Next Article in Journal
Observed Microphysical Characteristics of Stratiform and Convective Precipitation over an Inland Arid Region of the Qinghai–Tibet Plateau
Previous Article in Journal
Static Liquefaction Capacity of Saturated Undisturbed Loess in South Jingyang Platform
 
 
Font Type:
Arial Georgia Verdana
Font Size:
Aa Aa Aa
Line Spacing:
Column Width:
Background:
Article

A GIS-Based Fit for the Purpose Assessment of Brackish Groundwater Formations as an Alternative to Freshwater Aquifers

by
Abdullah Karim
,
Marangely Gonzalez Cruz
,
Elma A. Hernandez
and
Venkatesh Uddameri
*
Department of Civil, Environmental and Construction Engineering, Texas Tech University, Lubbock, TX 79409-1023, USA
*
Author to whom correspondence should be addressed.
Water 2020, 12(8), 2299; https://doi.org/10.3390/w12082299
Submission received: 31 May 2020 / Revised: 6 August 2020 / Accepted: 12 August 2020 / Published: 16 August 2020
(This article belongs to the Section Hydrology)

Abstract

A fit for purpose (FFP) framework has been developed to evaluate the suitability of brackish water resources for various competing uses. The suitability or the extent of unsuitability for an intended use is quantified using an overall compatibility index (OCI). The approach is illustrated by applying it to evaluate the feasibility of the Dockum Hydrostratigraphic Unit (Dockum-HSU) as a water supply alternative in the Southern High Plains (SHP) region of Texas. The groundwater in Dockum-HSU is most compatible for hydraulic fracturing uses. While the water does not meet drinking water standards, it can be treated with existing desalination technologies over most of the study area, except perhaps near major population centers. The groundwater from Dockum-HSU is most compatible for cotton production, but not where it is currently grown. It can be a useful supplement to facilitate a smoother transition of corn to sorghum cropping shifts happening in parts of the SHP. Total Dissolved Solids (TDS), Sodium Absorption Ratio (SAR), sodium, sulfate, and radionuclides are major limiting constituents. Dockum-HSU can help reduce the freshwater footprint of the Ogallala Aquifer in the SHP by supporting non-agricultural uses. Greater regional collaboration and more holistic water management practices are however necessary to optimize brackish groundwater use.

Graphical Abstract

1. Introduction

Groundwater-dependent agriculturally dominant environments (GRADEs) are mostly arid and semi-arid regions that are heavily dependent on existing groundwater resources for agricultural and livestock production [1]. GRADEs can be seen in many parts of the world and are important to ensure global food security [2]. However, intensive agriculture and livestock breeding activities in GRADEs have led to severe declines in water levels in aquifers and have threatened the sustainability of these regions [3,4]. Global food security is critically affected, as groundwater withdrawals continue to exceed the replenishment rates in GRADEs [5]. The variability in climatic conditions (e.g., increased droughts) further exacerbates water scarcity in arid and semi-arid economies [6]. Water demands for municipal and industrial uses are also increasing in GRADEs, further intensifying the competition for water in these areas [7]. Balancing the short-term water needs while ensuring long-term water availability for future generations is, therefore, a critical water management challenge in GRADEs, and it directly impacts the viability of rural areas.
Less than 6% of all groundwater available in the upper two kilometers of the earth’s crust is fresh [8], which means that a significant portion of subsurface water is of poor quality. As many GRADEs lack adequate and reliable surface water resources, the extraction of water from deeper geological units becomes necessary despite its relatively inferior quality [1,9]. The ability to use water of poor quality varies widely among water user groups. For example, farmers growing salt-tolerant crops such as cotton could potentially blend fresh and brackish groundwater to meet their irrigation water quality needs. However, those cultivating crops needing water of higher quality (e.g., corn) may not be able to exploit this resource as easily. Similarly, while municipal water quality requirements are very stringent, large municipalities can install expensive treatment trains to bring water from deeper geological units to comply with mandated water quality regulations. On the other hand, the ability of smaller communities and individual households to do so is greatly limited due to cost considerations.
In addition to the heterogeneity in user demands, the quality of groundwater also varies within an aquifer due to the differences in hydrogeological and geochemical characteristics [10]. As the water in these deeper aquifer formations is much older, its quality is affected by the mineral composition of the aquifer sediments with which these waters are in contact. Therefore, the nature and extent to which groundwater in deeper aquifers can be used to substitute freshwater resources also varies spatially. From a water quality standpoint, the effectiveness of a brackish groundwater unit to act as a substitute for dwindling freshwater resources hinges on the match between the quality of the supply and the requirements of the demand. A detailed assessment of the local water needs, groundwater quality, and treatment options is vital to inform brackish groundwater development [11]. This understanding is also necessary in order to develop scientifically credible and risk-informed policies governing the use of this resource [12].
The “fit for purpose” (FFP) decision-making technique is gaining popularity in many fields in recent years [13,14]. FFP assessment seeks to evaluate whether products and policies aimed to bring about an intended outcome are good enough to do so (i.e., fit for the purpose for which they are designed). In the context of water resources, the FFP approach has been used to understand factors that increase the use of recycled water [15], evaluate the adequacy of the integrated water management paradigm [16], identify the complexity of the mathematical models used in policy studies [17,18], assess the sustainability of water utilities [19], develop water and wastewater treatment technologies [20,21,22], and evaluate flood reinsurance pools [23]. FFP is also shown improve the understanding of the decision makers and thus help operationalize adaptive governance and water management strategies [24].
In this study, the “FFP” paradigm is extended to assess the best use of brackish groundwater resources. As a finite resource, it is imperative that brackish groundwater resources not be overexploited the way many freshwater aquifers have been. Understanding how fit the groundwater in a brackish geological unit is for a given water need helps identify those uses that can be shifted from freshwater to brackish groundwater resources. A FFP assessment is, therefore, useful to allocate brackish groundwater in an optimal manner to various competing needs. In a regional context, shifting some of the water users to this alternative source ameliorates the stresses on freshwater resources and helps prolong the useful life of freshwater aquifers. Therefore, FFP is consistent with Sustainable Development Goal 6, which emphasizes the need to evaluate the freshwater footprint and improve the useful life of scarce freshwater resources [25].
It is likely that brackish groundwater may not be readily suitable for any application within a region. However, brackish groundwater resources can be made suitable for an intended use by treating the water to lower the levels of unwanted constituents. Therefore, in addition to adopting a binary evaluation of whether brackish groundwater is either “fit” or “unfit” for a given application, the relative closeness of a water source to being “fit for a given purpose” also needs to be evaluated. The closer the source water is to an intended use requirement, the easier it is to make it fit for that purpose (i.e., with lower costs and minimal environmental impacts) [26].
Brackish groundwater resources exhibit considerable geochemical variability within an aquifer [11]. Therefore, it is essential that “FFP” assessments capture this spatial variability. For most uses, the acceptable quality of water depends upon the concentrations of multiple constituents that are present in the water. The source water must be within the acceptable thresholds of several relevant parameters that define the suitability of the water for an intended use. Therefore, FFP assessments for source water categorization must effectively reconcile the variability of multivariate water quality constituents.
This paper develops a multi-criteria decision-making (MCDM) framework for conducting spatially explicit “FFP” brackish groundwater resource assessments. The proposed framework is illustrated by applying it to evaluate the usage potential of a brackish groundwater resource (i.e., the Dockum Hydrostratigraphic Unit or Dockum-HSU) in the agriculturally intensive Southern High Plains (SHP) region of Texas. Brackish groundwater resources are actively being explored in SHP to reduce the existing and projected stresses on the overexploited Ogallala Aquifer while meeting municipal, agricultural, and unconventional oil and gas production water demands [27]. Therefore, the study area provides an ideal testbed for illustrating the developed FFP assessment procedure. While the results from this study are of direct relevance to water users in the region, the methodology is generic and can be broadly applied to evaluate the substitutability of deeper (brackish) geological units to reduce the global freshwater use footprint.

2. Materials and Methods

A source of water is regarded as fit if the quality of water is considered acceptable for that specific use. The quality of water required for a specific use is defined using a set of relevant set of physical, chemical, and biological characteristics of water. Therefore, a water source with a set of i water quality constituents (i = 1, 2, 3, …, I) at location j is considered fit for a given purpose, k, if the concentrations of the constituents meet the water quality criteria for the given purpose. The required criteria identify the range of values a constituent can take without causing problems in use. In municipal applications, water quality criteria (standards) are derived to ensure there are no deleterious health effects and that the water is aesthetically pleasing (i.e., taste, color, odor considerations). In agricultural applications, water quality guidelines are often stated to ensure there is no toxicity or other harmful effects on the plants that will reduce crop yields. In industrial applications, water of a certain quality is necessary to avoid the deterioration of machinery (e.g., prevent scale formation) or otherwise hamper production processes. The water quality criteria (standards or guidelines) for given applications are known a priori and provide a benchmark to evaluate the fitness of a source water for an intended purpose.
Given the possibility that a source water may not be originally fit for a given purpose but can be made fit through treatment, it is also useful to evaluate the extent of departure from fitness when a water source is determined to be unfit. Therefore, any proposed FFP evaluation measure must (1) indicate whether the water is fit or unfit for a given purpose (i.e., conjunctive analysis) and (2), if the water is unfit for a given purpose, enumerate the degree of departure from fitness (prioritization analysis). To address the above two requirements, it is proposed that the fitness of a source water be measured using the distance between its concentration and the required water quality standard (criteria). A new indicator called the standard compatibility rating (R) is defined based on the distance between the concentration of the target indicator in the source water and its water quality standard. R is given a value of zero when the water quality standard is met at a given location for a specific use; otherwise, the minimum distance from the acceptable standard is measured. As different water quality parameters are measured using different units, it is imperative that R be rendered dimensionless prior to being used in any MCDM model. The rating R is, therefore, standardized by dividing the distance by the water quality standard to eliminate the differences arising from the use of specific units and render R dimensionless.
For a water quality constituent, i, at a location, j, for a purpose, k, the standard compatibility rating Ri,j,k is defined as:
R i , j , k = 0 C i , j C i , s t d , k   or   R i , j , k = C i , j C i , s t d , k C i , s t d , k C i , j > C i , s t d , k ,
where, C denotes the concentration and the subscript, std denotes the corresponding water quality requirement. Equation (1) is applicable for constituents having an upper threshold limit above which the constituent becomes incompatible or the standard is not met.
When the water quality parameter has a lower threshold limit—say, for example, the Langelier Saturation Index (LSI) for corrosivity—the following expression is used:
R i , j , k = 0 C i , j C i , s t d , k   or   R i , j , k = C i , s t d , k C i , j C i , s t d , k C i , j < C i , s t d , k .
When the standard for a water quality constituent is given as a range (e.g., pH), the minimum distance from either the upper limit (UL) or the lower limit (LL) is estimated and then normalized using the average of the UL and the LL values to get the R value. If the concentration of the chemical constituent is greater than or equal to the LL and less than or equal to the UL, then R is given a value of zero.
R i , j , k = 0 C i , j C i , LL , k   and   C i , j C i , UL , k ,
or
R i , j , k = min ( [ C i , j C i , LL , k ] , [ C i , UL , k C i , j ] ) ( C i , LL , k + C i , UL , k ) / 2 .
In the conjunctive FFP analysis, a source water is categorized as “FFP” from a quality standpoint when all of its constituents have zero R values or are “not fit for purpose” otherwise (see Equation (5)).
FFP j , k = IF   ( R 1 , j , k     R 2 , j , k   ;     R I , j , k = 0 ) THEN   ( Fit )   ELSE   ( Unfit ) i = 1 , I ,
where FFPj,k is the conjunctive FFP score of the jth location for the kth water use purpose.

3. Prioritizing Not Fit for Purpose Water Sources

When a water source does not meet the standards and, therefore, is not fit for a given purpose, it can be treated to meet the required water quality criteria. Water treatment costs escalate with the number of problematic constituents that have to be treated to bring the water to compliance [1,28]. Furthermore, technological limitations arise at higher concentrations. For example, high ion concentrations can increase membrane scaling during the brackish water desalination process and render reverse osmosis ineffective [29]. Therefore, source waters closer to the recommended water quality criteria should be prioritized over sources that are further away from the acceptable limits. Additionally, constituents with more stringent standards are generally harder to comply with than those with less strict requirements.
The R value (Equations (1)–(4)) considers all these aspects. Higher R values are obtained when the source water quality is far from the acceptable limit and/or the water quality standard is stringent (small value). There are several other considerations that decision makers must weigh during practical decision-making settings. For example, parameters affecting public health must be prioritized over those constituents whose water quality standards are based on non-health considerations [30]. The availability of the treatment method, associated costs, and site availability are a few other aspects that play a role in defining the relative importance of constituents.
Assigning criteria weights is an important step in multi-criterion decision-making (MCDM) approaches [31]. In a MCDM approach, weights reflect the relative importance of the variables and can be ascertained in several different ways. Most often, weights are subjectively assigned to capture decision maker preferences. There are several methods proposed in the literature to guide subjective weight elicitation from decision makers [32]. Weights can also be obtained objectively from rating data. In particular, entropy-based methods have been proposed to objectively determine weights from rating data [33,34,35,36]. Ratings that exhibit a greater variability across alternatives are assigned a higher weight than those that have similar values across alternatives [37,38].
The subjective specification of weights becomes challenging when there are a large number of variables, as decision makers find it difficult to differentiate the relative importance of different variables [39]. The objective weight determination procedure is also sensitive to the number of criteria [33]. It is also not easy to make a relative comparison of the constituents when they are all harmful. In such cases, all the attributes can be assigned equal weights following the Laplace principle of insufficient reason. Any of the three weighting schemes (subjective, objective, or equal weights) can be used with the FFP procedure presented in this study.
When all the alternatives (water sources) have the same performance rating for an attribute i, a weight of zero needs to be assigned, as it provides no information to distinguish and prioritize among alternatives [35]. Therefore, when all the alternative sources of water meet the acceptable limits for a constituent, it can be removed while calculating weights. As the standardized compatibility rating value R is zero when the water is fit for a given purpose, the degree to which the water is unfit for a given purpose is the weighted distance from the ideal value IV0,i and summed over all the criteria (Equation (6). By definition (Equations (1)–(4)), this ideal value is equal to zero. The weighted distance summation is referred to as the overall compatibility index (OCIj,k) at a location j for an intended use k (Equation (6)):
OCI j , k = i = 1 I ( w i , k R i , j , k IV 0 , i ) 2
Lower values of the Overall Compatibility Index, OCIj,k are preferred over higher values, with an ideal being equal to zero.
MCDM methods can suffer from problems of ambiguity, eclipsing, and rigidity [40]. The potential for these issues arising must, therefore, be evaluated prior to their implementation. Ambiguity arises when an index classifies the water as being unacceptable when it is in fact acceptable. Eclipsing presents the opposite problem, in that the index classifies the water as being acceptable even when the water is unacceptable for a few constituents. The problem of eclipsing and ambiguity are particularly common with weighted additive methods [41]. Rigidity is another problem that arises when the addition of new parameters can incorrectly alter the acceptability criteria [42].
The OCI score is never non-zero (unacceptable) when a source of water meets all the water quality criteria. Therefore, the proposed approach does not suffer from ambiguity. Furthermore, OCI has a positive value when one or more water quality constituents do not meet their standards. As such, the problem of eclipsing is also avoided. If the additional constituents do not meet the acceptable limits, the index value increases, but it never decreases if the constituents meet the standards. Therefore, rigidity problem is also avoided. OCI accounts for the relative risks posed by the constituents. In other words, if two constituents occur in the water with the same concentrations, then the constituent with a more stringent standard will impact the index more than the one having a lesser stringent standard. Therefore, the index proposed in this study overcomes all the challenges commonly associated with using MCDM methods in water quality assessments [43].
The computations associated with the FFP MCDM method are straightforward and can be carried out using spreadsheets or mathematical software. The methodology can be tightly coupled with a Geographic Information System (GIS) to visualize the suitability of an aquifer for a given use across a region. This spatial visualization is particularly useful in regional water resource planning and development endeavors, as well as in the development of suitable groundwater policies. The proposed approach comprehensively evaluates the suitability of the brackish groundwater sources based on water quality considerations.
While water quality is the primary driver for assessing the potential of a water source for an intended use, the amount of water that is available is also an important consideration. Therefore, the proposed methodology only focuses on the potential of the brackish unit to meet an intended use. The additional evaluation of how much water can be pumped from these units (e.g., well yields) is also warranted to determine the nature and extent of usage. In deeper brackish aquifers, the temporal variability is typically smaller compared to the spatial variability due to the long equilibration times. Therefore, the proposed work does not account for temporal variability. It also does not explicitly quantify the uncertainties associated with the mapping of water quality parameters. Nonetheless, the proposed methodology serves as a useful first step that can help eliminate those areas that are clearly unfit for a given purpose and prioritize water availability investigations to those areas that meet (or can be made to meet) the required water quality considerations.

4. Illustrative Case-Study

The Southern High Plains (SHP) region of Texas, shown in Figure 1, is located at the northwestern part of Texas and is part of the North American Great Plains ecosystem. The SHP is a semi-arid region with intense agricultural activity. The region is a major producer of cotton, corn, sorghum, winter wheat, and cattle [44], with over 31% of the study area being used for agricultural production (Figure 1a,b). The region has historically relied on the shallower, unconfined Ogallala Aquifer to meet its water demands. Extensive reliance on this aquifer has led to its overexploitation [45], and has caused severe declines in the groundwater table in many parts of the SHP [46]. This decline in water availability has spurred a search for alternative water sources. Surface water resources in this area are not reliable, and most streams are intermittent [47]. The deeper aquifers underlying the Ogallala Aquifer, therefore, represent the only other viable alternative water supply source.
The sediments of the Triassic age Dockum Hydrostratigraphic Unit (Dockum-HSU) underlie most of the Ogallala Aquifer in the SHP (Figure 1a). The Dockum-HSU in Texas consists of two major alluvial–lacustrine depositional sequences—(1) Santa Rosa–Tecovas and (2) Trujillo–Cooper Canyon Formations—and also the Dockum Group strata is divided into coarse-grained channel-related facies and fine-grained overbank facies [48] (Figure S1 in Supplementary Information for cross-sectional profiles along the N-S and E-W transects). Portions of Dockum-HSU have been designated as a minor aquifer in Texas, and groundwater from this geological unit has been used to meet some of the agricultural, municipal, domestic, and livestock demands, especially in the eastern portions of the SHP, where the water quality in this unit is significantly better [49]. There has been a growing use of the Dockum-HSU for meeting the demands of the oil and gas industry (i.e., hydraulic fracturing operations), especially in the southern portions of the aquifer (Figure 1d) [50]. While the water quality in the Dockum-HSU is brackish over large portions, there is also a growing interest in using this resource for municipal (Figure 1c for the location of communities in the region) and agricultural uses [27].

5. Data Compilation and Preprocessing

Groundwater quality data were compiled from the monitoring activities of the Texas Water Development Board (TWDB) and its regional collaborators. The field data collection procedure followed strict sample collection and preservation protocols [51]. The water quality analysis was carried out using accepted standard methods at a nationally certified environmental laboratory [52]. Due to fiscal and logistic reasons, the wells were not monitored each year. A total of 8480 groundwater quality records were extracted for 193 monitoring wells within the study area (Figure 1b). A preliminary analysis showed that the temporal variability of the water quality data was much lower than the observed spatial variation in the water quality. Therefore, the quality data from the years 2000 to 2016 were averaged to get representative values at the monitoring wells. A comprehensive multivariate dataset comprised of 35 inorganic chemical constituents and bulk parameters was compiled into a master database (see Table 1 and Tables S1 and S2 in Supplementary Materials for the set of constituents). The mass balance error was less than 5% in most of the wells. The mean mass balance error was 3.7% ± 0.394% (95% CI). No systematic errors were noted in the mass balance errors with respect to the major ions or total dissolved solids. Given the paucity of data and lack of any systematic error patterns and based on the literature guidance, only those samples that met the major ion charge balance within ±10% were included in the database to have reasonable mass balance errors and a good spatial coverage [53]. Two derived parameters—namely, the sodium absorption ratio (SAR) and the Langelier Saturation Index (LSI), a measure of corrosivity—were computed using the major ion data and incorporated into the database for a total of 37 constituents.
The natural neighbor interpolation technique [54,55,56,57] was adopted to regionalize the concentration measurements from individual wells. This approach is noted to perform well under sparse and heterogeneous sampling conditions that are common in deeper brackish aquifers and noted in this study as well. The heterogeneous spread of the sampling wells (Figure 1c) made the use of stochastic interpolation methods [58] such as kriging difficult, led to uneven standard errors, and as such were adopted here. Custom scripts were developed using R, the statistical programming environment [59], to perform natural neighbor interpolation. Natural neighbor interpolation is computationally expensive in interpreted languages such as R, therefore multicore threading and parallel processing were used to speed up the calculations. The concentrations of the selected constituents were estimated on a 1 mile × 1 mile grid following the American Public Lands Survey System (PLSS), and FFP assessments were carried out using custom scripts developed in the R programming language [59] (see Supplementary Information for R scripts).

6. Water Quality Considerations for Fit for Purpose Assessments

The three main uses of water in SHP are for meeting agricultural demands, municipal (drinking water) requirements, and oil and gas industry uses for hydraulic fracturing operations [27]. The FFP (FFP) assessments were carried out separately for each of these uses. The quality requirements of the water used for hydraulic fracturing varies depending upon whether slickwater fracturing or gel-based fracturing is used [60]. The former is water-intensive but uses fewer chemicals, and the latter has more stringent water quality requirements [50]. Therefore, FFP was carried out for both slickwater and gel-based fracturing. The FFP assessments were carried out separately for the four major crops—cotton, corn, sorghum and winter wheat—grown in the region, as the water quality requirements vary for each crop type.
The primary drinking water standards (maximum contaminant levels or MCLs) and the recommended secondary maximum contaminant levels (SMCLs) prescribed by the Safe Drinking Water Act [61] were used for carrying out FFP assessments for municipal water use and summarized in Table S1 (see Supplementary Information). While drinking water standards cover a broad range of constituents, the focus here was primarily on the inorganic constituents that are likely to arise from mineral dissolution and, therefore, are of prime concern in deeper brackish units. The MCL standards are based on the risks posed by these chemicals via ingestion and dermal contact exposure pathways. The secondary standards (SMCLs) are not based on health effects but are recommended from aesthetic considerations (i.e., color, taste, and odor). Municipalities often seek to meet these standards even though they are not legally mandated to do so, and as such are considered here as well. In particular, total dissolved solids (TDS) can cause the mineral fouling of membranes and affect water use, and as such the ambient TDS concentrations in source waters is a primary concern for many municipal operators in the region.
Water intensive hydraulic fracturing (HF) techniques such as slickwater and gel-based methods are commonly used in West Texas shale plays. Fracking fluid systems often include linear gels and crosslinked gels that reduce the friction of water [62]. Slickwater-based fracking generally uses friction reducers to assist the pumping of fluid into the production well at high speeds [61]; biocides and scale inhibitors are used to minimize the clogging of fractured pores due to microbial growth and inorganic precipitation. Surfactants are used to keep the proppant suspended. The required proppant concentration is generally low in slickwater-based hydraulic fracturing (HF) [63]. Slickwater-HF can use water with a TDS concentration greater than 100,000 mg/L and an iron concentration less than 130 mg/L with proper additives [64]. Gel-based HF uses less water than slickwater-based HF. Gel-based HF uses crosslinkers (generally borate or other metal compounds) to increase the viscosity of water and make it more stable at high temperatures [65]. Biocides, scale inhibitors, and buffers (to maintain pH) are also added. Therefore, the water quality for gel-based HF is an important consideration, as the chemicals in the water can interfere with the crosslinkers and other additives to make the water unusable. To avoid adverse reactions, bivalent cations must also be low in the water used for gel-based HF. The recommended water quality requirements for slickwater and gel-based fracturing were compiled from several sources and discussions with industry personnel to develop conservative water quality targets suitable for oil and gas operations in the SHP region [27,50] and are presented in Table S1 (see Supplementary Information).
Agriculture water quality requirements were compiled from the published literature [66,67] and corroborated with discussions with extension agents and other agricultural experts in the region. The water quality requirements for agricultural uses are also based on several factors, including the minimization of salinity hazards and sodium hazard (sodicity). Other constituents, such as pH, alkalinity, and specific conductance, have to be in appropriate ranges to ensure that the water supplied to the plant does not adversely affect the biochemical reactions taking place within the plant. Finally, some specific ions (e.g., boron) that cause chemical-specific toxicity in plants also need to be considered [68]. The concentration thresholds corresponding to various constituents of concern for four major crops grown in SHP are summarized in Table S2 (see Supplementary Information).
The regionalized concentrations and water quality standards presented in Tables S1 and S2 were used to carryout FFP analyses and compute the OCI scores. An equal weighting of all the constituents following the Laplace principle of insufficient reason was adopted given the large number of constituents that are all deemed important by water planners and managers in the region. The summary statistics of water quality parameters used in the study are presented in Table 1 and denote a high degree of variability in most cases. A flowchart depicting the workflow of the FFP assessment process is presented in Figure 2.

7. Results and Discussion

7.1. Fit for Purpose Assessment for Municipal Water Use

The conjunctive FFP analysis results based on the standardized compatibility rating (Equations (1)–(5)) indicated that the Dockum-HSU water is generally not fit for direct municipal use, as at least one constituent of concern is outside the acceptable range at any given location within the study area. A constituent wise analysis presented in Figure 3 indicated that over 95% of the aquifer area was incompatible due to the total dissolved solids (TDS) and total hardness (TH). Secondary constituents—sulfate, chloride, iron, manganese—exceeded their standards over a significant portion of the area. Two radionuclides, gross alpha particles and radium, were also important causes of incompatibility in over 50% of the study area. Nitrate was of concern in the outcrop areas of Dockum-HSU, where the aquifer is unconfined and overlain by agricultural activities. The Langelier Saturation Index (LSI) is an indicator of corrosiveness and did not meet the criteria over 40% of the aquifer. The concentrations of only five constituents—barium, chromium, copper, silver, and zinc—were noted to be below the threshold values throughout the geological unit.
Elevated levels of TDS decrease the water taste and render the water hard, especially when the calcium and magnesium concentrations are high. Hardness affects the effectiveness of soaps and detergents, and also causes scale formations in pipes [69]. Although TDS exceeded the SMCL standard of 500 mg/L over 95% of the area, saline water conditions (i.e., TDS between 10,000 mg/L and 35,000 mg/L) exist in roughly 12.5% of the study area. The groundwater in Dockum-HSU is categorized as brine (TDS > 35,000 mg/L) in about 1.3% of the study area.
The TDS values were below 10,000 mg/L over 85% of the study area, and the removal of TDS using existing desalination or membrane filtration technologies is, therefore, possible at these locations. The study area is predominantly rural and characterized by high winds throughout the year. As such, evaporative based concentrate management methods can be readily implemented [70]. However, given the scarcity of water, concentrate management technologies that allow water recovery and reuse are preferred but may substantially increase the costs of brackish groundwater treatment [71]. While less than 4% of the aquifer meets the SMCL of 500 mg/L, about 20.5% of the aquifer was below 1000 mg/L, which is designated as the acceptable upper limit for human consumption [72], indicating that while TDS is a major limiting factor, it is often not the only one. Explorations of Dockum-HSU for municipal use must, therefore, be carried out over a suite of constituents and not be based on TDS alone.
Prolonged exposure to radium in drinking water can lead to bone cancer [73]. Radium and gross alpha particles, which are also of concern over a significant portion of the area, can be treated with reverse osmosis and distillation processes as well [74]. The incompatibility assessed using LSI highlights the corrosive nature of the groundwater in Dockum-HSU. A high corrosivity potential can create problems during the conveyance of water from the well fields to treatment plants, likely warranting the need for pre-treatment near the source prior to its transport to the treatment plant.
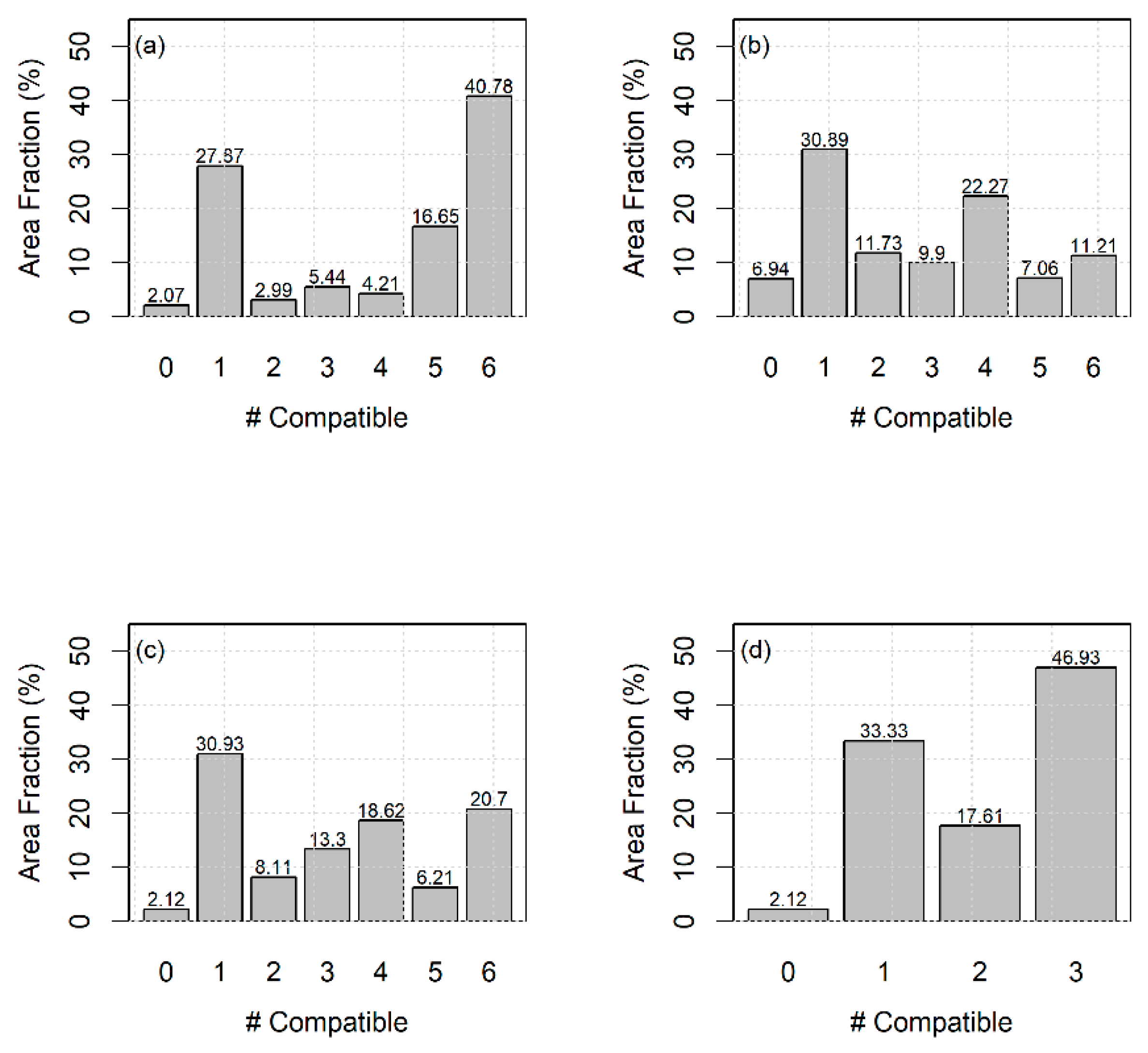
As municipal FFP assessment entails multiple constituents, it is illuminating to evaluate the fraction of study area that has a given number of compatible constituents. Areas with a large number of incompatible constituents will likely require more expensive treatment technologies than those with fewer constituents. In particular, low-cost methods such as blending can be pursued if only a few constituents are of concern. Figure 4 depicts the cumulative fraction of the study area that is compatible with a given number of constituents. Water quality is compatible with 25 or more of the 28 constituents of concern for municipal use in nearly 22% of the study area. Low-cost treatment such as blending with freshwater may be possible at these locations. As TDS is the primary constituent of concern, omnibus technologies such as reverse osmosis are warranted at most locations. These technologies typically do remove most of the other contaminants considered here that also exhibit exceedances along with TDS and are, therefore, advantageous from that standpoint but can be expensive for small communities.
A spatial assessment of Dockum-HSU water’s fitness for municipal purpose was carried out using the OCI score, and the extent of incompatibility is depicted in Figure 5. Although no part of the Dockum-HSU is fully compatible with the municipal water needs, Figure 5 shows that groundwater in large portions of the aquifer is not very incompatible. The FFP score is less than 0.5 for over 65% of the study area, indicating the possibility of use with some treatment. However, the water is most incompatible in the Lubbock, Lynn, Garza, Terry, and Crosby counties, which surround the city of Lubbock (largest city in the study area), and in the Randall and Deaf Smith counties, which are near the city of Amarillo (second largest city in the study area). Thus, while the quality of Dockum groundwater is most incompatible around major population centers within the study area, they can serve many rural communities within the region. The transport of water to urban centers is also possible, as large-scale water conveyance infrastructure connecting the two major cities (Lubbock and Amarillo) exists in the region. From a water quality standpoint, the corrosivity of the Dockum groundwater must be given due consideration when planning such large-scale water transfer projects along with other relevant factors (e.g., aquifer hydrogeology and economics).
To summarize, the groundwater in Dockum-HSU is not directly fit for meeting municipal water needs. However, its incompatibility over a large area is relatively low, and water from this geological unit can be made fit for municipal purposes with suitable treatment over large areas within the study area. However, desalination technologies would be necessary, which tend to be expensive and subject to economies of scale. Therefore, small communities seeking to tap into this resource will benefit from regional cooperation.

7.2. Fit for Purpose Assessment for Hydraulic Fracturing

The results of the FFP analysis for hydraulic fracturing showed that Dockum-HSU water was entirely suitable across the whole study area for slickwater hydraulic fracturing (HF). Sulfate was the most problematic constituent in the Dockum-HSU water for gel-based HF (Figure 6). The elevated sulfate concentrations caused the groundwater from Dockum-HSU to be incompatible in over 78% of the study area for gel-based HF. Silica was problematic for over 17% of the aquifer (Figure 6). The two divalent cations—calcium and magnesium—made the Dockum water incompatible in over 10% of the aquifer area (Figure 6). In addition to calcium and magnesium, barium and strontium can also react with sulfate and form solids which have a very low solubility [75]. Elevated levels of sulfates lead to the precipitation of calcium sulfate (gypsum) or magnesium sulfate (epsom) salts. Dissolved silicate ion interferes with crosslinkers and reduces the efficiencies of water used for gel-based HF. Calcite can also form due to high calcium levels [75]. The concentrations of carbonate, sodium, barium, boron, and iron were generally below the threshold values and unlikely to cause large-scale compatibility issues over most of the study area.
The FPP analysis for gel-based HF indicates that some treatment would likely be necessary to make water compatible for HF operations. In addition to the treatment of water, slight modifications to operations and the use of alternative additives and chemical formulations could resolve certain water quality issues in HF operations. Again, the costs of water treatment or process modifications depend upon the nature and extent of incompatibility of the source water. Generally speaking, the lower the level of incompatibility, the less expensive the treatment is. Figure 7 indicates that the Dockum-HSU meets the required standards of at least 13 of the 15 constituents over 85% of the study area, with sulfate and dissolved silica generally being the two most problematic constituents. Therefore, the potential for use of Dockum-HSU for gel-based hydraulic fracturing is high and likely possible with minimal treatment over a large portion of the study area.
Dockum-HSU water’s fitness (or lack thereof) for HF use was spatially assessed using OCI and is depicted in Figure 8. The extent of incompatibility for gel-based fracking is only shown here, as the Dockum-HSU water was seen to be fully compatible for slickwater HF. About 9% of the area was deemed FFP for gel-based fracking and mainly occurs in the northern portions of the study area within or near the Palo Duro basin. Generally, the level of incompatibility is very low for over 70% of the study area.
The water quality was noted to be better in the north within the Anadarko Basin and in the south within the Permian Basin. The blending of Dockum-HSU water with water from Ogallala or Edwards-Trinity aquifers can likely make the water fit for HF purposes in these areas [50]. Poorer quality water was noted near the Lynn and Garza counties, which lie within the Palo Duro basin. However, there is limited hydraulic fracturing operations in these areas at the present time.
Controlling sulfate concentration is a key limitation in using Dockum-HSU waters for hydraulic fracturing operations. Sulfate can be selectively removed from water using ion-exchange resins or precipitating out gypsum and epsom salts [76]. In a similar vein, pre-treatment may also be used to precipitate out the barium and strontium salts of sulfate (i.e., barite and celestite). A variety of environmentally friendly inhibitors of gypsum scales are also available and are useful when the concentrations of sulfate are low [77]. Silica removal from water can be achieved using electrocoagulation methods. Higher dissolved silica often makes membrane processes ineffective [78].
To summarize, while Dockum-HSU is compatible for gel-based hydraulic fracturing activities over a relatively small portion of the study area, the water quality deviations from the required standards are low, and as such water can be made easily compatible either with process modifications or low-cost treatment technologies. Economies of scale can be obtained when more expensive treatment methods are warranted by setting up regional scale water supply facilities that cater to hydraulic fracturing operations within the study. The water from these facilities can be transported to sites via tankers or ad hoc conveyance networks made up of polyethylene pipes. Sulfate and silica are the two major constituents that cause incompatibility, but can be removed using ion-exchange and electrocoagulation methods. A significant amount of the brackish groundwater used for hydraulic fracturing is returned to the surface as either flowback or produced water. While these waters have much higher levels of TDS and other salts, they can be reused with minimal processing in slickwater fracturing applications [50]. The proper storage of these waters is however important to avoid the contamination of shallower freshwater aquifer resources.

7.3. Fit for Purpose Assessment for Agricultural Use

7.3.1. Cotton

Cotton is cultivated over a nearly 18,000 sq. km area [44] in the SHP and is the largest planted crop in this region. While cotton is fairly drought resistant and has a relatively high salt tolerance, it is susceptible to sodium toxicity, which is known to have a significant impact on cotton yields [79]. Sodium Absorption Ratio or SAR measures the sodium in groundwater relative to the calcium and magnesium concentrations [80]. The sodium hazard increases with an elevated SAR. Irrigation water with high SAR values can damage the soil physical structure and reduce the infiltration capacity of soils [81]. The FFP analysis indicated that SAR affected the FFP for cotton over 56% of the study area, followed by sodium, TDS, and chloride (Figure 9a). However, Dockum-HSU offers a high potential for cotton irrigation use, with about 40% of the study area fit for this purpose (Figure 10a). Furthermore, the water quality standards for four of the six constituents could be met over an additional 20% of the area where the water was deemed unfit (Figure 10a).
Given the high level of compatibility of Dockum-HSU with cotton water quality requirements, the groundwater from Dockum-HSU could potentially serve as a useful supplemental source for this purpose. However, as seen in Figure 11a, while the extent of incompatibility for cotton production is low over most of the study area, locations with higher levels of incompatibility coincide with areas where cotton is currently grown. Higher levels of incompatibility can be seen in the Lynn, Garza, Lubbock, and Crosby counties, which represent areas of intensive cotton production. Dryland cotton production is also on the rise in this area, and the crop yield risks can be substantially reduced even with some amount of irrigation [82], especially if the SAR and sodium levels can be brought down through gypsum amendments to soil and irrigation water. However, Dockum-HSU is unlikely to support cotton production in this area. Dockum-HSU can however serve as a useful source for cotton production in the northern counties where cotton is not currently being grown extensively but may have to be in the future due to diminished supplies from the Ogallala Aquifer.
Owing to its smaller size, sodium does not undergo significant ion exchange reactions in the subsurface as compared to bivalent cations such as calcium and magnesium. As such, elevated sodium concentrations are to be expected in deeper groundwater systems [83], which in turn lead to elevated SAR values. A high SAR can be reduced by adding gypsum to water, which increases the ratio of calcium to sodium and thus reduces the harmful effects of sodium toxicity [84]. As groundwater supplies from the Ogallala Aquifer dwindle in the Southern High Plains region, there will be an increased shift from higher valued water-intensive crops to less water-intensive crops. Areas where Dockum-HSU shows a high compatibility with cotton water quality requirements serve as prime candidates where such a transition can be facilitated.

7.3.2. Corn

Corn (Maize) is cultivated over approximately a 3000 sq. km area in the SHP [44]. Among the four major crops grown in the SHP, corn has the most stringent water quality requirement. Electrical conductivity (EC) and total dissolved solids (TDS) were the two primary constituents of concern for corn. As both of these variables are strongly correlated, they each caused an incompatibility over 80% of the study area. SAR accounted for roughly 56% of the incompatibility within the study area. Chloride and sodium were also of concern over a large area (Figure 9b). About 11.2% of the area is FFP for corn production (Figure 10b), with an additional 30% of the area where the water is compatible with at least four of the six water quality parameters (Figure 10b). Therefore, the water from Dockum-HSU is not as favorable for corn production as it is for cotton production.
Corn is largely grown in the northern parts of the SHP, which has relatively cooler weather and greater groundwater availability. The compatibility of Dockum-HSU water for use in corn production in areas where corn is currently being grown is high, with 30% of the current corn producing areas underlain by Dockum-HSU fully fit for meeting corn production needs (Figure 11b). However, the water availability in the Ogallala Aquifer is also high in these regions. The water in Dockum-HSU is also fairly good (if not fully fit) in the Randall and Deaf Smith counties, which also have a fairly high degree of corn production. The quality of the Dockum-HSU water deteriorates further down, and the water from the Dockum-HSU unit is not likely to be of much use for sustaining corn production in the Palmer, Castro, Swisher, and Bailey counties, where the Ogallala Aquifer is also depleting at a relatively fast rate.
Salinity hazard in crops increases with an increasing EC or TDS in irrigation water. Increased EC can decrease the seedling growth in corn [85]. Salinity also limits water availability to the plants. Salinity is often removed by leaching out salts from the root zone [86]. This procedure however requires greater amounts of irrigation (especially before planting) and the installation of subsurface drains to collect and remove the flushed-out salts. However, caution must be exerted, as too little EC in irrigation water can also promote the leaching out of calcium, which can break soils and cause problems with infiltration [87]. The increased irrigation requirements, necessary for EC management, limits the utility of Dockum-HSU water for corn production in the central and southern portions of the SHP.

7.3.3. Sorghum

While sorghum production is currently small compared to cotton and corn in SHP, its acreage has consistently increased over the last few years. Sorghum is another drought-tolerant crop [88] and can be grown in areas where water is limited or of poor quality for corn production [89,90]. Sorghum production is increasing in the SHP to meet the forage needs of increasing livestock demands [91,92]. It is cultivated over a 2000 sq. km area in the SHP [44]. The water quality requirements for sorghum are similar to the pattern of corn, but are generally less stringent (see Table S2 in Supplementary Information). Therefore, the compatibility of sorghum is controlled in a manner similar to corn (Figure 9c). TDS and EC are again the two major limiting constituents in over 75% of the study area. SAR is also another major limiting constituent in over 60% of the study area, followed by sodium and chloride. However, Dockum-HSU water is fit for growing sorghum at over 20% of the study area (compared to roughly 11% for corn). In addition, Dockum-HSU meets at least four of the six water quality standards in over 45% of the study area (Figure 10c).
Dockum-HSU was fully fit for sorghum production in the northern part of the SHP, especially the Dallam, Sherman, Hartley, and Moore counties, where sorghum is grown either continuously or in rotation with corn (Figure 11c). Dockum-HSU is reasonably good for sorghum production in the Deaf Smith, Randall, Armstrong, and Parmer counties, but likely has to be used in conjunction with the Ogallala Aquifer. However, the water from Dockum-HSU was relatively unfit for sorghum production in the central parts of the SHP (e.g., the Bailey, Cochran, Gaines counties) where sorghum is also grown, although not as extensively as in the northern regions due to limited water availability, often as a dryland or deficit irrigation crop.
TDS and EC are the two major factors that limit the use of Dockum-HSU for sorghum production. The concentrations of these can be controlled by mixing the brackish water of Dockum-HSU with fresher water from the Ogallala Aquifer where and when possible. Careful irrigation scheduling using fresh (Ogallala) and brackish (Dockum-HSU) resources could be used to periodically flush out accumulated salts and minimize salinity hazards. Dockum-HSU could play an important role in the future as farmers transition out of corn production due to diminished freshwater availability, particularly in the northcentral portions of the SHP where corn production is being threatened by dwindling freshwater supplies and the brackish water in Dockum-HSU is more compatible with the sorghum water quality standards than with those for corn.

7.3.4. Winter Wheat

Winter wheat is the second largest cultivated crop (nearly 7640 km2) in the SHP [44], and is both a forage and a grain crop [93]. Winter wheat is often grown as a dryland crop or with limited irrigation in the SHP [94,95]. The depletion of the Ogallala Aquifer is seen to significantly curtail winter wheat production, as many farmers, especially in the central and southern portions of the SHP, now only grow crops in the summer due to the limited water availability [96]. Increased droughts, especially during winter and early spring, have also increased the risks of dryland winter wheat farming [97].
The use of Dockum-HSU water for winter wheat production is limited by SAR (over 50%) and EC (over 40%) within the study area (Figure 9d). The Dockum-HSU water however meets the winter wheat standards for nearly 47% of the study area, and the water meets at least two of the three criteria in over 60% of the study area (Figure 10d). Therefore, the potential for using Dockum-HSU for winter wheat production is high.
The spatial assessment of Dockum-HSU’s fitness for irrigating winter wheat is high in the northern portions of the SHP, and the water is fully fit for use in about 47% of the area where winter wheat is currently being produced (Figure 11d). Again, much of this compatible area lies in areas where the water availability in the Ogallala Aquifer is also high. The Dockum-HSU can serve as a useful source in the Randall, Deaf Smith, and Parmer counties, where the water quality in the unit is either fully compatible or very close to being so for winter wheat production. Thus Dockum-HSU can play a useful role in sustaining double cropping (summer and winter) practices in this area. Unfortunately, the fitness of the Dockum-HSU deteriorates moving southward, where the need for alternative sources to the Ogallala Aquifer are the highest (Figure 11d).
The sodium hazards caused by elevated levels of SAR can be minimized by gypsum amendments to soil and water. Salinity hazards due to the high EC can be minimized by flushing out salts from the root zone, which requires additional irrigation using freshwater sources. The blending of Dockum-HSU with Ogallala Aquifer water would therefore be necessary in the central and southern portions of the study area. The viability of Dockum-HSU to prolong the useful life of Ogallala would therefore require a closer evaluation of the water quality in both these geological units, as they both exhibit significant geochemical spatial variability. It is unlikely that Dockum-HSU can help revitalize winter agricultural production in the southern portions of SHP, nor can Dockum-HSU serve as a complete alternative to the Ogallala Aquifer in this part of the study area.

8. Summary and Conclusions

Brackish groundwater resources are often the only alternative source of water in many agriculturally intensive arid and semi-arid regions of the world. Assessing the FFP of these geological units to serve as an alternative or at least a supplemental source of water is therefore critical to sustain agriculture-dependent rural economies with dwindling water resources. With the growing population and increased economic diversification, the competition for water between agriculture and municipal and industrial uses will increase in these areas and will likely be exacerbated by climate-induced stresses. A holistic assessment of how and to what extent brackish groundwater can be used to satisfy water demands and ameliorate stresses on freshwater resources is critical for the sustainable development of groundwater-dependent rural economies. The FFP (FFP) framework developed here provides an objective, spatially explicit, multivariate approach to evaluate the potential use of brackish water resources within a given region. The approach, especially when integrated within a GIS framework, can be useful to disseminate this information to a wide range of stakeholders and help facilitate water quality-informed collaborative water planning efforts. Understanding the availability and potential constraints on using these alternative sources of water is also critical in order to develop scientifically informed policies that seek to allocate and sustain scarce freshwater resources to the highest priority needs of the region.
The utility of the developed methodology is illustrated in this study by applying it to evaluate the feasibility of using Dockum-HSU as an alternative water source for the fast-depleting Ogallala Aquifer in the Southern High Plains (SHP) Region of Texas. The SHP is an agriculturally intensive area and a major producer of cotton, corn, sorghum, and winter wheat for both human and cattle consumption. In addition, the region is also rich in oil and gas reserves, which are increasingly being extracted using water-intensive hydraulic fracturing technologies. Separate FFP assessments were carried out to evaluate the fitness of the Dockum-HSU municipal, hydraulic fracturing, and agriculture uses. As water quality defines the intended use of the water, the focus here was assessing the compatibility of the water from a water quality standpoint.
While the Dockum-HSU water was not directly fit for meeting municipal water needs, it could be used for this purpose with some treatment. The potential of use is high across the SHP, especially in rural areas, but is somewhat limited around two major cities (Lubbock and Amarillo) within the study area. In most places, traditional desalination methods can be useful to make the water fit for municipal use purposes. The Dockum-HSU water is fully fit to meet the requirements of slickwater-based hydraulic fracturing. It also exhibits a high potential to meet the needs of gel-based hydraulic fracturing. The elevated levels of sulfate and bivalent cations limit its use in hydraulic fracturing applications, but they can be removed using low-cost treatment methods. The Dockum-HSU water is least compatible for hydraulic fracturing use in the Palo Duro basin, where the current oil and gas production is also low.
Cotton is a major crop grown in the SHP. While the groundwater from Dockum-HSU can be used over a large portion of the study area, its quality is limited by the elevated levels of SAR and sodium, especially in areas with intensive cotton production. The quality of Dockum-HSU for corn production is generally good in the northern portions but diminishes moving southward. Generally, the quality is good in areas where the water quality and availability are also good in the overlying Ogallala Aquifer. Dockum can serve as a supplemental source in the northcentral portions of the study area, where the Ogallala Aquifer is experiencing significant declines in recent years. The water from Dockum-HSU can be particularly helpful in managing the transition of certain corn production farms to sorghum production systems in these areas. The quality of Dockum-HSU is well suited for winter wheat production in the northern and north central portions, and can be an important resource to sustain double cropping (summer and winter) in these parts of the study area. However, the quality is poor in the southern portions of the SHP where the need for an alternative source is highest. In general, sodium toxicity and salinity hazards limit the direct use of Dockum-HSU for agricultural production.
While Dockum-HSU cannot serve as a direct source of water for current agricultural activities due to the mismatch between the quality of water supplies and the current demands, it can nonetheless play an useful role in reducing the freshwater footprint in oil and gas operations as well as help in meeting municipal water needs through appropriate treatment. These shifts indirectly help in increasing the freshwater availability for agricultural uses. While the potential for making Dockum-HSU water fit for municipal purposes is high, there is also a need for the installation of expensive desalination technologies. Regional cooperation among small rural communities is therefore critical in order to exploit the economies of scale and ensure the water in the deeper brackish unit is used in an optimal manner. The SHP case-study demonstrates the utility of the approach in regional water planning endeavors and illustrates how the developed GIS-based MCDM FFP assessments can be used to evaluate alternative (brackish) water sources. The developed methodology is, however, generic and can be readily implemented if water quality data at monitoring wells are available in a region. In brackish aquifers, the focus is largely on inorganic constituents. Other water quality parameters can be incorporated as necessary (e.g., to evaluate FFP of a shallow aquifer).

Supplementary Materials

The following are available online at https://www.mdpi.com/2073-4441/12/8/2299/s1, Figure S1: Cross-Sectional Profiles of Dockum HSG, Table S1: Water Quality Standards for Municipal and Hydraulic Fracturing Use (Data from [61] and [50]; Secondary standards for Municipal Use (SMCLs) are presented in parenthesis; All units are mg/L unless noted otherwise), Table S2: Water Quality Criteria for Agricultural FFP Assessment [66,67].

Author Contributions

Conceptualization: E.A.H. and V.U.; Data curation, A.K. and M.G.C.; Formal analysis, A.K.; Funding acquisition, V.U.; Investigation, M.G.C.; Methodology, A.K., E.A.H., and V.U.; Resources, E.A.H.; Software, A.K. and V.U.; Supervision, V.U.; Visualization, M.G.C.; Writing—original draft, V.U.; Writing—review and editing, E.A.H. All authors have read and agreed to the published version of the manuscript.

Funding

This research partial funding from USDA ARS through the Ogallala Aquifer Program (agreement number 58-3090-9-006). The APC was also funded from the same source of funding.

Acknowledgments

Partial support provided by the Ogallala Aquifer Program, an USDA-ARS-led project including scientists from Kansas State University, Texas A&M AgriLife. Texas Tech University and West Texas A&M University, seeking solutions to problems arising from declining water availability from the Ogallala Aquifer (agreement number 58-3090-9-006), is gratefully acknowledged. We also want to thank the two anonymous reviewers for their constructive comments and suggestions.

Conflicts of Interest

The authors declare no conflict of interest.

References

  1. Uddameri, V.; Reible, D. Food-energy-water nexus to mitigate sustainability challenges in a groundwater reliant agriculturally dominant environment (GRADE). Environ. Prog. Sustain. Energy 2018, 37, 21–36. [Google Scholar] [CrossRef]
  2. Marston, L.; Konar, M.; Cai, X.; Troy, T.J. Virtual groundwater transfers from overexploited aquifers in the United States. Proc. Natl. Acad. Sci. USA 2015, 112, 8561–8566. [Google Scholar] [CrossRef] [PubMed]
  3. Ripl, W. Water: The bloodstream of the biosphere. Philos. Trans. R. Soc. Lond. Ser. B Biol. Sci. 2003, 358, 1921–1934. [Google Scholar] [CrossRef] [PubMed]
  4. Steward, D.R.; Bruss, P.J.; Yang, X.; Staggenborg, S.A.; Welch, S.M.; Apley, M.D. Tapping unsustainable groundwater stores for agricultural production in the High Plains Aquifer of Kansas, projections to 2110. Proc. Natl. Acad. Sci. USA 2013, 110, E3477–E3486. [Google Scholar] [CrossRef]
  5. Dalin, C.; Wada, Y.; Kastner, T.; Puma, M.J. Groundwater depletion embedded in international food trade. Nature 2017, 543, 700–704. [Google Scholar] [CrossRef]
  6. Tewari, R. Management of Declining Groundwater Resources and the Role of Policy Planning in Semi-Arid Economies: The Case of Texas High Plains. In Emerging Issues in Groundwater Resources; Springer: Berlin/Heidelberg, Germany, 2016; pp. 365–381. [Google Scholar]
  7. Mays, L.W. Groundwater resources sustainability: Past, present, and future. Water Resour. Manag. 2013, 27, 4409–4424. [Google Scholar] [CrossRef]
  8. Gleeson, T.; Befus, K.M.; Jasechko, S.; Luijendijk, E.; Cardenas, M.B. The global volume and distribution of modern groundwater. Nat. Geosci. 2016, 9, 161–167. [Google Scholar] [CrossRef]
  9. Stanton, J.S.; Dennehy, K.F. Brackish Groundwater and its Potential to Augment Freshwater Supplies; US Department of the Interior, US Geological Survey: Hunter Mill, VA, USA, 2017.
  10. Kjellsson, J.B.; Webber, M.E. The energy-water nexus: Spatially-resolved analysis of the potential for desalinating brackish groundwater by use of solar energy. Resources 2015, 4, 476–489. [Google Scholar] [CrossRef]
  11. McMahon, P.B.; Böhlke, J.K.; Dahm, K.; Parkhurst, D.L.; Anning, D.W.; Stanton, J.S. Chemical considerations for an updated national assessment of brackish groundwater resources. Groundwater 2016, 54, 464–475. [Google Scholar] [CrossRef]
  12. Buono, R.M.; Zodrow, K.R.; Alvarez, P.J.; Li, Q. Brackish Groundwater: Current Status and Potential Benefits for Water Management; Issue Brief, No. 04.11.16; James A. Baker III Institute for Public Policy of Rice University: Houston, TX, USA, 2016. [Google Scholar]
  13. Wagner, J.; Williams, S.; Webster, C. Biomarkers and surrogate end points for fit-for-purpose development and regulatory evaluation of new drugs. Clin. Pharmacol. Ther. 2007, 81, 104–107. [Google Scholar] [CrossRef]
  14. Metcalf, L.; Benn, S. The corporation is ailing social technology: Creating a ‘fit for purpose’design for sustainability. J. Bus. Ethics 2012, 111, 195–210. [Google Scholar] [CrossRef]
  15. Hurlimann, A.; McKay, J.M. What attributes of recycled water make it fit for residential purposes? The Mawson Lakes experience. Desalination 2006, 187, 167–177. [Google Scholar] [CrossRef]
  16. Muller, M. Fit for purpose: Taking integrated water resource management back to basics. Irrig. Drain. Syst. 2010, 24, 161–175. [Google Scholar] [CrossRef]
  17. Haasnoot, M.; van Deursen, W.; Guillaume, J.H.; Kwakkel, J.H.; van Beek, E.; Middelkoop, H. Fit for purpose? Building and evaluating a fast, integrated model for exploring water policy pathways. Environ. Model. Softw. 2014, 60, 99–120. [Google Scholar] [CrossRef]
  18. Thrysøe, C.; Arnbjerg-Nielsen, K.; Borup, M. Identifying fit-for-purpose lumped surrogate models for large urban drainage systems using GLUE. J. Hydrol. 2019, 568, 517–533. [Google Scholar] [CrossRef]
  19. Ries, M.; Trotz, M.; Vairavamoorthy, K. ‘Fit-for-Purpose’sustainability index: A simplified approach for US water utility sustainability assessment. Water Pract. Technol. 2016, 11, 35–47. [Google Scholar] [CrossRef]
  20. Wilson, A. Fit-for-Purpose Treatment of Produced Water for Hydraulic Fracturing in the Permian Basin. J. Pet. Technol. 2016, 68, 67–69. [Google Scholar] [CrossRef]
  21. Chhipi-Shrestha, G.; Hewage, K.; Sadiq, R. Fit-for-purpose wastewater treatment: Conceptualization to development of decision support tool (I). Sci. Total Environ. 2017, 607, 600–612. [Google Scholar] [CrossRef]
  22. Cecconet, D.; Callegari, A.; Hlavínek, P.; Capodaglio, A.G. Membrane bioreactors for sustainable, fit-for-purpose greywater treatment: A critical review. Clean Technol. Environ. Policy 2019, 21, 745–762. [Google Scholar] [CrossRef]
  23. Surminski, S. Fit for purpose and fit for the future? An evaluation of the UK’s new flood reinsurance pool. Risk Manag. Insur. Rev. 2018, 21, 33–72. [Google Scholar] [CrossRef]
  24. Rijke, J.; Brown, R.; Zevenbergen, C.; Ashley, R.; Farrelly, M.; Morison, P.; van Herk, S. Fit-for-purpose governance: A framework to make adaptive governance operational. Environ. Sci. Policy 2012, 22, 73–84. [Google Scholar] [CrossRef]
  25. Hoekstra, A.Y.; Chapagain, A.K.; van Oel, P.R. Advancing Water Footprint Assessment Research: Challenges in Monitoring Progress towards Sustainable Development Goal 6; Multidisciplinary Digital Publishing Institute: Basel, Switzerland, 2017. [Google Scholar]
  26. Rufino, F.; Busico, G.; Cuoco, E.; Darrah, T.H.; Tedesco, D. Evaluating the suitability of urban groundwater resources for drinking water and irrigation purposes: An integrated approach in the Agro-Aversano area of Southern Italy. Environ. Monit. Assess. 2019, 191, 768. [Google Scholar] [CrossRef] [PubMed]
  27. Uddameri, V.; Reible, D. 8 Water Availability. In Hydraulic Fracturing Impacts and Technologies: A Multidisciplinary Perspective; CRC Press Taylor and Francis Group: Boca Raton, FL, USA, 2015; pp. 133–158. [Google Scholar]
  28. Clayton, M.E.; Stillwell, A.S.; Webber, M.E. Implementation of brackish groundwater desalination using wind-generated electricity: A case study of the energy-water nexus in Texas. Sustainability 2014, 6, 758–778. [Google Scholar] [CrossRef]
  29. Badruzzaman, M.; Subramani, A.; DeCarolis, J.; Pearce, W.; Jacangelo, J.G. Impacts of silica on the sustainable productivity of reverse osmosis membranes treating low-salinity brackish groundwater. Desalination 2011, 279, 210–218. [Google Scholar] [CrossRef]
  30. Binnie, C.; Kimber, M.; Smethurst, G. Basic Water Treatment; Royal Society of Chemistry: Cambridge, UK, 2002; Volume 473. [Google Scholar]
  31. Liu, J.; Zhao, H.-K.; Li, Z.-B.; Liu, S.-F. Decision process in MCDM with large number of criteria and heterogeneous risk preferences. Oper. Res. Perspect. 2017, 4, 106–112. [Google Scholar] [CrossRef]
  32. Wang, T.-C.; Lee, H.-D. Developing a fuzzy TOPSIS approach based on subjective weights and objective weights. Expert Syst. Appl. 2009, 36, 8980–8985. [Google Scholar] [CrossRef]
  33. Yoon, K.P.; Hwang, C.-L. Multiple Attribute Decision Making: An Introduction; Sage Publications: Thousand Oaks, CA, USA, 1995; Volume 104. [Google Scholar]
  34. Qiu, W. Management Decision and Applied Entropy; China Machine Press: Beijing, China, 2002. [Google Scholar]
  35. Wang, Z.; Zhan, W. Dynamic engineering multi-criteria decision making model optimized by entropy weight for evaluating bid. Syst. Eng. Procedia 2012, 5, 49–54. [Google Scholar] [CrossRef]
  36. Wu, Y.; Zhou, Y.; Saveriades, G.; Agaian, S.; Noonan, J.P.; Natarajan, P. Local Shannon entropy measure with statistical tests for image randomness. Inf. Sci. 2013, 222, 323–342. [Google Scholar] [CrossRef]
  37. Hwang, C.-L.; Yoon, K. Methods for multiple attribute decision making. In Multiple Attribute Decision Making; Springer: Berlin/Heidelberg, Germany, 1981; pp. 58–191. [Google Scholar]
  38. Ma, J.; Fan, Z.-P.; Huang, L.-H. A subjective and objective integrated approach to determine attribute weights. Eur. J. Oper. Res. 1999, 112, 397–404. [Google Scholar] [CrossRef]
  39. Malczewski, J. On the use of weighted linear combination method in GIS: Common and best practice approaches. Trans. GIS 2000, 4, 5–22. [Google Scholar] [CrossRef]
  40. Swamee, P.K.; Tyagi, A. Describing water quality with aggregate index. J. Environ. Eng. 2000, 126, 451–455. [Google Scholar] [CrossRef]
  41. Gitau, M.W.; Chen, J.; Ma, Z. Water quality indices as tools for decision making and management. Water Resour. Manag. 2016, 30, 2591–2610. [Google Scholar] [CrossRef]
  42. Almeida, C.; González, S.O.; Mallea, M.; González, P. A recreational water quality index using chemical, physical and microbiological parameters. Environ. Sci. Pollut. Res. 2012, 19, 3400–3411. [Google Scholar] [CrossRef] [PubMed]
  43. Swamee, P.K.; Tyagi, A. Improved method for aggregation of water quality subindices. J. Environ. Eng. 2007, 133, 220–225. [Google Scholar] [CrossRef]
  44. USDA Nass. Census of Agriculture; US Department of Agriculture, National Agricultural Statistics Service: Washington, DC, USA, 2020; Volume 1.
  45. Colaizzi, P.D.; Gowda, P.H.; Marek, T.; Porter, D.O. Irrigation in the Texas High Plains: A brief history and potential reductions in demand. Irrig. Drain. J. Int. Comm. Irrig. Drain. 2009, 58, 257–274. [Google Scholar] [CrossRef]
  46. McGuire, V.L. Water-Level and Recoverable Water in Storage Changes, High Plains Aquifer, Predevelopment to 2015 and 2013–15; US Geological Survey: Reston, VA, USA, 2017.
  47. Uddameri, V.; Singaraju, S.; Karim, A.; Gowda, P.; Bailey, R.; Schipanski, M. Understanding Climate-Hydrologic-Human Interactions to Guide Groundwater Model Development for Southern High Plains. J. Contemp. Water Res. Educ. 2017, 162, 79–99. [Google Scholar] [CrossRef]
  48. Lehman, T.; Chatterjee, S. Depositional setting and vertebrate biostratigraphy of the Triassic Dockum Group of Texas. J. Earth Syst. Sci. 2005, 114, 325–351. [Google Scholar] [CrossRef]
  49. Ashworth, J.; Hopkins, J. Feasibility Analysis of Water Supply for Small Public Water Systems—Big Q Mobile Home Estates References; Texas Water Development Board Report 345; Aquifers of Texas: Austin, TX, USA, 1995; p. 68.
  50. Hernandez, E.; Uddameri, V. Simulation-optimization model for water management in hydraulic fracturing operations. Hydrogeol. J. 2015, 23, 1247–1265. [Google Scholar] [CrossRef]
  51. Boghici, R. A Field Manual for Ground-Water Sampling; Texas Water Development Board: Austin, TX, USA, 2003.
  52. Association, A.P.H.; Association, A.W.W.; Federation, W.E. Standard Methods for the Examination of Water and Wastewater; American Public Health Association: Washington, DC, USA, 2017. [Google Scholar]
  53. Fritz, S.J. A survey of charge-balance errors on published analyses of potable ground and surface waters. Groundwater 1994, 32, 539–546. [Google Scholar] [CrossRef]
  54. Sibson, R.; Barnett, V. Interpreting multivariate data. In A brief Description of Natural Neighbor Interpolation; John Wiley and Sons: Hoboken, NJ, USA, 1981; pp. 21–36. [Google Scholar]
  55. Sambridge, M.; Braun, J.; McQueen, H. Geophysical parametrization and interpolation of irregular data using natural neighbours. Geophys. J. Int. 1995, 122, 837–857. [Google Scholar] [CrossRef]
  56. Fan, Q.; Efrat, A.; Koltun, V.; Krishnan, S.; Venkatasubramanian, S. Hardware-Assisted Natural Neighbor Interpolation. In Proceedings of the ALENEX/ANALCO, Vancouver, BC, Canada, 22 January 2005; pp. 111–120. [Google Scholar]
  57. Feng, R.; Peng, S. Quasi-interpolation scheme for arbitrary dimensional scattered data approximation based on natural neighbors and RBF interpolation. J. Comput. Appl. Math. 2018, 329, 95–105. [Google Scholar] [CrossRef]
  58. Busico, G.; Kazakis, N.; Cuoco, E.; Colombani, N.; Tedesco, D.; Voudouris, K.; Mastrocicco, M. A novel hybrid method of specific vulnerability to anthropogenic pollution using multivariate statistical and regression analyses. Water Res. 2020, 171, 115386. [Google Scholar]
  59. R Core Team. R: A Language and Environment for Statistical Computing; R Foundation for Statistical Computing: Vienna, Austria, 2019. [Google Scholar]
  60. Huang, F.; Gundewar, R.S.; Loughridge, B.W.; Steed, D.L. Feasibility of using produced water for crosslinked gel-based hydraulic fracturing. In Proceedings of the SPE Production Operations Symposium, Oklahoma City, OK, USA, 23–26 March 2013. [Google Scholar]
  61. UEP Agency. 2018 Edition of the Drinking Water Standards and Health Advisories EPA 822-F-18-001; Office of Water, US Environmental Protection Agency Washington (DC): Washington, DC, USA, 2018.
  62. Halliburton. Fracturing Fluid Systems: Broad Variety of Systems Enables Customizing the Treatment Fluid to Reservoir Requirements; Halliburton: Houston, TX, USA, 2013. [Google Scholar]
  63. PetroWiki. Fracturing Fluids and Additives. Available online: https://petrowiki.org/Fracturing_fluids_and_additives (accessed on 28 May 2020).
  64. Weatherford. SureSlick™ 6A and 6C Hydraulic Fracturing Fluid Additives: Reduce Friction and Risk of Formation Plugging; Weatherford: Houston, TX, USA, 2015. [Google Scholar]
  65. Li, L.; Al-Muntasheri, G.A.; Liang, F. A review of crosslinked fracturing fluids prepared with produced water. Petroleum 2016, 2, 313–323. [Google Scholar] [CrossRef]
  66. Ayers, R.; Westcot, D. Water Quality for Agriculture; FAO Irrigation and Drainage Paper 29 Rev. 1; FAO: Rome, Italy, 1994. [Google Scholar]
  67. McFarland, M.L.; Lemon, R.; Stichler, C. Irrigation Water Quality: Critical Salt Levels for Peanuts, Cotton, Corn and Grain Sorghum; Texas Cooperative Extension, Texas A & M University System: College Station, TX, USA, 2002.
  68. Bauder, T.A.; Waskom, R.; Sutherland, P.; Davis, J.; Follett, R.; Soltanpour, P. Irrigation Water Quality Criteria No. 0.506; Service in Action: Toronto, ON, Canada, 2011. [Google Scholar]
  69. Hassinger, E.; Doerge, T.; Baker, P. Water Facts: Number 1 Test Your Well for Safety; University of Arizona, College of Agriculture: Tuscon, AZ, USA, 1994. [Google Scholar]
  70. Gilron, J.; Ramon, E.; Assaf, N.; Kedem, O. Wind-Aided Intensified Evaporation (WAIV): An Environmentally Sustainable Method for Brine Management. In Current Trends and Future Developments on (Bio-) Membranes; Elsevier: Amsterdam, The Netherlands, 2019; pp. 215–241. [Google Scholar]
  71. Jones, E.; Qadir, M.; van Vliet, M.T.; Smakhtin, V.; Kang, S.-m. The state of desalination and brine production: A global outlook. Sci. Total Environ. 2019, 657, 1343–1356. [Google Scholar] [CrossRef] [PubMed]
  72. WHO. International Programme on Chemical Safety: Guidelines for Drinking-Water Quality.-2: Health Criteria and Other Supporting Information; WHO: Geneva, Switzerland, 1996. [Google Scholar]
  73. Cothern, C.R. Radon, Radium, and Uranium in Drinking Water; CRC Press: Boca Raton, FL, USA, 2014. [Google Scholar]
  74. Lesikar, B.J.; Melton, R.; Hare, M.; Hopkins, J.; Dozier, M. Drinking Water Problems: Radionuclides (Spanish); Texas FARMER Collection, Texas Agrilife Extension, Texas A&M University: College Station, TX, USA, 2006. [Google Scholar]
  75. Gregory, K.B.; Vidic, R.D.; Dzombak, D.A. Water management challenges associated with the production of shale gas by hydraulic fracturing. Elements 2011, 7, 181–186. [Google Scholar] [CrossRef]
  76. Haghsheno, R.; Mohebbi, A.; Hashemipour, H.; Sarrafi, A. Study of kinetic and fixed bed operation of removal of sulfate anions from an industrial wastewater by an anion exchange resin. J. Hazard. Mater. 2009, 166, 961–966. [Google Scholar] [CrossRef] [PubMed]
  77. Fan, C.; Kan, A.; Fu, G.; Tomson, M.; Shen, D. Quantitative evaluation of calcium sulfate precipitation kinetics in the presence and absence of scale inhibitors. SPE J. 2010, 15, 977–988. [Google Scholar] [CrossRef]
  78. Den, W.; Wang, C.-J. Removal of silica from brackish water by electrocoagulation pretreatment to prevent fouling of reverse osmosis membranes. Sep. Purif. Technol. 2008, 59, 318–325. [Google Scholar] [CrossRef]
  79. Chang, C.; Dregne, H. Effect of exchangeable sodium on soil properties and on growth and cation content of alfalfa and cotton. Soil Sci. Soc. Am. J. 1955, 19, 29–35. [Google Scholar] [CrossRef]
  80. Natural Resources Conservation Service North Dakota. Sodium Adsorption Ratio (SAR). Available online: https://www.nrcs.usda.gov/wps/portal/nrcs/detail/nd/soils/?cid=nrcseprd1296298 (accessed on 28 May 2020).
  81. Fipps, G. Irrigation Water Quality Standards and Salinity Management Strategies; Texas FARMER Collection, Texas Agrilife Extension, Texas A&M University: College Station, TX, USA, 2003. [Google Scholar]
  82. Uddameri, V.; Ghaseminejad, A.; Hernandez, E.A. A tiered stochastic framework for assessing crop yield loss risks due to water scarcity under different uncertainty levels. Agric. Water Manag. 2020, 238, 106226. [Google Scholar] [CrossRef]
  83. Uddameri, V.; Honnungar, V.; Hernandez, E.A. Assessment of groundwater water quality in central and southern Gulf Coast aquifer, TX using principal component analysis. Environ. Earth Sci. 2014, 71, 2653–2671. [Google Scholar] [CrossRef]
  84. Grattan, S. Irrigation Water Salinity and Crop Production; UCANR Publications: Oakland, CA, USA, 2002; Volume 9. [Google Scholar]
  85. Maas, E.; Hoffman, G.; Chaba, G.; Poss, J.; Shannon, M. Salt sensitivity of corn at various growth stages. Irrig. Sci. 1983, 4, 45–57. [Google Scholar] [CrossRef]
  86. Haman, D.Z. Irrigating with High Salinity Water 1; University of Florida: Gainesville, FL, USA, 2000. [Google Scholar]
  87. Hopkins, B.G.; Horneck, D.A.; Stevens, R.G.; Ellsworth, J.W.; Sullivan, D.M. Managing Irrigation Water Quality for Crop Production in the Pacific Northwest; Oregon State University: Corvallis, OR, USA, 2007. [Google Scholar]
  88. Moberly, J.T.; Aiken, R.M.; Lin, X.; Schlegel, A.J.; Baumhardt, R.L.; Schwartz, R.C. Crop water production functions of grain sorghum and winter wheat in Kansas and Texas. J. Contemp. Water Res. Educ. 2017, 162, 42–60. [Google Scholar] [CrossRef]
  89. Bennett, W.; Tucker, B.; Maunder, A. Fertilization of grain for profit. In Modern Grain Sorghum Production; Iowa State University Press: Ames, IA, USA, 1990; pp. 82–101. [Google Scholar]
  90. Segarra, E.; Gwinn, C.; Morrison, W.P.; Abernathy, J.R. Economics of Pesticide Regulation on Sorghum Production in the US and Texas. Tex. J. Agric. Nat. Resour. 2017, 6, 55–68. [Google Scholar]
  91. Allen, V.; Baker, M.; Segarra, E.; Brown, C. Integrated irrigated crop–livestock systems in dry climates. Agron. J. 2007, 99, 346–360. [Google Scholar] [CrossRef]
  92. Angadi, S.V.; Umesh, M.; Contreras-Govea, F.E.; Annadurai, K.; Begna, S.H.; Marsalis, M.A.; Cole, N.; Gowda, P.H.; Robert Hagevoort, G.; Lauriault, L.M. In search of annual legumes to improve forage sorghum yield and nutritive value in the Southern High Plains. Crop Forage Turfgrass Manag. 2016, 2, 1–5. [Google Scholar] [CrossRef]
  93. Min, B.; Pinchak, W.; Malinowski, D. Interrelationships of winter wheat varieties on rumen fermentation rate, forage biomass production, and grain yield dynamics under the grazed out by steers. J. Adv. Agric. 2017, 7, 6298. [Google Scholar] [CrossRef]
  94. Eck, H.V. Winter wheat response to nitrogen and irrigation. Agron. J. 1988, 80, 902–908. [Google Scholar] [CrossRef]
  95. Musick, J.T.; Jones, O.R.; Stewart, B.A.; Dusek, D.A. Water-yield relationships for irrigated and dryland wheat in the US southern plains. Agron. J. 1994, 86, 980–986. [Google Scholar] [CrossRef]
  96. Attia, A.; Rajan, N.; Xue, Q.; Nair, S.; Ibrahim, A.; Hays, D. Application of DSSAT-CERES-Wheat model to simulate winter wheat response to irrigation management in the Texas High Plains. Agric. Water Manag. 2016, 165, 50–60. [Google Scholar] [CrossRef]
  97. Thapa, S.; Xue, Q.; Jessup, K.E.; Rudd, J.C.; Liu, S.; Pradhan, G.P.; Devkota, R.N.; Baker, J. More recent wheat cultivars extract more water from greater soil profile depths to increase yield in the Texas High Plains. Agron. J. 2017, 109, 2771–2780. [Google Scholar] [CrossRef]
Figure 1. Characteristics of the Southern High Plains (SHP) Region of Texas. (a) land use and major groundwater units; (b) locations of major crops and monitoring wells; (c) major population centers; and (d) oil and gas basins and hydraulic fracturing locations.
Figure 1. Characteristics of the Southern High Plains (SHP) Region of Texas. (a) land use and major groundwater units; (b) locations of major crops and monitoring wells; (c) major population centers; and (d) oil and gas basins and hydraulic fracturing locations.
Water 12 02299 g001
Figure 2. Flow chart of the fit for purpose (FFP) evaluation procedure.
Figure 2. Flow chart of the fit for purpose (FFP) evaluation procedure.
Water 12 02299 g002
Figure 3. Fraction of incompatibility per constituent of concern for municipal water use.
Figure 3. Fraction of incompatibility per constituent of concern for municipal water use.
Water 12 02299 g003
Figure 4. Area fraction of the number of compatible constituents within Dockum-HSU for municipal uses.
Figure 4. Area fraction of the number of compatible constituents within Dockum-HSU for municipal uses.
Water 12 02299 g004
Figure 5. Overall Compatibility Index (OCI) for municipal water use.
Figure 5. Overall Compatibility Index (OCI) for municipal water use.
Water 12 02299 g005
Figure 6. Fraction of incompatibility per constituent of concern for gel-based hydraulic fracturing water use.
Figure 6. Fraction of incompatibility per constituent of concern for gel-based hydraulic fracturing water use.
Water 12 02299 g006
Figure 7. Area fraction of the number of compatible constituents within Dockum-HSU for gel-based hydraulic fracturing (HF).
Figure 7. Area fraction of the number of compatible constituents within Dockum-HSU for gel-based hydraulic fracturing (HF).
Water 12 02299 g007
Figure 8. Overall Compatibility Index (OCI) for gel-based hydraulic fracturing.
Figure 8. Overall Compatibility Index (OCI) for gel-based hydraulic fracturing.
Water 12 02299 g008
Figure 9. Fraction of incompatibility per constituent of concern for agricultural water use—(a) cotton, (b) corn, (c) sorghum, and (d) winter wheat.
Figure 9. Fraction of incompatibility per constituent of concern for agricultural water use—(a) cotton, (b) corn, (c) sorghum, and (d) winter wheat.
Water 12 02299 g009
Figure 10. Area fraction of the number of compatible constituents within Dockum-HSU for agricultural water use—(a) cotton, (b) corn, (c) sorghum, and (d) winter wheat.
Figure 10. Area fraction of the number of compatible constituents within Dockum-HSU for agricultural water use—(a) cotton, (b) corn, (c) sorghum, and (d) winter wheat.
Water 12 02299 g010
Figure 11. Overall Compatibility Index (OCI) for agricultural use: (a) cotton, (b) corn, (c) sorghum, and (d) winter wheat.
Figure 11. Overall Compatibility Index (OCI) for agricultural use: (a) cotton, (b) corn, (c) sorghum, and (d) winter wheat.
Water 12 02299 g011
Table 1. Summary statistics of water quality parameters in the Dockum Hydrostratigraphic Unit (HSU) (all the values are in mg/L, unless noted otherwise; IQR is Inter Quartile Range).
Table 1. Summary statistics of water quality parameters in the Dockum Hydrostratigraphic Unit (HSU) (all the values are in mg/L, unless noted otherwise; IQR is Inter Quartile Range).
ChemicalsMeanMedianStandard DeviationIQR
pH7.47.30.50.6
Total dissolved Solids (TDS)1818.5776.04494.41020.9
TH (Total Hardness) mgCaCO3/L453.1269.0535.9384.5
Chloride (Cl)508.977.22148.5229.4
Fluoride (F)1.81.61.21.5
Bicarbonate (HCO3)316.9289.8131.9122.3
Carbonate (CO3)8.27.85.55.2
Nitrate-Nitrogen (NO3)17.25.529.719.7
Sulfate (SO4)465.9177.0749.4456.9
Aluminum (Al)58.74.0439.50.1
Antimony (Sb)2.91.012.80.0
Arsenic (As)7.12.825.32.5
Boron (B)591.6284.8811.6613.4
Barium (Ba)59.039.258.664.3
Beryllium (Be)2.91.012.80.0
Calcium (Ca)99.565.4119.082.4
Cadmium (Cd)2.81.012.70.0
Chromium (Cr)5.22.712.73.3
Copper (Cu)8.72.727.23.1
Iron (Fe)330.251.0920.065.2
Lead (Pb)3.01.012.70.0
Manganese (Mn)34.13.792.418.1
Sodium (Na)507.2118.01841.7309.4
Selenium (Se)17.85.352.810.4
Dissolved Silica (Si)27.222.216.919.8
Strontium (Sr)2.7601.2955.0171.915
Silver (Ag)1.81.02.50.0
Thallium (Tl)2.91.012.80.0
Uranium (U)9.07.58.98.1
Zinc (Zn)64.515.5150.834.4
Alpha particles (Alpha) in [pCi/L]14.78.226.68.9
Beta particles (Beta) in [mrem/year]16.48.732.08.4
Radium Ra = Ra-226 and Ra-228 (combined) in [pCi/L]13.62.334.63.0
Langelier Saturation index (LSI)−0.1−0.10.30.3

Share and Cite

MDPI and ACS Style

Karim, A.; Gonzalez Cruz, M.; Hernandez, E.A.; Uddameri, V. A GIS-Based Fit for the Purpose Assessment of Brackish Groundwater Formations as an Alternative to Freshwater Aquifers. Water 2020, 12, 2299. https://doi.org/10.3390/w12082299

AMA Style

Karim A, Gonzalez Cruz M, Hernandez EA, Uddameri V. A GIS-Based Fit for the Purpose Assessment of Brackish Groundwater Formations as an Alternative to Freshwater Aquifers. Water. 2020; 12(8):2299. https://doi.org/10.3390/w12082299

Chicago/Turabian Style

Karim, Abdullah, Marangely Gonzalez Cruz, Elma A. Hernandez, and Venkatesh Uddameri. 2020. "A GIS-Based Fit for the Purpose Assessment of Brackish Groundwater Formations as an Alternative to Freshwater Aquifers" Water 12, no. 8: 2299. https://doi.org/10.3390/w12082299

APA Style

Karim, A., Gonzalez Cruz, M., Hernandez, E. A., & Uddameri, V. (2020). A GIS-Based Fit for the Purpose Assessment of Brackish Groundwater Formations as an Alternative to Freshwater Aquifers. Water, 12(8), 2299. https://doi.org/10.3390/w12082299

Note that from the first issue of 2016, this journal uses article numbers instead of page numbers. See further details here.

Article Metrics

Back to TopTop