. Technol. 2010, 27, 333–344. [Google Scholar] [CrossRef]
- Tokay, A.; Wolff, D.B.; Petersen, W.A. Evaluation of the new version of the laser-optical disdrometer, OTT Parsivel2. J. Atmos. Ocean. Technol. 2014, 31, 1276–1288. [Google Scholar] [CrossRef]
- Tokay, A.; Petersen, W.A.; Gatlin, P.; Wingo, M. Comparison of raindrop size distribution measurements by collocated disdrometers. J. Atmos. Ocean. Technol. 2013, 30, 1672–1690. [Google Scholar] [CrossRef]
- Tokay, A.; Bashor, P.G. An experimental study of small-scale variability of raindrop size distribution. J. Appl. Meteorol. 2010, 49, 2348–2365. [Google Scholar] [CrossRef]
- Feingold, G.; Levin, Z. The lognormal fit to raindrop spectra from frontal convective clouds in Israel. J. Appl. Meteorol. 1986, 25, 1346–1364. [Google Scholar] [CrossRef]
- Marshall, J.S.; Palmer, W.M. The distribution of raindrops with size. J. Meteorol. 1948, 5, 165–166. [Google Scholar] [CrossRef]
- Williams, C.R.; Gage, K.S. Raindrop size distribution variability estimated using ensemble statistics. Ann. Geophys. 2009, 27, 555–567. [Google Scholar] [CrossRef]
- Fulton, R.A.; Breidenbach, J.P.; Seo, D.J.; Miller, D.A.; O’Bannon, T. The WSR-88D rainfall algorithm. Weather Forecast. 1998, 13, 377–395. [Google Scholar] [CrossRef]
- Feng, L.; Chen, B.J. The radar reflectivity-rainrate relationships as inferred from ground-based raindrop spectra by GBPP-100 Probe. J. Meteorol. Sci. 2009, 29, 2192–2198. [Google Scholar]






| Variable | Formulate | Physics Meaning |
|---|---|---|
| Total raindrop concentration, NT (m−3) | Total number of particles per unit volume | |
| Rainfall intensity, R(mm/h) | Precipitation per unit of time | |
| Liquid water content, W (g/m3) | Total particle mass per unit volume | |
| Radar reflectivity factor, Z (mm6/m3) | Total particle retroreflective cross-sections per unit volume | |
| Mean diameter, D1 (mm) | Average diameter of all particles in a unit volume | |
| Root mean square diameter, D2 (mm) | Its square indicates the average cross section of the raindrops | |
| Root mean cube diameter, D3 (mm) | Its cube can indicate the average volume or mass of the raindrops | |
| Mass weighted diameter, Dm (mm) | Average diameter of the weighted mass of all particles in a unit volume relative to the total mass of the particles |
| Distribution | Stratiform Precipitation | Convective Precipitation | ||||
|---|---|---|---|---|---|---|
| R2 | RMSE | ARE | R2 | RMSE | ARE | |
| Gamma | 0.9958 | 10.84 | 10.15% | 0.9742 | 63.17 | 15.12% |
| Exponential | 0.9728 | 27.11 | 42.06% | 0.9714 | 64.25 | 39.74% |
| (a) | NT (%) | nT (%) | R (%) | W (%) | (b) | NT (%) | nT (%) | R (%) | W (%) |
|---|---|---|---|---|---|---|---|---|---|
| 0.25–1 mm | 93.84 | 88.29 | 67.36 | 66.76 | 0.25–1 mm | 92.25 | 85.35 | 55.05 | 57.49 |
| 1–2 mm | 6.1 | 11.51 | 32.24 | 30.71 | 1–2 mm | 7.80 | 14.22 | 42.71 | 36.62 |
| 2–3 mm | 0.06 | 0.19 | 0.40 | 2.23 | 2–3 mm | 0.14 | 0.39 | 2.13 | 4.18 |
| >3 mm | 0 | 0 | 0 | 0.30 | >3 mm | 0.01 | 0.04 | 0.12 | 1.71 |
| Type | D1 (mm) | D2 (mm) | D3 (mm) | Dm (mm) | NT (mm−3) | R (mm/h) | W (g/m3) | Z (dBz) |
|---|---|---|---|---|---|---|---|---|
| Stratiform precipitation | 0.6108 | 0.6494 | 0.6899 | 0.9447 | 288.04 | 0.59 | 0.0535 | 21.70 |
| Convective precipitation | 0.6155 | 0.6585 | 0.7055 | 1.0724 | 680.31 | 2.00 | 0.1416 | 29.50 |
© 2020 by the authors. Licensee MDPI, Basel, Switzerland. This article is an open access article distributed under the terms and conditions of the Creative Commons Attribution (CC BY) license (http://creativecommons.org/licenses/by/4.0/).
Share and Cite
Xie, H.; Pan, P.; Shi, H.; Chen, J.; Wang, J. Observed Microphysical Characteristics of Stratiform and Convective Precipitation over an Inland Arid Region of the Qinghai–Tibet Plateau. Water 2020, 12, 2300. https://doi.org/10.3390/w12082300
Xie H, Pan P, Shi H, Chen J, Wang J. Observed Microphysical Characteristics of Stratiform and Convective Precipitation over an Inland Arid Region of the Qinghai–Tibet Plateau. Water. 2020; 12(8):2300. https://doi.org/10.3390/w12082300
Chicago/Turabian StyleXie, Hongwei, Peichong Pan, Haiyun Shi, Ji Chen, and Jinzhao Wang. 2020. "Observed Microphysical Characteristics of Stratiform and Convective Precipitation over an Inland Arid Region of the Qinghai–Tibet Plateau" Water 12, no. 8: 2300. https://doi.org/10.3390/w12082300
APA StyleXie, H., Pan, P., Shi, H., Chen, J., & Wang, J. (2020). Observed Microphysical Characteristics of Stratiform and Convective Precipitation over an Inland Arid Region of the Qinghai–Tibet Plateau. Water, 12(8), 2300. https://doi.org/10.3390/w12082300

