Phytoneuston and Chemical Composition of Surface Microlayer of Urban Water Bodies
Abstract
1. Introduction
2. Materials and Methods
3. Results
3.1. Physico-Chemical and Biological Parameters
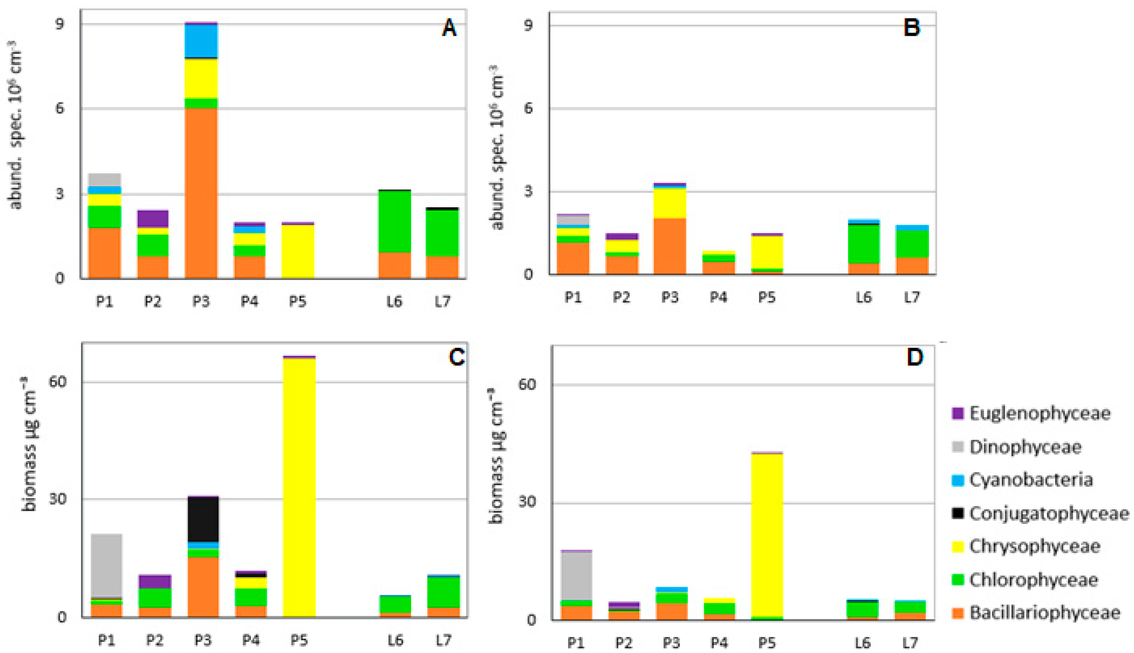
3.2. Phytoneuston and Phytoplankton Composition
3.3. Phytoplankton and Bacterioplankton Versus Chemical Parameters
4. Discussion
5. Conclusions
Author Contributions
Funding
Conflicts of Interest
References
- Ebling, A.M.; Landing, W.M. Sampling and analysis of the sea surface microlayer for dissolved and particulate trace elements. Mar. Chem. 2015, 177, 134–142. [Google Scholar] [CrossRef]
- Cunliffe, M.; Engel, A.; Frka, S.; Gašparović, B.; Guitart, C.; Murrell, J.C.; Salter, M.; Stolle, C.; Upstill-Goddardh, R.; Wurl, O. Sea surface microlayers: A unified physicochemical and biological perspective of the air-ocean interface. Prog. Oceanogr. 2013, 109, 104–116. [Google Scholar] [CrossRef]
- Kostrzewska-Szlakowska, I. A surface microlayer of waters: Characteristics and research methods. Wiad. Ekol. 2003, 49, 183–203. [Google Scholar]
- Gašparović, B.; Plavšić, M.; Ćosović, B.; Saliot, A. Organic matter characterization in the sea surface microlayers in the subarctic Norwegian fjords region. Mar. Chem. 2007, 105, 1–14. [Google Scholar] [CrossRef]
- Hillbricht-Ilkowska, A.; Jasser, I.; Kostrzewska-Szlakowska, I. Airwater interface: Dynamic of nutrients and picoplankton in the surface microlayer of a humic lake. Verh. Int. Ver. Limnol. 1997, 26, 319–322. [Google Scholar]
- Antonowicz, J.P.; Kozak, A. Chemical and phycological structure of surface microlayer and subsurface water in a southern Baltic Sea estuary. J. Mar. Res. 2018, 76, 93–118. [Google Scholar] [CrossRef]
- Liu, Q.; Hu, X.; Jiang, J.; Zhang, J.; Wu, Z.; Yang, Y. Comparison of the water quality of the surface microlayer and subsurface water in the Guangzhou segment of the Pearl River, China. J. Geogr. Sci. 2014, 24, 475–491. [Google Scholar] [CrossRef]
- Antonowicz, J. Daily cycle of variability contents of phosphorus forms in surface microlayer of a light salinity Baltic Sea Lagoon lake (North Poland)—Part II. Open Chem. 2013, 11, 817–826. [Google Scholar] [CrossRef]
- Antonowicz, J.P.; Kubiak, J.; Machula, S. Macroelements in the surface microlayer of water of urban ponds. Limnol. Rev. 2016, 16, 115–120. [Google Scholar] [CrossRef][Green Version]
- Antonowicz, J.P.; Mudryk, Z.J.; Perliński, P.; Kubiak, J. Measurement of heavy metal concentrations and microbiological parameters in the surface microlayer of a downtown pond. Ecohydrol. Hydrobiol. 2017, 17, 283–296. [Google Scholar] [CrossRef]
- Kostrzewska-Szlakowska, I.; Kiersztyn, B. Microbial biomass and enzymatic activity of the surface microlayer and subsurface water in two dystrophic lakes. Pol. J. Microbiol. 2017, 66, 75–84. [Google Scholar] [CrossRef] [PubMed]
- Perliński, P.; Mudryk, Z.J.; Antonowicz, J. Enzymatic activity in the surface microlayer and subsurface water in the harbor channel. Estuar. Coast. Shelf Sci. 2017, 196, 150–158. [Google Scholar] [CrossRef]
- Szefer, P. Metals, Metalloids and Radionuclides in the Baltic Sea Ecosystems; Elsevier: Amsterdam, The Netherlands, 2002. [Google Scholar]
- Antonowicz, J. Air-water interface in an estuarine lake: Chlorophyll and nutrient enrichment. Pol. J. Ecol. 2018, 66, 205–217. [Google Scholar] [CrossRef]
- Kawecka, B.; Eloranta, P.V. Outline of Ecology of Freshwater and Terrestrial Algae; Polish Scientific Publications: Warsaw, Poland, 1994; pp. 1–252. [Google Scholar]
- Wang, Z.H.; Song, S.H.; Qi, Y.Z. A comparative study of phytoneuston and the phytoplankton community structure in Daya Bay, South China Sea. J. Sea Res. 2014, 85, 474–482. [Google Scholar] [CrossRef]
- Antonowicz, J.P.; Panasiuk, D.; Machula, S.; Kubiak, J.; Opalińska, M. The anthropogenic pollutants in urban ponds based on the example of Słupsk. In Proceedings of the E3S Web of Conferences, Jakarta, Indonesia, 24–25 October 2018. [Google Scholar]
- Trojanowski, J.; Trojanowska, C. Pollution state of Człuchów lakes. Arch. Environ. Prot. 1999, 25, 91–109. [Google Scholar]
- Garrett, W. Collection of slick forming materials from the sea surface. Limnol. Oceanogr. 1965, 10, 602–605. [Google Scholar] [CrossRef]
- American Public Health Association. Standard Methods for the Examination of Water and Wastewater, 21st ed.; American Public Health Association: Washington, DC, USA, 2005. [Google Scholar]
- USA Environmental Protection Agency. Microwave assisted acid digestion of aqueous samples and extracts. In SW-846 Manual: Methods for Evaluating Solid Waste, Physical/Chemical Methods; USA Environmental Protection Agency: Washington, DC, USA, 1998. [Google Scholar]
- American Public Health Association. Standard Methods for the Examination of Water and Wastewater, 18th ed.; American Public Health Association: Washington, DC, USA, 1992. [Google Scholar]
- Duffus, J.H. “Heavy metals”—A meaningless term? Pure Appl. Chem. 2002, 74, 793–807. [Google Scholar] [CrossRef]
- Mudryk, Z.; Trojanowski, J.; Antonowicz, J.; Skórczewski, P. Chemical and bacteriobiological studies of surface and subsurface water layers in estuarine Lake Gardno. Pol. J. Environ. Stud. 2003, 12, 199–206. [Google Scholar]
- Arvola, L. Spectrophotometric determination of chlorophyll a and phaeopigments in ethanol extractions. Ann. Bot. Fenn. 1981, 18, 221–227. [Google Scholar]
- Wetzel, R.G.; Likens, G.E. Limnological Analyses; Springer: Berlin/Heidelberg, Germany, 1991; pp. 1–391. [Google Scholar]
- Hutorowicz, A. Standard Cell Volumes for Biomass Estimation of Selected Taxa of Planktonic Algae with the Method of Measurement and Estimation; 2009 (in Polish). Available online: http://www.gios.gov.pl/images/dokumenty/pms/monitoring_wod/objetosci_PMPL.pdf (accessed on 1 July 2020).
- StatSoft Inc. STATISTICA (Data Analysis Software System), 13rd ed.; StatSoft Inc.: Tulsa, OK, USA, 2013. [Google Scholar]
- Estep, K.W.; Maki, J.S.; Danos, S.; Remsen, C. The retrieval of material form the surface microlayer with screen and plate samplers and its implications for partitioning of material within the microlayer. Freshw. Biol. 1985, 15, 15–19. [Google Scholar] [CrossRef]
- Antonowicz, J.; Trojanowski, J.; Trojanowska, C. 24-hour cycle of variability in contents of nitrogen forms in the surface microlayer of the Baltic Sea lagoon lake (north Poland)—Part I. Balt. Coast. Zone 2010, 14, 37–47. [Google Scholar]
- Ter Braak, C.J.F. Canonical correspondence analysis: A new eigenvector technique for multuvatiate direct gradient analysis. Ecology 1986, 67, 1167–1179. [Google Scholar] [CrossRef]
- Ter Braak, C.J.F.; Smilauer, P. CANOCO Reference Manual and CanoDraw for Windows User’s Guide: Software for Canonical Community Ordination, Version 4.5; TNO Institute of Applied computer Science: Wageningen, The Nederlands, 2002; pp. 1–29. [Google Scholar]
- Ter Braak, C.J.F. Interpreting canonical correlation analysis through biplots of structure correlations and weights. Psychometrika 1990, 55, 519–531. [Google Scholar] [CrossRef]
- Lepš, J.; Šmilauer, P. Multivariate Analysis of Ecological Data Using CANOCO TM; Cambridge University Press: Cambridge, UK, 2003; pp. 1–269. [Google Scholar]
- Jongman, R.H.G.; Ter Braak, C.J.F.; Van Tongeren, O.F.R. Data Analysis in Community and Landscape Ecology; Cambridge University Press: Cambridge, UK, 1987; pp. 1–212. [Google Scholar]
- Rzymski, P.; Sobczyński, T.; Klimaszyk, P.; Niedzielski, P. Sedimentary fractions of phosphorus before and after drainage of an urban water body (Maltański Reservoir, Poland). Limnol. Rev. 2015, 15, 31–37. [Google Scholar] [CrossRef][Green Version]
- Moczulska, A.; Antonowicz, J.; Krzyk, K. The influence of Słupsk agglomeration on the quality of the water of the River Słupia. Słup. Prace Biol. 2006, 3, 45–56. [Google Scholar]
- Misztal, A.; Kuczera, M. Impact of Land Use Method in a Catchments Area on the Dynamics of the Nitrogen Compounds in the Outflowing Water. Ecol. Chem. Eng. 2010, 17, 643–649. [Google Scholar]
- Ławniczak, A.E.; Zbierska, J.; Nowak, B.; Achtenberg, K.; Grześkowiak, A.; Kanas, K. Impact of agriculture and land use on nitrate contamination in groundwater and running waters in central-west Poland. Environ. Monit. Assess. 2016, 188, 172. [Google Scholar] [CrossRef]
- Dondajewska, R.; Kozak, A.; Kowalczewska-Madura, K.; Budzyńska, A.; Gołdyn, R.; Podsiadłowski, S.; Tomkowiak, A. The response of a shallow hypertrophic lake to innovative restoration measures—Uzarzewskie Lake case study. Ecol. Eng. 2018, 121, 72–82. [Google Scholar] [CrossRef]
- Antonowicz, J.P.; Wolska, M.; Libera, A. Seasonal changes in the accumulation of nutrients in the hydrosphere-atmosphere interface of urban ponds (Słupsk, northern Poland). Balt. Coast. Zone 2016, 20, 5–23. [Google Scholar]
- Lis, J.; Pasieczna, A. Geochemical Atlas of Poland; Państwowy Instytut Geologiczny: Warszawa, Porland, 1995. [Google Scholar]
- Niedźwiecki, E.; Protasowicki, M.; Wojcieszczuk, T.; Ciemniak, A.; Niedźwiecka, D. Content of Macroelements and Some Trace Elements in Dust Fallout within Szczecin Urban Area. In Proceedings of the International Workshop, Bratislava, Slovakia, 20–22 June 2001; pp. 119–125. [Google Scholar]
- Nasali-Flores, L. Urban Lakes: Ecosystems at Risk, Worthy of the Best Care. In Proceedings of the 12th World Lake Conference, Rajasthan, India, 28 October–2 November 2007; pp. 1333–1337. [Google Scholar]
- Siudek, P.; Frankowski, M. Atmospheric deposition of trace elements at urban and forest sites in central Poland—Insight into seasonal variability and sources. Atmos. Res. 2017, 198, 123–131. [Google Scholar] [CrossRef]
- Barałkiewicz, D.; Chudzińska, M.; Szpakowska, B.; Świerk, D.; Gołdyn, R.; Dondajewska, R. Strom water contamination and its effect on the quality of urban surface waters. Environ. Monit. Assess. 2014, 186, 6789–6803. [Google Scholar] [CrossRef] [PubMed]
- Antonowicz, J.; Mudryk, Z.; Trojanowski, J.; Dwulit, M. Concentrations of heavy metals and bacterial numbers and productivity in surface and subsurface water layers in coastal Lake Dolgie Wielkie. Ecol. Chem. Eng. 2008, 15, 873–879. [Google Scholar]
- Kozak, A.; Gołdyn, R.; Dondajewska, R. Phytoplankton Composition and Abundance in Restored Maltanski Reservoir under the Influence of Physico-Chemical Variables and Zooplankton Grazing Pressure. PLoS ONE 2015, 10, e0124738. [Google Scholar] [CrossRef] [PubMed]
- Toporowska, M.; Ferencz, B.; Dawidek, J. Impact of lake catchment processes on phytoplankton community structure in temperate shallow lakes. Ecohydrology 2018, 11, 1–12. [Google Scholar] [CrossRef]
- Kozak, A. Changes in the structure of phytoplankton in the lowest part of the Cybina River and the Maltański Reservoir. Oceanol. Hydrobiol. Stud. 2010, 39, 85–94. [Google Scholar] [CrossRef]
- Pełechata, A.; Pełechaty, M.; Pukacz, A. Winter temperature and shifts in phytoplankton assemblages in a small Chara-lake. Aquat. Bot. 2015, 124, 10–18. [Google Scholar] [CrossRef]
- Reynolds, C.F. Resilience in aquatic ecosystems—Hysteresis, homeostasis and health. Aquat. Ecosyst. Health Manag. 2002, 5, 3–17. [Google Scholar] [CrossRef]
- Celewicz-Gołdyn, S.; Boryca, I. The Phytoplankton Community in the Permanent Pond of the Dendrological Garden, Poznań University of Life Sciences in Springtime. Bot. Steciana 2012, 16, 61–74. [Google Scholar]
- Padisak, J.; Crossetti, L.O.; Naselli-Flores, L. Use and misuse in the application of the phytoplankton functional classification: A critical review with updates. Hydrobiologia 2009, 621, 1–19. [Google Scholar] [CrossRef]
- Kozak, A.; Kowalczewska-Madura, K. Phytoplankton Community Structure in Small Water Bodies in the Cybinka River. Bot. Steciana 2009, 13, 133–136. [Google Scholar]
- Grabowska, M.; Glińska-Lewczuk, K.; Obolewski, K.; Burandt, P.; Kobus, S.; Dunalska, J.; Kujawa, R.; Goździejewska, A.; Skrzypczak, A. Effects of Hydrological and Physicochemical Factors on Phytoplankton Communities in Floodplain Lakes. Pol. J. Environ. Stud. 2014, 23, 713–725. [Google Scholar]
- Poniewozik, M.; Płaska, W. Composition of Selected Phyto- and Zoocenozis in Small, Astatic Water Bodies. Teka Kom. Ochr. Kszt. Środ. Przyr. 2013, 10, 360–369. [Google Scholar]
- Kalinowska, K.; Grabowska, M. Autotrophic and heterotrophic plankton under ice in a eutrophic temperate lake. Hydrobiologia 2016, 777, 111–118. [Google Scholar] [CrossRef]
- Szeląg-Wasielewska, E. Seasonal changes in the structure of the community of phototrophs in a small mid-forest Lake. Teka Kom. Ochr. Kszt. Środ. Przyr. 2006, 3, 209–215. [Google Scholar]
- Kozak, A.; Kowalczewska-Madura, K. Pelagic phytoplankton of shallow lakes in the Promno Landscape Park. Pol. J. Environ. Stud. 2010, 19, 587–592. [Google Scholar]
- Kozak, A. Seasonal changes occurring over four years in a reservoir’s phytoplankton composition. Pol. J. Environ. Stud. 2005, 14, 437–444. [Google Scholar]
- Kozak, A.; Dondajewska, R.; Kowalczewska-Madura, K.; Gołdyn, R.; Holona, T. Water quality and phytoplankton in selected lakes and reservoirs under restoration measures in Western Poland. Pol. J. Nat. Sci. 2013, 24, 217–226. [Google Scholar]
- Wiedner, C.; Nixdorf, B. Success of chrysophytes, cryptophytes and dinoflagellates over blue-greens (Cyanobacteria) during an extreme winter (1995/96) in eutrophic shallow lakes. Hydrobiologia 1998, 229, 369–370. [Google Scholar]
- Reynolds, C.S.; Huszar, V.; Kruk, C.; Naselli-Flores, L.; Melo, S. Towards a functional classification of the freshwater phytoplankton. J. Plankton Res. 2002, 24, 417–428. [Google Scholar] [CrossRef]
- Kamjunke, N.; Henrichs, T.; Gaedke, U. Phosphorus gain by bacterivory promotes the mixotrophic flagellate Dinobryon spp. during re-oligotrophication. J. Plankton Res. 2007, 29, 39–46. [Google Scholar] [CrossRef]
- Kozak, A.; Kowalczewska-Madura, K.; Gołdyn, R.; Czart, A. Phytoplankton composition and physicochemical properties in Lake Swarzędzkie (midwestern Poland) during restoration: Preliminary results. Arch. Pol. Fish. 2014, 22, 17–28. [Google Scholar] [CrossRef]
- Suchora, M.; Szczurowska, A.; Niedźwiecki, M. Trophic State Indexes and Phytoplankton in the Trophic Status Assessment of Waters of a Small Retention Reservoir at an Early Stage of Operation. J. Ecol. Eng. 2017, 18, 209–215. [Google Scholar] [CrossRef][Green Version]
- Kozak, A.; Gołdyn, R.; Dondajewska, R.; Kowalczewska-Madura, K.; Holona, T. Changes in Phytoplankton and Water Quality during Sustainable Restoration of an Urban Lake Used for Recreation and Water Supply. Water 2017, 9, 713. [Google Scholar] [CrossRef]
- Dembowska, E.A. New and rare species of Volvocaceae (Chlorophyta) in the Polish phycoflora. Acta Soc. Bot. Pol. 2013, 82, 259–266. [Google Scholar] [CrossRef][Green Version]
- Brettum, P.; Andersen, T. The Use of Phytoplankton as Indicators of Water Quality; Norwegian Institute for Water Research: Oslo, Norway, 2005; pp. 1–33. [Google Scholar]
- Poniewozik, M.; Juráň, J. Extremely high diversity of euglenophytes in a small pond in eastern Poland. Plant Ecol. Evol. 2018, 151, 18–34. [Google Scholar] [CrossRef]
- Wołowski, K.; Poniewozik, M.; Walne, P.L. Pigmented euglenophytes of the genera Euglena, Euglenaria, Lepocinclis, Phacus and Monomorphina from the southeastern United States. Pol. Bot. J. 2013, 58, 659–685. [Google Scholar] [CrossRef]
- Wołowski, K.; Grabowska, M. Trachelomonas species as the main component of the euglenophyte community in the Siemianówka Reservoir (Narew River, Poland). Int. J. Limnol. 2007, 43, 207–218. [Google Scholar] [CrossRef]
- Dunalska, J.A.; Grochowska, J.; Winiewski, G.; Napiórkowska-Krzebietke, A. Can we restore badly degraded urban lakes? Ecol. Eng. 2015, 82, 432e441. [Google Scholar] [CrossRef]
- Dziga, D.; Maksylewicz, A.; Maroszek, M.; Budzynska, A.; Napiorkowska-Krzebietke, A.; Toporowska, M.; Grabowska, M.; Kozak, A.; Rosińka, J.; Meriluoto, J. The biodegradation of microcystins in temperate freshwater bodies with previous cyanobacterial history. Ecotoxicol. Environ. Saf. 2017, 145, 420–430. [Google Scholar] [CrossRef]
- Rosińska, J.; Kozak, A.; Dondajewska, R.; Gołdyn, R. Cyanobacteria blooms before and during the restoration process of a shallow urban lake. J. Environ. Manag. 2017, 198, 340–347. [Google Scholar] [CrossRef]
- Babica, P.; Blaha, L.; Marsalek, B. Exploring the natural role of microcystins—A review of effects on photoautotrophic organisms. J. Phycol. 2006, 42, 9–20. [Google Scholar] [CrossRef]
- Kozak, A.; Celewicz-Gołdyn, S.; Kuczyńska-Kippen, N. Cyanobacteria in small water bodies: The effect of habitat and catchment area conditions. Sci. Total Environ. 2019, 646, 1578–1587. [Google Scholar] [CrossRef] [PubMed]
- Jaworska, B.; Dunalska, J.; Górniak, D.; Bowszys, M. Phytoplankton dominance structure and abundance as indicators of the trophic state and ecological status of Lake Kortowskie (northeast Poland) restored with selective hypolimnetc withdrawal. Arch. Pol. Fish. 2014, 22, 7–15. [Google Scholar] [CrossRef]
- González–Dávila, M. The role of phytoplankton cells on the control of heavy metal concentration in seawater. Mar. Chem. 1995, 8, 215–236. [Google Scholar] [CrossRef]
- Pełechata, A.; Pełechaty, M.; Pukacz, A. An attempt to the trophic status assessment of the lakes of Lubuskie Lakeland. Limnol. Rev. 2006, 6, 239–246. [Google Scholar]
- Kozak, A.; Gołdyn, R. Variation in Phyto- and Zooplankton of Restored Lake Uzarzewskie, 2014. Pol. J. Environ. Stud. 2014, 23, 1201–1209. [Google Scholar]
- Dembowska, E. Phytoplankton of shallow lakes in the Iławskie Lake District. Limnol. Pap. 2008, 3, 19–31. [Google Scholar] [CrossRef]
- Toporowska, M.; Pawlik-Skowrońska, B. Fitoplankton hipertroficznego jeziora Syczyńskiego. Fragm. Florist. Geobot. Pol. 2011, 18, 409–426. [Google Scholar]
- Kozak, A.; Rosińska, R.; Gołdyn, R. Changes in the phytoplankton structure due to prematurely limited restoration treatments. Pol. J. Environ. Stud. 2018, 27, 1097–1103. [Google Scholar] [CrossRef]
- Kozak, A.; Budzyńska, A.; Dondajewska-Pielka, R.; Kowalczewska-Madura, K.; Gołdyn, R. Functional Groups of Phytoplankton and Their Relationship with Environmental Factors in the Restored Uzarzewskie Lake. Water 2020, 12, 313. [Google Scholar] [CrossRef]
- Napiórkowska Krzebietke, A.; Dunalska, J.; Zębek, E. Taxa-specific eco-sensitivity in relation to phytoplankton bloom stability and ecologically relevant lake state. Acta Oecol. 2017, 81, 10–21. [Google Scholar] [CrossRef]
- Kozak, A.; Graf, M. Phytoplankton Composition in Maltański Reservoir and the lowest part of Cybina River. Bot. Steciana 2013, 17, 85–94. [Google Scholar]
- Wilk-Woźniak, E.; Żurek, R. Phytoplankton and its relationships with chemical parameters and zooplankton in the meromictic Piaseczno reservoir, Southern Poland. Aquat. Ecol. 2006, 40, 165–176. [Google Scholar] [CrossRef]
- Engel, A.; Sperling, M.; Sun, C.; Grosse, J.; Friedrichs, G. Organic Matter in the Surface Microlayer: Insights From a Wind Wave Channel Experiment. Front. Mar. Sci. 2018. [Google Scholar] [CrossRef]
- Donderski, W.; Walczak, M.; Mudryk, Z. Neustonic bacteria of lake Jeziorak Mały (Poland). Pol. J. Environ. Stud. 1998, 7, 125–129. [Google Scholar]
- Spijkerman, E.; Bissinger, V.; Meister, A.; Gaedke, U. Low potassium and inorganic carbon concentrations influence a possible phosphorus limitation in Chlamydomonas acidophila (Chlorophyceae). Eur. J. Phycol. 2007, 42, 327–339. [Google Scholar] [CrossRef]
- Annadotter, H.; Cronberg, G.; Aagren, R.; Lundstedt, B.; Nilsson, P.-Å.; Ströbeck, S. Multiple techniques for lake restoration. Hydrobiologia 1999, 395, 77–85. [Google Scholar] [CrossRef]
- Rosińska, J.; Kozak, A.; Dondajewska, R.; Kowalczewska-Madura, K.; Gołdyn, R. Water quality response to sustainable restoration measures—Case study of urban Swarzędzkie Lake. Ecol. Indic. 2018, 84, 437–449. [Google Scholar] [CrossRef]
- Frau, D.; Spies, M.E.; Battauz, Y.; Medrano, J.; Sinistro, R. Approaches for phosphorus removal with calcium hydroxide and floating macrophytes in a mesocosm experiment: Impacts on plankton structure. Hydrobiologia 2019, 828, 287–299. [Google Scholar] [CrossRef]
- Martignier, A.; Filella, M.; Pollok, K.; Melkonian, M.; Bensimon, M.; Barja, F.; Langenhorst, F.; Jaquet, J.-M.; Ariztegui, D. Marine and freshwater micropearls: Biomineralization producing strontium-rich amorphous calcium carbonate inclusions is widespread in the genus Tetraselmis (Chlorophyta). Biogeosciences 2018, 15, 6591–6605. [Google Scholar] [CrossRef]
- Czarna, M. Overwiew of chemicals applied to winter road maintenance in Poland. Zesz. Nauk. Inż. Środ. 2013, 151, 18–25. [Google Scholar]
- US Department of Health and Human Service. Toxicological Profile for Fluorides, Hydrogen Fluoride, and Fluorine; US Department of Health and Human Service: Washington, DC, USA, 2003.
- Upreti, N.; Sharma, S.; Sharma, S.; Sharma, K.P. Toxic Effects of Aluminium and Fluoride on Planktonic Community of the Microcosms. Nat. Environ. Pollut. Technol. 2013, 12, 523–528. [Google Scholar]
- Joy, C.M.; Balakrishnan, K.P. Effect of fluoride on axenic cultures of diatoms. Water Air Soil Pollut. 1990, 49, 241. [Google Scholar] [CrossRef]
- Kubiak, J.; Machula, S.; Stepanowska, K.; Biernaczyk, M. The influence of the content of aluminium on the biocenosis of the waters of lakes with poorly urbanized reception basins. Inżynieria Ekol. 2013, 35, 95–105. [Google Scholar] [CrossRef]
- Gworek, B. Glin w środowisku przyrodniczym a jego toksyczność. Ochr. Śr. Zasobów Nat. 2006, 29, 27–38. [Google Scholar]
- Rosseland, B.O.; Eldhuset, T.D.; Staurnes, M. Environmental effects of aluminum. Environ. Geochem. Health 1990, 12, 17–27. [Google Scholar] [CrossRef]






| Parameter | Mean | Median | CV |
|---|---|---|---|
| biom | 2.43 | 2.01 | 82.05 |
| abund | 1.45 | 1.54 | 40.07 |
| chl a | 2.00 | 1.77 | 47.91 |
| pheo | 2.22 | 2.24 | 32.95 |
| CFU | 6.49 | 5.30 | 82.37 |
| Al | 4.20 | 2.20 | 98.79 |
| As | 1.84 | 1.57 | 42.81 |
| Ba | 1.57 | 1.30 | 42.91 |
| Ca | 1.22 | 1.16 | 13.61 |
| Cd | 34.52 | 7.10 | 209.86 |
| Cl− | 1.10 | 1.03 | 15.09 |
| Cr | 2.61 | 2.69 | 42.36 |
| F | 4.69 | 1.09 | 107.75 |
| Fe | 3.27 | 2.85 | 65.69 |
| K | 1.23 | 1.24 | 18.88 |
| Mg | 1.35 | 1.17 | 37.10 |
| Mn | 2.16 | 2.57 | 65.90 |
| Na | 1.14 | 1.03 | 19.13 |
| Ni | 1.42 | 1.17 | 47.64 |
| N-NO3 | 1.40 | 1.28 | 34.77 |
| Norg | 1.91 | 1.79 | 25.14 |
| TN | 2.09 | 1.90 | 29.63 |
| N-NH4 | 4.38 | 4.69 | 53.26 |
| Porg | 2.09 | 2.11 | 25.95 |
| P-PO4 | 1.88 | 1.84 | 13.18 |
| TP | 2.00 | 1.96 | 19.35 |
| SO42− | 1.03 | 1.02 | 2.53 |
| Se | 2.42 | 1.64 | 104.01 |
| Sr | 1.26 | 1.21 | 22.75 |
| V | 25.60 | 3.01 | 240.77 |
| Zn | 1.77 | 1.93 | 38.46 |
| EC | 1.05 | 1.04 | 4.12 |
| pH | 0.97 | 0.97 | 4.89 |
| P1 | P2 | P3 | P4 | P5 | L1 | L2 | |||||||||
|---|---|---|---|---|---|---|---|---|---|---|---|---|---|---|---|
| Group | Taxon | SML | SUB | SML | SUB | SML | SUB | SML | SUB | SML | SUB | SML | SUB | SML | SUB |
| Bacillariophyceae | Asterionella formosa Hassall | • | • | •• | • | ••• | ••• | ••• | ••• | o | o | o | |||
| Aulacoseira granulata (Ehrenberg) Simonsen | • | • | |||||||||||||
| Fragilaria capucina Desmazičres | •• | • | o | ||||||||||||
| Melosira varians C.Agardh | • | ••• | • | o | • | • | |||||||||
| Navicula tripunctata (O.F.Müller) Bory | o | o | o | o | o | o | • | ||||||||
| Nitzschia acicularis (Kützing) W.Smith | o | o | o | o | • | • | • | • | |||||||
| Nitzschia palea (Kützing) W.Smith | o | o | •• | ||||||||||||
| Tabellaria flocculosa (Roth) Kützing | • | o | •• | ||||||||||||
| Ulnaria acus (Kützing) Aboal | o | •• | • | • | • | o | •• | o | • | • | |||||
| Ulnaria ulna (Nitzsch) Compčre | o | •• | o | o | o | o | o | • | • | ||||||
| Chlorophyceae | Binuclearia lauterbornii Proschkina-Lavrenko | •• | |||||||||||||
| Chlorella vulgaris Beyerinck | •• | • | • | • | o | ||||||||||
| Crucigenia tetrapedia (Kirchner) Kuntze | o | • | o | • | |||||||||||
| Desmodesmus armatus (Chodat) E.Hegewald | o | • | • | ||||||||||||
| Desmodesmus communis E.Hegewald | o | o | o | o | o | • | • | • | ••• | •• | |||||
| Desmodesmus magnus (Meyen) Tsarenko | •• | • | |||||||||||||
| Eudorina elegans Ehrenberg | o | ••• | ••• | o | o | o | |||||||||
| Scenedesmus arvernensis Chodat & F.Chodat | • | ||||||||||||||
| Scenedesmus dimorphus (Turpin) Kützing | • | o | • | ||||||||||||
| Tetrastrum glabrum Ahlstrom & Tiffany | o | • | •• | • | o | ||||||||||
| Tetrastrum triangulare (Chodat) Komárek | o | o | • | ||||||||||||
| Chrysophyceae | Chrysococcus sp. | o | • | ||||||||||||
| Dinobryon divergens O.E.Imhof | ••• | ••• | ••• | •• | |||||||||||
| Dinobryon sociale (Ehrenberg) Ehrenberg | •• | •• | • | ••• | |||||||||||
| Synura uvella Ehrenberg | o | o | o | ••• | ••• | ||||||||||
| Cyanobacteria | Merismopedia glauca (Ehrenberg) Kützing | • | • | ||||||||||||
| Limnothrix redekei (Goor) Meffert | o | •• | |||||||||||||
| Microcystis aeruginosa (Kützing) Kützing | •• | o | |||||||||||||
| Dinophyceae | Peridinium sp. | • | ••• | o | |||||||||||
| Peridiniopsis sp. | • | ||||||||||||||
| Euglenophyceae | Euglena sp. | • | • | o | o | • | o | o | |||||||
| Trachelomonas sp. | o | •• | • | ||||||||||||
| Parameter | r |
|---|---|
| biom | 0.86 |
| chl a | 0.75 |
| CFU | 0.93 |
| EC | 0.89 |
| Sr | 0.93 |
| Zn | 0.86 |
| V | −0.75 |
| Ca | 0.96 |
| SO42− | 0.96 |
| Cl− | 0.86 |
| Na | 0.86 |
| K | 0.96 |
| N-NO3 | 0.96 |
| Norg | 0.96 |
| TN | 0.82 |
| Porg | 0.93 |
| P-PO4 | 0.93 |
| TP | 0.93 |
© 2020 by the authors. Licensee MDPI, Basel, Switzerland. This article is an open access article distributed under the terms and conditions of the Creative Commons Attribution (CC BY) license (http://creativecommons.org/licenses/by/4.0/).
Share and Cite
Antonowicz, J.P.; Kozak, A. Phytoneuston and Chemical Composition of Surface Microlayer of Urban Water Bodies. Water 2020, 12, 1904. https://doi.org/10.3390/w12071904
Antonowicz JP, Kozak A. Phytoneuston and Chemical Composition of Surface Microlayer of Urban Water Bodies. Water. 2020; 12(7):1904. https://doi.org/10.3390/w12071904
Chicago/Turabian StyleAntonowicz, Józef Piotr, and Anna Kozak. 2020. "Phytoneuston and Chemical Composition of Surface Microlayer of Urban Water Bodies" Water 12, no. 7: 1904. https://doi.org/10.3390/w12071904
APA StyleAntonowicz, J. P., & Kozak, A. (2020). Phytoneuston and Chemical Composition of Surface Microlayer of Urban Water Bodies. Water, 12(7), 1904. https://doi.org/10.3390/w12071904

